Compression Behaviour of Wire + Arc Additive Manufactured Structures
Abstract
1. Introduction
2. Experimental Procedure
2.1. WAAM Process
2.2. Microstructural Investigation
2.3. Compression Test
2.4. Microhardness Test
3. Results and Discussion
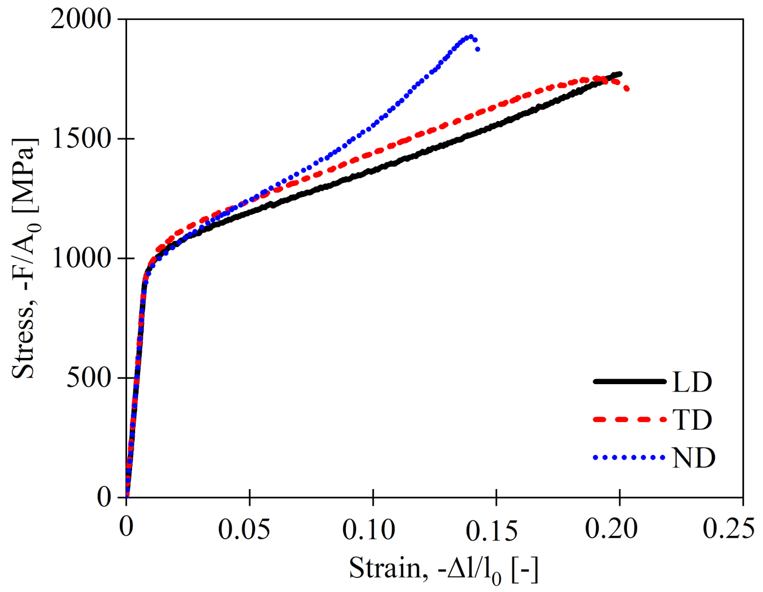
3.1. Ti-6Al-4V
3.2. AA2319
3.3. S355JR Steel
4. Conclusion Remarks
- In case of WAAM-fabricated Ti-6Al-4V, due to the presence of basal and prismatic crystal planes in normal direction, the -slip on basal and -slip on prismatic planes cannot be activated during compression, which leads to the highest compressive strength and lowest deformation when loaded in the normal direction.
- WAAM-fabricated AA2319 and S355JR steel exhibit isotropic mechanical behaviour in all directions. However, directional formation of the porosity in AA2319 causes anisotropic behaviour in the last stages of the deformation during compression. The porosity also results in a slight anisotropy of the elastic modulus.
- Microhardness changes in the normal and transverse direction of all three materials are mainly the result of grain morphology variations. The layer-like structure of the WAAM-fabricated Ti-6Al-4V, AA2319, and S355JR steel leads to different grain morphologies in inner-layer regions and inter-layer boundaries. The microhardness has higher value near the inter-layer boundaries of WAAM Ti-6Al-4V and AA2319 as well as refined regions in WAAM S355JR steel. Crystallographic orientation distribution does not seem to affect the microhardness.
Author Contributions
Funding

Data Availability Statement
Acknowledgments
Conflicts of Interest
Abbreviations
| initial specimen cross section | |
| E | Young’s modulus |
| compressive Young’s modulus | |
| F | force |
| l | specimen length |
| initial specimen length | |
| , | strength at compressive strain of 30% and 35%, respectively |
| ultimate compressive strength | |
| compressive yield strength | |
| AM | additive manufacturing |
| body-centered cubic | |
| CMT | cold metal transfer |
| CMT-P | pulsed CMT mode |
| DC | direct current |
| EBSD | electron back scattering diffraction |
| face-centered cubic | |
| GSHE | generalized spherical harmonic expansion |
| hexagonal close packed | |
| IPF | inverse pole figure |
| LASIMM | Large Additive Subtractive Modular Machine |
| LD | longitudinal direction |
| ND | normal direction |
| OM | optical microscope |
| RD | rolling direction |
| SEM | scanning electron microscope |
| TD | transverse direction |
| UC-WAAM | ultracold-wire + arc additive manufacturing |
| WAAM | wire + arc additive manufacturing |
References
- Williams, S.W.; Martina, F.; Addison, A.C.; Ding, J.; Pardal, G.; Colegrove, P.A. Wire + Arc Additive Manufacturing. J. Mater. Sci. Technol. 2016, 32, 641–647. [Google Scholar] [CrossRef]
- LASIMM Project. Available online: http://www.lasimm.eu (accessed on 23 April 2021).
