Next Article in Journal
The Effect of Rare Earth Cerium on Microstructure and Properties of Low Alloy Wear-Resistant Steel
Next Article in Special Issue
Effect of Different Post-Processing Thermal Treatments on the Fracture Toughness and Tempering Resistance of Additively Manufactured H13 Hot-Work Tool Steel
Previous Article in Journal
Deformation Mechanism of Solidified Ti3Al Alloys with Penta Twins under Shear Loading
 
 
Font Type:
Arial Georgia Verdana
Font Size:
Aa Aa Aa
Line Spacing:
Column Width:
Background:
Article

Powder Injection Molding of Ti-Al-W Nano/Micro Bimodal Powders: Structure, Phase Composition and Oxidation Kinetics

1
Faculty of Physics and Technology, Tomsk State University, 634050 Tomsk, Russia
2
SB RAS, Institute of Strength Physics and Materials Science, 634055 Tomsk, Russia
3
Scientific and Educational Center for the Implementation of Laser Technologies, Vladimir State University, 600000 Vladimir, Russia
*
Author to whom correspondence should be addressed.
Metals 2022, 12(8), 1357; https://doi.org/10.3390/met12081357
Submission received: 12 July 2022 / Revised: 11 August 2022 / Accepted: 12 August 2022 / Published: 15 August 2022

Abstract

Products from the materials of the Ti-Al system are difficult to manufacture. This often restricts the use of such materials despite their outstanding properties. Some of the promising methods for manufacturing products, which allows working with materials of the Ti-Al system, are powder injection molding (PIM) and material extrusion additive manufacturing (MEAM) technologies. In the present study, powder composites Ti-48Al-4W with different powder size distribution, obtained by the electric explosion of wire (EEW) method, were investigated. The powder was used in PIM technology to produce bulk samples. After polymer debinding, PIM samples were sintered in a vacuum and using hot isostatic pressing (HIP) at the same temperatures and isothermal holding times. The results show the influence of size distribution and sintering method on the structure, phase composition, mechanical properties and oxidation resistance of pre-sintered PIM samples. It is found that both the size distribution and sintering method affect the mechanical properties. The smaller the particle size of the powder in the material, the greater the resistance to oxidation of such samples.

1. Introduction

Additive manufacturing (AM) technologies have been developed in recent years and are beginning to be applied in new industries. Metallic AM is now mainly represented by powder bed fusion technologies, such as electron-beam and laser melting technologies [1,2]. These technologies have disadvantages; in particular, the samples obtained have high thermal stresses and can bend and crack [3,4]. In this regard, there is a growing interest in material extrusion AM (MEAM) technologies [5,6]. Initial materials for MEAM are thermoplastics, highly filled with metal or ceramic powders. This filled polymer is a so-called feedstock, and it can be represented as granules or a string (filament). The first feedstock-based manufacturing technology is powder injection molding (PIM) [7,8,9,10], which allows for obtaining products by injection molding of feedstock into injection molds.
Details obtained by MEAM and PIM are called “green”. After removal of the polymer binder (catalytically or in solvents), a “brown” part is formed [10,11]. To give the final properties to the product, it is sintered in accordance with the powder metallurgy technology applicable to the metal powder used. The above technologies make it possible to work with a wide range of materials, and today PIM and MEAM are used to obtain parts from iron [12], stainless steels (316L [13] and 17-4PH [14]), tungsten [15], WC-Co [16], copper [17], and many others. Titanium-based materials (Ti64 [18], TiC and TiN [19], Ti-Nb [20]) are also of interest for feedstocks. An especially interesting material is the TiAl intermetallic compound (IMC) that is widely used in the automobile and aircraft industries, as well as in medicine [21,22,23,24].
Fluidity is a key characteristic of the feedstock performance, and particle shape and size distribution are important factors, defining the fluidity. It was shown that feedstocks with blended micron- and nanosize particles have higher fluidity [25,26,27]. Moreover, a mixture of particles with a bimodal size distribution forms a bimodal grain structure that will affect the deformation process and, thus, the mechanical properties of bulk samples [28,29,30]. However, homogeneous mixtures of micron- and nanosized particles are not easy to prepare, and the further segregation of components may occur. A promising process for the fabrication of micro/nanoparticle mixtures without a mixing step is the electric explosion of wires (EEW), which is a single-stage process that allows the production of spherical particles with the desired particle size distribution in the range of 10 8 to 10 5 m. The literature describes many advantages of this method, such as energy efficiency, powder sphericity, fraction size control, and others [31,32]. The EEW for fabrication of homogeneous micro/nanoparticle mixtures with different components is available when intertwisted wires are exploding. In this case, spherical particles of various phase compositions and size distributions are formed. Using this powder in PIM and MEAM technologies improves both feedstock fluidity and bulk sample characteristics.
Higher functional characteristics of the TiAl IMCs can be achieved by further alloying them with other metals, and tungsten is one of these metals. Materials of the Ti-Al-W system are distinguished by increased mechanical properties, stability [33,34,35], and high-temperature creep strength [36,37,38,39] since W works both as dispersion, strengthening particles on a microlevel, and participates in diffusion processes and prevents the propagation of dislocations at the atomic level. Another phase for improving the properties of TiAl is Ti 2 AlC, which is also known as one of the MAX-phases [40,41]—a family of the ternary carbides and nitrides with the general formula M n + 1 AX n (n = 1, 2, 3, 4), where M stands for early transition metal (such as Sc, Ti, Zr, Hf, V, Nb, Ta, Cr, Mo), A represents elements from groups IIIA and IVA in the periodic table, and X is C and/or N [42]. The formation of a Ti 2 AlC phase is possible during the formation of Ti-Al intermetallics in carbon-containing systems, where the Ti 2 AlC phase can increase the mechanical properties and oxidation resistance of a system [43,44,45,46,47,48,49].
In this work, Ti-48Al-4W powder composites with different powder size distribution obtained by the EEW method were investigated. Three different explosion series with different explosion parameters were conducted to change the particle size distribution in the powders. The obtained powder was used in PIM technology to produce bulk samples. After polymer debinding, PIM samples were sintered in a vacuum and using hot isostatic pressing (HIP) at 1000 °C and 8 h holding time. For a better understanding of the phase transformations and the effect of particle size and heat treatment method (vacuum sintering and HIP) on the structure and properties of the material, pre-sintered compacts were obtained at a temperature of 1000 °C. This will help to reduce the number of experiments in future studies. The main purpose of this work is to show the feasibility of PIM production of bulk samples using EEW Ti-Al-W powders.

