Abstract
This work discussed the advantages of reducing copper in molten copper slag with low S content. FactSage calculated the distribution of copper at equilibrium under different sulfur contents. The effect of sulfur content on copper recovery under different oxygen partial pressures in 1400 °C was pointed out. The effect of sulfur content on copper recovery in the actual reduction process was explored through experimental research. Under the condition of low sulfur, the recovery ratio of copper and the stability of the experiment have an ideal result in fixed C/O in the experiment.
1. Introduction
Reduction smelting is one of the methods to recover copper from copper smelting slag [1,2]. Compared with flotation, the reduction smelting method can directly treat molten copper slag and has better adaptability for raw materials [3,4,5]. At present, this recovery process is mainly used to add reducing agents such as pyrite (sulphide) and anthracite to the molten pool [6,7]. After a long heat preservation time, the matte is separated from liquid slag for recovery. The limited metal recovery rate is one of the main problems so that the smelting reduction method has not been widely used. Flotation is still the main method to treat smelting slag in copper smelters [8,9]. Hongyu Tian’s review summarizes the various processes [10].
The main methods to improve the metal recovery rate of smelting reduction are as follows: (1) the metal recovery can be effectively improved by adding a large amount of reducing agent [11,12]. (2) Long-term high-temperature insulation and proper stirring are conducive to improve the settlement of metal droplets in slag. The electrocapillary phenomenon in the molten pool cannot be ignored [7,13]. (3) Reducing the dissolution of copper in slag is conducive to improving the recovery of copper [14,15,16]. The metal recovery was improved by adding CaO and other flux [4,17]. Based on adding a large amount of reducing agent, the settlement of metal droplets and reducing the dissolution of copper in the slag are the key to improving the metal recovery further.
Adding sulfide into slag can reduce the loss of copper oxide in slag. In terms of thermodynamics, this method is conducive to copper recovery [18]. At present, no relevant research points out the effect the sulfur content on the recovery rate when the low sulfur content in copper slag. The reason for this work is that it was difficult to ensure a stable experimental result when we conducted the reduction smelting–separation experiment of copper slag. Under the same experimental conditions, an error of up to 10% will be obtained. In the high-temperature smelting experiment, the volatilization of sulfur in the form of SO2 or S2 is inevitable and uncontrollable [19]. Sulfur content affects thermodynamic equilibrium, phase form of products, and separation between slag and metal during smelting. From the perspective of actual production, the uncontrollable sulfur content in the molten pool may be the root cause of the instability of reduction yield.
Yun Wang also pointed out the influence of sulfur content on reducing Ni-containing slag in previous research [20,21] and put forward the idea of oxidation desulfurization and reduction for copper recovery [21]. Previous studies have also tried to remove sulfur from copper slag by oxidation [22]. Although the oxidative desulfurization process will increase the amount of reducing agents in the reduction process, it has certain advantages in metal recovery and process stability.
From the perspective of droplet deposition, it was evident that density, viscosity, and interfacial tension affect separation [23]. The basic physical parameters of the slag, metal, and matte are summarized in Table 1. The sulfur content in the initial slag affects the sulfur content in the reduced product phase. According to the Cu-Fe-S phase diagram [24], when the sulfur content of the metal system is different, the received metal phases are different. From the reference data in Table 1, if there were differences in metal products in the reduction process, it is likely that the actual copper s yield will be greatly affected in the metal settlement and separation process.
Table 1.
Physical parameters of slag, metal, and matte.
From the perspective of sulfide dissolution in slag, reducing sulfur solubility in copper slag is one of the key means to reduce copper loss. The copper loss in slag is profoundly discussed in the literature [14]. The study of sulfide dissolution points to a possibility; that is, under the reduction condition, by controlling the sulfur content of the slag matte system, the dissolution of copper sulfide in slag can be significantly reduced, and then the recovery rate can be improved. Therefore, the sulfide thermodynamical dissolution of slag and the settlement of metal (matte) droplets jointly affect the recovery rate. The difference in sulfur content in the reduction process can be explained qualitatively, as shown in Figure 1.
