Analysis and Control of Cracking and Wrinkling at the End of Seamless Steel Tube with Multi-Pass Large Deformation Diameter-Reducing
Abstract
1. Introduction
2. Geometric Model of Seamless Steel Tube
2.1. Wall Thickness Measurement
- (1)
- The wall thickness along the circumferential direction is alternately thin and thick, such as the wall thickness of P3 and P5 cross-section of No.2 tube, P2 and P9 cross-section of No.5 tube, P4 and P7 cross-section of No.9 tube all varies alternately from 0° to 180°.
- (2)
- The absolute value of the maximum positive and negative deviation wall thickness on the same cross-section is close. Such as the maximum positive and negative deviation wall thickness of P3 cross-section of No.2 tube is 0.35 mm and −0.33 mm, respectively, P2 cross-section of No.5 tube is 0.62 mm and −0.65 mm, respectively, P7 cross-section of No.9 tube is 0.40 mm and −0.42 mm, respectively.
2.2. Geometric Model
- (1)
- The tube’s outer surface shape is a circle, and the inner surface shape is a periodic sinusoidal variation and the wall thickness on the same axis are equal.
- (2)
- The absolute value of the maximum positive deviation Tm and the maximum negative deviation Tn of the same cross-section wall thickness are equal.
2.3. Definition of Unevenness
2.3.1. Unevenness T
2.3.2. Relative Unevenness K
2.3.3. Critical Relative Unevenness Kc
3. Mechanical Analysis
3.1. Reducing Stage
3.2. Bending Stage
3.2.1. Basic Assumptions
- (1)
- The intermediate layer of tube wall coincides with the neutral layer.
- (2)
- The axial compressive stress on the outside of the intermediate layer acts on half of its thickness with equivalent compressive stress. The axial tensile stress on the inside of the intermediate layer acts on half of its thickness with equivalent tensile stress. In addition, the absolute value of equivalent axial stress on the inside and outside is equal.
- (3)
- On the same cross-section, the torque caused by the axial stress on the inside and outside of intermediate layer on circumferential unit angle micro-plane is equal.
3.2.2. Deformation Analysis
3.3. Warping Stage
3.3.1. Basic Assumptions
- (1)
- Due to the PDR deformation is axisymmetric, the circumferential stress is main stress, the shear stress components related to the circumferential direction are all zero.
- (2)
- Axial residual stress on the cross-section of reduced tube is self-balanced from the inner to outer surface.
3.3.2. Analysis of End Residual Stress
3.3.3. Unevenness Analysis
4. Research Methods
4.1. Research Objects
4.2. PDR Experiments
4.3. Stress-Strain Relationship
- (1)
- The yield strength and ultimate tensile strength of each pass reduced tube are significantly higher than that of the initial tube. Both the yield strength and ultimate tensile strength are increased with the increase of reducing pass.
- (2)
- Both the elongation and section shrinkage are gradually decreased with the increase of reducing pass, which indicates that the plastic deformation ability of the reduced tube is gradually decreased, and axial cracking may occur.
4.4. FEA of PDR
5. Results and Discussion
5.1. End of Reduced Tubes
5.2. End Warpage
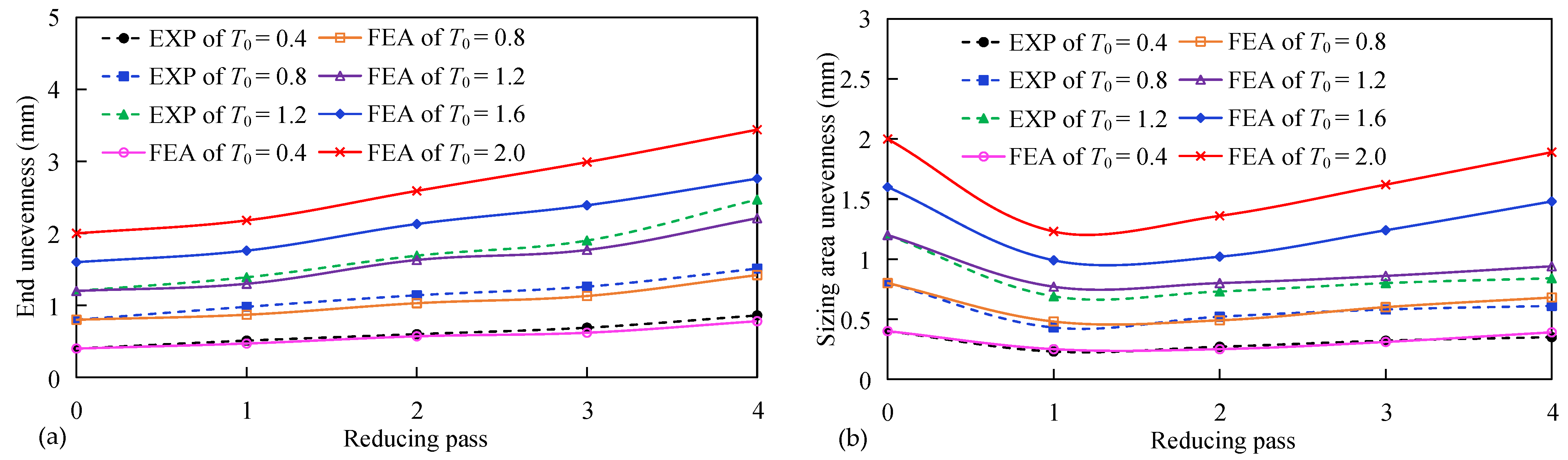
5.3. Unevenness
5.4. Relative Unevenness of the End
5.5. Generation and Development of End Wrinkling by the FEA