2. Materials and Methods

2.1. Sample Preparation

Ti-Al-W powders were synthesized by the electric explosion of wire (EEW) method using three different sets of explosion parameters. The EEW process was conducted in an argon atmosphere on a special setup reported earlier [50]. To obtain a three-component powder during the explosion, a twist of three wires (Ti, Al, and W) was used. Dispersion of the powders was controlled by changing the EEW parameters (Table 1). The parameters presented in this work were empirically selected based on previous experiments [51,52]. After the EEW process, the obtained powder was moved to an argon-filled glove box in a sealed container and then unsealed and mixed with the polymer.
The main parameter of the EEW is the energy input (W), which is dependent on the wire length (l), capacity of the capacitor (C), and voltage (U 0 ). To successfully explode the wire and obtain a powder, energy input W should be close to the sublimation energy E c of a material. To predict the size distribution of the powder, the ratio of the energy in all wires during explosion (E) to the total sublimation energy of three wires ( Σ E c ) is necessary. The closer the ratio to 1, the higher the quantity of the nanopowder in the final product. Thus, TAW1 samples have the largest number of micron particles, TAW3 have more nanoparticles, and TAW2 have a bimodal (micro-nano) distribution. The size distribution of Ti-Al powders, obtained at similar explosion parameters, is described in [51].
The following polymers were chosen as polymer binders: polyamide brand LX-2040 (OleoChemical, Hamburg, Germany) and polyol polymer brand MC-2163 (OleoChemical, Hamburg, Germany), in a volume ratio of 55:45, respectively. The feedstock was produced by mixing polymer and powder together using an MTE-20 twin-screw extruder (Meizlon, Jiangsu, China) and then granulated in cylindrical granules using a dicing cutter (length = 5 mm, ∅ = 1.75 mm).
Test PIM samples (Figure 1) were obtained on a Babyplast 6/10P injection molding machine (Rambaldi+Co, Lecco, Italy). The feedstock was heated to a temperature of 140–145 °C before injection. The injection was carried out at 145–150 °C at the pressure of 120–130 bars. The samples were held for 80 s in the machine after injection at 40–45 °C. The samples were then removed from the machine and cooled to room temperature. Before sintering, the polymer was partially extracted. Debinding in an acetone bath was chosen as the polymer extraction method. From this point of view, the amount of MC-2163 did not exceed 45 wt.%, since its further increase will reduce the strength of the part after removal.
After debinding, the samples were sintered in a vacuum furnace and a sealed container filled with argon (hot isostatic pressing or HIP) at 1000 °C. Vacuum sintering was performed in a Nabertherm (Lilienthal, Germany) vacuum furnace with a heating rate of 5 K/min and isothermal exposition for 8 h. The heating was started after evacuation of the chamber to 10 6 Pa; this pressure was maintained during the sintering process. The HIP process was performed on a Foshan Rongdongsheng Furnace Industry furnace. Before the HIP process, the sintering chamber was filled with argon to 200 bar pressure and then sealed. At 1000 °C, the pressure in the chamber was 1500 bar. Heating rate and isothermal exposition were the same as for the vacuum sintering (5 K/min and 8 h, respectively). For both vacuum sintering and HIP, an extra isothermal exposition for 2 h was done at 550 °C to remove residual polymer.

2.2. Sample Investigation and Testing

The microstructure and fracture surfaces of the fabricated samples were examined using a LEO EVO 50 (Carl Zeiss, Jena, Germany) scanning electron microscope (SEM) using secondary electron (SE) and backscattered electron (BSD) detectors. The attachment for energy-dispersive X-ray spectroscopy (EDX) was used to investigate the point elemental composition of the samples (Oxford instruments, Abingdon, UK). The phase composition was investigated by means of X-ray diffraction (XRD) using the Shimadzu XRD-7000 (Shimadzu, Kyoto, Japan) set-up in a Bragg–Brentano configuration with CuK α radiation (wavelength λ = 1.54 Å) at 40 kV and 30 mA. The PDF4+ 2021 database and SIeve software (2.0, Retsch GmbH, Haan, Germany) were used to identify the phase composition of the samples.
The Vickers hardness was measured using a Duramin-500 (Struers, Copenhagen, Denmark) hardness tester at 500 gf load and 10 s dwell time. Mechanical properties were determined using a three-point bending test (ASTM E290) on a Gotech Al-7000M test machine with one impact and two supporting rollers. The Gotech data acquisition software was used to trigger the minimum load (0.1 N) on the sample and to start data collection. The acquisition frequency was 124 Hz. The loading rate was set as 0.5 mm/min according to the ASTM standard (E290). The span distance was equal to 22 mm. Rectangular samples with dimensions (L × W × H) 170 × 20 × 10 mm 3 were produced by PIM and used for the test. A series of five samples was used in mechanical testing.
For oxidation resistance experiments, cubic samples with size 10 × 10 × 10 mm 3 were used. All samples had been prepared by precise cutting and final polishing on 4000-grit SiC paper. Before testing, the samples were ultrasonically cleaned with ethanol, and then dried. All samples were oxidized in a muffle furnace with a hole (∅= 20 mm) for air recirculation. The mass of the samples was measured before and after oxidation using an Adventurer Pro AV264C laboratory balance (Ohaus, NJ, USA) with an accuracy of ±0.1 mg.

3. Results and Discussion

3.1. Structure and Phase Composition

All samples have nearly the same structure after vacuum sintering and HIP. The main structure of all the samples consists of pre-sintered initial powders, since the sintering temperature is relatively low for the investigated materials. The morphology of the micron-size or smaller particles is maintained the same as in the initial powder. Tungsten particles are also concentrated on the boundaries of the large Ti and Al particles.
The main structural feature of all the samples is the formation of particles with a core–shell structure (Figure 2) on large titanium particles. During sintering, the melting of Al particles begins after 660 °C. This melted aluminum reacts with titanium and forms a TiAl intermetallic phase. Initial powder does not contain titanium particles with a size of 15 μ m and more, but in the sintered products, Ti/TiAl core–shell structured particles with a size up to 70 μ m are formed. Consequently, during sintering, liquid Ti-Al melt forms a core on the surfaces of titanium particles. Further penetration of aluminum inside the titanium particles follows the high-temperature diffusion mechanism, described by classical powder metallurgy theory [53,54].
The results of the XRD analysis (Figure 3) show that alongside initial elemental powders (Ti, Al, W), two new phases are found in the samples after sintering. The first one is the TiAl intermetallic, which is also observed in the SEM data (Figure 2). In the XRD patterns, Al and TiAl peaks are overlapped, so it is difficult to quantitatively distinguish these phases using XRD. The TiAl phase is formed on the surfaces of large titanium particles after reaction with aluminum and form a shell. This intermetallic shell hinders the low-temperature sintering process, which leads to the high porosity of the samples.
Another phase found by XRD is a Ti 2 AlC MAX-phase. In our case, a carbon was formed as a result of the thermal decomposition of the backbone polymer during sintering. This process inevitably occurs during the heat treatment of a PIM product. The Ti 2 AlC has a lamellar structure, which helps to detect it. However, the cross-section of the sample (Figure 2) does not show any lamellar structures in the sample. When in situ synthesized as a hardening phase, Ti 2 AlC may have a size less than 10 μ m and form locally. In this case, the investigation of fracture surfaces (Figure 4) may be a better way to visualize the Ti 2 AlC phase. However, one of the possible means of the Ti 2 AlC formation is the nano- or submicron particles on the boundaries of the TiAl particles [55], which is possible in our case.

