Impact Joining of Pure Copper C1100 and Aluminum Alloy A6061-T6 Plates at Edges
Abstract
:1. Introduction
2. Impact Joining Method
3. Joining Device and Experimental Conditions
4. Experimental Result and Discussions
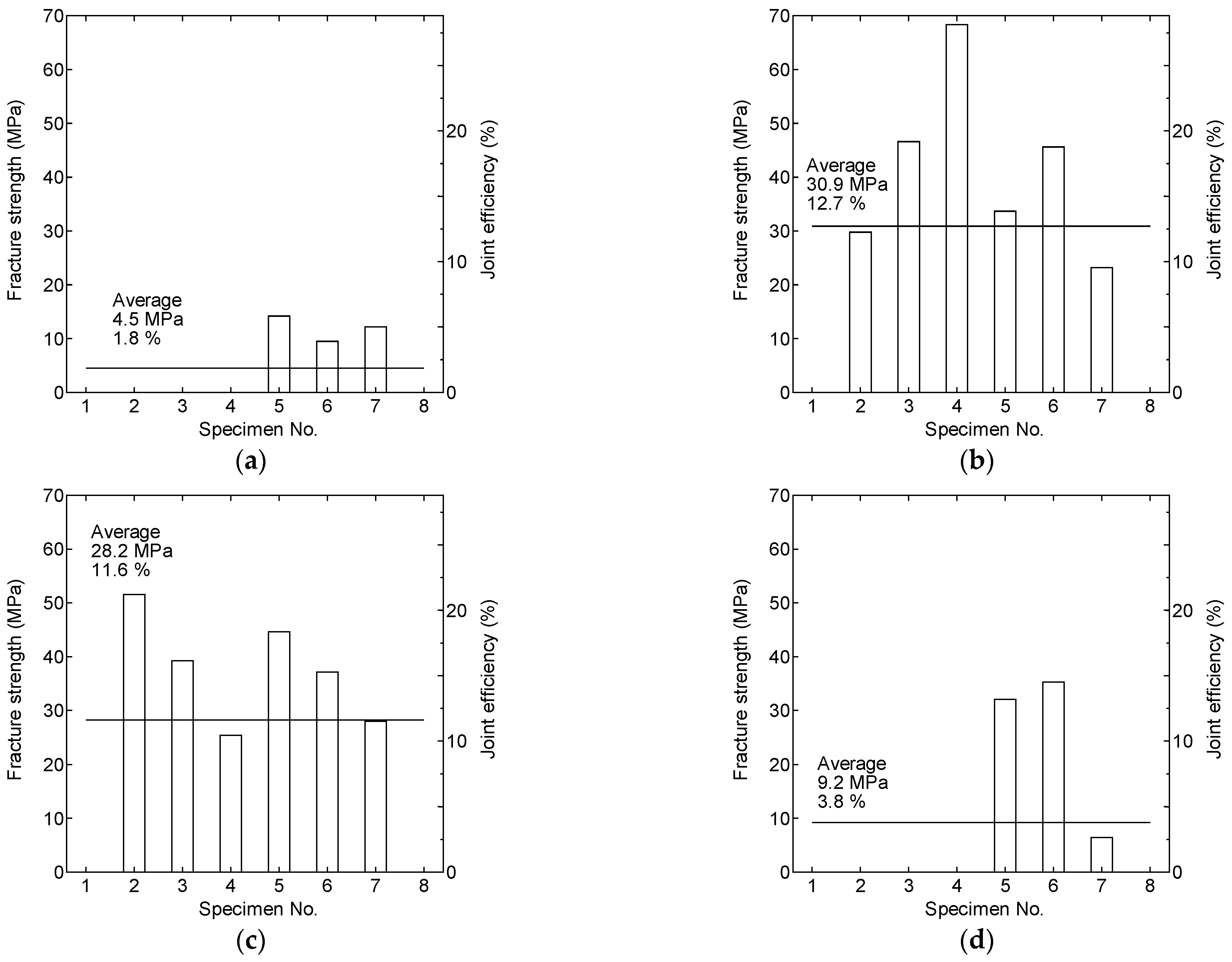
4.1. Joining Using Sheared Surface
4.2. Joining Using Shaved Surface
5. Conclusions
Author Contributions
Funding
Data Availability Statement
Conflicts of Interest
References
- Senoris-Puentes, S.; Serrano, R.F.; Gonzalez-Doncel, G.; Hattel, J.H.; Mishin, O.V. Microstructure and mechanical properties of friction stir welded AA6061/AA6061 + 40 vol% SiC plates. Metals 2021, 11, 206. [Google Scholar] [CrossRef]
- Ji, Y.; Wu, S.; Zhao, D. Microstructure and mechanical properties of friction welding joints with dissimilar titanium alloys. Metals 2016, 6, 108. [Google Scholar] [CrossRef]
- Ouyang, J.; Yarrapareddy, E.; Kovacevic, R. Microstructural evolution in the friction stir welded 6061 aluminum alloy (T6-temper condition) to copper. J. Mater. Proc. Technol. 2006, 172, 110–122. [Google Scholar] [CrossRef]
- Zhu, X.; Fan, Y.; Xie, L.; Xiao, X.; Wang, P.; Yang, S.; Jiang, C. Effect of rotation speed on microstructure and mechanical properties of continuous drive friction welded dissimilar joints of 6061-T6 Al and copper. Metals 2022, 12, 1173. [Google Scholar] [CrossRef]
- Prakash, O.; Dwivedi, S.; Pagrut, S.; Rajawat, M.S.; Raj, R.; Srivastava, A.K.; Dixit, A.R. Investigation on the friction stir assisted lap joining of pure copper and aluminium 6063 alloy. Mater. Today Proc. 2022, 62, 398–403. [Google Scholar] [CrossRef]
- Kurabayashi, K.; Tokita, S.; Sato, Y. Effect of Ni addition on the interfacial strength of Al/Cu dissimilar welds produced by friction stir lap welding. Metals 2022, 12, 453. [Google Scholar] [CrossRef]
- Eslami, N.; Hischer, Y.; Harms, A.; Lauterbach, D.; Bohm, S. Influence of copper-sided tin coating on the weldability and formation of friction stir welded aluminum-copper-joints. Metals 2019, 9, 179. [Google Scholar] [CrossRef]
- Bergmann, J.P.; Petzoldt, F.; Schurer, R.; Schneider, S. Solid-state welding of aluminum to copper—Case studies. Weld. World 2013, 57, 541–550. [Google Scholar] [CrossRef]
- Gao, K.; Zhang, S.; Mondal, M.; Basak, S.; Hong, S.T.; Shim, H. Friction stir spot butt welding of dissimilar S45C steel and 6061-T6 aluminum alloy. Metals 2021, 11, 1252. [Google Scholar] [CrossRef]