Figure 1.
Schematic diagram of separation of slag–matte (left) and slag–metal systems (right).
This work calculated the distribution of copper at equilibrium under different sulfur contents by FactSage. The effect of sulfur content on copper recovery under different oxygen partial pressures was pointed out in thermodynamic principle. The effect of sulfur content on copper recovery in the actual reduction process was explored through experimental research in actual production principle. The effect of sulfur content in copper slag on the recovery was discussed.
2. Experimental Section
2.1. Preparation of Synthetic Slag
The mass ratio of Fe/SiO2 of copper smelting slag is usually between 1.5~2.0 [33]. In the experimental process, FeO-SiO2 synthetic slag is prepared by pure compound, and then synthetic copper slag with different sulfur content is prepared by adding Cu2S, FeS, and SiO2. FeO-SiO2 slag was prepared according to the method in the literature [22,34]. The mixed Fe, Fe2O3, and SiO2 were heated to prepare synthetic slag at 1350 °C.
Pure Cu2O, Cu2S, FeS, and SiO2 are used to prepare experimental raw materials with fixed Fe/SiO2 and different sulfur contents. Under the initial raw material, the variation range of sulfur content is 0~3%. The mass ratio of Cu/Fe/SiO2 is a fixed value of 4/50.84/25.66, and the mass ratio of Fe/SiO2 is a fixed value of 1.98. The ratio of S/Cu is taken as the initial sulfur content. The raw material ratio is shown in Table 2 and Table 3.
Table 2.
Proportion for reduction experiment and calculation.
Table 3.
Composition for reduction experiment and calculation, wt%.
2.2. Thermodynamic Calculation Method
FactSage 7.1 [35] is used for thermodynamic calculation. Under the actual reduction conditions, the sulfur content in slag matte and PS2 in gas phase system cannot be ignored [36,37]. During factsage calculation, the gas phase system can be idealized, and it is considered that the total sulfur content in slag and matte remains fixed under the reduction system. The difference between the actual condition and the ideal equilibrium calculated by FactSage is shown in Figure 2.
Figure 2.
Difference between the actual equilibrium and the ideal equilibrium calculated by FactSage.
The temperature of thermodynamic calculation was set at 1400 °C, which can ensure the complete liquid phase of slag and provide a better fluidity in the experimental process [22]. After inputting the initial slag composition with different sulfur content in Table 3 into FactSage, we set the gas phase composition in equilibrium calculation to include CO2, CO, and O2. The partial pressure of S2 in the gas was set to dormant phase. The partial pressure of oxygen ranged from 10−8 to 10−10 [38].
2.3. Experimental Method
Carbon reduction experiments with different initial sulfur contents were used to verify the point of view in this paper. Using high-purity graphite powder as reducing agent, it is assumed that under the reduction condition, the copper iron oxide in the slag is reduced to Cu and Fe, and the reduction product is CO, so at this time, C/O = 1. The C/O is set as 0.1 and 0.2 in the experiment, and the ratio of reducing materials is shown in Table 4. Because the blending of copper oxide is different under different sulfur content, the addition of graphite powder is not invariable.
Table 4.
Ingredients of copper slag reduction experiment with different initial sulfur contents.
The experiment was carried out in a high-temperature tubular furnace (Yunjie Ltd. Co., Baotou, China). Argon was used as the shielding gas. The mixed material was put into an alumina crucible and heated to 1400 °C at a rate of 10 °C/min. After holding for 60 min, we cooled the temperature to below 1100 °C at a rate of 20 °C/min under argon to completely solidify the sample. Because the sulfur content in the molten pool could not be kept stable during the experiment, and the complete separation could not be guaranteed during the metal settlement, three repeated experiments were carried out for all parameter experimental groups.