- Martina, F.; Colegrove, P.A.; Williams, S.W.; Meyer, J. Microstructure of Interpass Rolled Wire + Arc Additive Manufacturing Ti-6Al-4V Components. Metall. Mater. Trans. A 2015, 46, 6103–6118. [Google Scholar] [CrossRef]
- Martina, F.; Williams, S.W.; Colegrove, P.A. Improved Microstructure and Increased Mechanical Properties of Additive Manufacture Produced Ti-6Al-4V by Interpass Cold Rolling. In Proceedings of the 24th International Solid Freeform Fabrication Symposium, Austin, TX, USA, 4–6 August 2013; pp. 490–496. [Google Scholar]
- Gu, J.; Ding, J.; Williams, S.W.; Gu, H.; Ma, P.; Zhai, Y. The Strengthening Effect of Inter-Layer Cold Working and Post-Deposition Heat Treatment on the Additively Manufactured Al–6.3Cu Alloy. Mater. Sci. Eng. A 2016, 651, 18–26. [Google Scholar] [CrossRef]
- Gu, J.; Wang, X.; Bai, J.; Ding, J.; Williams, S.W.; Zhai, Y.; Liu, K. Deformation Microstructures and Strengthening Mechanisms for the Wire+ Arc Additively Manufactured Al-Mg4.5Mn Alloy with Inter-Layer Rolling. Mater. Sci. Eng. A 2018, 712, 292–301. [Google Scholar] [CrossRef]
- Colegrove, P.A.; Coules, H.E.; Fairman, J.; Martina, F.; Kashoob, T.; Mamash, H.; Cozzolino, L.D. Microstructure and Residual Stress Improvement in Wire and Arc Additively Manufactured Parts through High-Pressure Rolling. J. Mater. Process. Technol. 2013, 213, 1782–1791. [Google Scholar] [CrossRef]
- Hönnige, J.R.; Colegrove, P.A.; Ganguly, S.; Eimer, E.; Kabra, S.; Williams, S.W. Control of Residual Stress and Distortion in Aluminium Wire + Arc Additive Manufacture with Rolling. Addit. Manuf. 2018, 22, 775–783. [Google Scholar] [CrossRef]
- Hönnige, J.R.; Colegrove, P.A.; Ahmad, B.; Fitzpatrick, M.E.; Ganguly, S.; Lee, T.L.; Williams, S.W. Residual Stress and Texture Control in Ti-6Al-4V Wire+ Arc Additively Manufactured Intersections by Stress Relief and Rolling. Mater. Des. 2018, 150, 193–205. [Google Scholar] [CrossRef]
- Wang, F.; Williams, S.W.; Colegrove, P.A.; Antonysamy, A.A. Microstructure and Mechanical Properties of Wire and Arc Additive Manufactured Ti-6Al-4V. Metall. Mater. Trans. A 2013, 44, 968–977. [Google Scholar] [CrossRef]
- Yilmaz, O.; Ugla, A.A. Microstructure Characterization of SS308LSi Components Manufactured by GTAW-Based Additive Manufacturing: Shaped Metal Deposition using Pulsed Current Arc. Int. J. Adv. Manuf. Technol. 2017, 89, 13–25. [Google Scholar] [CrossRef]
- Asala, G.; Khan, A.K.; Andersson, J.; Ojo, O.A. MicroStructural Analyses of ATI 718Plus® Produced by Wire-Arc Additive Manufacturing Process. Metall. Mater. Trans. A 2017, 48, 4211–4228. [Google Scholar] [CrossRef]
- Boyer, R.R. An Overview on the use of Titanium in the Aerospace Industry. Mater. Sci. Eng. A 1996, 213, 103–114. [Google Scholar] [CrossRef]
- Peters, M.; Kumpfert, J.; Ward, C.H.; Leyens, C. Titanium Alloys for Aerospace Applications. Adv. Eng. Mater. 2003, 5, 419–427. [Google Scholar] [CrossRef]
- ASTM B367-13, Standard Specification for Titanium and Titanium Alloy Castings; ASTM: Pittsburgh, PA, USA, 2017.