5.5.1. Reducing Stage
5.5.2. Bending Stage
5.5.3. Warping Stage
5.5.4. Multi-Pass Diameter-Reducing
5.6. Evolution Law of Unevenness
5.7. Circumferential Residual Stress of the End
6. Control Method
6.1. PPDR Process
6.2. FEA of PPDR
6.2.1. Finite Element Model
6.2.2. FEA Results and Discussions
- (1)
- End warping
- (2)
- Circumferential residual tensile stress of the end
- (1)
- The circumferential residual tensile stress of the end can be effectively controlled by the PPDR. The circumferential residual stress of the outer and inner surface at the end is tensile and compressive, respectively.
- (2)
- The circumferential residual tensile stress can be greatly decreased by the PPDR. In the first pass, the circumferential residual tensile stress at the outer surface of end is decreased by 71.67%, which effectively eliminates the risk of axial cracking at end.
- (3)
- End unevenness
6.3. Experimental Verification
- (1)
- The end warpage can be greatly decreased by the PPDR. Compared with the EXP results of PDR, the end warpage of each pass PPDR tube is decreased by 71.71%, 76.77%, 78.66% and 76.70%, respectively. The FEA results of the PPDR are in good agreement with the EXP results.
- (2)
- The end unevenness can be effectively decreased by the PPDR. Compared with the EXP results of the PDR, the end unevenness of each pass PPDR tube is decreased by 53.24%, 68.05%, 73.68% and 80.16%, respectively. Furthermore, the FEA results of the PPDR are consistent with the EXP results.
7. Conclusions
- (1)
- The Equation of circumferential residual stress at end was deduced from the warping deformation and shear stress, it reveals that the circumferential residual stress in the end warping area from the inner to outer surface is tensile. The circumferential residual tensile stress of the thin wall side is greater than that of the thick wall side.
- (2)
- The generation mechanism of circumferential wrinkling on the inner wall at the end was revealed. The geometric model of tube with wall thickness deviation was proposed, in which the outer surface shape is a circle and the inner surface shape is a periodic sinusoidal variation. On the base of it, the generation and development of circumferential wrinkling at the end was demonstrated and the evolution law of unevenness was revealed.
- (3)
- The end unevenness is greater than the initial unevenness, while the sizing area unevenness is less than it. The end unevenness and relative unevenness are sharply increased with the increase of wall thickness deviation and reducing pass, while the sizing area unevenness is increased slowly. The end warpage and circumferential residual tensile stress at end are increased slowly with the increase of reducing pass, while the wall thickness deviation has little effect on them.
- (4)
- The pushing-pulling diameter-reducing process was proposed to control the wrinkling and cracking. The simulation and experimental verification results showed that the sizing area diameter is increased, the deformation difference in bending stage is decreased, then the end warpage, unevenness and circumferential residual tensile stress of the end are all greatly decreased, the risk of axial cracking and circumferential wrinkling is eliminated and the forming quality of the reduced tube is improved.
