Abstract
To evaluate the collapse pressure of the steel–composite hybrid cylinders under external pressure without excessive computational cost, an analytical formula was derived in this study. The rationality of the derived formula was verified by the comparison with experimental and numerical results. The experimental results indicate that samples are manufactured and tested with good quality. The derived formula considered material failure and could reasonably predict the collapse pressure of the steel–composite hybrid cylinders with a maximum difference of 3.1%. Moreover, the effects of the wrap angle, thickness, and length on the collapse pressure of the hybrid cylinders were theoretically analyzed. The loading capacity of the hybrid cylinders was maximized under a wrap angle of ±55° for the composite layer. These findings are mainly because the hoop stress is twice the value of axial stress for a cylinder under uniform pressure.
1. Introduction
Steel cylindrical shells have a robust design, can be produced using mature techniques, and are widely used in ships and marine structures, such as pressure vessels and pipelines used in autonomous underwater vehicles, human-occupied vehicles, and subsea engineering applications [1,2,3,4,5]. However, steel cylinders are prone to instability or collapse under external pressure [6]. The instability of steel cylinders has been investigated analytically and experimentally [3,7,8,9,10]. Moreover, steel cylinders are sensitive to imperfections, which can considerably reduce their collapse pressure. Cylinders with imperfections thus have poor structural efficiency.
Therefore, steel–composite hybrid cylinders with improved structural efficiency have been proposed. These hybrid cylinders have attracted considerable research attention because they possess the advantages of steel and composite cylinders [11,12,13,14,15]. The inclusion of composite layers can considerably improve the structural efficiency of a steel cylinder. These layers have high specific strength and stiffness [16,17], flexible manufacturing requirements, excellent energy absorption ability [18], and high corrosion resistance [19,20]. Many studies have numerically and experimentally investigated hybrid cylinders subjected to axial and internal pressure [21,22]. Teng and Hu [21] experimentally demonstrated that external wrapping with composite layers enhanced the ductility of steel cylinders under axial compression. Subsequently, Vakili [23] used experimental and numerical approaches to demonstrate that local wrapping with composite layers substantially increases the loading capacity of an elephant-foot cylinder under axial and internal pressure. However, few studies have experimentally evaluated the collapse properties of steel–composite hybrid cylinders under external pressure.
The collapse pressure of steel and composite cylinders is typically evaluated using an analytical approach. Numerous studies have developed analytical approaches for quickly predicting the buckling or collapse pressure of steel-only cylinders. Some formulas, such as the Venstel–Krauthaer [24], Ross [25], CCS2013 (submersible specifications of the China Classification Society) [26], and ABS2012 (submersible specifications of the American Bureau of Shipping) [27] formulas, have been proposed for evaluating the loading capacity of cylinders under uniform external pressure.
For composite-only cylinders, several analytical formulas have been developed for the rapid prediction of the buckling pressure [28,29,30]. For example, Rosenow [31] developed an analytical solution based on classical lamination theory (CLT) to predict the buckling pressure of composite cylinders and reported that the filament wound pipe should be wound at 54.75° for optimal biaxial pressure loading. Imran and Shi [32,33] used linear eigenvalues to optimize the design of composite cylinders subjected to external uniform pressure. They later [34] developed an analytical model based on first-order shear deformation theory for evaluating the buckling of composite cylinders. Given multiple boundary conditions, Lopatin [35,36] predicted the critical buckling pressure of composite cylinders with various closed ends by using an analytical method. Bai [37,38,39] proposed an analytical buckling model for reinforced thermoplastic pipes that can describe cases with various load types, such as bending, tension, and external pressure. Moreover, Messager [40] proposed a linear Sanders-type buckling model of cross-ply cylinders in which winding-induced geometrical imperfections were considered.
However, no study has derived an analytical formula for predicting the collapse pressure of steel–composite hybrid cylinders under external pressure. Thus, a reasonable formula without excessive computations should be developed for predicting the collapse pressure of such cylinders.
In this study, an analytical approach and experimental approach were adopted for evaluating the collapse pressure of steel–composite hybrid cylinders under external pressure. The remainder of this paper is organized as follows: Section 2 details an analytical formula designed to evaluate the collapse pressure of steel–composite hybrid cylinders under external pressure. Section 3 describes a comparison of analytical, experimental, and numerical results for steel-only and steel–composite hybrid cylinders. This section also provides a theoretical explanation of the effects of the wrap angle, thickness, and length on the collapse pressure of such cylinders. Finally, Section 4 presents the conclusions of this study and provides suggestions for future research. The results indicate that the proposed formula can reasonably predict the collapse pressure of steel–composite hybrid cylinders. The maximum difference between the predictions and the experimental results was 3.1%. Moreover, the loading capacity of the hybrid cylinders was maximized under a wrap angle of ±55° for the composite layer.
2. Materials and Methods
An analytical formula was designed to evaluate the collapse pressure of steel–composite hybrid cylinders under external pressure. For comparison, these pressures were also calculated using the NASA SP-8700 [28] and ASME Code 2007 (RD-1172) [29] formulas on the basis of a modified stiffness matrix.
2.1. Problem Definition
A steel cylinder strengthened with composite is investigated in this study. The steel–composite hybrid cylinder comprises an outer composite layer and an inner steel layer (Figure 1). The grade of the inner steel layer is O6Cr19Ni10 according to GB/T 3280-2015 [41]. This grade is equivalent to 304 according to ASTM A959-16 [42]. The carbon-fiber-reinforced polymer (CFRP) prepreg (CFS24T300) was adopted in the outer composite layer.
Figure 1.
Geometry of a steel–composite cylindrical shell.
The two ends of the hybrid cylinder are enclosed by heavy bungs, which impose rigid boundary conditions on the cylinder’s ends [43,44]. The outer surfaces of the hybrid cylinder and the bungs are subjected to a uniform external hydrostatic pressure P0. This loading causes the radial and axial compression of the cylinder (Figure 2).
Figure 2.
Cylindrical shell under hydrostatic pressure.
The steel–composite hybrid cylinder has a length of L, a total thickness of h, and an inner radius of R. Moreover, the wrap angle of its composite layer is θ (Figure 3). The thicknesses of the steel and composite layers are ts and tc, respectively. The outer radius of the cylinder is Rs. The thickness of a single composite layer is tl. The steel layer can be transformed into n equivalent isotropic single layers with a thickness of tl each. Therefore, if the total number of layers is N, the numbers of steel and composite single layers are n and N − n, respectively.
Figure 3.
Stacking sequence of the steel–composite cylindrical shell.
2.2. Mechanical Properties
According to Hooke’s law, the stress and strain in a single layer (Figure 4) have the following relationship:
where E1 and E2 represent the Young’s moduli of the fiber and matrix orientations, respectively.
Figure 4.
Stress of a two-dimensional single layer: (a) fiber-directional stress; (b) in-plane transversal stress; (c) in-plane shear stress.
By substituting Equations (1) and (2) into Equation (3), the following matrix is obtained:
where , , , and . In isotropic materials, , , and .
where represents the reduced stiffness matrix. On the basis of Equation (4), the stresses in layer k can be expressed as follows (Figure 5):
where tl and q represent the thickness of a single layer and the curvature, respectively.
where θk represents the fiber orientation of the composite layer (Figure 5).
Figure 5.
Layer orientation (θk) and internal forces of the composite layer of a steel–composite cylinder.
For isotropic materials, the following equations are obtained:
The equilibrium conditions applied to the force system in the composite and steel layers are presented in Figure 5 and Figure 6.