2.4. Test and Conversion Methods
After melting and heat preservation, large pieces of metal settle at the bottom of the crucible. After crushing the sample into large pieces, slag/matte separation can be realized. After cutting and polishing the received metal samples, the composition of Cu, Fe and S in the metal was analyzed by chemical methods. We took the slag sample in the middle of the crucible for chemical analysis and detected the contents of Cu, Fe, S and SiO2 in the slag.
After the detection, the SiO2 content was obtained, and because the fixed ratio between Cu/Fe/SiO2 is guaranteed, the mass of each phase and the distribution of each element can be converted according to the detected composition.
The metal recovery rate is defined as:
where refers to the mass of copper in the received metal, while refers to the total mass of copper
The distribution rate is defined as:
where , refers to the mass content of copper in slag and received matte(metal), respectively.
Because sulfur inevitably volatilizes during the experiment, S/Cu in the experimental results is converted by the following formula.
where and refer to the mass content of copper in slag and received matte(metal), respectively. and refer to the mass content of sulfur in slag and received matte (metal). refers to the received mass of slag, while refers to the received mass of metal.
It is worth noting that because the sulfur content in the molten pool is not stable at a high temperature, the S/Cu measured in the experiment is inconsistent with the S/Cu mixed in the raw material.
3. Results and Discussion
3.1. Calculation Results
The phase diagram of Cu-Fe-SiO2-O2-S slag-matte-metal under different oxygen partial pressures was calculated by using the FactSage 7.1 phase diagram function (Figure 3). Under the condition of fixed Cu-Fe-SiO2 ratio, with the decrease in oxygen partial pressure and the increase in reduction degree, copper metal phase gradually becomes the main metal product. On the contrary, matte phase is the main metal product when the sulfur content is high and the oxidation of the molten pool is strong. Combined with the discussion in Table 1 above, it is unfavorable for slag–metal separation in molten state.
Figure 3.
Cu-Fe-SiO2-O2-S phase diagram calculated by FactSage.
As shown in Figure 4, as oxygen partial pressure decreased, the amount of the metal phase significantly increased. However, when the initial S content in the slag decreased, the fraction of the metal phase increased. From the perspective of metal formation quality, the reduction in sulfur content is conducive to the formation of metal phase under low oxygen partial pressure (10−10). However, when the oxygen partial pressure of the molten pool is high, the reduction in sulfur content inhibits the transfer of copper phase matte in the slag to some extent. The addition of sulfides such as pyrite is obviously more conducive to the formation of metal.