- Dehghan, S.; Abbasi, R.; Baharudin, B.T.H.T.; Mousavi, M.L.; Soury, E. A novel approach to friction drilling process: Experimental and numerical study on friction drill joining of dissimilar materials AISI304/AL6061. Metals 2022, 12, 920. [Google Scholar] [CrossRef]
- Bay, N. Mechanisms producing metallic bonds in cold welding. Weld. Res. Suppl. 1983, 62, 137–142. [Google Scholar]
- Shirzadi, A.A.; Zhang, C.; Mughal, M.Z.; Xia, P. Challenges and latest developments in diffusion bonding of high-magnesium aluminium alloy (Al-5056/Al-5A06) to stainless steels. Metals 2022, 12, 1193. [Google Scholar] [CrossRef]
- Silva, M., Jr.; Ramos, A.S.; Simoes, S. Joining Ti6Al4V to alumina by diffusion bonding using titanium interlayers. Metals 2021, 11, 1728. [Google Scholar] [CrossRef]
- Huang, Z.; Yanagimoto, J. Dissimilar joining of aluminum alloy and stainless steel thin sheets by thermally assisted plastic deformation. J. Mater. Proc. Technol. 2015, 225, 393–404. [Google Scholar] [CrossRef]
- Wu, H.Y.; Lee, S.; Wang, J.Y. Solid-state bonding of iron-based alloys, steel-brass, and aluminum alloys. J. Mater. Proc. Technol. 1998, 75, 173–179. [Google Scholar] [CrossRef]
- Loh, N.L.; Wu, Y.L.; Khor, K.A. Shear bond strength of nickel/alumina interfaces diffusion bonded by HIP. J. Mater. Proc. Technol. 1993, 37, 711–721. [Google Scholar] [CrossRef]
- Pawlicki, M.; Drenger, T.; Pieszak, M.; Borowski, J. Cold upset forging joining of ultra-fine-grained aluminium and copper. J. Mater. Proc. Technol. 2015, 223, 193–202. [Google Scholar] [CrossRef]
- Eivani, A.R.; Mirzakoochakshirazi, H.R.; Jafarian, H.R. Investigation of joint interface and cracking mechanism of thick cladding of copper on aluminum by equal channel angular pressing (ECAP). J. Mater. Res. Technol. 2020, 9, 3394–3405. [Google Scholar] [CrossRef]
- Matsumoto, R.; Hashimoto, K.; Utsunomiya, H. Improvement in bonding strength by applying circumferential sliding in cold copper/aluminum forge-bonding. J. Mater. Proc. Technol. 2022, 307, 117685. [Google Scholar] [CrossRef]
- Lapovok, R.; Dubrovsky, M.; Kosinova, A.; Raab, G. Effect of severe plastic deformation on the conductivity and strength of copper-clad aluminium conductors. Metals 2019, 9, 960. [Google Scholar] [CrossRef]