3.2. Mechanical Properties

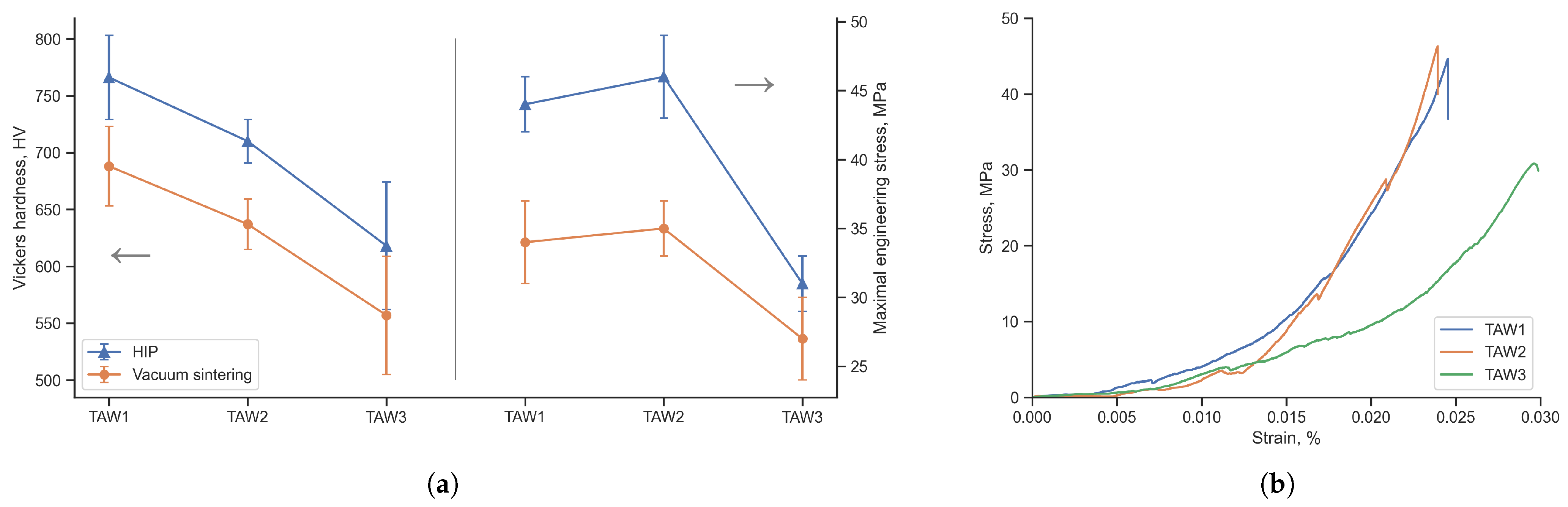
The Vickers hardness (HV 0.5/10) was measured for all the samples obtained (Figure 5a). For all samples, a monotonically decreasing dependence of hardness on powder dispersion is observed. The smaller the E/ Σ E c , the more microparticles are formed in the powder [51,52]. On the contrary, as E/ Σ E c increases, a nanopowder is formed. In our case, E/ Σ E c increases from TAW1 to TAW3, which leads to a decrease in the particle size. At the same time, micron particles are present in all powders to provide the ball bearing effect during PIM [56]. The decrease in hardness with decreasing particle size is explained by macroeffects—in samples with a finer powder, less strong pre-sintering occurs, and therefore the samples are more loose. At the specified load on the indentor during hardness measurement, an area with several particles is captured, and the hardness is determined both by the hardness of each individual particle and by the friability of the powder in this area.
For the same reason, the hardness of samples after HIP is higher than that of samples after vacuum sintering. This is true for every studied composition (Figure 5). After HIP, the particles are more densely sintered with each other, and the friability of the samples decreases. In HIP samples, the hardness of the particles makes a greater contribution to the overall hardness. The obtained hardness values exceed the hardness for TiAl [57,58,59], including that dispersively strengthened by Ti 2 AlC [60]. This is the effect of the addition to the powder of nano- and submicron W particles, alongside dispersion strengthening by the MAX-phase. Another possible reason is the hardening of Ti as a result of carbon dissolution. As long as the Ti 2 AlC phase is formed in all samples, then the powders have enough carbon on their surface to ensure the reaction. Carbon can form an interstitial solid solution with titanium, increasing its hardness significantly [61]. At the same time, if carbon is excessive, the TiC x phase will form. In our case, we do not have enough carbon to form TiC x since it is not detected by XRD, but a Ti-C solid solution may form.
The bending strength of the samples decreases with an increasing amount of nanoparticles (from TAW1 to TAW3), and for each sample, its strength after HIP is higher than after vacuum sintering (Figure 5a). For TAW2 samples, an increase in the average strength values is observed. However, taking into account the deviation, the increase is insignificant. TAW3 specimens differ insignificantly in strength after HIP and vacuum sintering. The stress–strain curves (Figure 5b) demonstrate a sharp break, which indicates brittle fracture. The curve is unstable and contains parts of stress fluctuations, which are accompanied by a crackling sound during testing. This indicates the crack formation during the test, which finally leads to full breakage of the sample.
The fracture surfaces (Figure 4) demonstrate that the morphologies of the initial powder are maintained in the samples. The sintering process is only at the initial stage at the investigated temperature (1000 °C) and characterized by the growth of the sinter bond from the initial single point contact [62]. The sintering is fully in the solid state according to the phase diagram [63]. However, in powder systems, the liquid aluminum phase may form above its melting point in a pure state (660 °C). In this case, the samples can lose weight, caused by Al leaking, and/or an Al matrix may form. Both of these options did not occur in the studied samples. The formation of TiAl intermetallics is also not proof of liquid Al formation, since TiAl may form at temperatures lower than the Al melting point [53]. This confirms the high homogenization of the powders after EEW as a result of the joint explosion of the three components.
On the fracture surfaces of the vacuum-sintered samples (Figure 4a), holes of pulled-out particles and pores are visible. The vacuum sintering at low temperatures does not provide the shrinkage of the samples and the porous structure is maintained from the PIM samples. At 1000 °C, the sintering is in the initial stage and interparticle connections are still very weak. Destruction of the samples propagates along interparticle connections, which are the weakest points of the samples. In the samples after HIP, the structure is denser and micron-size pores are absent (Figure 4b). HIP allows the application of additional pressure to the samples, which helps to densify samples and accelerate the sintering processes. The destruction of micron-size particles occurs in the internal structure and brittle fractures are formed (Figure 4b). This indicates that in HIP samples, interparticle connections are stronger than the inner strength of the particles.
No traces of layered kinks of the MAX-phase were found on the fracture surface. However, on the surfaces of large particles, elongated small particles with a several-micron size are observed. These particles may be the MAX-phase particles [43]. In particular, this is evidenced by the formation of the TiAl phase in this region. During the formation of TiAl, titanium and aluminum interact on the surfaces of large particles and form a shell. Since the residual polymer is also located on the surface of the particles, the MAX-phase is formed either on the inner or on the outer surface of the shell in the “core–shell” particles.

