Metallic Porphyrazine Networks: Synthesis, as Well as Thermal and Optical Properties for Accelerating the Oxidation of Thiols to Their Disulfides
Abstract
:1. Introduction
2. Materials and Methods
2.1. Ingredients and Procedures
2.2. Characterization
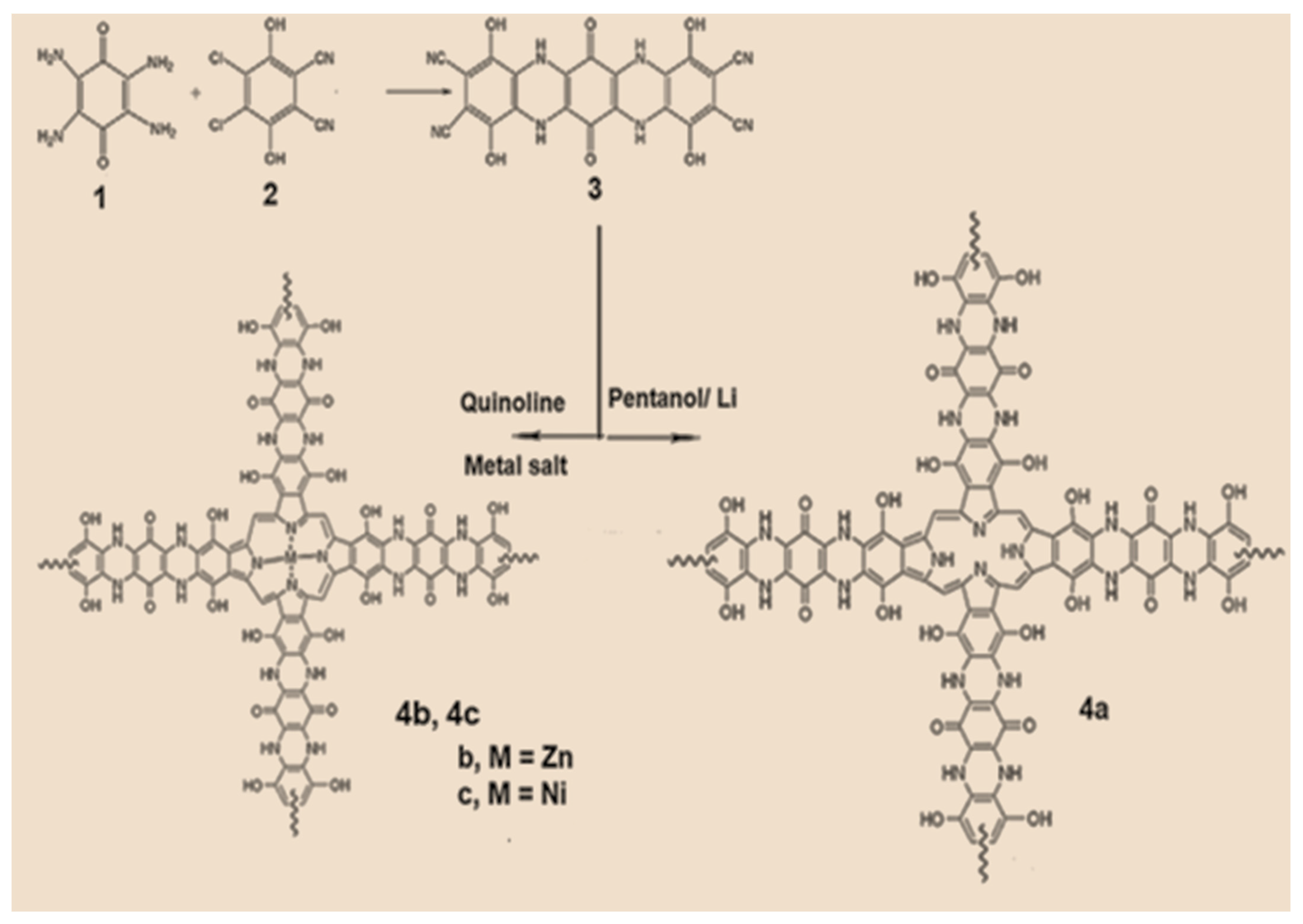
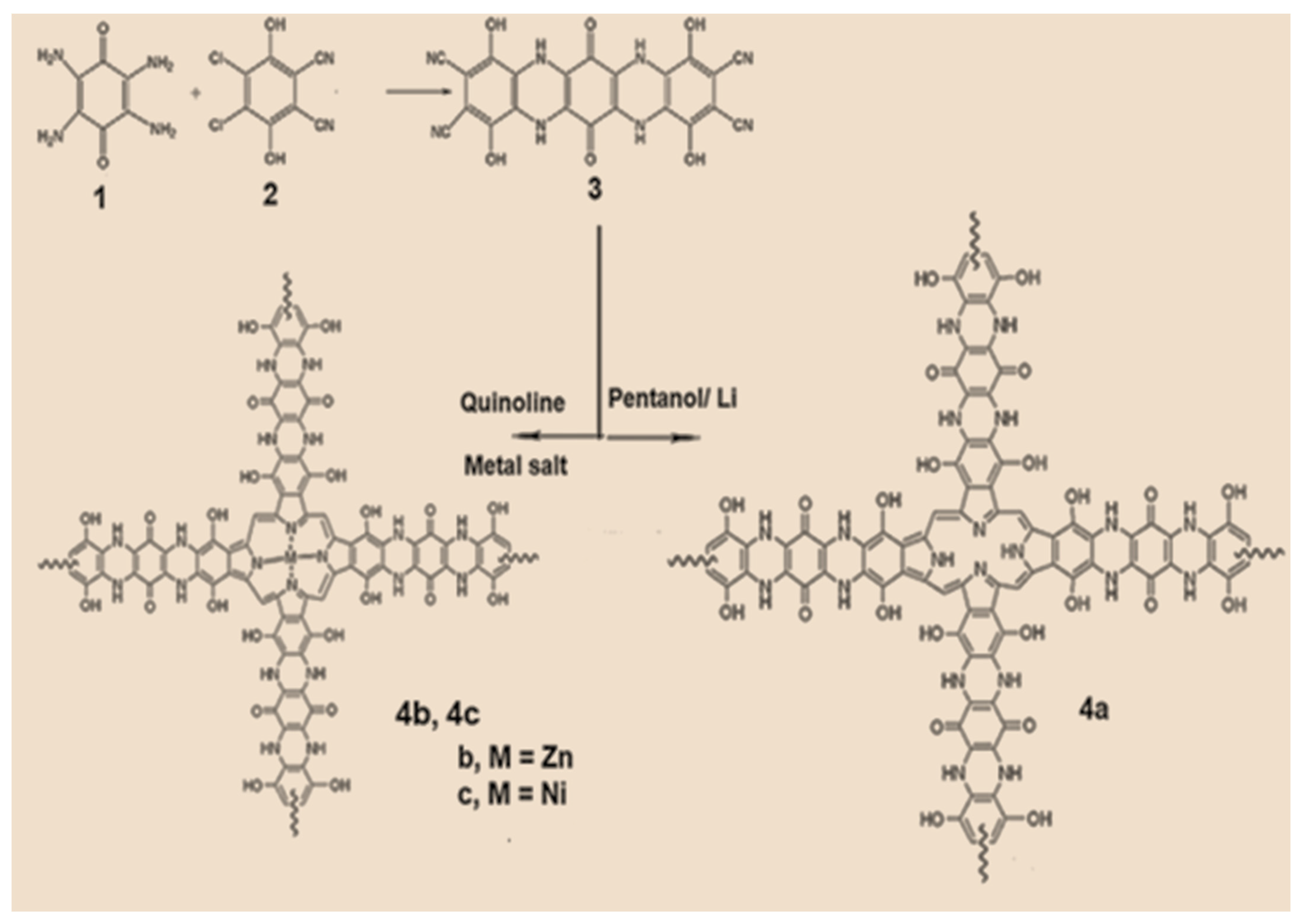
2.3. Synthesis of p-Benzoquinone [2,3-b:2′,3′-b′]bis[(5,8-dihydroxybenzopyrazine)-6,7-dinitrile] 3
2.4. Synthesis of Tetra p-Benzoquinone [2,3-b:2′,3′-b′]bis[(5,8-dihydroxybenzopyrazino) Porphyrazine-Based Network (2H-Pz) 4a
2.5. Synthesis of Porphyrazinato-Metal II-Networks (M-Pz), M = Zn 4b or M = Ni 4c
2.6. Catalytic Process
3. Results and Discussion
3.1. Synthesis
3.2. Infrared Spectra
3.3. Measurements of NMR and Molecular Masses
3.4. Ultraviolet-Visible Spectra and Optical Properties
3.5. Thermal Analysis
3.6. Effectiveness of the Manufactured Polymeric Materials as Catalysts
4. Conclusions
Author Contributions
Funding
Institutional Review Board Statement
Informed Consent Statement
Data Availability Statement
Acknowledgments
Conflicts of Interest
References
- Cook, A.H.; Linstead, R.P. Phthalocyanines. XI. The preparation of octaphenylporphyrazines from diphenylmaleinitrile. J. Chem. Soc. 1937, 929–933. [Google Scholar] [CrossRef]
- Ghosh, A.; Fitzgerald, J.; Gassman, P.G.; Almof, J. Electronic Distinction between Porphyrins and Tetraazaporphyrins. Insights from X-ray Photoelectron Spectra of Free Base Porphyrin, Porphyrazine, and Phthalocyanine Ligands. Inorg. Chem. 1994, 33, 6057–6060. [Google Scholar] [CrossRef]
- Koczorowski, T.; Ber, J.; Sokolnicki, T.; Teubert, A.; Szczolko, W.; Goslinski, T. Electrochemical and catalytic assessment of peripheral bromoaryl-substituted manganese and iron porphyrazines. Dye. Pigm. 2020, 178, 108370. [Google Scholar] [CrossRef]