Figure 6.
Internal force of a single steel layer (Δts = tl) of a steel–composite cylinder.
The following equilibrium equations are obtained on the basis of CLT:
where −s and −c represent the steel and composite layers, respectively; n = ts/tl; ts is the thickness of the steel layer (Figure 2); h is the total thickness of the hybrid cylinder; N = n + tc/tl; and tc is the thickness of the composite layer (Figure 2).
By substituting Equations (5) and (7) into Equations (8) and (9), the following equations are obtained:
By merging the resultant equation, the following equations are obtained:
where Aij and Bij represent the extensional stiffness and bending extensional stiffness of the hybrid structure, respectively. By substituting Equations (5) and (7) into Equations (8) and (9) and merging the resultant equations, the following expression is obtained:
where Dij is the bending stiffness of the hybrid structure and is calculated using Equations (5), (7)–(9), and (16).
2.3. Analytical Formulas
2.3.1. Designed Formula
For simultaneously considering the elastic buckling mode and material failure mode, an analytical formula was designed for calculating the collapse pressure of steel–composite hybrid cylinders under external pressure (Figure 6). The Merchant–Rankine formula can be used to determine the collapse load of a structure with a rigid support with satisfactory accuracy [45]. The collapse pressure (Pc) formula proposed in this study was derived from the measured collapse pressure of hybrid cylinder models. The Merchant–Rankine equation was marginally modified by introducing a numerical factor b. This equation comprises the elastic buckling pressure (Pe) and material failure pressure (Pf) for steel–composite hybrid cylinders. The modified Merchant–Rankine formula is expressed as follows:
where , , and represent the collapse pressure, elastic buckling pressure, and material pressure of the hybrid cylinder, respectively, and b = 0.1.
The steel–composite hybrid cylinder deforms under external pressure, and this deformation progresses until it collapses. During deformation, internal forces act on the steel and composite layers. The steel and composite materials begin to fail under the load at which the stresses match the tensile, compressive, transverse, or shear strength of the material, and the steel–composite hybrid cylinder is assumed to collapse under the failure pressure. The force resultant (Equation (18)) was determined on the basis of the constitutive equation. The stresses under external pressure can be calculated using Equations (5) and (18).
where Nx = −PR/2, Ny = −PR, and Nxy = 0 are the membrane forces, and P represents the applied pressure.
For each composite single layer, the total stress is separated into the fiber-directional stress (), in-plane transversal stress (), and in-plane shear stress (). For each steel single layer, the total stress is separated into the in-plane stress () and shear stress (). The ratios of these stresses to the tensile, compressive, and shear strengths can be calculated to determine the maximum failure index H. Therefore, the material failure pressure () of the hybrid cylinder can be obtained by dividing the applied pressure (P) by the maximum failure index (H) as follows:
where , , , , and represent the fiber tensile, fiber compressive, matrix tensile, matrix compressive, and shear strengths of the composite layer, respectively. Moreover, , , and represent the tensile, compressive, and shear strengths of the steel layer, respectively.
The proposed analytical model for elastic buckling () does not consider transverse shear effects. The presented linear buckling analysis is based on the principles of the Messager [40] model. Equilibrium is achieved between the internal and external forces acting in the cylindrical coordinate system on a shell element. The following three partial differential equations are satisfied:
where and represent the membrane forces.
According to thin shell theory, the strain–displacement relationship [40,46] is expressed as follows:
Moreover, the displacement approximation functions indicating the shape of the instability mode of the cylindrical shell can be expressed as presented in Equation (24). The cylindrical shell subjected to uniform external pressure is simply supported at edges x = 0 and x = L.
where α = mπ/L and β = n/R; m and n are the numbers of longitudinal and circumferential half waves, respectively; R is the inner radius of the cylindrical shell; and U, V, and W are unknown constants that represent the maximum displacements in the x-direction, y-direction, and z-direction, respectively.
By substituting Equations (13)–(16), (23), and (24) into Equations (20)–(22) and integrating the governing equation, an eigenvalue problem with a simple form (Equation (25)) is obtained. The lowest Pe value is the elastic buckling pressure of the hybrid structure.
where , , , , , , , and . The parameters Aij, Bij, and Dij are computed using Equations (13)–(16), and FC is the safety factor.
2.3.2. Modified NASA SP-8700 Formula
The NASA SP-8700 formula [28], which is based on CLT, can be used to determine the buckling pressure of a composite cylinder. By using the modified stiffness matrix (Section 2.2), this formula (Equation (26)) can be used to calculate the collapse pressure of a steel–composite hybrid cylinder.
where , , , , , .
The parameters R and L represent the inner radius and length of the cylinder, respectively, and m and n are integers necessary to produce the correct minimum pressure. The term FNASA represents the safety factor (1~5). The C matrices are computed using Equations (13)–(16).
2.3.3. Modified ASME Code 2007 (RD-1172) Formula
The ASME Code 2007 formula [29] (Equation (27)) describes the buckling pressure of a composite cylinder and is used to estimate the allowable pressure. By using the modified stiffness matrix of the hybrid cylinder, Equation (27) can be used to calculate the collapse pressure as follows:
where , , , , and . The matrices A, B, and D are computed using Equations (13)–(16), KD is the knockdown factor (0.84), and γ is the reduction factor. If Zp ≤ 100, . If Zp > 100, γ = 0.9. Furthermore, t is the wall thickness, and FASME is the safety factor. The parameter Zp is calculated as follows:
3. Results and Discussion
This section presents a comparison of the analytical and experimental results obtained for steel-only and steel–composite hybrid cylinders. The elastic buckling pressures of the hybrid cylinders were calculated using analytical formulas and compared with numerical results. Moreover, the effects of the wrap angle, thickness, and length on the collapse pressure of hybrid cylinders were theoretically analyzed.
3.1. Verification of the Analytical Model
3.1.1. Steel-Only Cylinders
Steel–composite hybrid cylinders comprise an outer composite layer and an inner steel layer. The steel layer can be transformed into n equivalent isotropic single layers (Section 2). To verify the rationality of this transformation, the calculated collapse pressure of steel-only cylinders (tc = 0) was compared with the experimental results.
Table 1 presents the collapse pressure of steel-only cylinders obtained using the proposed formula (PC), using the CSS2013 formula (PCCS) [26], using the ABS2012 formula (PABS) [27], and in the experiments (Ptest) of Zhu [47]. The safety factor (FC) was 2.8. The nominal radius and thickness of the steel-only cylinders were 50 and 1 mm, respectively, in the experiments. In Table 1, L/R indicates the ratio of the cylinder length to the cylinder radius.
Table 1.
Collapse pressure (MPa) of steel-only cylinders (hybrid cylinder with tc = 0) obtained using analytical formulas and in experiment I.
Table 2 presents the collapse pressure of steel-only cylinders obtained using the derived formula (PC) (Equation (17)), using the Venstel–Krauthaer formula ( (Equation (29)) [24], using the Ross formula () (Equation (30)) [25], and in the experiments (Ptest) of Zhang [6]. The safety factor was 2.8. The nominal radius, length, and thickness of the steel-only cylinders (SL) were 35, 130, and 1 mm, respectively, in the experiments.
Table 2.
Collapse pressure (MPa) of the steel-only cylinders (hybrid cylinder with tc = 0) obtained using analytical formulas and in experiment II.
The constitutive material used in the calculations was the same as that adopted in the corresponding experiments [6,47]. Table 1 and Table 2 reveal that the proposed formula determined the collapse pressure of the steel-only cylinders with acceptable accuracy in both cases. The errors were 0.020–0.069 and 0.027–0.031 for verification examples I and II, respectively. The minimum errors were 0.020 and 0.027, which are lower than those of the other analytical formulas.