Author Contributions
Funding
Conflicts of Interest
Nomenclature
| PDR | Pushing diameter-reducing |
| PPDR | Pushing-pulling diameter-reducing |
| L0 | Length of the initial tube (mm) |
| d0 | Outer diameter of the initial tube (mm) |
| tm0 | The maximum wall thickness of the initial tube (mm) |
| tn0 | The minimum wall thickness of the initial tube (mm) |
| t0 | Average wall thickness of the initial tube (mm) |
| Tm | The positive deviation (mm) |
| Tn | The negative deviation (mm) |
| T0 | The initial wall thickness deviation (mm) |
| θn | Period angle (°) |
| n | Wave number |
| tm | The maximum wall thickness (mm) |
| tn | The minimum wall thickness (mm) |
| T | Unevenness (mm) |
| K | Relative unevenness (%) |
| di | Average inner diameter of tube (mm) |
| Kc | Critical relative unevenness (%) |
| Tx | The maximum allowable wall thickness deviation (mm) |
| di0 | Inner diameter of initial tube (mm) |
| α | Half-cone angle of reducing die (°) |
| dm | Inner diameter of the exit area (mm) |
| R | Rounded corner radius of reducing die (mm) |
| Rm0 | Intermediate layer radius of the thick wall side (mm) |
| Rn0 | Intermediate layer radius of the thin wall side (mm) |
| Rm1 | Intermediate layer radius of the thick wall side in reducing stage (mm) |
| Rn1 | Intermediate layer radius of the thin wall side in reducing stage (mm) |
| tm1 | Wall thickness of the thick wall side in reducing stage (mm) |
| tn1 | Wall thickness of the thin wall side in reducing stage (mm) |
| Rm2 | Intermediate layer radius of the thick wall side in bending stage (mm) |
| Rn2 | Intermediate layer radius of the thin wall side in bending stage (mm) |
| tm2 | Wall thickness of the thick wall side in bending stage (mm) |
| tn2 | Wall thickness of the thin wall side in bending stage (mm) |
| d02 | Outer diameter of the tube end in bending stage (mm) |
| dl | Axial length of the bending element body (mm) |
| dy | Circumferential length of the bending element body (mm) |
| te | Wall thickness of the bending element body (mm) |
| σρe1 | Axial equivalent compressive stress on the outside of intermediate layer (MPa) |
| σρe2 | Axial equivalent tensile stress on the inside of intermediate layer (MPa) |
| dM | Torque on the right surface of the bending element body (N·m) |
| τρn | Shear stress (MPa) |
| Rm3 | Intermediate layer radius of the thick wall side in warping stage (mm) |
| Rn3 | Intermediate layer radius of the thin wall side in warping stage (mm) |
| tm3 | Wall thickness of the thick wall side in warping stage (mm) |
| tn3 | Wall thickness of the thin wall side in warping stage (mm) |
| rρ | Axial curvature radius of the upper side of warping element body (mm) |
| β | Included angle of the upper side of warping element body (°) |
| σρo | Axial tensile stress on the outer layer of warping element body (MPa) |
| σρi | Axial compressive stress on the inner layer of warping element body (MPa) |
| σθm | Circumferential residual stress of the thick wall side (MPa) |
| σθn | Circumferential residua stress of the thin wall side (MPa) |
| σθ | Circumferential residual stress (MPa) |
| l0 | Gauge length (mm) |
| lt | Length of tensile specimen (mm) |
| Td | End unevenness (mm) |
| Ti | Sizing area unevenness (mm) |
| Kd | Relative unevenness of the end (%) |