3.3. Oxidation

The samples after the oxidation test were investigated via XRD. Both titanium (IV) oxide and alumina are detected on the surfaces of the samples (Figure 6b) after oxidation, despite the fact that the formation of Al 2 O 3 is more preferable over the oxidation of titanium according to the Gibbs free energy (Figure 6a). Oxidation occurs at a sufficient concentration of oxygen, as evidenced by the formation of the most stable phases. Titanium has many metastable oxide phases that form with a lack of oxygen [64]. Tungsten prevents the fast oxidation and does not form oxides at the investigated temperature [65,66,67]. However, to obtain higher oxidation resistance, a fully intermetallic composite should form [66]. No MAX-phases, intermetallic phases, or oxides were detected on the surface. This is due to the fact that TiAl and Ti 2 AlC are formed on large titanium particles, mostly located in the inner structure of the sample.
Weight gain curves (Figure 7a) and their squares (Figure 7b) represent different oxidation kinetics for all samples. The test was carried out on both vacuum-sintered and HIP samples. The curves (Figure 7) represent the kinetics of only HIP samples, since vacuum-sintered and HIP samples show the same kinetics. The samples after the oxidation test are covered with a yellow matte film, which is a result of an anatase–rutile phase transformation [70]. This transformation occurs at temperatures higher than 400 °C and most active in the 800–850 °C interval. According to the XRD results (Figure 6b), the TiO 2 phase detected at the surface of the samples after oxidation is a rutile (Pdf-4 No. 84-1284).
All samples show nearly the same oxidation rates for the first 30 min. The weight gain reaches 40 mg/cm 2 for all samples. After the first 30 min, the weight gain behavior changes for all samples. For the TAW1 sample, the weight continues to rise and surpasses 100 mg/cm 2 after 11 h (660 min). The TAW3 sample starts plateauing around 50 mg/cm 2 after 6 h (360 min) of oxidation. The TAW2 sample noticeably reduces the weight gain after several hours of oxidation, but does not reach a plateau, as with TAW3, and after 11 h (660 min), it has a 60 mg/cm 2 weight gain value. The oxidation rates obtained are higher than values for TiAl [71,72] but less than those for pure Ti [73], Al [74], and W [75,76], which demonstrates the ability of the composite to better prevent oxidation compared to pure components.
The dependence of the squared mass gain on time is close to linear for all samples. The closest to linear dependence is for TAW1 (R 2 = 0.988), and the least for TAW3 (R 2 = 0.675). For TAW1 samples, the classical parabolic oxidation law [77] is realized; in the remaining samples, oxidation proceeds according to a mixed mechanism. The K p value for TAW1 samples is 212.6 μ g 2 cm 4 min 1 , which is 12 times higher than for TAW2 samples (17.7 μ g 2 cm 4 min 1 ) and 90 times higher than for TAW3 samples (2.3 μ g 2 cm 4 min 1 ).
The composition and particle size in the samples are more important for oxidation resistance than the sintering technique. Both vacuum and HIP show the same oxidation rates within the same composition. Using finer particles (TAW3) may help to reduce the oxidation rate. Since oxidation starts from the surface, it is necessary to prevent the diffusion of oxygen deep into the material to slow down the oxidation. At the first stage of oxidation, metal particles are oxidized on the surface of the sample, which leads to high oxidation rates. After the near-surface layer is oxidized, oxygen diffuses into the sample. In this case, samples with small powder particles better stop oxygen diffusion into the depths for the following reasons: (a) fine powders form a thinner surface layer, (b) fine powders have a significantly larger surface area at a lower mass (compared to micron powders) [78,79,80]. Thus, during the oxidation, micron particles are oxidized faster [80], while they do not prevent the diffusion of the oxygen into the sample. The oxidation of small particles consumes more oxygen due to the large surface area, while the mass gain is slower. The presence of intermetallic particles in the sample also has a positive effect on reducing the oxidation rate in the late stages of oxidation. The results obtained demonstrate that it is necessary to perform a more detailed study of the oxidation kinetics in a separate investigation. Such work will be carried out later.

4. Conclusions

In the work, EEW Ti-Al-W powders were used to obtain bulk samples by the PIM method. In the final samples, in addition to the initial components, the TiAl phase and the MAX-phase Ti 2 AlC are formed. The TiAl phase forms as a shell on the surfaces of large titanium particles. It was found that during sintering at 1000 °C in vacuum and by the HIP method, the Vickers hardness of the samples is in the range of 557 to 766 HV, which is significantly higher than the hardness of the components separately. The hardness of the HIP samples is higher than the hardness of samples sintered in vacuum for all compositions. Oxidation resistance is largely independent of the heat treatment method (vacuum sintering or HIP), but strongly dependent on particle size. The smaller the particle size of the powder in the material, the greater the resistance to oxidation of such samples. The bimodal powder TAW2 obtained at E/ Σ E c = 0.64 can be considered as the optimal powder in terms of forming the optimal combination of mechanical properties and oxidation resistance.

Author Contributions

Conceptualization and experimental design, M.K., D.K. and A.P.; methodology, analysis, and discussion of the results, M.L.; manuscript writing, M.K. All authors have read and agreed to the published version of the manuscript.

Funding

This study was supported by the Russian Science Foundation (grant No. 21-79-30006).

Data Availability Statement

The data presented in this study are available on request from the corresponding author.

Conflicts of Interest

The authors declare no conflict of interest.