3.1.2. Steel–Composite Hybrid Cylinders
To verify the rationality of the analytical model for the collapse pressure of a steel–composite hybrid cylinder, the [55/−55]4 and [90/90/0/90/90/0/90/90] orientations were chosen as examples of test validation. Five steel–composite hybrid cylinders comprising outer carbon-fiber-reinforced polymer (CFRP) layers and an inner steel layer were fabricated. The flowchart of sample fabrication is depicted in Figure 7a. The hybrid cylinders were enclosed by O-rings acting as heavy steel bungs. The thickness of the steel bungs was 30 mm, and the nominal thickness (ts) and outer radius (Rs) of the steel layer and cylinders were 1.5 and 79.5 mm, respectively. The Young’s modulus and Poisson’s ratio of the steel were 190 GPa and 0.3, respectively. These heavy steel bungs imposed relatively rigid boundary conditions on the cylinder ends. The hand lay-up method was adopted to fabricate the steel–composite hybrid structure. To achieve excellent bonding, the outer surface of the steel cylinder was abrasively blasted and then cleaned using acetone. The steel cylinder was then wrapped using eight CFRP prepreg (CFS24T300) layers (Jiangsu Boshi Carbon Fiber Technology). The nominal thickness (tl) of the one-ply prepreg was 0.15 mm. The mechanical properties of CFRP were provided by the manufacturer and were as follows: E11 = 115 GPa, E22= 7.72 GPa, G12 = 3.72 GPa, Nu12 = 0.33, XT = 1400.09 MPa, XC = 580.06 MPa, YT = 44.36 MPa, YC = 133.03 MPa, and SC = 45.04 MPa. Three hybrid cylinders exhibited wrap sequences of [55/−55]4, where 90° represents the circumferential direction of the cylinder, and were denoted as CYH1, CYH2, and CYH3. Two hybrid cylinders had wrap sequences of [90/90/0/90/90/0/90/90] and were denoted as CYL1 and CYL2. The lengths of the CYH and CYL cylinders were 320 and 280 mm, respectively. Each specimen was varnished using polyurea coating GDJN001 to prevent water absorption [48]. The polyurea-coated films had a total thickness of 0.25 mm. The polyurea layers were applied at 5 h intervals under a temperature of <30 °C.
Figure 7.
Experimental flow: (a) flowchart of cylinder fabrication; (b) samples; (c) sample testing; (d) flanges removed using heat gun.
The testing chamber was an internal cylindrical pressure vessel (Figure 7c) located at Jiangsu University of Science and Technology, Zhenjiang, China. The inner diameter, total inner height, and maximum pressure of the testing chamber were 200 mm, 1000 mm, and 8 MPa, respectively. Each sample was submerged in water without any constraints. A manual water pump was used to apply pressure. The destruction of each sample was accompanied by a loud noise and a decrease in pressure. After the flanges were removed using a heat gun (Figure 7d), the collapse modes of the five samples were observed (Figure 8). The collapse modes appear as local dents. Such local dents are associated with the initial geometric imperfections and plasticity of the steel layer. These results indicate that the collapse mode of such a hybrid structure is similar to the typical characteristic of the shell of revolution under uniform external pressure. As the composite layer has poor ductility, fiber breakage generally occurred due to dent deformation of the steel layer. The fiber breakage of CYH occurs near its center, as depicted in Figure 8a. These failure modes were mainly caused by large deformation in the center. Because of such deformation, the crack extended to the edge of the local dent first in the wrapped direction and then in the opposite direction.
Figure 8.
Collapse modes of the hybrid cylinders with removed rigid bungs: (a) CYH (outer composite [±55]4) and (b) CYL (outer composite [90/90/0/90/90/0/90/90]).
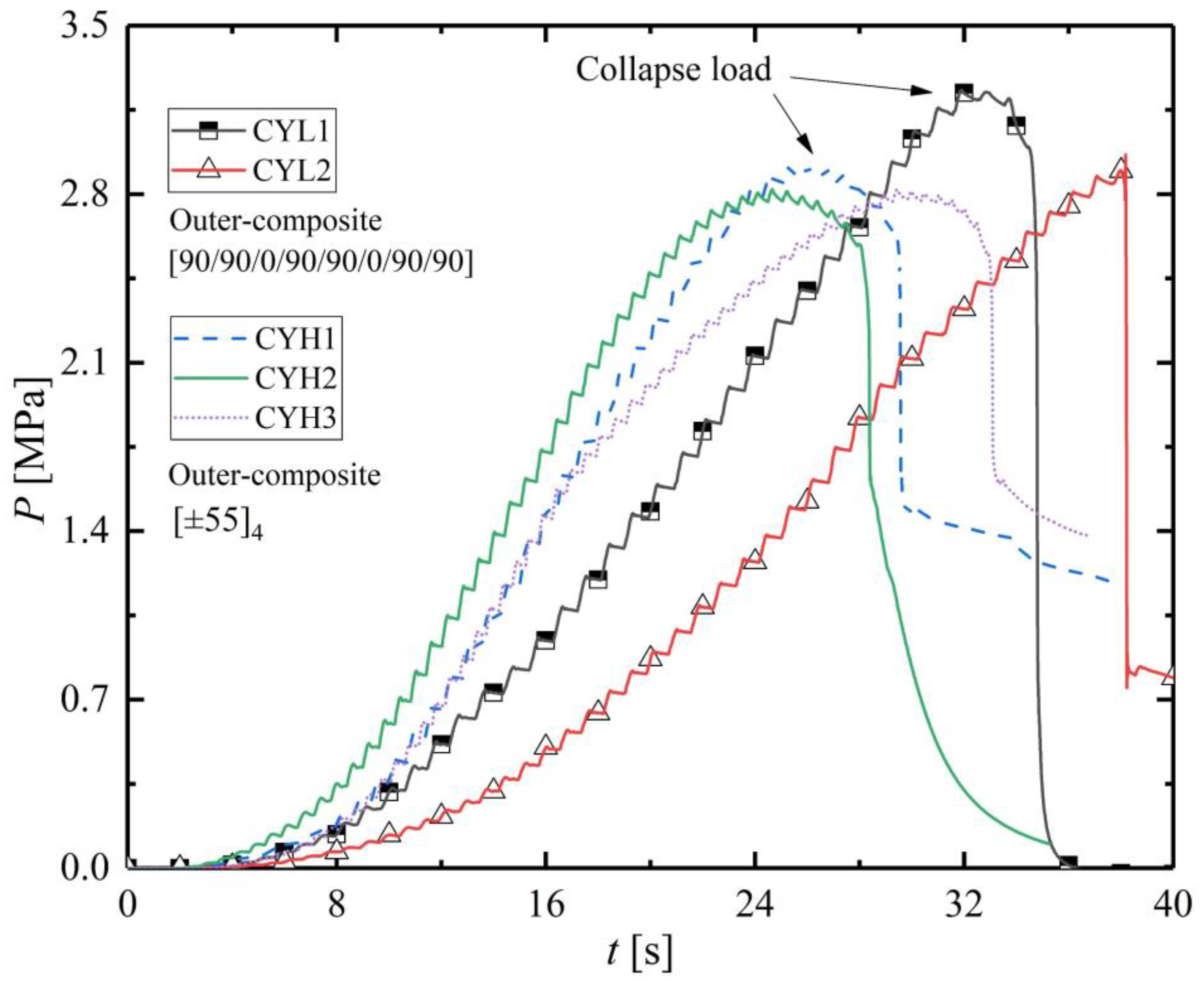
The history of pressure applied to the cylinders, obtained from the hydrostatic tests, is depicted in Figure 9. Each applied pressure monotonically increased until it reached its maximum value, which is the collapse pressure of the corresponding sample. Each pressure fluctuation resembles a staggered slope because of the manual discontinuous operation of the water pump. The staggered horizontal and upward small segments indicate pressure holding and application processes, respectively. Once the maximum value is reached, the pressure on each cylinder suddenly decreases, suggesting the collapse of the cylinders. This decrease occurs because the volume of the steel cylinder is reduced due to deformation. That reveals the plasticity deformation of the steel layer occurred.