| σn | Normal stress (MPa) |
| V0 | Speed of reducing die (mm/s) |
| Fr | Pushing force of reducing die (KN) |
| Vm | Speed of mandrel (mm/s) |
| Fm | Pulling force of mandrel (KN) |
| V1 | Speed of tube elongation (mm/s) |
| Fn2 | Normal pressure (KN) |
| Ft2 | Tangential friction force (KN) |
References
- Fisher, W.P.; Ddy, A.J. A Study of the factors controlling the tube-sinking process for polymer materials. J. Mater. Process. Technol. 1997, 68, 156–162. [Google Scholar] [CrossRef]
- Celentano, D.J.; Rosales, D.A.; Jorge, A.P. Simulation and experimental validation of tube sinking drawing processes. Mater. Manuf. Process. 2011, 26, 770–780. [Google Scholar] [CrossRef]
- Almeida, B.P.P.; Alves, M.L.; Rosa, P.A.R.; Brito, A.G.; Martins, P.A.F. Expansion and reduction of thin-walled tubes using a die: Experimental and theoretical investigation. Int. J. Mach. Tools Manuf. 2006, 46, 1643–1652. [Google Scholar] [CrossRef]
- Tangsri, T.; Norasethasopon, S. 3D FEM validation of ultra-small inner spiral ribbed copper tube using the tube sinking method. Int. J. Adv. Manuf. Technol. 2015, 81, 1949–1959. [Google Scholar] [CrossRef]
- Salehi, J.; Rezaeian, A.; Toroghinejad, M.R. Fabrication and characterization of a bimetallic Al/Cu tube using the tube sinking process. Int. J. Adv. Manuf. Technol. 2018, 96, 153–159. [Google Scholar] [CrossRef]
- Rumiński, M.; Łuksza, J.; Kusiak, J.; Paćko, M. Analysis of the effect of die shape on the distribution of mechanical properties and strain field in the tube sinking process. J. Mater. Process. Technol. 1998, 80–81, 683–689. [Google Scholar] [CrossRef]
- Lu, Y.H. Study of preform and loading rate in the tube nosing process by spherical die. Comput. Methods Appl. Mech. Eng. 2005, 194, 2839–2858. [Google Scholar] [CrossRef]
- Zhao, D.W.; Du, H.J.; Wang, G.J.; Liu, X.H.; Wang, G.D. An analytical solution for tube sinking by strain rate vector inner-product integration. J. Mater. Process. Technol. 2009, 209, 408–415. [Google Scholar] [CrossRef]
- Ogbeyemi, A.; Okoh, I.; Imuero, O.; Ibhadode, O.; Akpobi, J. Load prediction on metal forming process (tube sinking) using finite element method. J. Adv. Manuf. Technol. 2021, 114, 2961–2973. [Google Scholar] [CrossRef]
- Sadok, L.; Kusiak, J.; Packo, M.; Rumiński, M. State of strain in the tube sinking process. J. Mater. Process. Technol. 1996, 60, 161–166. [Google Scholar] [CrossRef]
- Hirsch, T.K.; Silva, R.A.; Menezes, N.R. Characterization of local residual stress inhomogeneities in combined wire drawing processes of AISI 1045 steel bars. Int. J. Adv. Manuf. Technol. 2014, 70, 661–668. [Google Scholar] [CrossRef]
- Vollert, F.; Luchiner, M.; Schuster, S.; Simon, N.; Gibmeier, J.; Kern, K.; Schreiner, M.; Tillmann, W. Experimental and numerical analyses of residual stresses induced by tube drawing. J. Strain. Anal. Eng. 2018, 53, 364–375. [Google Scholar] [CrossRef]
- Gattmah, J.; Ozturk, F.; Orhan, S. Experimental and finite element analysis of residual stresses in cold tube drawing process with a fixed mandrel for AISI 1010 steel tube. Int. J. Adv. Manuf. Technol. 2017, 93, 1229–1241. [Google Scholar] [CrossRef]
- Kishimoto, T.; Sakaguchi, H.; Suematsu, S.; Tashima, K.; Kajino, S.; Gondo, S.; Suzuki, S. Deformation behavior causing excessive thinning of outer diameter of micro metal tubes in hollow sinking. Metals 2020, 10, 1315. [Google Scholar] [CrossRef]