References

  1. Singh, D.D.; Mahender, T.; Reddy, A.R. Powder bed fusion process: A brief review. Mater. Today Proc. 2021, 46, 350–355. [Google Scholar] [CrossRef]
  2. Kotadia, H.; Gibbons, G.; Das, A.; Howes, P. A review of Laser Powder Bed Fusion Additive Manufacturing of aluminium alloys: Microstructure and properties. Addit. Manuf. 2021, 46, 102155. [Google Scholar] [CrossRef]
  3. McCann, R.; Obeidi, M.A.; Hughes, C.; McCarthy, É.; Egan, D.S.; Vijayaraghavan, R.K.; Joshi, A.M.; Garzon, V.A.; Dowling, D.P.; McNally, P.J.; et al. In-situ sensing, process monitoring and machine control in Laser Powder Bed Fusion: A review. Addit. Manuf. 2021, 45, 102058. [Google Scholar] [CrossRef]
  4. Nadammal, N.; Mishurova, T.; Fritsch, T.; Serrano-Munoz, I.; Kromm, A.; Haberland, C.; Portella, P.D.; Bruno, G. Critical role of scan strategies on the development of microstructure, texture, and residual stresses during laser powder bed fusion additive manufacturing. Addit. Manuf. 2021, 38, 101792. [Google Scholar] [CrossRef]
  5. Gonzalez-Gutierrez, J.; Cano, S.; Schuschnigg, S.; Kukla, C.; Sapkota, J.; Holzer, C. Additive manufacturing of metallic and ceramic components by the material extrusion of highly-filled polymers: A review and future perspectives. Materials 2018, 11, 840. [Google Scholar] [CrossRef]
  6. Tuncer, N.; Bose, A. Solid-state metal additive manufacturing: A review. JOM 2020, 72, 3090–3111. [Google Scholar] [CrossRef]
  7. Bricout, J.; Gelin, J.C.; Ablitzer, C.; Matheron, P.; Brothier, M. Influence of powder characteristics on the behaviour of PIM feedstock. Chem. Eng. Res. Des. 2013, 91, 2484–2490. [Google Scholar] [CrossRef]
  8. Liu, Z.; Loh, N.; Tor, S.; Khor, K. Characterization of powder injection molding feedstock. Mater. Charact. 2002, 49, 313–320. [Google Scholar] [CrossRef]
  9. German, R.M. Homogeneity effects on feedstock viscosity in powder injection molding. J. Am. Ceram. Soc. 1994, 77, 283–285. [Google Scholar] [CrossRef]
  10. Zlatkov, B.; Griesmayer, E.; Loibl, H.; Aleksić, O.; Danninger, H.; Gierl, C.; Lukić, L. Recent advances in PIM technology I. Sci. Sinter. 2008, 40, 79–88. [Google Scholar] [CrossRef]
  11. Hwang, K.; Lin, H.; Lee, S. Thermal, solvent, and vacuum debinding mechanisms of PIM compacts. Mater. Manuf. Process 1997, 12, 593–608. [Google Scholar] [CrossRef]
  12. You, W.K.; Choi, J.P.; Yoon, S.M.; Lee, J.S. Low temperature powder injection molding of iron micro-nano powder mixture. Powder Technol. 2012, 228, 199–205. [Google Scholar] [CrossRef]
  13. Fu, G.; Loh, N.; Tor, S.; Tay, B.; Murakoshi, Y.; Maeda, R. Injection molding, debinding and sintering of 316L stainless steel microstructures. Appl. Phys. A 2005, 81, 495–500. [Google Scholar] [CrossRef]
  14. Mukund, B.N.; Hausnerova, B.; Shivashankar, T.S. Development of 17-4PH stainless steel bimodal powder injection molding feedstock with the help of interparticle spacing/lubricating liquid concept. Powder Technol. 2015, 283, 24–31. [Google Scholar] [CrossRef]
  15. Antusch, S.; Armstrong, D.E.; Britton, T.B.; Commin, L.; Gibson, J.S.L.; Greuner, H.; Hoffmann, J.; Knabl, W.; Pintsuk, G.; Rieth, M.; et al. Mechanical and microstructural investigations of tungsten and doped tungsten materials produced via powder injection molding. Nucl. Mater. Energy 2015, 3, 22–31. [Google Scholar] [CrossRef]
  16. Fayyaz, A.; Muhamad, N.; Sulong, A.B.; Rajabi, J.; Wong, Y.N. Fabrication of cemented tungsten carbide components by micro-powder injection moulding. J. Mater. Process. Technol. 2014, 214, 1436–1444. [Google Scholar] [CrossRef]
  17. Jabir, S.M.; Noorsyakirah, A.; Afian, O.M.; Nurazilah, M.; Aswad, M.A.; Afiq, N.M.; Mazlan, M. Analysis of the rheological behavior of copper metal injection molding (MIM) feedstock. Procedia Chem. 2016, 19, 148–152. [Google Scholar] [CrossRef][Green Version]
  18. Thavanayagam, G.; Pickering, K.L.; Swan, J.E.; Cao, P. Analysis of rheological behaviour of titanium feedstocks formulated with a water-soluble binder system for powder injection moulding. Powder Technol. 2015, 269, 227–232. [Google Scholar] [CrossRef]
  19. Gülsoy, H.; Gunay, V.; Baykara, T. Influence of TiC, TiN and TiC (N) additions on sintering and mechanical properties of injection moulded titanium based metal matrix composites. Powder Metall. 2015, 58, 30–35. [Google Scholar] [CrossRef]
  20. Yılmaz, E.; Gökçe, A.; Findik, F.; Gulsoy, H.O.; İyibilgin, O. Mechanical properties and electrochemical behavior of porous Ti-Nb biomaterials. J. Mech. Behav. Biomed. Mater. 2018, 87, 59–67. [Google Scholar] [CrossRef] [PubMed]
  21. Dzogbewu, T. Additive manufacturing of porous Ti-based alloys for biomedical applications—A review. J. New Gener. Sci. 2017, 15, 278–294. [Google Scholar]
  22. Dzogbewu, T.C.; du Preez, W.B. Additive manufacturing of Ti-based intermetallic alloys: A review and conceptualization of a next-generation machine. Materials 2021, 14, 4317. [Google Scholar] [CrossRef] [PubMed]
  23. Ghanmi, O.; Demers, V. Molding properties of titanium-based feedstock used in low-pressure powder injection molding. Powder Technol. 2021, 379, 515–525. [Google Scholar] [CrossRef]
  24. Dzogbewu, T.C. Additive manufacturing of TiAl-based alloys. Manuf. Rev. 2020, 7, 35. [Google Scholar] [CrossRef]
  25. Havet, G.; Isayev, A. Rheology of silica-filled polystyrene: From microcomposites to nanocomposites. Polym. Sci. Ser. A 2012, 54, 476–492. [Google Scholar] [CrossRef]
  26. Bek, M.; Gonzalez-Gutierrez, J.; Kukla, C.; Pušnik Črešnar, K.; Maroh, B.; Slemenik Perše, L. Rheological behaviour of highly filled materials for injection moulding and additive manufacturing: Effect of particle material and loading. Appl. Sci. 2020, 10, 7993. [Google Scholar] [CrossRef]
  27. Oh, J.W.; Lee, W.S.; Park, S.J. Nanopowder effect on Fe nano/micro-bimodal powder injection molding. Metall. Mater. Trans. A 2018, 49, 5535–5545. [Google Scholar] [CrossRef]
  28. Fu, X.; Yu, Z.; Tan, Z.; Fan, G.; Li, P.; Wang, M.; Xiong, D.B.; Li, Z. Enhanced strain hardening by bimodal grain structure in carbon nanotube reinforced Al–Mg composites. Mater. Sci. Eng. A 2021, 803, 140726. [Google Scholar] [CrossRef]
  29. Peng, P.; Tang, A.; She, J.; Zhang, J.; Zhou, S.; Song, K.; Pan, F. Significant improvement in yield stress of Mg-Gd-Mn alloy by forming bimodal grain structure. Mater. Sci. Eng. A 2021, 803, 140569. [Google Scholar] [CrossRef]
