Mechanism and Kinetics of Malachite Dissolution in an NH4OH System
Abstract
1. Introduction
1.1. Consumption of Sulfuric Acid Due to Impurities
1.2. Leaching of Cu2CO3(OH)2 Through the Use of Ammoniacal Systems
2. Mechanism of Malachite Dissolution
3. Materials and Methods
3.1. Malachite Samples
3.2. Acid Tests
3.3. Ammoniacal Leaching
4. Results and Discussion
4.1. Sulfuric Acid System Analysis
4.2. Zone of Malachite Dissolution in Ammoniacal System
4.3. Evaluation of Stirring Rate
4.4. Temperature Analysis
4.5. Effect of NH4OH Concentration
4.6. Evaluation of Particle Size
4.7. Analysis of the Solid/Liquid Ratio
4.8. Effect of Different Ammonium Reagents
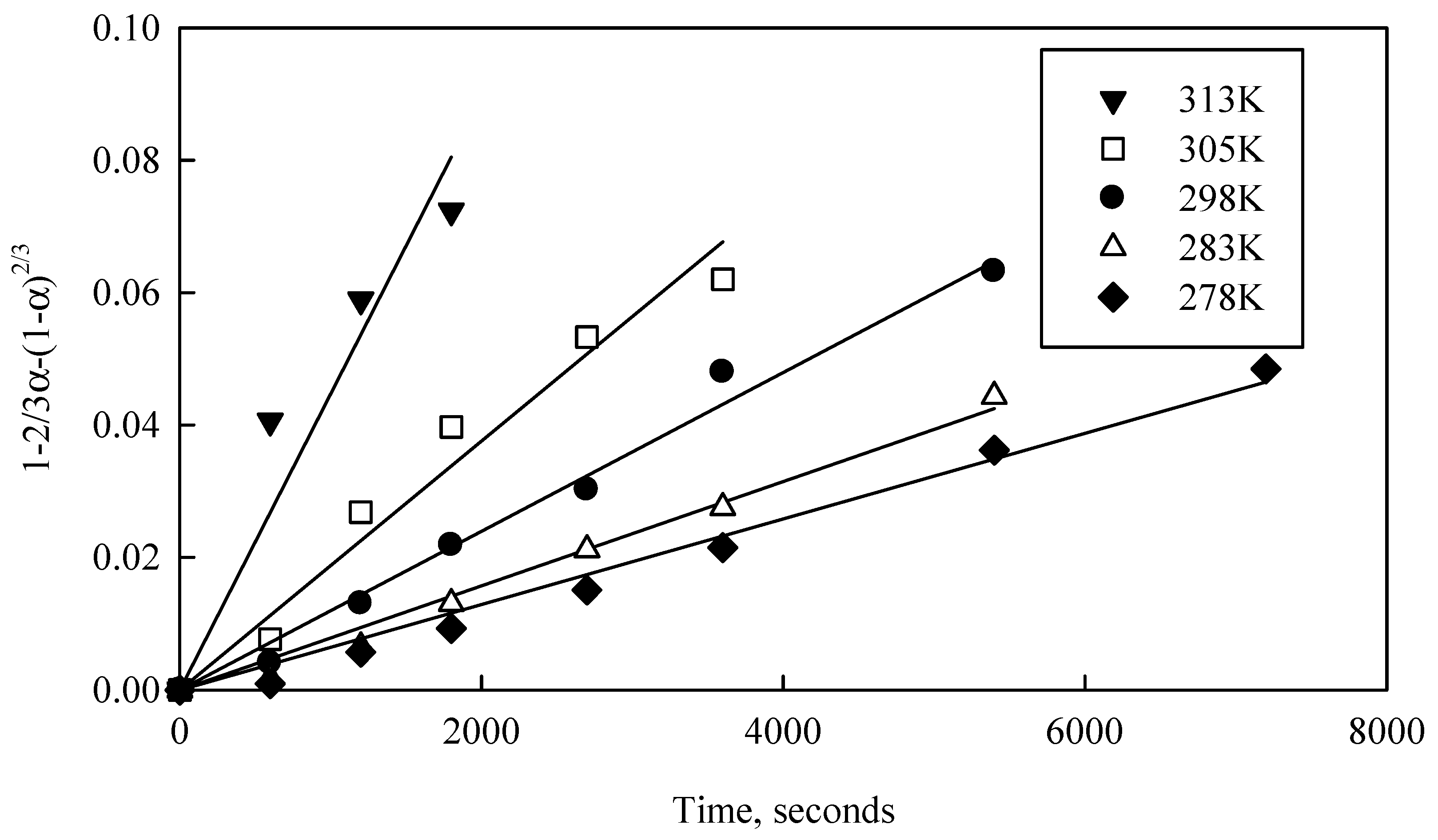
4.9. Dissolution Kinetics
5. Conclusions
Author Contributions
Funding
Conflicts of Interest
References
- Domic, E. Hidrometalurgia, Fundamentos, Procesos Y Aplicaciones (in Spanish); Santiago de Chile: Santiago, Chile, 2001; ISBN: 9562910830, 9789562910835. [Google Scholar]
- YouCai, L.; Wei, Y.; Jian-Gang, F.; Li-Feng, L.; Dong, Q. Leaching kinetics of copper flotation tailings in aqueous ammonia/ammonium carbonate solution. Can. J. Chem. Eng. 2013, 91, 770–775. [Google Scholar] [CrossRef]
- Pokrovsky, O.S.; Golubev, S.V.; Schott, J. Dissolution kinetics of calcite, dolomite and magnesite at 25 °C and 0 to 50 atm pCO2. Chem. Geol. 2005, 217, 239–255. [Google Scholar] [CrossRef]
- Vignes, A. Extrative Metallurgy 2: Metallurgical Reaction Processes; Wiley & Sons: Hoboken, NJ, USA, 2013. [Google Scholar]
- Bingöl, D.; Canbazoğlu, M. Dissolution kinetics of malachite in sulphuric acid. Hydrometallurgy 2004, 72, 159–162. [Google Scholar] [CrossRef]
- Nicol, M. The kinetics of the dissolution of malachite in acid solutions. Hydrometallurgy 2018, 177, 214–217. [Google Scholar] [CrossRef]
- Aracena, A.; Vivar, Y.; Jerez, O.; Vásquez, D. Kinetics of dissolution of tenorite in ammonium media. Miner. Process. Extr. Metall. Rev. 2015, 36, 317–323. [Google Scholar] [CrossRef]