Figure 4.
The relationship between the metal and matte mass and S content calculated by FactSage.
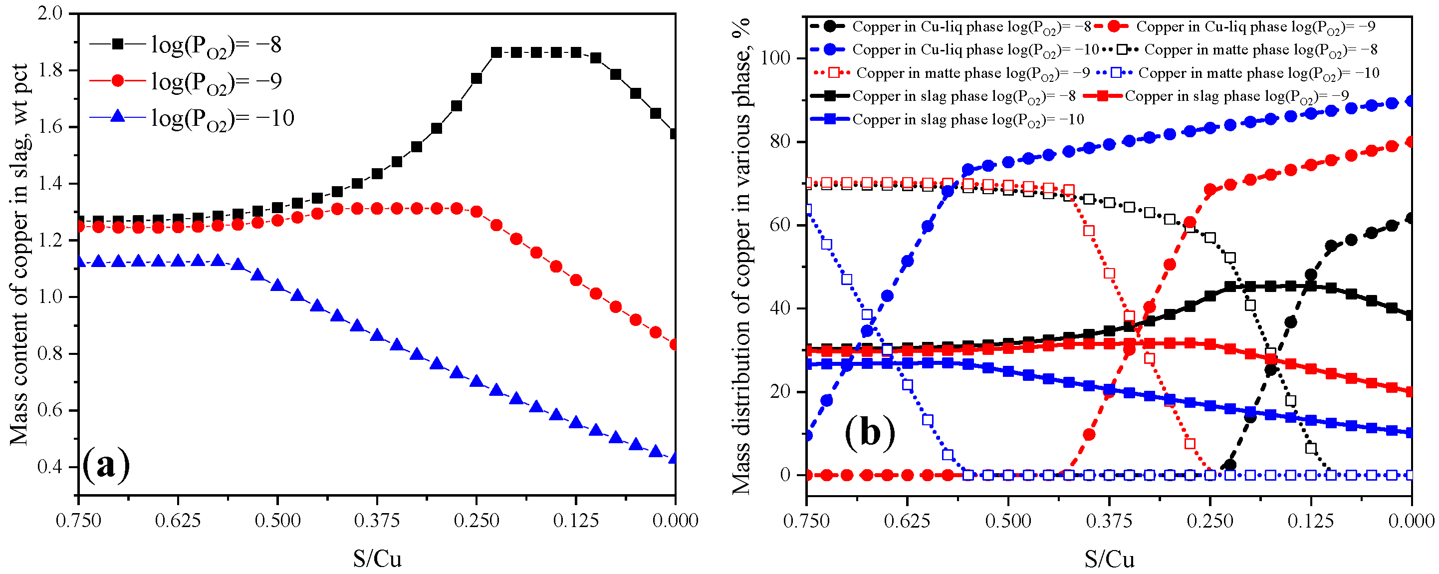
The decrease in equilibrium oxygen partial pressure reduces the loss of Cu in slag (Figure 5a). When the initial sulfur content is high, the gain of oxygen partial pressure is insignificant. When the sulfur content decreases, there is an obvious gain for the decrease in Cu content in slag under low oxygen partial pressure. However, under the condition of higher oxygen partial pressure, the reduction is inhibited by low sulfur, which is related to the phase of the product (Figure 5b). The increase in copper content and the decrease in sulfur content in matte lead to the excessive dissolution of oxides in slag [39]. Under high oxygen potential, the recovery of Cu depends on Cu2O (slag) + FeS = FeO + Cu2S (matte). The decreasing sulfur content is not conducive to the transfer of Cu to the metal phase at high oxygen potential. Under low oxygen potential, the reduction in copper depends more on Cu2O = 2Cu (metal) + 0.5O2. Under low oxygen potential, higher sulfur potential easily causes sulfide dissolution in slag. Thermodynamic calculation results show that if the optimal copper recovery rate was expected to be achieved, a large number of reducing agents and low sulfur content are conducive.
Figure 5.
(a) Cu content in slag under different initial sulfur content (b) mass of copper in each phase under initial sulfur content calculated by FactSage.
3.2. Experimental Results
In the process of a reduction reaction, s in the molten pool will inevitably be removed. The initial sulfur content is not exactly the same as the premixed content. The sulfur content in matte and slag is obtained by chemical testing, and the ratio of total mass of S to total mass of Cu can be converted into the initial sulfur content of the actual molten pool system.
The mass of metal harvest fluctuates greatly (Figure 6). This is mainly because the sulfur content in the molten pool is not stable during the experiment. Moreover, in the same holding time, the complete separation of metal cannot be guaranteed, which is an inevitable error in all reduction experiments. When graphite is used as reducing agent, there are obvious boundaries between metal quality. When S/Cu is less than 0.2, the metal mass increases slightly with the decrease in sulfur content. When S/Cu is greater than 0.2, the decrease in sulfur content has an inhibitory effect on the metal (matte) mass. High sulfur content is conducive to the formation of matte and indirectly improve the quality of received metal.
Figure 6.
Total mass of received metal.