  30. Ren, Y.; Han, Y.; Yan, S.; Sun, J.; Duan, Z.; Chen, H.; Ran, X. Microstructure and Mechanical Properties of Powder Metallurgical TiAl-Based Alloy Made by Micron Bimodal-Sized Powders. J. Mater. Eng. Perform. 2021, 30, 269–280. [Google Scholar] [CrossRef]
  31. Gromov, A.A.; Förter-Barth, U.; Teipel, U. Aluminum nanopowders produced by electrical explosion of wires and passivated by non-inert coatings: Characterisation and reactivity with air and water. Powder Technol. 2006, 164, 111–115. [Google Scholar] [CrossRef]
  32. Kwon, Y.S.; Jung, Y.H.; Yavorovsky, N.; Illyn, A.; Kim, J.S. Ultra-fine powder by wire explosion method. Scr. Mater. 2001, 44, 2247–2251. [Google Scholar] [CrossRef]
  33. Tang, H.; Xing, W.; Li, X.; Chen, B.; Zhao, P.; Shu, L.; Zhang, M.; Ma, Y.; Liu, K. Insights into the gradient-characteristic precipitation behaviors of laves phase induced by Fe/W/Mo addition in Ti42Al5Mn alloy. Intermetallics 2021, 128, 107022. [Google Scholar] [CrossRef]
  34. Li, X.; Tang, H.; Xing, W.; Zhao, P.; Chen, B.; Ma, Y.; Liu, K. Microstructural stability, phase evolution and mechanical properties of a forged W-modified high-Mn β-γ-TiAl alloy. Intermetallics 2021, 136, 107230. [Google Scholar] [CrossRef]
  35. Zhao, P.; Li, X.; Tang, H.; Ma, Y.; Chen, B.; Xing, W.; Liu, K.; Yu, J. Improved high-temperature oxidation properties for Mn-containing beta-gamma TiAl with W addition. Oxid. Met. 2020, 93, 433–448. [Google Scholar] [CrossRef]
  36. Couret, A.; Monchoux, J.P.; Caillard, D. On the high creep strength of the W containing IRIS-TiAl alloy at 850 °C. Acta Mater. 2019, 181, 331–341. [Google Scholar] [CrossRef]
  37. Seo, D.; Zhao, L.; Beddoes, J. Primary creep behavior of Ti-48Al-2W as a function of stress and lamellar morphology. Metall. Mater. Trans. A 2003, 34, 2177–2190. [Google Scholar] [CrossRef]
  38. Lapin, J.; Nazmy, M. Microstructure and creep properties of a cast intermetallic Ti–46Al–2W–0.5 Si alloy for gas turbine applications. Mater. Sci. Eng. A 2004, 380, 298–307. [Google Scholar] [CrossRef]
  39. Hodge, A.; Hsiung, L.; Nieh, T. Creep of nearly lamellar TiAl alloy containing W. Scr. Mater. 2004, 51, 411–415. [Google Scholar] [CrossRef]
  40. Barsoum, M.; El-Raghy, T.; Ali, M. Processing and characterization of Ti2AlC, Ti2AlN, and Ti2AlC0.5N0.5. Metall. Mater. Trans. A 2000, 31, 1857–1865. [Google Scholar] [CrossRef]
  41. Wang, X.; Zhou, Y. Layered machinable and electrically conductive Ti2AlC and Ti3AlC2 ceramics: A review. J. Mater. Sci. Technol. 2010, 26, 385–416. [Google Scholar] [CrossRef]
  42. Barsoum, M.W. MAX Phases: Properties of Machinable Ternary Carbides and Nitrides; John Wiley & Sons: Hoboken, NJ, USA, 2013. [Google Scholar]
  43. Ramaseshan, R.; Kakitsuji, A.; Seshadri, S.; Nair, N.; Mabuchi, H.; Tsuda, H.; Matsui, T.; Morii, K. Microstructure and some properties of TiAl-Ti2AlC composites produced by reactive processing. Intermetallics 1999, 7, 571–577. [Google Scholar] [CrossRef]
  44. Yeh, C.; Shen, Y. Formation of TiAl–Ti2AlC in situ composites by combustion synthesis. Intermetallics 2009, 17, 169–173. [Google Scholar] [CrossRef]
  45. Yang, C.; Wang, F.; Ai, T.; Zhu, J. Microstructure and mechanical properties of in situ TiAl/Ti2AlC composites prepared by reactive hot pressing. Ceram. Int. 2014, 40, 8165–8171. [Google Scholar] [CrossRef]
  46. Ren, L.; Qin, S.; Zhao, S.; Xiao, H. Fabrication and mechanical properties of Ti2AlC/TiAl composites with co-continuous network structure. Trans. Nonferrous Met. Soc. China 2021, 31, 2005–2012. [Google Scholar] [CrossRef]
  47. Song, X.; Cui, H.; Han, Y.; Hou, N.; Wei, N.; Ding, L.; Song, Q. Effect of carbon reactant on microstructures and mechanical properties of TiAl/Ti2AlC composites. Mater. Sci. Eng. A 2017, 684, 406–412. [Google Scholar] [CrossRef]
  48. Chen, Y.L.; Yan, M.; Sun, Y.M.; Mei, B.C.; Zhu, J.Q. The phase transformation and microstructure of TiAl/Ti2AlC composites caused by hot pressing. Ceram. Int. 2009, 35, 1807–1812. [Google Scholar] [CrossRef]
  49. Feng, J.; Xiao, H. Tribocorrosion Behavior of Laser Cladded Ti-Al-(C, N) Composite Coatings in Artificial Seawater. Coatings 2022, 12, 187. [Google Scholar] [CrossRef]
  50. Lerner, M.; Pervikov, A.; Glazkova, E.; Rodkevich, N.; Toropkov, N. Electrical Explosion Synthesis, Oxidation and Sintering Behavior of Ti-Al Intermetallide Powders. Metals 2021, 11, 760. [Google Scholar] [CrossRef]
  51. Lerner, M.; Pervikov, A.; Glazkova, E.; Rodkevich, N.; Suliz, K.; Kazantsev, S.; Toropkov, N.; Bakina, O. Synthesis of Ti–Al Bimodal Powder for High Flowability Feedstock by Electrical Explosion of Wires. Metals 2022, 12, 478. [Google Scholar] [CrossRef]
  52. Pervikov, A.; Suliz, K.; Kazantsev, S.; Rodkevich, N.; Tarasov, S.; Lerner, M. Preparation of nano/micro-bimodal Ti/Al/(Mo, W, Cu) powders by simultaneous electrical explosion of dissimilar metal wires. Powder Technol. 2022, 397, 117093. [Google Scholar] [CrossRef]
  53. Novoselova, T.; Celotto, S.; Morgan, R.; Fox, P.; O’neill, W. Formation of TiAl intermetallics by heat treatment of cold-sprayed precursor deposits. J. Alloys Compd. 2007, 436, 69–77. [Google Scholar] [CrossRef]
  54. Van Loo, F.; Rieck, G. Diffusion in the titanium-aluminium system—I. Interdiffusion between solid Al and Ti or Ti-Al alloys. Acta Metall. 1973, 21, 61–71. [Google Scholar] [CrossRef]
  55. Chen, R.; Fang, H.; Chen, X.; Su, Y.; Ding, H.; Guo, J.; Fu, H. Formation of TiC/Ti2AlC and α2+ γ in in-situ TiAl composites with different solidification paths. Intermetallics 2017, 81, 9–15. [Google Scholar] [CrossRef]
  56. Choi, J.P.; Park, J.S.; Hong, E.J.; Lee, W.S.; Lee, J.S. Analysis of the rheological behavior of Fe trimodal micro-nano powder feedstock in micro powder injection molding. Powder Technol. 2017, 319, 253–260. [Google Scholar] [CrossRef]
  57. Liu, G.; Wang, Z.; Fu, T.; Li, Y.; Liu, H.; Li, T.; Gong, M.; Wang, G. Study on the microstructure, phase transition and hardness for the TiAl–Nb alloy design during directional solidification. J. Alloys Compd. 2015, 650, 45–52. [Google Scholar] [CrossRef]
  58. Acoff, V.L.; Wilkerson, S.; Arenas, M. The effect of rolling direction on the weld structure and hardness of gamma-TiAl sheet material. Mater. Sci. Eng. A 2002, 329, 763–767. [Google Scholar] [CrossRef]
  59. Schloffer, M.; Iqbal, F.; Gabrisch, H.; Schwaighofer, E.; Schimansky, F.P.; Mayer, S.; Stark, A.; Lippmann, T.; Göken, M.; Pyczak, F.; et al. Microstructure development and hardness of a powder metallurgical multi phase γ-TiAl based alloy. Intermetallics 2012, 22, 231–240. [Google Scholar] [CrossRef]