Figure 9.
Pressure–time curves obtained through the hydrostatic testing of the hybrid cylinders.
The experiments were highly repeatable. The collapse pressures of CYH1, CYH2, and CYH3 were 2.920, 2.819, and 2.820 MPa, respectively. The average collapse pressure and the maximum difference between the collapse pressure were 2.853 MPa and 3.46%, respectively. The collapse pressures of CYL1 and CYL2 were 3.232 and 2.964 MPa, with the average of and difference between these values being 3.098 MPa and 8.29%, respectively. On the basis of the modified stiffness matrix, the NASA SP-8700, ASME Code 2007 (RD-1172), and proposed formulas were used to calculate the collapse pressure of the hybrid cylinders with FC = 2.8 (Table 3). The NASA SP-8700 and ASME Code 2007 formulas exhibited errors of 25.5–36.9% and 9.7–14.2%, respectively. Although the error of the ASME Code 2007 formula was smaller than that of the NASA SP-8700 formula, both errors were unacceptably large. The proposed formula accounts for the interaction between the elastic buckling mode and the material failure mode. The average differences between the predictions of the proposed formula and the experimental results were 1.7% and 3.1% for CYH and CYL, respectively. Therefore, the proposed formula predicts collapse pressure for hybrid cylinders more accurately than the NASA SP-8700 and ASME Code 2007 formulas.
Table 3.
Experimental and analytical collapse pressure (MPa) of the steel–composite hybrid cylinders (tc-nominal/ts-nominal = 0.8).
Nonlinear RIKS analysis was performed using the ABAQUS/Standard software to reveal the mechanism of collapse behavior of the samples. The finite element model of the sample was established in accordance with the sample’s real geometric shape, which was determined from scanning data. The multilayer shell-type approach was adopted to avoid interface problems associated with hybrid cylinders. This modeling approach has been successfully used to examine the collapse properties of steel–composite cylinders under axial or internal pressure [12,13,15]. As depicted in Figure 10, first, shell elements (S4R) present on the outer surface of the steel layer are assigned an outward offset section. The continuum shell elements (SC8R) are then generated using a mesh offset in the ABAQUS environment. The thickness of the inward offset is the nominal thickness of the CFRP layers (tc = (N − n) × tl). The elements of the steel and CFRP layers share the same nodes and are connected with each other (Figure 10). Two perfect surfaces are drawn and connected to the two ends of each cylinder to simulate the two heavy bungs. The elements of the cylinder and bungs share the same nodes; that is, they are connected. A unit of external pressure is applied to the external surface of each finite-element model. To prevent rigid body displacement, three-point-constraint boundary conditions were used in the analysis. These conditions do not overconstrain the problem because the pressure is equally applied. CCS2018 [49] recommends using similar boundary conditions for evaluating the buckling of various revolution shells under uniform external pressure, and these conditions have been widely used to evaluate the buckling of pressure shells [5].
Figure 10.
Finite-element model of the hybrid cylinders.
For the case of the cylinder CYL1, the numerical results correlate satisfactorily with the experimental data. The numerically obtained equilibrium curve is presented in Figure 11. The curve shows an initial linear increase before a gradual decrease. The maximum von Mises equivalent stress of the steel layer at the maximum pressure point was equal to the material yield point, which suggests that nonlinear elastic–plastic buckling of the steel layer occurred under uniform external pressure. The collapse pressure of the cylinder CYL1, as determined using nonlinear RIKS analysis, is 3.024 MPa, 6.64% lower than that in the experimental data. The difference between the predictions of the derived formula and the numerical result was 5.32% for CYL1. Therefore, the derived formula could reasonably predict the collapse pressure of the hybrid cylinder. Moreover, the postcollapse mode at the end of the pressure curves in Figure 11 formed a local dent. These findings are identical to the experimental observations displayed in Figure 8b. Such a local dent is associated with the initial geometric imperfections and plasticity of the steel layer.
Figure 11.
Applied pressure versus collapse point displacement for the cylinder CYL1.
For further comparison, a linear eigenvalue analysis was performed using the ABAQUS/Standard software to examine the buckling pressure of the steel–composite hybrid cylinders, and the obtained numerical results were compared with the analytical results. The elastic buckling pressure of steel–composite hybrid cylinders were analytically calculated using the modified NASA SP-8700, ASME Code 2007, and proposed formulas for FC = 1. The length (L) and radius (Rs) of the cylinders were 320 and 80 mm, respectively. The ratio of the composite layer to the steel layer was 0.2, 0.8, or 1.6. The wrap sequences of the hybrid cylinders were [15/−15]4, [30/−30]4, [45/−45]4, [50/−50]4, [55/−55]4, [60/−60]4, [65/−65]4, [75/−75]4, and [85/−85]4. Elastic buckling modes obtained using ABAQUS are listed in Table 4. The analytical and numerical results for the buckling pressure of these hybrid cylinders are listed in Table 5, which also presents the wrap angles for these cylinders. The ratios of the buckling pressure calculated with the NASA SP-8007, ASME Code 2007, and proposed formulas to the numerical pressure values were 1.380–1.881, 0.359–0.514, and 0.745–1.030, respectively. For the proposed formula, the average ratio between the calculated and numerical pressure was 0.9, with the standard deviation being 0.09 and the standard error being 0.029 (Equation (31) [50]). Therefore, the proposed formula can accurately evaluate the buckling pressure of hybrid cylinders and is superior to the other two formulas in this task.
Table 4.
Elastic buckling modes obtained using ABAQUS.
Table 5.
Numerical and analytical buckling pressure (MPa).
3.2. Effects of the Wrap Angle, Thickness, and Length on the Collapse Pressure
The modified NASA SP-8700 (), modified ASME Code 2007 (), and proposed formula (PC) were used to determine the effects of the length, wrap angle, and number of layers on the collapse pressure of hybrid cylinders with FC = 2.8. The length (L)-to-radius (Rs) ratios of the cylinders were 2, 3, 4, 6, 8, and 10. The ratios between the thicknesses of the composite (tc) and steel (ts) layers were 0.2, 0.4, 0.8, 1.2, and 1.6. The wrap angle (θ) of the cross-ply composite layer of the hybrid cylinders was 15°–85°. The analytical results for the collapse pressure of these cylinders are listed in Table 6, Table 7, Table 8, Table 9 and Table 10. The error of the ASME formula, which was calculated using the expression , was lower than that of the NASA formula for L/RS values of 2, 3, and 4. The collapse pressures calculated with the ASME and proposed formulas were similar for medium-length and short cylinders.
Table 6.
Collapse pressure (MPa) of hybrid cylinders obtained using analytical formulas when tc/ts = 0.2.
Table 7.