Figure 7 shows the change in residual copper content in slag with the decrease in sulfur content under different carbon blending. When C/O is 0.2, with the decrease in sulfur content, the residual copper content in slag gradually decreases, and the lowest is about 0.35%. Under the condition of high carbon distribution, the regularity is relatively obvious. This is mainly because under the condition of high carbon blending, the main product phase is Cu-Fe alloy, and there is no large number of metal inclusions in slag due to difficult separation. When C/O is 0.1, the residual copper content at high sulfur contents is very unstable. With the increase in sulfur content, a large amount of Cu remains in the slag. One part of this is from the metal inclusions that cannot be separated, and the other part is Cu dissolved in the slag. Under the condition of low sulfur, even if the carbon addition is low (C/O = 0.1), the copper content in the slag can also be reduced to less than 0.6%. Under the same temperature control and heating conditions, low carbon addition and high sulfur content are injurious to reduce the copper content in tailings.
Figure 7.
Residual Cu content in slag.
The increase in sulfur content reduces the copper grade in the metal phase (Figure 8). When C/O = 0.1, the Cu content in matte increases significantly with the decrease in sulfur content. When the sulfur content is low, the copper content exceeds 50%. When C/O = 0.2, although the reduction in sulfur content can also improve the copper grade of matte, the copper content less than 30% will produce a lot of difficulties in subsequent utilization. It causes the increase in oxygen consumption, slag amount and copper loss of converting slag in the blowing process.
Figure 8.
Cu content in received metal (matte).
The recovery rate and distribution ratios after reduction are shown in Figure 9. When C/O = 0.2, the recovery of copper increases gradually with the decrease in sulfur content. This is similar to the thermodynamic results, and the reduction in sulfur content has little effect on the recovery of copper. When C/O is 0.1, the promoting effect of low sulfur content is very obvious. Because the separation between slag and matte is difficult, it causes a lot of instability to the reduction experiment. In the actual production process, the instability of copper recovery is also caused by this reason. When the sulfur content decreases to a certain range (S/Cu < 0.1), the recovery of copper is still considerable even under the condition of C/O = 0.1. The distribution ratios after reduction are shown in Figure 9b. When the S content decreased, the Cu distribution ratio decreased significantly, exhibiting an evident trend. In the distribution ratio of Cu under different carbon additions, it can be seen that although the copper grade in matte is higher when C/O = 0.1, Cu tends to be distributed in slag due to the influence of sulfur content. Only when the sulfur content is less than 0.2 can LCu agree with the thermodynamic law of reduction experiment.
Figure 9.
(a) Copper recovery, (b) copper distribution ratio.
Figure 10 shows the morphology of the slag after reduction and recovery. As mentioned above, incomplete melting separation at high temperatures will inevitably lead to the loss of copper in the slag. Moreover, this loss is uncontrollable. Through the experiment, we can see that with the decrease in S/Cu in the slag–metal–matte system, it can promote the recovery of copper when a large amount of reducing agent is added (C/O = 0.2). Thermodynamics and melting separation affect the recovery of copper in the reduction process. In other words, with the increase in sulfur content, the metal phase transfers to matte, which is more difficult to settle at the bottom [40]. In essence, it is not conducive to metal recovery in a limited time.
Figure 10.
Slag sample after reduction smelting.
4. Conclusions
In the reduction smelting process of copper slag, sulfur content is an important factor affecting metal recovery. In the thermodynamic calculation under ideal conditions, the increase in S content is beneficial to the recovery of Cu at higher oxygen partial pressure. Under low oxygen partial pressure, low sulfur content is more conducive to the recovery of Cu. Sulfur content affects the types of metal products produced by reduction. Because sulfur will volatilize into the gas phase at high temperatures, the sulfur content in the molten pool is not stable, which leads to the uncontrollability of the reduction experiment. At the same time, under the condition of high sulfur content, because matte inclusion in the slag cannot be separated from the slag through sedimentation, the sulfur content increases the metal loss in the slag. The actual recovery experiment is not completely consistent with the law of thermodynamics. Considering the experimental stability and metal recovery, low sulfur content is very beneficial to copper recovery in the reduction process of copper slag.
Author Contributions
Conceptualization, H.W. and L.W.; methodology, H.W.; formal analysis, H.W.; investigation, H.W. and K.D.; writing—original draft preparation, L.W.; writing—review and editing, K.D.; supervision, K.D.; funding acquisition, L.W. All authors have read and agreed to the published version of the manuscript.