- Izquierdo, M.A.; Aurimas Vyšniauskas, A.; Svetlana, A.; Lermontova, S.A.; Grigoryev, I.S.; Natalia, Y.; Shilyagina, N.Y.; Irina, V.; Balalaeva, I.V.; Larisa, G.; et al. Dual use of porphyrazines as sensitizers and viscosity markers in photodynamic therapy. J. Mater. Chem. B. 2014, 3, 1089–1096. [Google Scholar] [CrossRef]
- Korzhenevskii, A.B.; Efimova, S.V.; Zelenov, A.A.; Zelenov, O.I. Metal complexes of polymeric tetrapyrazinoporphyrazine of the network structure: III. Catalytic properties. Russ. J. Gen. Chem. 2006, 76, 822–825. [Google Scholar] [CrossRef]
- Zou, L.; Feng, D.; Tian-Fu Liu, T.F.; Ying-Pin Chen, Y.P.; Fordham, S.; Shuai Yuan, S.; Tiana, J.; Zhou, H.C. Facile one-pot synthesis of porphyrin based porous polymer networks (PPNs) as biomimetic catalysts. Chem. Commun. 2015, 51, 4005–4008. [Google Scholar] [CrossRef] [PubMed]
- Faust, R.; Weber, C. Three-step synthesis and absorption and emission properties of peripherally peralkynylated tetrapyrazinoporphyrazines. J. Org. Chem. 1999, 64, 2571. [Google Scholar] [CrossRef]
- Wang, C.S.; Bryce, M.R.; Batsanov, A.S.; Howard, J.A.K. Synthesis of Pyrazinoporphyrazine Derivatives Functionalised with Tetrathiafulvalene (TTF) Units: X-ray Crystal Structures of Two Related ttf Cyclophanes and Two Bis(1,3-Dithiole-2-Thione) Intermediates. Chem. Eur. J. 1997, 3, 1679–1690. [Google Scholar] [CrossRef]
- Wang, D.; Li, H.; Jiang, X.; Zhao, C. A New Method for the Synthesis of Cobalt Complex of Tetra-2,3-(5-tert-butyl-pyrazino) porphyrazine. IOP Conf. Ser. Earth Environ. Sci. 2021, 680, 012066. [Google Scholar] [CrossRef]