Collapse pressure (MPa) of hybrid cylinders obtained using analytical formulas when tc/ts = 0.4.
Table 8.
Collapse pressure (MPa) of hybrid cylinders obtained using analytical formulas when tc/ts = 0.8.
Table 9.
Collapse pressure (MPa) of hybrid cylinders obtained using analytical formulas when tc/ts = 1.2.
Table 10.
Collapse pressure (MPa) of hybrid cylinders obtained using analytical formulas when tc/ts = 1.6.
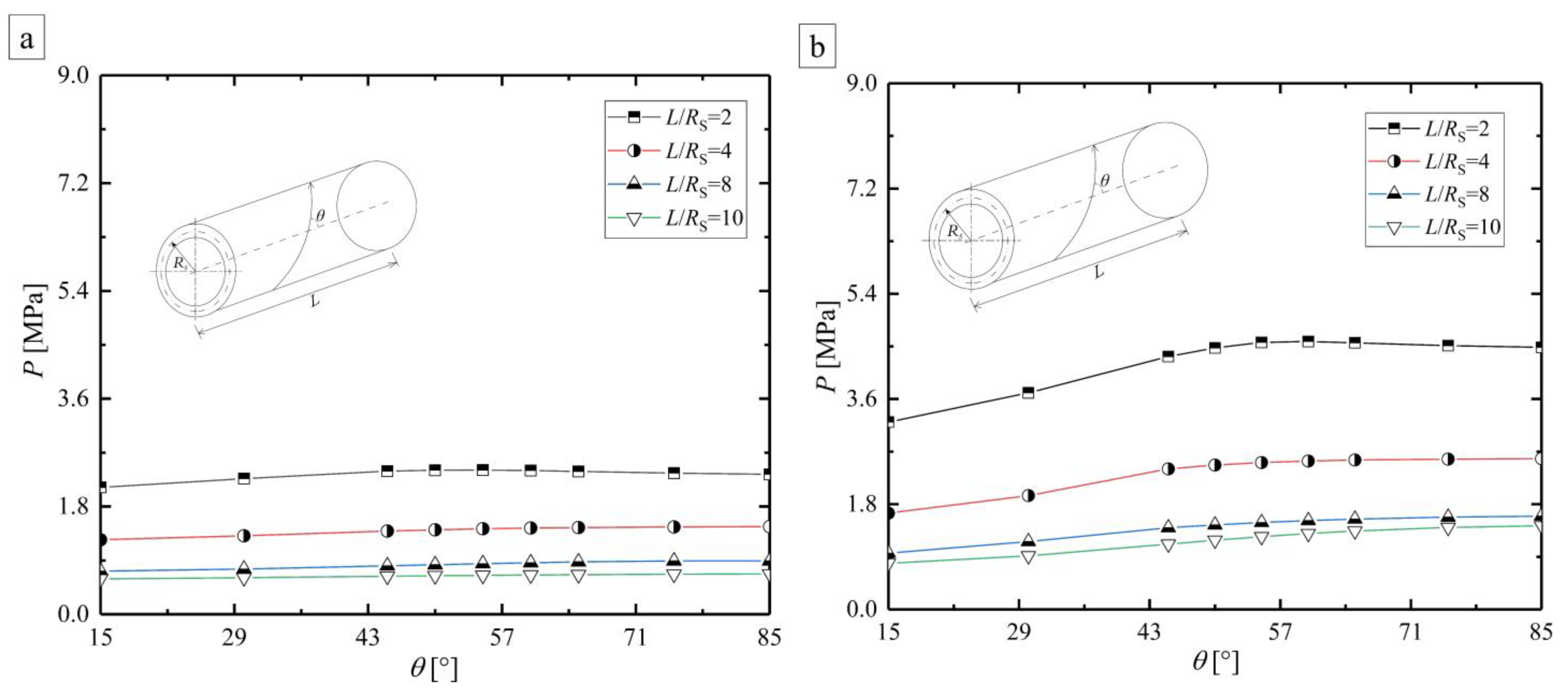
The calculation results were obtained using the proposed formula for the effects of the wrap angle (θ) on the collapse pressure of the steel–composite hybrid cylinders with tc/ts values of 0.2, 0.8, and 1.6 (Figure 12). When tc/ts = 0.2, the collapse pressure of the hybrid cylinders was similar for θ values of 15°–85° (Figure 12a). For a tc/ts value of 0.8 or 1.6, as θ increased, the collapse pressure initially increased and then stabilized (Figure 12a,b). Therefore, the increase in θ can improve the collapse pressure, which can be increased by 113.09% (tc/ts = 1.6, L/RS = 2). Notably, the inflection points of the trends occur at θ = 55°–65°. The collapse pressure was maximized when L/RS = 2 and θ = 55°. The aforementioned results suggest that a wrap angle of ±55° can optimize the loading capacity of steel–composite hybrid cylinders. This angle is the classical wrap angle for a composite pressure shell and is widely used for composite cylinders subjected to external pressure [51,52]. These findings are mainly because the hoop stress is twice the axial stress of a cylinder subjected to external pressure.

Figure 12.
Effect of the wrap angle (θ) of the composite layer on the collapse pressure of the hybrid cylinders: (a) tc/ts = 0.2, (b) tc/ts = 0.8, and (c) tc/ts = 1.6.
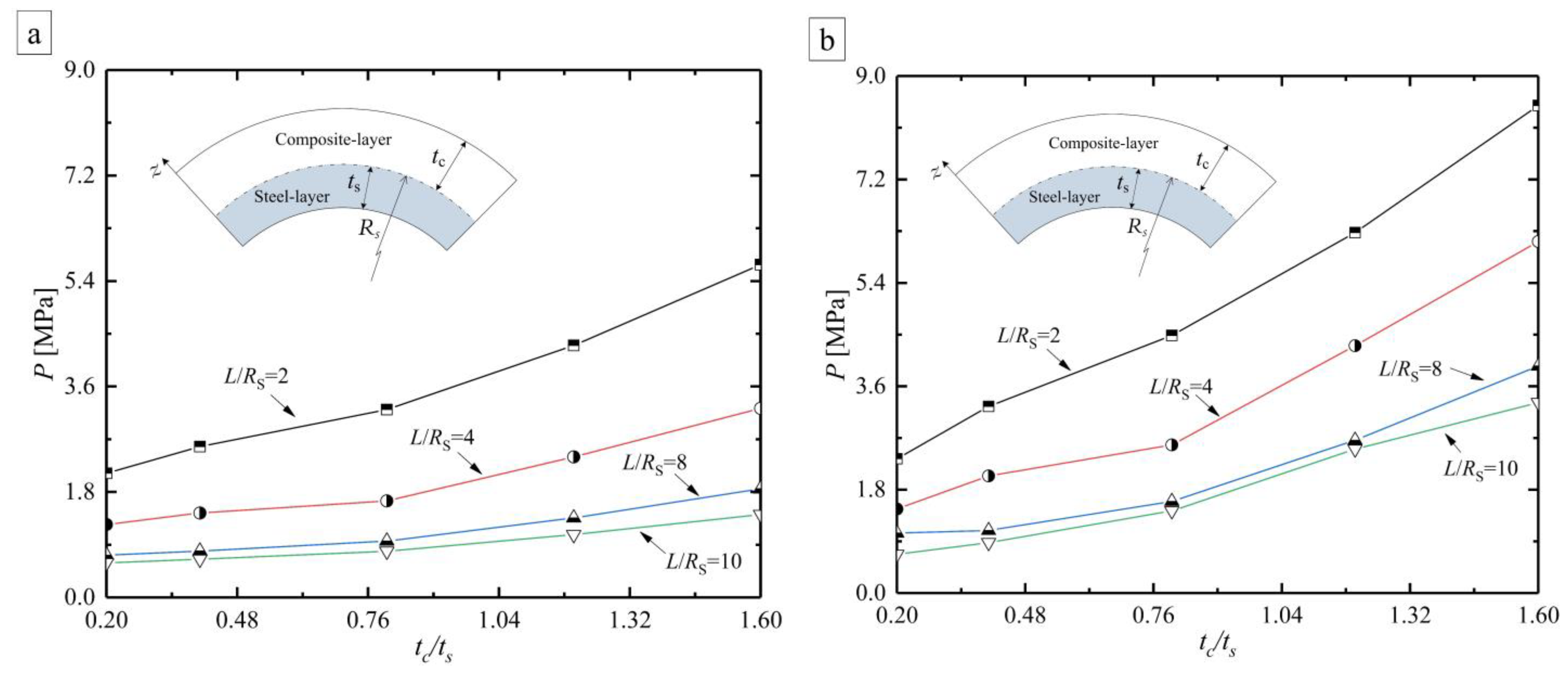
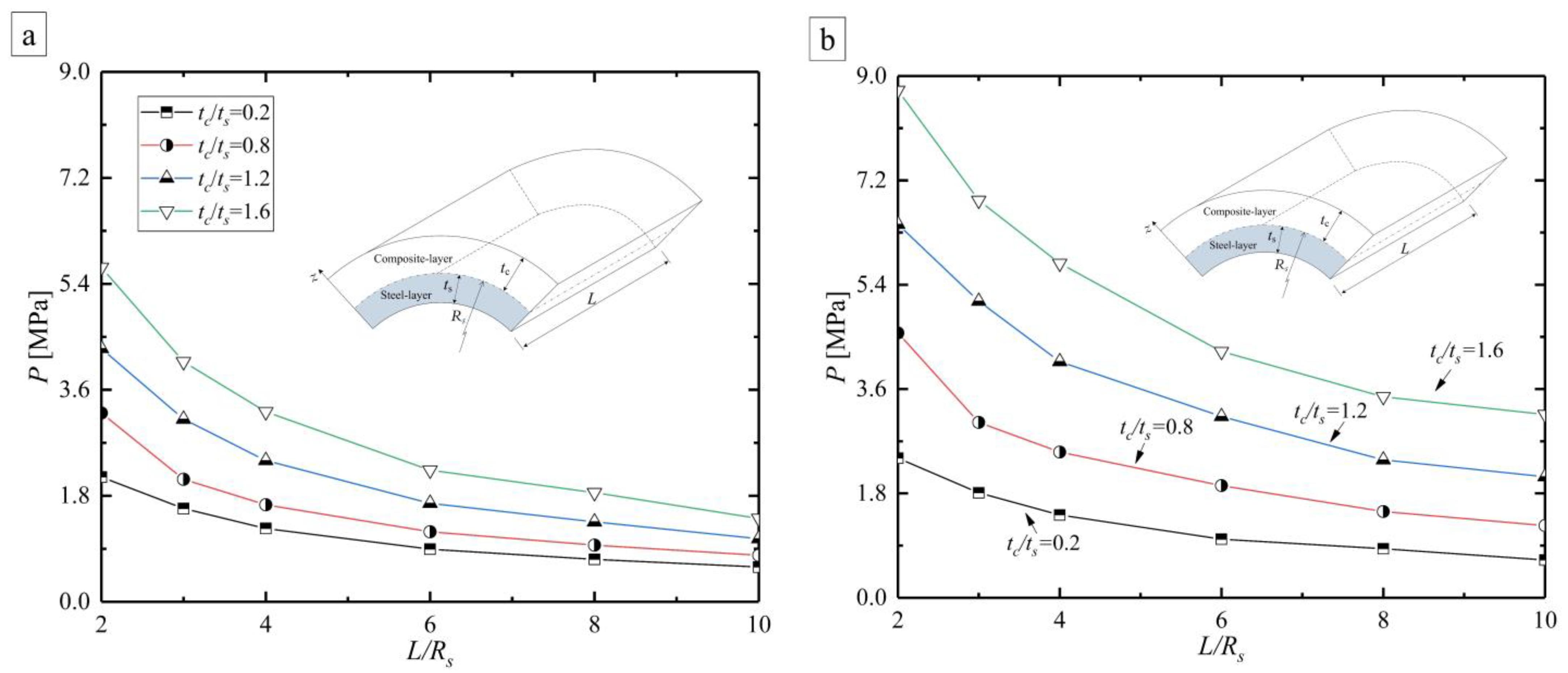
For each length, the collapse pressure monotonically increased with an increase in tc/ts (ts = 1.5 mm, Figure 13). Notably, the rate of this increase reduced as L/RS increased and was affected by the wrap angle (θ). That is because the loading capacity of the longer cylinders considerably decreased. The thickness increasing plays a weak part in improving the loading capacity of the longer cylinders. For an L/RS value of 2, the maximum increases in the collapse pressure with the tc/ts value were 167.86% and 262.93% when θ was 15° and 85°, respectively. The collapse pressure also decreased monotonically as L/RS increased (Figure 14). This decrease was initially rapid but then became more gradual. These findings are mainly because the collapse resistance is considerably higher for shorter cylinders. The length plays a prominent part in improving the loading capacity of the shorter cylinders. The aforementioned trends are reasonably consistent with those obtained for steel-only cylinders [47].