- Davis, J.R. ASM Specialty Handbook: Carbon and Alloy Steels; ASM International: Pittsburgh, PA, USA, 1996. [Google Scholar]
- Davis, J.R. Alloying: Understanding the Basics; ASM International: Materials Park, OH, USA, 2001; pp. 359–360. [Google Scholar]
- Das, S.K.; Yin, W. The worldwide aluminum economy: The current state of the industry. J. Miner. Met. Mater. Soc. 2007, 59, 57–63. [Google Scholar] [CrossRef]
- Shifeng, W.; Shuai, L.; Qingsong, W.; Yan, C.; Sheng, Z.; Yusheng, S. Effect of Molten Pool Boundaries on the Mechanical Properties of Selective Laser Melting Parts. J. Mater. Process. Technol. 2014, 214, 2660–2667. [Google Scholar] [CrossRef]
- Carroll, B.E.; Palmer, T.A.; Beese, A.M. Anisotropic Tensile Behavior of Ti–6Al–4V Components Fabricated with Directed Energy Deposition Additive Manufacturing. Acta Mater. 2015, 87, 309–320. [Google Scholar] [CrossRef]
- Kok, Y.; Tan, X.P.; Wang, P.; Nai, M.L.S.; Loh, N.H.; Liu, E.; Tor, S.B. Anisotropy and Heterogeneity of Microstructure and Mechanical Properties in Metal Additive Manufacturing: A critical Review. Mater. Des. 2018, 139, 565–586. [Google Scholar] [CrossRef]
- Ho, A.; Zhao, H.; Fellowes, J.W.; Martina, F.; Davis, A.E.; Prangnell, P. On the Origin of Microstructural Banding in Ti-6Al-4V Wire-Arc Based High Deposition Rate Additive Manufacturing. Acta Mater. 2019, 166, 306–323. [Google Scholar] [CrossRef]
- Bai, J.; Ding, H.L.; Gu, J.L.; Wang, X.S.; Qiu, H. Porosity Evolution in Additively Manufactured Aluminium Alloy during High Temperature Exposure. IOP Conf. Ser. Mater. Sci. Eng. 2017, 167. [Google Scholar] [CrossRef]
- Zhang, C.; Li, Y.; Gao, M.; Zeng, X. Wire arc additive manufacturing of Al-6Mg alloy using variable polarity cold metal transfer arc as power source. Mater. Sci. Eng. A 2018, 711, 415–423. [Google Scholar] [CrossRef]
- Fang, X.; Zhang, L.; Li, H.; Li, C.; Huang, K.; Lu, B. Microstructure Evolution and Mechanical Behavior of 2219 Aluminum Alloys Additively Fabricated by the Cold Metal Transfer Process. Materials 2018, 11, 812. [Google Scholar] [CrossRef]
- Bai, J.Y.; Yang, C.L.; Lin, S.B.; Dong, B.L.; Fan, C.L. Mechanical Properties of 2219-Al Components Produced by Additive Manufacturing with TIG. Int. J. Adv. Manuf. Technol. 2016, 86, 479–485. [Google Scholar] [CrossRef]
- Bian, L.; Thompson, S.M.; Shamsaei, N. Mechanical Properties and MicroStructural Features of Direct Laser-Deposited Ti-6Al-4V. J. Miner. Met. Mater. Soc. 2015, 67, 629–638. [Google Scholar] [CrossRef]
- Simonelli, M.; Tse, Y.Y.; Tuck, C. Effect of the Build Orientation on the Mechanical Properties and Fracture Modes of SLM Ti-6Al-4V. Mater. Sci. Eng. A 2014, 616, 1–11. [Google Scholar] [CrossRef]
- Ladani, L.; Razmi, J.; Choudhury, S.F. Mechanical Anisotropy and Strain Rate Dependency Behavior of Ti6Al4V Produced using E-Beam Additive Fabrication. J. Eng. Mater. Technol. 2014, 136, 1–7. [Google Scholar] [CrossRef]
- Duarte, V.R.; Rodrigues, T.A.; Schell, N.; Miranda, R.M.; Oliveira, J.P.; Santos, T.G. Hot forging wire and arc additive manufacturing (HF-WAAM). Addit. Manuf. 2020, 35, 101193. [Google Scholar] [CrossRef]