Funding
State Key Laboratory of iron & steel industry Environmental Protection, Environment Convention and Protection, Central Research Institute of Building and Construction, MCC Group Co., Ltd.
Institutional Review Board Statement
Not applicable.
Informed Consent Statement
Not applicable.
Data Availability Statement
Not applicable.
Conflicts of Interest
The authors declare no conflict of interest.
References
- Phiri, T.C.; Singh, P.; Nikoloski, A.N. The potential for copper slag waste as a resource for a circular economy: A review—Part II. Miner. Eng. 2021, 172, 107150. [Google Scholar] [CrossRef]
- Gorai, B.; Jana, R.K. Premchand, Characteristics and utilisation of copper slag—A review. Resour. Conserv. Recycl. 2003, 39, 299–313. [Google Scholar] [CrossRef]
- Guo, X.; Tian, M.; Wang, S.; Yan, S.; Wang, Q.; Yuan, Z.; Tian, Q.; Tang, D.; Li, Z. Element Distribution in Oxygen-Enriched Bottom-Blown Smelting of High-Arsenic Copper Dross. JOM 2019, 71, 3941–3948. [Google Scholar] [CrossRef]
- Reddy, R.G.; Prabhu, V.L.; Mantha, D. Recovery of copper from copper blast furnace slag. Min. Metall. Explor. 2006, 23, 97–103. [Google Scholar] [CrossRef]
- Lin-nan, Z.; Li, Z.; Ming-yu, W.; Zhi-tong, S. Research on Selective Reducing Impoverishment Process of Copper Slag. Nonferrous Met. 2005, 57, 44–47. [Google Scholar] [CrossRef]
- Guo, Z.; Pan, J.; Zhu, D.; Zhang, F. Green and efficient utilization of waste ferric-oxide desulfurizer to clean waste copper slag by the smelting reduction-sulfurizing process. J. Clean. Prod. 2018, 199, 891–899. [Google Scholar] [CrossRef]
- Wang, H.-Y.; Zhang, G.-H.; Chou, K.-C. Recovery of high-grade copper matte by selective sulfurization of CuO–Fe2O3–SiO2–CaO system. J. Mater. Res. Technol. 2021, 13, 1676–1683. [Google Scholar] [CrossRef]
- Zhou, H.; Liu, G.; Zhang, L.; Zhou, C. Mineralogical and morphological factors affecting the separation of copper and arsenic in flash copper smelting slag flotation beneficiation process. J. Hazard. Mater. 2021, 401, 123293. [Google Scholar] [CrossRef]
- Roy, S.; Datta, A.; Rehani, S. Flotation of copper sulphide from copper smelter slag using multiple collectors and their mixtures. Int. J. Miner. Process. 2015, 143, 43–49. [Google Scholar] [CrossRef]
- Tian, H.; Guo, Z.; Pan, J.; Zhu, D.; Yang, C.; Xue, Y.; Li, S.; Wang, D. Comprehensive review on metallurgical recycling and cleaning of copper slag. Resour. Conserv. Recycl. 2021, 168, 105366. [Google Scholar] [CrossRef]
- Rajcevic, H.P.; Opie, W.R. Development of Electric Furnace Slag Cleaning at a Secondary Copper Smelter. JOM 1982, 34, 54–56. [Google Scholar] [CrossRef]
- Banks, C.C.; Harrison, D.A. The recovery of non-ferrous metals from secondary copper smelter discard slags. Can. Metall. Q. 1975, 14, 183–190. [Google Scholar] [CrossRef]
- Coursol, P.; Valencia, N.C.; Mackey, P.; Bell, S.; Davis, B. Minimization of Copper Losses in Copper Smelting Slag During Electric Furnace Treatment. JOM 2012, 64, 1305–1313. [Google Scholar] [CrossRef] [Green Version]