Figure 13.
Effect of the thickness (tc) of the composite layer on the collapse pressure of the hybrid cylinders: (a) θ = 15° and (b) θ = 85°.
Figure 14.
Effect of the length-to-radius ratio (L/Rs,) of hybrid cylinders on their collapse pressure: (a) θ = 15° and (b) θ = 55°.
4. Conclusions
To evaluate the collapse pressure of the steel–composite hybrid cylinders without excessive computational cost, a derived analytical formula was presented in the present work. The rationality of the derived formula was verified by the comparison with experimental and numerical results. The CYH and CYL hybrid cylinder comprises an outer composite layer and an inner steel layer. The wrap sequences of the composite layer were [55/−55]4 and [90/90/0/90/90/0/90/90] for CLH and CLY, respectively. Moreover, the effects of the wrap angle, thickness, and length on the collapse pressure of the hybrid cylinders were theoretically analyzed. The following primary conclusions were drawn:
- (1)
- The derived formula can determine the collapse pressure of steel-only cylinders with acceptable accuracy. The errors of this formula with respect to the results obtained in two verification experiments were 0.020–0.069 and 0.027–0.031. The minimum errors of the proposed formula in these experiments were 0.020 and 0.027, which were lower than the corresponding errors of other analytical formulas.
- (2)
- The experimental results obtained for the steel–composite hybrid cylinders were repeatable. The maximum difference between the experimental collapse pressure was 8.29%. These findings indicate that samples are manufactured and tested with good quality. The average difference between the collapse pressure calculated using the proposed formula and the experimental results was 1.7% and 3.1% for the CYH and CYL cylinders, respectively. The derived formula considered material failure and could reasonably predict the collapse pressure of the steel–composite hybrid cylinders.
- (3)
- An increase in wrap angle caused an increase in the collapse pressure (by up to 113.09%). Notably, the inflection points of the trends occur at a wrap angle ranging from 55° to 65°. The maximum collapse pressure was observed. The aforementioned results suggest that the loading capacity of steel–composite hybrid cylinders can be maximized under a wrap angle of ±55°. These findings are mainly because the hoop stress is twice the value of axial stress for cylinders under uniform pressure.