  60. Ma, T.; Li, Q.; Wang, Y.; Wang, X.; Dong, D.; Zhu, D. Microstructure and mechanical properties of micro-nano Ti2AlC-reinforced TiAl composites. Intermetallics 2022, 146, 107563. [Google Scholar] [CrossRef]
  61. Perdrix, F.; Trichet, M.F.; Bonnentien, J.L.; Cornet, M.; Bigot, J. Relationships between interstitial content, microstructure and mechanical properties in fully lamellar Ti–48Al alloys, with special reference to carbon. Intermetallics 2001, 9, 807–815. [Google Scholar] [CrossRef]
  62. German, R.M. Sintering Theory and Practice; John Wiley & Sons: Hoboken, NJ, USA, 1996. [Google Scholar]
  63. McCullough, C.; Valencia, J.; Levi, C.; Mehrabian, R. Phase equilibria and solidification in Ti-Al alloys. Acta Metall. 1989, 37, 1321–1336. [Google Scholar] [CrossRef]
  64. Kim, J.; Kang, S. Stable phase domains of the TiO2–Ti3O5–Ti2O3–TiO–Ti (C x O y)–TiC system examined experimentally and via first principles calculations. J. Mater. Chem. A 2014, 2, 2641–2647. [Google Scholar] [CrossRef]
  65. Dickinson, C.; Nicholas, M.; Pranatis, A.; Whitman, C. Protective Coatings For Tungsten. JOM 1963, 15, 787–792. [Google Scholar] [CrossRef]
  66. Mizuhara, Y.; Hashimoto, K.; Masahashi, N. Microstructure and phase stability of TiAl–W ternary alloy. Intermetallics 2003, 11, 807–816. [Google Scholar] [CrossRef]
  67. Shida, Y.; Anada, H. Role of W, Mo, Nb and Si on oxidation of TiAl in air at high temperatures. Mater. Trans. JIM 1994, 35, 623–631. [Google Scholar] [CrossRef]
  68. Yang, W.; Dong, S.; Luo, P.; Yangli, A.; Liu, Q.; Xie, Z. Effect of Ni addition on the preparation of Al2O3–TiB2 composites using high-energy ball milling. J. Asian Ceram. Soc. 2014, 2, 399–402. [Google Scholar] [CrossRef]
  69. Verma, V.; Kumar, B.M. Tribological characteristics of conventionally sintered TiCN-WC-Ni/Co cermets against cemented carbide. Ceram. Int. 2017, 43, 368–375. [Google Scholar] [CrossRef]
  70. Grzmil, B.; Kic, B.; Rabe, M. Inhibition of the anatase-rutile phase transformation with addition of K2O, P2O5, and Li2O. Chem. Pap 2004, 58, 410–414. [Google Scholar]
  71. Liang, W.; Ma, X.; Zhao, X.; Zhang, F.; Shi, J.; Zhang, J. Oxidation kinetics of the pack siliconized TiAl-based alloy and microstructure evolution of the coating. Intermetallics 2007, 15, 1–8. [Google Scholar] [CrossRef]
  72. Schumacher, G.; Dettenwanger, F.; Schütze, M.; Hornauer, U.; Richter, E.; Wieser, E.; Möller, W. Microalloying effects in the oxidation of TiAl materials. Intermetallics 1999, 7, 1113–1120. [Google Scholar] [CrossRef]
  73. Unnam, J.; Shenoy, R.; Clark, R. Oxidation of commercial purity titanium. Oxid. Met. 1986, 26, 231–252. [Google Scholar] [CrossRef]
  74. Beck, A.; Heine, M.; Caule, E.; Pryor, M. The kinetics of the oxidation of Al in oxygen at high temperature. Corros. Sci. 1967, 7, 1–22. [Google Scholar] [CrossRef]
  75. Sikka, V.; Rosa, C. The oxidation kinetics of tungsten and the determination of oxygen diffusion coefficient in tungsten trioxide. Corros. Sci. 1980, 20, 1201–1219. [Google Scholar] [CrossRef]
  76. Nagy, D.; Humphry-Baker, S.A. An oxidation mechanism map for tungsten. Scr. Mater. 2022, 209, 114373. [Google Scholar] [CrossRef]
  77. Khanna, A.S. High temperature oxidation. In Handbook of Environmental Degradation of Materials; Elsevier: Amsterdam, The Netherlands, 2005; pp. 105–152. [Google Scholar]
  78. Davis, S.E.; Ide, M.S.; Davis, R.J. Selective oxidation of alcohols and aldehydes over supported metal nanoparticles. Green Chem. 2013, 15, 17–45. [Google Scholar] [CrossRef]
  79. Song, P.; Wen, D.; Guo, Z.; Korakianitis, T. Oxidation investigation of nickel nanoparticles. Phys. Chem. Chem. Phys. 2008, 10, 5057–5065. [Google Scholar] [CrossRef] [PubMed]
  80. Rai, A.; Park, K.; Zhou, L.; Zachariah, M. Understanding the mechanism of aluminium nanoparticle oxidation. Combust. Theory Model. 2006, 10, 843–859. [Google Scholar] [CrossRef]
Figure 1. Typical PIM samples obtained using different EEW powders.
Figure 1. Typical PIM samples obtained using different EEW powders.
Metals 12 01357 g001
Figure 2. Microstructure of the TAW1 (a), TAW2 (c), TAW3 (d) samples in a cross-section after HIP and EDX spectra of the TAW1 (b).
Figure 2. Microstructure of the TAW1 (a), TAW2 (c), TAW3 (d) samples in a cross-section after HIP and EDX spectra of the TAW1 (b).
Metals 12 01357 g002
Figure 3. XRD spectrum of the TAW2 sample after HIP at 1000 °C.
Figure 3. XRD spectrum of the TAW2 sample after HIP at 1000 °C.
Metals 12 01357 g003
Figure 4. Fracture surfaces of TAW1 (a,b), TAW2 (c,d), and TAW3 (e,f) samples after vacuum sintering (a,c,e) and HIP (b,d,f).
Figure 4. Fracture surfaces of TAW1 (a,b), TAW2 (c,d), and TAW3 (e,f) samples after vacuum sintering (a,c,e) and HIP (b,d,f).
Metals 12 01357 g004aMetals 12 01357 g004b
Figure 5. Vickers microhardness and maximal engineering stress (a) of the samples after vacuum sintering and hot isostatic pressing (HIP), and stress–strain curve of the HIP samples (b).
Figure 5. Vickers microhardness and maximal engineering stress (a) of the samples after vacuum sintering and hot isostatic pressing (HIP), and stress–strain curve of the HIP samples (b).
Metals 12 01357 g005
Figure 6. Gibbs free energy change ( Δ G) for TiO 2 [68], Al 2 O 3 [68], and WO 3 [69] as function of temperature (K) (a) and XRD spectrum of the TAW2 sample surface after 660 min of oxidation at 900 °C (b).
Figure 6. Gibbs free energy change ( Δ G) for TiO 2 [68], Al 2 O 3 [68], and WO 3 [69] as function of temperature (K) (a) and XRD spectrum of the TAW2 sample surface after 660 min of oxidation at 900 °C (b).
Metals 12 01357 g006
Figure 7. Weight gain per unit surface area ( Δ W/A) (a) and their squares (b) as a function of oxidation time for all samples after isothermal oxidation testing at 900 °C.
Figure 7. Weight gain per unit surface area ( Δ W/A) (a) and their squares (b) as a function of oxidation time for all samples after isothermal oxidation testing at 900 °C.
Metals 12 01357 g007
Table 1. EEW parameters.
Table 1. EEW parameters.
SampleWire Diameter d, mmE c , Jl, mmC, μ FU 0 , kVW, JE/ Σ E c
TiAlWTiAlW
TAW1 151800.40
TAW20.310.250.0723511515701.6182590.64
TAW3 213520.92
Publisher’s Note: MDPI stays neutral with regard to jurisdictional claims in published maps and institutional affiliations.