- Scotti, F.M.; Teixeira, F.R.; da Silva, L.J.; de Araujo, D.B.; Reis, R.P.; Scotti, A. Thermal management in WAAM through the CMT Advanced process and an active cooling technique. J. Manuf. Process. 2020, 57, 23–35. [Google Scholar] [CrossRef]
- da Silva, L.J.; Souza, D.M.; de Araujo, D.B.; Reis, R.P.; Scotti, A. Concept and validation of an active cooling technique to mitigate heat accumulation in WAAM. Int. J. Adv. Manuf. Technol. 2020, 107, 2513–2523. [Google Scholar] [CrossRef]
- Rodrigues, T.A.; Duarte, V.R.; Miranda, R.M.; Santos, T.G.; Oliveira, J.P. Ultracold-Wire and Arc Additive Manufacturing (UC-WAAM). J. Mater. Process. Technol. 2021, 117196. [Google Scholar] [CrossRef]
- Tomaz, I.V.; Colaço, F.H.G.; Sarfraz, S.; Pimenov, D.Y.; Gupta, M.K.; Pintaude, G. Investigations on quality characteristics in gas tungsten arc welding process using artificial neural network integrated with genetic algorithm. Int. J. Adv. Manuf. Technol. 2021, 113, 3569–3583. [Google Scholar] [CrossRef]
- Bock, F.E.; Aydin, R.C.; Cyron, C.J.; Huber, N.; Kalidindi, S.R.; Klusemann, B. A Review of the Application of Machine Learning and Data Mining Approaches in Continuum Materials Mechanics. Front. Mater. 2019, 6, 110. [Google Scholar] [CrossRef]
- Wu, B.; Pan, Z.; Ding, D.; Cuiuri, D.; Li, H.; Xu, J.; Norrish, J. A review of the wire arc additive manufacturing of metals: Properties, defects and quality improvement. J. Manuf. Process. 2018, 35, 127–139. [Google Scholar] [CrossRef]
- Brandl, E.; Baufeld, B.; Leyens, C.; Gault, R. Additive Manufactured Ti-6Al-4V using Welding Wire: Comparison of Laser and Arc Beam Deposition and Evaluation with Respect to Aerospace Material Specifications. Phys. Procedia 2010, 5, 595–606. [Google Scholar] [CrossRef]
- Donoghue, J.; Antonysamy, A.A.; Martina, F.; Colegrove, P.A.; Williams, S.W.; Prangnell, P.B. The Effectiveness of Combining Rolling Deformation with Wire-Arc Additive Manufacture on β-Grain Refinement and Texture Modification in Ti-6Al-4V. Mater. Charact. 2016, 114, 103–114. [Google Scholar] [CrossRef]
- Wu, B.; Pan, Z.; Ding, D.; Cuiuri, D.; Li, H.; Fei, Z. The Effects of Forced Interpass Cooling on the Material Properties of Wire Arc Additively Manufactured Ti6Al4V Alloy. J. Mater. Process. Technol. 2018, 258, 97–105. [Google Scholar] [CrossRef]
- Domack, M.S.; Taminger, K.M.B.; Begley, M. Metallurgical Mechanisms Controlling Mechanical Properties of Aluminium Alloy 2219 Produced by Electron Beam Freeform Fabrication. Mater. Sci. Forum 2006, 1291–1296. [Google Scholar] [CrossRef]
- Shassere, B.; Nycz, A.; Noakes, M.W.; Masuo, C.; Sridharan, N. Correlation of Microstructure and Mechanical Properties of Metal big Area Additive Manufacturing. Appl. Sci. 2019, 9, 787. [Google Scholar] [CrossRef]
- Vilaro, T.; Colin, C.; Bartout, J.D. As-Fabricated and Heat-Treated Microstructures of the Ti-6Al-4V Alloy Processed by Selective Laser Melting. Metall. Mater. Trans. A 2011, 42, 3190–3199. [Google Scholar] [CrossRef]