- (4)
- For each cylinder length, the collapse pressure monotonically increased as the thickness ratios of the composite layer to the steel layer increased. However, the rate of this increase was reduced as the length-to-radius ratio increased and was considerably affected by the wrap angle. That is because the loading capacity of the longer cylinders considerably decreases. The thickness increasing plays a weak part in improving the loading capacity of the longer cylinders. Moreover, as the length-to-radius ratio increased, the collapse pressure initially decreased rapidly and then decreased gradually. These findings are mainly because the collapse resistance is considerably higher for shorter cylinders. The length plays a prominent part in improving the loading capacity of the shorter cylinders.
Future studies should examine the effects of local damage propagation on the collapse properties of steel–composite hybrid cylinders by conducting hydrostatic tests and developing corresponding analytical models for these cylinders.
Author Contributions
Conceptualization, W.T. and J.Z.; methodology, J.Z.; software, X.Z.; validation, X.Z., Y.L., and M.Z.; investigation, M.Z.; data curation, X.Z. and Y.L.; writing—original draft preparation, X.Z.; writing—review and editing, J.Z. All authors have read and agreed to the published version of the manuscript.
Funding
This research was funded by the National Natural Science Foundation of China (grant numbers 52071160 and 52171258); Six Talent Climax Foundation of Jiangsu, China (grant number KTHY-068); and Graduate Research and Innovation Projects in Jiangsu Province, China (KYCX21_3498).
Data Availability Statement
Data are contained within the article.
Conflicts of Interest
The authors declare no conflict of interest.
References
- Magnucki, K.; Jasion, P.; Rodak, M. Strength and Buckling of an Untypical Dished Head of a Cylindrical Pressure Vessel. Int. J. Press. Vessel. Pip. 2018, 161, 17–21. [Google Scholar] [CrossRef]
- Magnucki, K.; Lewinski, J.; Cichy, R. Strength and Buckling Problems of Dished Heads of Pressure Vessels-Contemporary Look. J. Press. Vessel Technol. Trans. ASME 2018, 140, 041201. [Google Scholar] [CrossRef]
- Blachut, J. Buckling of Cylinders with Imperfect Length. In Proceedings of the ASME 2013 Pressure Vessels and Piping Conference, Paris, France, 14–18 July 2013; pp. 1–9. [Google Scholar]
- Błachut, J. Experimental Perspective on the Buckling of Pressure Vessel Components. Appl. Mech. Rev. 2014, 66, 30–33. [Google Scholar] [CrossRef]
- Blachut, J.; Magnucki, K. Strength, Stability, and Optimization of Pressure Vessels: Review of Selected Problems. Appl. Mech. Rev. 2008, 61, 0608011–06080133. [Google Scholar] [CrossRef]
- Zhang, J.; Zhu, Z.; Wang, F.; Zhao, X.; Zhu, Y. Buckling Behaviour of Double-Layer and Single-Layer Stainless Steel Cylinders under External Pressure. Thin-Walled Struct. 2021, 161, 107485. [Google Scholar] [CrossRef]
- Khamlichi, A.; Bezzazi, M.; Limam, A. Buckling of Elastic Cylindrical Shells Considering the Effect of Localized Axisymmetric Imperfections. Thin-Walled Struct. 2004, 42, 1035–1047. [Google Scholar] [CrossRef]
- Fatemi, S.M.; Showkati, H.; Maali, M. Experiments on Imperfect Cylindrical Shells under Uniform External Pressure. Thin-Walled Struct. 2013, 65, 14–25. [Google Scholar] [CrossRef]
- Ifayefunmi, O.; Fadzullah, S.H.S.M. Buckling Behaviour of Imperfect Axially Compressed Cylinder with an Axial Crack. Int. J. Automot. Mech. Eng. 2017, 14, 3837–3848. [Google Scholar] [CrossRef]
- Błachut, J. Buckling of Axially Compressed Cylinders with Imperfect Length. Comput. Struct. 2010, 88, 365–374. [Google Scholar] [CrossRef]
- Zhang, Y.; Liu, Z.; Xin, J.; Wang, Y.; Zhang, C.; Zhang, Y. The Attenuation Mechanism of CFRP Repaired Corroded Marine Pipelines Based on Experiments and FEM. Thin-Walled Struct. 2021, 169, 108469. [Google Scholar] [CrossRef]
- Vukelic, G.; Vizentin, G.; Bakhtiari, R. Failure Analysis of a Steel Pressure Vessel with a Composite Wrap Repair Proposal. Int. J. Press. Vessel. Pip. 2021, 193, 104476. [Google Scholar] [CrossRef]
- Kr Singh, D.; Villamayor, A.; Hazra, A. Numerical and Experimental Analysis of Loctite Adhesive Composite Wrapping on En 10028 Steel Pipe. Mater. Today Proc. 2020, 44, 4158–4165. [Google Scholar] [CrossRef]
- Maali, M.; Kılıç, M.; Yaman, Z.; Ağcakoca, E.; Aydın, A.C. Buckling and Post-Buckling Behavior of Various Dented Cylindrical Shells Using CFRP Strips Subjected to Uniform External Pressure: Comparison of Theoretical and Experimental Data. Thin-Walled Struct. 2019, 137, 29–39. [Google Scholar] [CrossRef]
- Draidi, Z.; Bui, T.T.; Limam, A.; Tran, H.V.; Bennani, A. Buckling Behavior of Metallic Cylindrical Shell Structures Strengthened with CFRP Composite. Adv. Civ. Eng. 2018, 2018, 4231631. [Google Scholar] [CrossRef]
- Carvelli, V.; Panzeri, N.; Poggi, C. Buckling Strength of GFRP Under-Water Vehicles. Compos. Part B Eng. 2001, 32, 89–101. [Google Scholar] [CrossRef]
- Özbek, Ö. Axial and Lateral Buckling Analysis of Kevlar/Epoxy Fiber-Reinforced Composite Laminates Incorporating Silica Nanoparticles. Polym. Compos. 2021, 42, 1109–1122. [Google Scholar] [CrossRef]
- Ross, C.T.F. A Conceptual Design of an Underwater Vehicle. Ocean Eng. 2006, 33, 2087–2104. [Google Scholar] [CrossRef]
- Davies, P.; Choqueuse, D.; Bigourdan, B.; Chauchot, P. Composite Cylinders for Deep Sea Applications: An Overview. J. Press. Vessel Technol. Trans. ASME 2016, 138, 060904. [Google Scholar] [CrossRef]
- Wei, R.; Pan, G.; Jiang, J.; Shen, K.; Lyu, D. An Efficient Approach for Stacking Sequence Optimization of Symmetrical Laminated Composite Cylindrical Shells Based on a Genetic Algorithm. Thin-Walled Struct. 2019, 142, 160–170. [Google Scholar] [CrossRef]
- Teng, J.G.; Hu, Y.M. Behaviour of FRP-Jacketed Circular Steel Tubes and Cylindrical Shells under Axial Compression. Constr. Build. Mater. 2007, 21, 827–838. [Google Scholar] [CrossRef]
- Choqueuse, D.; Bigourdan, B.; Deuff, A.; Douchin, B.; Quetel, L. Hydrostatic Compression Behaviour of Steel-Composite Hybrid Tubes. In Proceedings of the 17th International Conference on Composite Materials, Edinburgh, UK, 27–31 July 2009. [Google Scholar]
- Vakili, M.; Showkati, H. Experimental and Numerical Investigation of Elephant Foot Buckling and Retrofitting of Cylindrical Shells by FRP. J. Compos. Constr. 2016, 20, 04015087. [Google Scholar] [CrossRef]
- Ventsel, E.S.; Krauthammer, T.; Carrera, E. Thin Plates and Shells: Theory: Analysis, and Applications; CRC Press: Boca Raton, FL, USA, 2001. [Google Scholar]
- Ross, C. A Proposed Design Chart to Predict the Inelastic Buckling Pressures for Conical Shells Under Uniform External Pressure. Mar. Technol. 2007, 44, 77–81. [Google Scholar] [CrossRef]
- Society, China Classification, Specification for the Entry and Construction of Diving Systems and Submersible; People Traffic Press: Beijing, China, 2018.