- Liu, H.; Wang, L.D.; Wang, X.D.; Liu, C. Study on the residual stress of large deformation free pushing diameter-reducing tube blanks. China Mech. Eng. 2021, 32, 1354–1360. [Google Scholar]
- Liu, G.H.; Guo, Y.Q.; Jiang, Z. Influence of heating models on necking deformation during tube extrusion process. Adv. Mater. Res. 2011, 189–193, 1778–1781. [Google Scholar] [CrossRef]
- Teng, H.; Teng, B. An optiming process design for sinking with the thin-wall cylindrical cup. Appl. Mech. Mater. 2014, 456, 22–27. [Google Scholar] [CrossRef]
- Zhao, C.C.; Han, Z.J.; Du, B.; Zhang, X.; Xie, J. Wrinkling prediction of aluminum alloy tubes during reduced diameter compression forming. Int. J. Adv. Manuf. Technol. 2020, 106, 65–75. [Google Scholar] [CrossRef]
- Zhang, X.; Zhao, C.C.; Du, B.; Li, H.; Han, Z.J.; Song, P.F. Numerical simulation on wrinkling instability of tube outer pressure compression. Chin. J. Nonferrous Metals. 2020, 307, 1855–1865. [Google Scholar]
- Shirayori, A.; Fuchizawa, S.; Ishigure, H.; Narazaki, M. Deformation behavior of tubes with thickness deviation in circumferential direction during hydraulic free bulging. J. Mater. Process. Technol. 2003, 139, 58–63. [Google Scholar] [CrossRef]
- He, Z.; Wang, Z.; Lin, Y.; Zhu, H.; Yuan, S. A modified Marciniak-Kuczynski model for determining the forming limit of thin walled tube extruded with initial eccentricity. Int. J. Mech. Sci. 2018, 151, 715–723. [Google Scholar] [CrossRef]
- Wang, L.D.; Cui, Y.P.; Yang, D.F. Study of bulging-pressing compound-deforming automobile axle housing with a common press. Appl. Mech. Mater. 2012, 217, 1972–1977. [Google Scholar] [CrossRef]
- GB/T 8162-2018. Seamless Steel Tubes for Structural Purposes; Standards Press of China: Beijing, China, 2018. [Google Scholar]
- Syahrulbil, S.; Hariz, M.; Hamid, M.; Baker, A. Friction characteristic of mineral oil containing palm fatty acid distillate using four ball tribo-tester. J. Procedia Eng. 2013, 68, 166–171. [Google Scholar] [CrossRef][Green Version]
- Wang, L.D.; Liu, C.; Liu, H.; Wang, X.; Wang, Z. Effects of mandrel diameters on large deformation pushing-pulling necking. China Mech. Eng. 2018, 29, 2131–2136. [Google Scholar]





























| C | Si | Mn | P | S | Cr | Mo |
|---|---|---|---|---|---|---|
| 0.18 | 0.39 | 1.54 | 0.017 | 0.01 | 0.01 | 0.09 |
| Yield Strength (MPa) | Ultimate Tensile Strength (MPa) | Elongation (%) | Elastic Modulus (GPa) | Poisson’s Ratio |
|---|---|---|---|---|
| 418.61 | 589.42 | 31.46 | 210 | 0.30 |
| Reducing Pass | 0 | 1 | 2 | 3 |
|---|---|---|---|---|
| l0 | 54 | 57 | 60 | 63 |
| lt | 198 | 202 | 206 | 210 |
| Reducing Pass | Yield Strength (MPa) | Ultimate Tensile Strength (MPa) | Elongation (%) | Section Shrinkage (%) |
|---|---|---|---|---|
| 0 | 418.61 | 589.42 | 31.46 | 71.35 |
| 1 | 651.22 | 697.59 | 18.44 | 69.89 |
| 2 | 706.08 | 749.92 | 16.65 | 65.90 |
| 3 | 718.42 | 773.20 | 14.30 | 62.75 |
| Reducing Pass | End Diameter | End Wall Thickness | Sizing Area Diameter | Sizing Area Wall Thickness | ||||||||
|---|---|---|---|---|---|---|---|---|---|---|---|---|