- Aracena, A.; Pérez, F.; Carvajal, D. Leaching of cuprite through NH4OH in basic systems. Trans. Nonferrous Met. Soc. China 2018, 28, 2545–2552. [Google Scholar] [CrossRef]
- Ekmeyapar, A.; Aktas, E.; Künkül, A.; Demirkiran, N. Investigation of leaching kinetics of copper from malachite ore in ammonium nitrate solutions. Metall. Mater. Trans. B 2012, 43, 764–772. [Google Scholar] [CrossRef]
- Bingöl, D.; Canbazoğlu, M.; Aydoğan, S. Dissolution kinetics of malachite in ammonia/ammonium carbonate leaching. Hydrometallurgy 2005, 76, 55–62. [Google Scholar] [CrossRef]
- Künkül, A.; Muhtar, M.; Yapici, S.; Demirbağ, A. Leaching kinetics of malachite in ammonia solutions. Int. J. Miner. Process. 1994, 41, 167–182. [Google Scholar] [CrossRef]
- Arzutug, M.E.; Kocakerim, M.M.; Copur, M. Leaching of malaqhite ore in NH3-saturated wáter. Ind. Eng. Chem. Res. 2004, 43, 4118–4123. [Google Scholar] [CrossRef]
- Kokes, H.; Morcali, M.H.; Acma, E. Dissolution of copper and iron from malachite ore and precipitation of copper sulfate pentahydrate by chemical process. Eng. Sci. Technol. Int. J. 2014, 17, 39–44. [Google Scholar] [CrossRef][Green Version]
- Kurşuncu, B.; Yaraş, A.; Arslanoglu, H. Application of multi criteria decision making methods to leaching process of copper from malachite ore. Sigma J. Eng. Nat. Sci. 2018, 36, 783–794. [Google Scholar]
- Deng, J.; Wen, S.; Yin, Q.; Wu, D.; Sun, Q. Leaching of malachite using 5-sulfosalicylic acid. J. Taiwan Inst. Chem. Eng. 2017, 71, 20–27. [Google Scholar] [CrossRef]
- Mortiner, C.E. Chemistry; A Conceptual Approach, 4rd ed.; Van Nostrand: New York, NY, USA, 1979; pp. 796–798. [Google Scholar]
- Aracena, A.; Fernández, F.; Jerez, O.; Jaques, A. Converter slag leaching in ammonia medium/column system with subsequent crystallisation with NaSH. Hydrometallurgy 2019, 188, 31–37. [Google Scholar] [CrossRef]
- Tanda, B.C.; Eksteen, J.J.; Oraby, E.A. An investigation into the leaching behaviour of copper oxide minerals in aqueous alkaline glycine solutions. Hydrometallurgy 2017, 167, 153–162. [Google Scholar] [CrossRef]
- HSC Chemistry, version 6.0; OutoKumpu Research Py: Pori, Finland, 1999.