- Rafin, H.K.; Karthik, N.V.; Gong, H.; Starr, T.L.; Stucker, B.E. Microstructures and Mechanical Properties of Ti6Al4V Parts Fabricated by Selective Laser Melting and Electron Beam Melting. J. Mater. Eng. Perform. 2013, 22, 3872–3883. [Google Scholar] [CrossRef]
- Hrabe, N.; Quinn, T. Effects of Processing on Microstructure and Mechanical Properties of a Titanium Alloy (Ti-6Al-4V) Fabricated using Electron Beam Melting (EBM), Part 2: Energy Input, Orientation, and Location. Mater. Sci. Eng. A 2013, 573, 271–277. [Google Scholar] [CrossRef]
- Hönnige, J.R.; Colegrove, P.A.; Williams, S.W. Improvement of Microstructure and Mechanical Properties in Wire + Arc Additively Manufactured Ti-6Al-4V with Machine Hammer Peening. Procedia Eng. 2017, 216, 8–17. [Google Scholar] [CrossRef]
- Guo, W.; Sun, R.; Song, B.; Zhu, Y.; Li, F.; Che, Z.; Guo, B.L.C.; Liu, L.; Peng, P. Laser Shock Peening of Laser Additive Manufactured Ti6Al4V Titanium Alloy. Surf. Coat. Technol. 2018, 349, 503–510. [Google Scholar] [CrossRef]
- Schulze, C.; Weinmann, M.; Schweigel, C.; Kessler, O.; Bader, R. Mechanical Properties of a Newly Additive Manufactured Implant Material Based on Ti-42Nb. Materials 2018, 11, 124. [Google Scholar] [CrossRef]
- Losertova, M.; Kubes, V. Microstructure and Mechanical Properties of Selective Laser Melted Ti6Al4V Alloy. IOP Conf. Ser. Mater. Sci. Eng. 2017, 266. [Google Scholar] [CrossRef]
- Ding, J.; Colegrove, P.; Martina, F.; Williams, S.; Wiktorowicz, R.; Palt, M.R. Development of a laminar flow local shielding device for wire+ arc additive manufacture. J. Mater. Process. Technol. 2015, 226, 99–105. [Google Scholar] [CrossRef]
- Taylor, G.I. Plastic Strain in Metals. J. Inst. Met. 1938, 62, 307–324. [Google Scholar]
- Boyer, R.; Welsch, G.; Collings, E.W. Materials Properties Handbook: Titanium Alloys; ASM International: Materials Park, OH, USA, 1998. [Google Scholar]
- Hardin, R.A.; Cong, C.B. Effect of Porosity on the Stiffness of Cast Steel. Metall. Mater. Trans. A 2007, 38, 2992–3006. [Google Scholar] [CrossRef]
- Cong, B.; Ding, J.; Williams, S.W. Effect of Arc Mode in Cold Metal Transfer Process on Porosity of Additively Manufactured Al-6.3%Cu Alloy. Int. J. Adv. Manuf. Technol. 2015, 76, 1593–1606. [Google Scholar] [CrossRef]
- Ryan, E.M.; Sabin, T.J.; Watts, J.F.; Whiting, M.J. The Influence of Build Parameters and Wire Batch on Porosity of Wire and Arc Additive Manufactured Aluminium Alloy 2319. J. Mater. Process. Technol. 2018, 262, 577–584. [Google Scholar] [CrossRef]
- Gu, J.; Ding, J.; Williams, S.W.; Gu, H.; Ma, P.; Zhai, Y. The Effect of Inter-Layer Cold Working and Post-Deposition Heat Treatment on Porosity in Additively Manufactured Aluminum Alloys. J. Mater. Process. Technol. 2016, 230, 26–34. [Google Scholar] [CrossRef]
- Singh, R. Chapter 8—Weld Defects and Inspection. In Applied Welding Engineering: Processes, Codes and Standards, 2nd ed.; Butterworth Heinemann: Kidlington, Oxford, UK; Waltham, MA, USA, 2016; pp. 277–295. [Google Scholar]