- Wang, Q.; Li, X.; Shi, B.; Wu, Y. Experimental and numerical studies on preparation of thin AZ31B/AA5052 composite plates using improved explosive welding technique. Metals 2020, 10, 1023. [Google Scholar] [CrossRef]
- Kaya, Y. Investigation of copper-aluminium composite materials produced by explosive welding. Metals 2018, 8, 780. [Google Scholar] [CrossRef]
- Zhao, H. The microstructure and property of a titanium-carbon steel clad plate prepared using explosive welding. Metals 2022, 12, 129. [Google Scholar] [CrossRef]
- Bunaziv, I.; Akselsen, M.; Ren, X.; Nyhus, B.; Eriksson, M.; Gulbrandsen-Dahl, S. Review on laser-assisted joining of aluminium alloys to other metals. Metals 2021, 11, 1680. [Google Scholar] [CrossRef]
- Seibold, M.; Schricker, K.; Bergmann, J.P. Systematic adjustment of the joining time in pulsed laser beam welding of aluminum-copper joints by means of a closed-loop control. J. Adv. Join. Process. 2022, 5, 100104. [Google Scholar] [CrossRef]
- Zhang, Y.; Li, Y.; Luo, Z.; Yuan, T.; Bi, J.; Wang, Z.M.; Wang, Z.P.; Chao, Y.J. Feasibility study of dissimilar joining of aluminum alloy 5052 to pure copper via thermo-compensated resistance spot welding. Mater. Des. 2016, 106, 235–246. [Google Scholar] [CrossRef]
- Mathivanan, K.; Plapper, P. Laser welding of dissimilar copper and aluminum sheets by shaping the laser pulses. Procedia Manufact. 2019, 36, 154–162. [Google Scholar] [CrossRef]
- Dimatteo, V.; Ascari, A.; Liverani, E.; Fortunato, A. Experimental investigation on the effect of spot diameter on continuous-wave laser welding of copper and aluminum thin sheets for battery manufacturing. Opt. Laser Technol. 2022, 145, 107495. [Google Scholar] [CrossRef]
- Dimatteo, V.; Ascari, A.; Fortunato, A. Continuous laser welding with spatial beam oscillation of dissimilar thin sheet materials (Al-Cu and Cu-Al): Process optimization and characterization. J. Manuf. Process. 2019, 44, 158–165. [Google Scholar] [CrossRef]
- Mathivanan, K.; Plapper, P. Artificial neural network to predict the weld status in laser welding of copper to aluminum. Procedia CIRP 2021, 103, 61–66. [Google Scholar] [CrossRef]
- Yang, J.; Cao, B. Investigation of resistance heat assisted ultrasonic welding of 6061 aluminum alloys to pure copper. Mater. Des. 2015, 74, 19–24. [Google Scholar] [CrossRef]