- Oudenne, P.D.; Olson, F.A. Leaching kinetics of malachite in ammonium carbonate solutions. Metall. Mater. Trans. B 1983, 14, 33–40. [Google Scholar] [CrossRef]
- Hu, H.; Liu, C.; Han, X.; Liang, Q.; Chen, Q. Solvent extraction of copper and ammonia from amoniacal solutions using sterically hindered b-diketone. Trans. Nonferrous Met. Soc. China 2010, 20, 2026–2031. [Google Scholar] [CrossRef]
- Alguacil, F.J.; Alonso, M. Recovery of copper from amoniacal ammonium sulfate médium by LIX 54. J. Chem. Technol. Biotechnol. 1999, 74, 1171–1175. [Google Scholar] [CrossRef]
- Sengupta, B.; Bhakhar, M.S.; Sengupta, R. Extraction of copper from amoniacal solutions into emulsion liquid membranes using LIX 84 I®. Hydrometallurgy 2007, 89, 311–318. [Google Scholar] [CrossRef]
- Sohn, H.Y.; Wadsworth, M.E. Rate Processes of Extractive Metallurgy; Plenum Press: New York, NY, USA, 1979. [Google Scholar]

















| T [°C (K)] | 1000/T (1/K) | kapp, 1/s |
|---|---|---|
| 5 (278) | 3.5971 | 6.3 × 10−6 |
| 10 (283) | 3.5336 | 7.9 × 10−6 |
| 25 (298) | 3.3557 | 12.0 × 10−6 |
| 32 (305) | 3.2787 | 18.8 × 10−6 |
| 40 (313) | 3.1949 | 44.7 × 10−6 |
| T, K | ko, 1/s μm2 1/(mol/dm3)3.2 |
|---|---|
| 278 | 49.92 × 10−2 |
| 283 | 62.60 × 10−2 |
| 298 | 95.09 × 10−2 |
| 305 | 148.98 × 10−2 |
| 313 | 354.22 × 10−2 |
© 2020 by the authors. Licensee MDPI, Basel, Switzerland. This article is an open access article distributed under the terms and conditions of the Creative Commons Attribution (CC BY) license (http://creativecommons.org/licenses/by/4.0/).
Share and Cite
Aracena, A.; Pino, J.; Jerez, O. Mechanism and Kinetics of Malachite Dissolution in an NH4OH System. Metals 2020, 10, 833. https://doi.org/10.3390/met10060833
Aracena A, Pino J, Jerez O. Mechanism and Kinetics of Malachite Dissolution in an NH4OH System. Metals. 2020; 10(6):833. https://doi.org/10.3390/met10060833
Chicago/Turabian StyleAracena, Alvaro, Javiera Pino, and Oscar Jerez. 2020. "Mechanism and Kinetics of Malachite Dissolution in an NH4OH System" Metals 10, no. 6: 833. https://doi.org/10.3390/met10060833
APA StyleAracena, A., Pino, J., & Jerez, O. (2020). Mechanism and Kinetics of Malachite Dissolution in an NH4OH System. Metals, 10(6), 833. https://doi.org/10.3390/met10060833