- Gowda, S.; Hotz, C.; Patnaik, A.; Manigandan, K.; Srivatsan, T.S. The Microstructure, Tensile Response and Fracture Behavior of a High-Performance Structural Steel: Influence of Orientation. Emerg. Mater. Res. 2015, 4, 255–264. [Google Scholar] [CrossRef]
- Huang, B.S.; Yang, J.; Lu, D.H.; Bin, W.J. Study on the Microstructure, Mechanical Properties and Corrosion Behaviour of S355JR/316L Dissimilar Welded Joint Prepared by Gas Tungsten Arc Welding Multi-Pass Welding Process. Sci. Technol. Weld. Join. 2016, 27, 381–388. [Google Scholar] [CrossRef]















| Ti-6Al-4V | AA2319 | S355JR Steel | |||
|---|---|---|---|---|---|
| Element | wt.% | Element | wt.% | Element | wt.% |
| Ti | Balance | Al | Balance | Fe | Balance |
| Al | 6.14–6.15 | Cu | 5.80 | C | 0.060 |
| V | 3.91–3.94 | Mn | 0.25 | Si | 0.940 |
| Fe | 0.17–0.18 | Fe | 0.21 | Mn | 1.640 |
| O | 0.15 | Ti | 0.10 | P | 0.013 |
| C | 0.021 | Zr | 0.10 | S | 0.016 |
| N | 0.007–0.008 | Si | 0.08 | Cr | 0.020 |
| Others | 0.0172 | V | 0.07 | Ni | 0.020 |
| Mg | 0.01 | Mo | 0.005 | ||
| Zn | 0.01 | Cu | 0.020 | ||
| Others | <0.2 | Ti | 0.004 | ||
| Zr | 0.002 | ||||
| Deposition Parameter | Ti-6Al-4V | AA2319 | S355JR |
|---|---|---|---|
| Process | DC Plasma | CMT-P | CMT |
| Current [A] | 180 | Not Measured | Not Measured |
| Wire Feed Speed [mm/s] | 40 | 100 | 100 |
| Travel Speed [mm/s] | 6 | 10 | 10 |
| Wire diameter [mm] | 1.2 | 1.2 | 1.2 |
| Work Piece Distance [mm] | 8 | 13 | 13 |
| Dwelling time [s] | Not Measured | 120 | 90 |
| Plasma Gas Flow [l/min] | 0.8 | N/A | N/A |
| Shielding Gas Flow [l/min] | 8 | 25 | 25 |
| LD | TD | ND | |
|---|---|---|---|
| LD | TD | ND | |
|---|---|---|---|
| LD | TD | ND | |
|---|---|---|---|
Publisher’s Note: MDPI stays neutral with regard to jurisdictional claims in published maps and institutional affiliations. |
© 2021 by the authors. Licensee MDPI, Basel, Switzerland. This article is an open access article distributed under the terms and conditions of the Creative Commons Attribution (CC BY) license (https://creativecommons.org/licenses/by/4.0/).
Share and Cite
Abbaszadeh, M.; Ventzke, V.; Neto, L.; Riekehr, S.; Martina, F.; Kashaev, N.; Hönnige, J.; Williams, S.; Klusemann, B. Compression Behaviour of Wire + Arc Additive Manufactured Structures. Metals 2021, 11, 877. https://doi.org/10.3390/met11060877
Abbaszadeh M, Ventzke V, Neto L, Riekehr S, Martina F, Kashaev N, Hönnige J, Williams S, Klusemann B. Compression Behaviour of Wire + Arc Additive Manufactured Structures. Metals. 2021; 11(6):877. https://doi.org/10.3390/met11060877
Chicago/Turabian StyleAbbaszadeh, Masoud, Volker Ventzke, Leonor Neto, Stefan Riekehr, Filomeno Martina, Nikolai Kashaev, Jan Hönnige, Stewart Williams, and Benjamin Klusemann. 2021. "Compression Behaviour of Wire + Arc Additive Manufactured Structures" Metals 11, no. 6: 877. https://doi.org/10.3390/met11060877
APA StyleAbbaszadeh, M., Ventzke, V., Neto, L., Riekehr, S., Martina, F., Kashaev, N., Hönnige, J., Williams, S., & Klusemann, B. (2021). Compression Behaviour of Wire + Arc Additive Manufactured Structures. Metals, 11(6), 877. https://doi.org/10.3390/met11060877