- He, X.; Zhao, L.; Deng, C.; Xing, B.; Gu, F.; Ball, A. Self-piercing riveting of similar and dissimilar metal sheets of aluminum alloy and copper alloy. Mater. Des. 2015, 65, 923–933. [Google Scholar] [CrossRef]
- Lei, L.; He, X.; Zhao, D.; Zhang, Y.; Gu, F.; Ball, A. Clinch-bonded hybrid joining for similar and dissimilar copper alloy, aluminium alloy and galvanised steel sheets. Thin-Walled Struct. 2018, 131, 393–403. [Google Scholar] [CrossRef]
- Yamashita, M.; Tezuka, T.; Hattori, T. Joining experiment of aluminum sheets using high-speed shearing. Appl. Mech. Mater. 2014, 566, 379–384. [Google Scholar] [CrossRef]
- Yamashita, M.; Shibuya, T.; Nikawa, M. Impact joining of metallic sheets and evaluation of its performance. Mater. Res. Proc. 2019, 13, 91–96. [Google Scholar] [CrossRef]
- Hou, Y.; Mi, X.; Xie, H.; Zhang, W.; Huang, G.; Peng, L.; Feng, X.; Yang, Z. Size effect on mechanical properties and deformation behavior of pure copper wires considering free surface grains. Materials 2020, 13, 4563. [Google Scholar] [CrossRef]



















| Material | Ultimate Tensile Strength (MPa) | C (MPa) | n—Value |
|---|---|---|---|
| C1100-1/4H | 243 | 443 | 0.249 |
| A6061-T6 | 322 | 431 | 0.084 |
Publisher’s Note: MDPI stays neutral with regard to jurisdictional claims in published maps and institutional affiliations. |
© 2022 by the authors. Licensee MDPI, Basel, Switzerland. This article is an open access article distributed under the terms and conditions of the Creative Commons Attribution (CC BY) license (https://creativecommons.org/licenses/by/4.0/).
Share and Cite
Yamashita, M.; Iwatsuka, T.; Taguchi, H.; Nikawa, M. Impact Joining of Pure Copper C1100 and Aluminum Alloy A6061-T6 Plates at Edges. Metals 2022, 12, 1565. https://doi.org/10.3390/met12101565
Yamashita M, Iwatsuka T, Taguchi H, Nikawa M. Impact Joining of Pure Copper C1100 and Aluminum Alloy A6061-T6 Plates at Edges. Metals. 2022; 12(10):1565. https://doi.org/10.3390/met12101565
Chicago/Turabian StyleYamashita, Minoru, Toru Iwatsuka, Haruchika Taguchi, and Makoto Nikawa. 2022. "Impact Joining of Pure Copper C1100 and Aluminum Alloy A6061-T6 Plates at Edges" Metals 12, no. 10: 1565. https://doi.org/10.3390/met12101565
APA StyleYamashita, M., Iwatsuka, T., Taguchi, H., & Nikawa, M. (2022). Impact Joining of Pure Copper C1100 and Aluminum Alloy A6061-T6 Plates at Edges. Metals, 12(10), 1565. https://doi.org/10.3390/met12101565