- American Bureau of Shipping. Underwater Vehicles, Systems and Hyperbaric Facilities; American Bureau of Shipping: Houston, TX, USA, 2012. [Google Scholar]
- Buckling of Thin-Walled Circular Cylinders(NASA/SP-8007); National Aeronautics and Space Administration: Moffett Field, CA, USA, 2020.
- Section: X Fiber-Reinforced Plastic Pressure Vessel; ASME Boiler and Pressure Vessel Code; The American Society of Mechanical Engineers: New York, NY, USA, 2017.
- Liu, J.; Yu, B.; Zhou, Y.; Zhang, Y.; Duan, M. The Buckling of Spherical-Cylindrical Composite Shells by External Pressure. Compos. Struct. 2021, 265, 113773. [Google Scholar] [CrossRef]
- Rosenow, M.W.K. Wind Angle Effects in Glass Fibre-Reinforced Polyester Filament Wound Pipes. Composites 1984, 15, 144–152. [Google Scholar] [CrossRef]
- Imran, M.; Shi, D.; Tong, L.; Elahi, A.; Waqas, H.M.; Uddin, M. Multi-Objective Design Optimization of Composite Submerged Cylindrical Pressure Hull for Minimum Buoyancy Factor and Maximum Buckling Load Capacity. Def. Technol. 2021, 17, 1190–1206. [Google Scholar] [CrossRef]
- Imran, M.; Shi, D.; Tong, L.; Waqas, H.M. Design Optimization of Composite Submerged Cylindrical Pressure Hull Using Genetic Algorithm and Finite Element Analysis. Ocean Eng. 2019, 190, 106443. [Google Scholar] [CrossRef]
- Imran, M.; Shi, D.; Tong, L.; Elahi, A.; Uddin, M. On the Elastic Buckling of Cross-Ply Composite Closed Cylindrical Shell under Hydrostatic Pressure. Ocean Eng. 2021, 227, 108633. [Google Scholar] [CrossRef]
- Lopatin, A.V.; Morozov, E.V. Buckling of Composite Cylindrical Shells with Rigid End Disks under Hydrostatic Pressure. Compos. Struct. 2017, 173, 136–143. [Google Scholar] [CrossRef]
- Lopatin, A.V.; Morozov, E.V. Buckling of the Composite Sandwich Cylindrical Shell with Clamped Ends under Uniform External Pressure. Compos. Struct. 2015, 122, 209–216. [Google Scholar] [CrossRef]
- Bai, Y.; Xu, W.; Cheng, P.; Wang, N.; Ruan, W. Behaviour of Reinforced Thermoplastic Pipe (RTP) under Combined External Pressure and Tension. Ships Offshore Struct. 2014, 9, 464–474. [Google Scholar] [CrossRef]
- Bai, Y.; Ruan, W.; Cheng, P.; Yu, B.; Xu, W. Buckling of Reinforced Thermoplastic Pipe (RTP) under Combined Bending and Tension. Ships Offshore Struct. 2014, 9, 525–539. [Google Scholar] [CrossRef]
- Bai, Y.; Yuan, S.; Tang, J.; Qiao, H.; Cheng, P.; Cao, Y.; Wang, N. Behaviour of Reinforced Thermoplastic Pipe under Combined Bending and External Pressure. Ships Offshore Struct. 2015, 10, 575–586. [Google Scholar] [CrossRef]
- Messager, T. Buckling of Imperfect Laminated Cylinders under Hydrostatic Pressure. Compos. Struct. 2001, 53, 301–307. [Google Scholar] [CrossRef]
- GB/T 3280-2015; Cold Rolled Stainless Steel Plate, Sheet and Strip. Chinese Standard Instutute: Beijing, China, 2016.
- ASTM A959-16; Standard Guide for Specifying Harmonized Standard Grade Composition. American Society of Testing Materials: West Conshohoken, PA, USA, 2016.
- Błachut, J. On Elastic-Plastic Buckling of Cones. Thin-Walled Struct. 2011, 49, 45–52. [Google Scholar] [CrossRef]
- Błachut, J. Buckling of Externally Pressurized Steel Toriconical Shells. Int. J. Press. Vessel. Pip. 2016, 144, 25–34. [Google Scholar] [CrossRef]
- Jaspart, J.P. Extending of the Merchant-Rankine Formula for the Assessment of the Ultimate Load of Frames with Semi-Rigid Joints. J. Constr. Steel Res. 1988, 11, 283–312. [Google Scholar] [CrossRef]
- Shen, K.C.; Pan, G. Buckling and Strain Response of Filament Winding Composite Cylindrical Shell Subjected to Hydrostatic Pressure: Numerical Solution and Experiment. Compos. Struct. 2021, 276, 114534. [Google Scholar] [CrossRef]
- Zhu, Y.; Dai, Y.; Ma, Q.; Tang, W. Buckling of Externally Pressurized Cylindrical Shell: A Comparison of Theoretical and Experimental Data. Thin-Walled Struct. 2018, 129, 309–316. [Google Scholar] [CrossRef]
- Ross, C.T.F.; Little, A.P.F.; Haidar, Y.; Waheeb, A.A. Buckling of Carbon/Glass Composite Tubes under Uniform External Hydrostatic Pressure. Strain 2011, 47, 156–174. [Google Scholar] [CrossRef]
- Rules for Classification of Diving Systems and Submersibles; China Classification Society: Beijing, China, 2018; ISBN 0086010581128.
- Cho, Y.S.; Oh, D.H.; Paik, J.K. An Empirical Formula for Predicting the Collapse Strength of Composite Cylindrical-Shell Structures under External Pressure Loads. Ocean Eng. 2019, 172, 191–198. [Google Scholar] [CrossRef]
- Carroll, M.; Ellyin, F.; Kujawski, D.; Chiu, A.S. The Rate-Dependent Behaviour of ±55° Filament-Wound Glass-Fibre/Epoxy Tubes under Biaxial Loading. Compos. Sci. Technol. 1995, 55, 391–403. [Google Scholar] [CrossRef]
- Liu, W.; Soden, P.D.; Kaddour, A.S. Design of End Plugs and Specimen Reinforcement for Testing ± 55° Glass/Epoxy Composite Tubes under Biaxial Compression. Comput. Struct. 2005, 83, 976–988. [Google Scholar] [CrossRef]
Publisher’s Note: MDPI stays neutral with regard to jurisdictional claims in published maps and institutional affiliations. |
© 2022 by the authors. Licensee MDPI, Basel, Switzerland. This article is an open access article distributed under the terms and conditions of the Creative Commons Attribution (CC BY) license (https://creativecommons.org/licenses/by/4.0/).









