- Nagamori, M. Metal loss to slag: Part I. Sulfidic and oxidic dissolution of copper in fayalite slag from low grade matte. Metall. Mater. Trans. B 1974, 5, 531–538. [Google Scholar] [CrossRef]
- Nagamori, M.; Mackey, P.J.; Tarassoff, P. Copper solubility in FeO−Fe2O3−SiO2−Al2O3 slag and distribution equilibria of Pb, Bi, Sb and as between slag and metallic copper. Metall. Trans. B 1975, 6, 295–301. [Google Scholar] [CrossRef]
- Takeda, Y. Copper Solubility in SiO2-CaO-FeOx Slag Equilibrated with Matte. High Temp. Mater. Process. 2001, 20, 279–284. [Google Scholar] [CrossRef]
- Xuewei, S.; Yang, W.; Jianhang, H. The Dilution Effect and Slag Shape Structure of Copper Slag Optimized by Melting Step Reduction Method. Mater. Rev. 2019, 33, 505–511. [Google Scholar]
- Wang, H.; Zhu, R.; Dong, K.; Zhang, S.; Zhao, R.; Jiang, Z.; Lan, X. An experimental comparison: Horizontal evaluation of valuable metal extraction and arsenic emission characteristics of tailings from different copper smelting slag recovery processes. J. Hazard. Mater. 2022, 430, 128493. [Google Scholar] [CrossRef]
- Zhang, H.; Li, B.; Wei, Y.; Wang, H.; Yang, Y.; McLean, A. Reduction of Magnetite from Copper Smelting Slag in the Presence of a Graphite Rod. Metall. Mater. Trans. B 2020, 51, 2663–2672. [Google Scholar] [CrossRef]
- Wang, Y.; Zhu, R.; Chen, Q.; Wei, G.; Hu, S.; Guo, Y. Recovery of Fe, Ni, Co, and Cu from Nickel Converter Slag through Oxidation and Reduction. ISIJ Int. 2018, 58, 2191–2199. [Google Scholar] [CrossRef] [Green Version]
- Yun, W.; Rong, Z.; Qizhou, C. Experimental Study on Oxidative Desulfurization and Selective Reduction of Molten Copper Slag. In TMS 2018: 9th International Symposium on High-Temperature Metallurgical Processing; The Minerals, Metals & Materials Series; Springer: Berlin/Heidelberg, Germany, 2018; pp. 233–243. [Google Scholar]
- Wang, H.; Zhu, R.; Wang, Y.; Mi, Y. Experimental Study on Oxidative Desulfurization of Molten Copper Slag by Different Oxidants. Metall. Mater. Trans. B 2020, 51, 543–557. [Google Scholar] [CrossRef]
- Mukai, K.; Matsushita, T.; Seetharaman, S. Motion of fine particles in liquid caused by interfacial tension gradient in relation to metals separation technologies. Scand. J. Metall. 2005, 34, 137–142. [Google Scholar] [CrossRef]
- Kosyakov, V.I. Topological analysis of the solid-liquid diagram for the system Cu-Fe-S. Russ. J. Inorg. Chem. 2008, 53, 946–952. [Google Scholar] [CrossRef]
- Peacey, J.G. Copper metallurgy. In AccessScience; McGraw-Hill Education: New York, NY, USA, 2020. [Google Scholar] [CrossRef]
- Mehta, U.; Yadav, S.K.; Koirala, I.; Koirala, R.P.; Shrestha, G.K.; Adhikari, D. Study of surface tension and viscosity of Cu–Fe–Si ternary alloy using a thermodynamic approach. Heliyon 2020, 6, e04674. [Google Scholar] [CrossRef] [PubMed]
- Jing, L.; Kexiong, H.; Pengcheng, L.; Xinmin, C. Research on density and surface tension of Cu-Fe-S system matte. Nonferrous Met. 1989, 04, 72–76. [Google Scholar]