| T0 = 0.4 | T0 = 0.8 | T0 = 1.2 | T0 = 0.4 | T0 = 0.8 | T0 = 1.2 | T0 = 0.4 | T0 = 0.8 | T0 = 1.2 | T0 = 0.4 | T0 = 0.8 | T0 = 1.2 | |
| 1 | 191.22 | 191.07 | 190.96 | 7.92 | 7.94 | 7.91 | 188.12 | 188.01 | 187.92 | 8.29 | 8.32 | 8.30 |
| 2 | 163.39 | 163.86 | 163.75 | 8.56 | 8.59 | 8.55 | 160.21 | 160.72 | 160.65 | 9.19 | 9.22 | 9.24 |
| 3 | 140.16 | 140.20 | 140.12 | 9.34 | 9.35 | 9.29 | 136.84 | 136.92 | 136.83 | 10.28 | 10.27 | 10.28 |
| 4 | 117.67 | 117.70 | 117.73 | 10.33 | 10.29 | 10.22 | 114.17 | 114.24 | 114.21 | 11.60 | 11.61 | 11.58 |
| Reducing Pass | T0 = 0 | T0 = 0.4 | T0 = 0.8 | T0 = 1.2 | T0 = 1.6 | T0 = 2.0 | ||||||
|---|---|---|---|---|---|---|---|---|---|---|---|---|
| FEA | EXP | FEA | EXP | FEA | EXP | FEA | EXP | FEA | EXP | FEA | EXP | |
| 1 | 1.63 | - | 1.64 | 1.55 | 1.65 | 1.53 | 1.63 | 1.52 | 1.64 | - | 1.65 | - |
| 2 | 1.67 | - | 1.68 | 1.59 | 1.69 | 1.57 | 1.67 | 1.55 | 1.69 | - | 1.70 | - |
| 3 | 1.72 | - | 1.74 | 1.66 | 1.77 | 1.64 | 1.74 | 1.65 | 1.75 | - | 1.76 | - |
| 4 | 1.83 | - | 1.85 | 1.75 | 1.86 | 1.73 | 1.84 | 1.76 | 1.86 | - | 1.84 | - |
| Reducing Pass | Sizing Area Diameter | End Warpage | ||
|---|---|---|---|---|
| PPDR | PDR | PPDR | PDR | |
| 1 | 189.85 | 187.74 | 0.23 | 1.63 |
| 2 | 162.88 | 160.28 | 0.22 | 1.67 |
| 3 | 137.91 | 136.27 | 0.30 | 1.74 |
| 4 | 114.92 | 113.76 | 0.33 | 1.84 |
| Reducing Pass | Unevenness (mm) | Relative Unevenness | ||
|---|---|---|---|---|
| PPDR | PDR | PPDR | PDR | |
| 1 | 0.45 | 1.30 | 0.26% | 0.76% |
| 2 | 0.34 | 1.63 | 0.23% | 1.13% |
| 3 | 0.32 | 1.77 | 0.27% | 1.56% |
| 4 | 0.35 | 2.21 | 0.37% | 2.34% |
| Reducing Pass. | End Warpage | End Unevenness | ||||
|---|---|---|---|---|---|---|
| EXP of PPDR | EXP of PDR | FEA of PPDR | EXP of PPDR | EXP of PDR | FEA of PPDR | |
| 1 | 0.43 | 1.52 | 0.23 | 0.65 | 1.39 | 0.45 |
| 2 | 0.36 | 1.55 | 0.22 | 0.54 | 1.69 | 0.34 |
| 3 | 0.35 | 1.65 | 0.30 | 0.50 | 1.90 | 0.32 |
| 4 | 0.41 | 1.76 | 0.33 | 0.49 | 2.47 | 0.35 |
Publisher’s Note: MDPI stays neutral with regard to jurisdictional claims in published maps and institutional affiliations. |
© 2021 by the authors. Licensee MDPI, Basel, Switzerland. This article is an open access article distributed under the terms and conditions of the Creative Commons Attribution (CC BY) license (https://creativecommons.org/licenses/by/4.0/).
Share and Cite
Liu, H.; Wang, L.; Wang, X.; Tan, Q. Analysis and Control of Cracking and Wrinkling at the End of Seamless Steel Tube with Multi-Pass Large Deformation Diameter-Reducing. Metals 2021, 11, 1438. https://doi.org/10.3390/met11091438
Liu H, Wang L, Wang X, Tan Q. Analysis and Control of Cracking and Wrinkling at the End of Seamless Steel Tube with Multi-Pass Large Deformation Diameter-Reducing. Metals. 2021; 11(9):1438. https://doi.org/10.3390/met11091438
Chicago/Turabian StyleLiu, Heng, Liandong Wang, Xiaodi Wang, and Qiying Tan. 2021. "Analysis and Control of Cracking and Wrinkling at the End of Seamless Steel Tube with Multi-Pass Large Deformation Diameter-Reducing" Metals 11, no. 9: 1438. https://doi.org/10.3390/met11091438
APA StyleLiu, H., Wang, L., Wang, X., & Tan, Q. (2021). Analysis and Control of Cracking and Wrinkling at the End of Seamless Steel Tube with Multi-Pass Large Deformation Diameter-Reducing. Metals, 11(9), 1438. https://doi.org/10.3390/met11091438