Share and Cite

MDPI and ACS Style

Krinitcyn, M.; Pervikov, A.; Kochuev, D.; Lerner, M. Powder Injection Molding of Ti-Al-W Nano/Micro Bimodal Powders: Structure, Phase Composition and Oxidation Kinetics. Metals 2022, 12, 1357. https://doi.org/10.3390/met12081357

AMA Style

Krinitcyn M, Pervikov A, Kochuev D, Lerner M. Powder Injection Molding of Ti-Al-W Nano/Micro Bimodal Powders: Structure, Phase Composition and Oxidation Kinetics. Metals. 2022; 12(8):1357. https://doi.org/10.3390/met12081357

Chicago/Turabian Style

Krinitcyn, Maksim, Alexander Pervikov, Dmitriy Kochuev, and Marat Lerner. 2022. "Powder Injection Molding of Ti-Al-W Nano/Micro Bimodal Powders: Structure, Phase Composition and Oxidation Kinetics" Metals 12, no. 8: 1357. https://doi.org/10.3390/met12081357

APA Style

Krinitcyn, M., Pervikov, A., Kochuev, D., & Lerner, M. (2022). Powder Injection Molding of Ti-Al-W Nano/Micro Bimodal Powders: Structure, Phase Composition and Oxidation Kinetics. Metals, 12(8), 1357. https://doi.org/10.3390/met12081357

Note that from the first issue of 2016, this journal uses article numbers instead of page numbers. See further details here.

Article Metrics

Back to TopTop