- Shiraishi, Y.; Ikeda, K.; Tamura, A.; Saitô, T. On the Viscosity and Density of the Molten FeO-SiO2 System. Trans. Jpn. Inst. Met. 1978, 19, 264–274. [Google Scholar] [CrossRef] [Green Version]
- Kondratiev, A.; Jak, E. A quasi-chemical viscosity model for fully liquid slags in the Al2O3-CaO-‘FeO’-SiO2 system. Metall. Mater. Trans. B 2005, 36, 623–638. [Google Scholar] [CrossRef]
- Hara, S.; Yamamoto, H.; Tateishi, S.; Gaskell, D.R.; Ogino, K. Surface Tension of Melts in the FeO-Fe2O3-CaO and FeO-Fe2O3-2CaO·SiO2 Systems under Air and CO2 Atmosphere, Materials Transactions. JIM 1991, 32, 829–836. [Google Scholar] [CrossRef] [Green Version]
- Sun, H.; Nakashima, K.; Mori, K. Influence of Slag Composition on Slag-Iron Interfacial Tension. ISIJ Int. 2006, 46, 407–412. [Google Scholar] [CrossRef] [Green Version]
- Li, J.; Huang, K.; Chen, X. Interfacial tension between slag and matte. Acta Metall. Sin. 1989, 25, 96–101. [Google Scholar]
- Zhang, H.; Li, B.; Wei, Y.; Wang, H. The settling behavior of matte particles in copper slag and the new technology of copper slag cleaning. J. Mater. Res. Technol. 2021, 15, 6216–6230. [Google Scholar] [CrossRef]
- Yamashita, T.; Hayes, P. Analysis of XPS spectra of Fe2+ and Fe3+ ions in oxide materials. Appl. Surf. Sci. 2008, 254, 2441–2449. [Google Scholar] [CrossRef]
- Bale, C.W.; Bélisle, E.; Chartrand, P.; Decterov, S.A.; Eriksson, G.; Gheribi, A.E.; Hack, K.; Jung, I.H.; Kang, Y.B.; Melançon, J.; et al. FactSage thermochemical software and databases, 2010–2016. Calphad 2016, 54, 35–53. [Google Scholar] [CrossRef] [Green Version]
- Fallah-Mehrjardi, A.; Hayes, P.C.; Jak, E. The Effect of CaO on Gas/Slag/Matte/Tridymite Equilibria in Fayalite-Based Copper Smelting Slags at 1473 K (1200 °C) and P(SO2) = 0.25 Atm. Metall. Mater. Trans. B 2018, 49, 602–609. [Google Scholar] [CrossRef]
- Fallah-Mehrjardi, A.; Hidayat, T.; Hayes, P.C.; Jak, E. Experimental Investigation of Gas/Slag/Matte/Tridymite Equilibria in the Cu-Fe-O-S-Si System in Controlled Atmospheres: Development of Technique. Metall. Mater. Trans. B 2017, 48, 3002–3016. [Google Scholar] [CrossRef]
- Yazawa, A. Thermodynamic considerations of copper smelting. Can. Metall. Q. 1974, 13, 443–453. [Google Scholar] [CrossRef]
- Toguri, J.M.; Santander, N.H. The solubility of copper in fayalite slags at 1300 °C. Can. Metall. Q. 1969, 8, 167–171. [Google Scholar] [CrossRef]
- Isaksson, J.; Vikström, T.; Lennartsson, A.; Samuelsson, C. Influence of Process Parameters on Copper Content in Reduced Iron Silicate Slag in a Settling Furnace. Metals 2021, 11, 992. [Google Scholar] [CrossRef]
Publisher’s Note: MDPI stays neutral with regard to jurisdictional claims in published maps and institutional affiliations. |
© 2022 by the authors. Licensee MDPI, Basel, Switzerland. This article is an open access article distributed under the terms and conditions of the Creative Commons Attribution (CC BY) license (https://creativecommons.org/licenses/by/4.0/).