- Mani, N.S.; Beall, L.S.; White, A.J.P.; Williams, D.J.; Barrett, A.G.M.; Hoffman, B.M. Serendipitous desymmetrization during porphyrazine synthesis: An X-ray crystallographic study of 2,3,7,8,12,13,17,18-octakis(dimethylamino)-2-secoporphyrazine-2,3-dione. J. Chem. Soc. Chem. Commun. 1994, 17, 1943–1944. [Google Scholar] [CrossRef]
- Shindy, H.A.; El-Maghraby, M.A.; Eissa, F.M. Cyanine dyes of new heterocyclic ring systems: Synthesis and structure-spectra studies. Dyes Pigm. 2006, 68, 11–18. [Google Scholar] [CrossRef]
- Schutten, J.H.; Beelen, T.P.M. The role of hydrogen peroxide during the autoxidation of thiols promoted by bifunctional polymer-bonded cobalt phthalocyanine catalysts. Mol. Catal. 1980, 10, 85–97. [Google Scholar] [CrossRef]
- Brouwer, W.M.; Piet, P.; German, A.L. Autooxidation of thiols with cobalt (II) phthalocyanine tetrasodium sulfonate attached to poly(vinylamine): II. Kinetic measurments. Mol. Catal. 1985, 22, 297–308. [Google Scholar] [CrossRef]
- Brouwer, W.M.; Traa, P.A.M.; de Weerd, T.J.W.; Piet, F.; German, A.L. Autoxidation of thiols with cobalt (II) phthalocyanine-tetra-sodium sulfonate attached to poly(vinylamine), 6: Immobilized catalysts by crosslinking of poly(vinylamine). Die Angew. Makromol. Chem. 1984, 128, 133–147. [Google Scholar] [CrossRef]
- Arai, H.; Yashiro, M. Catalytic oxidation of ethylene using functional quinone-polymer-anchored palladium catalysts. J. Molec. Catal. 1978, 3, 427–434. [Google Scholar] [CrossRef]
- Abdel-Razik, H.H.; El-Sayed, S.; Hassen, A. Dielectric properties of new fully conjugated 2H- and metal-pyrazinoporphyrazine network polymers. J. Appl. Polym. Sci. 2011, 121, 3579–3589. [Google Scholar] [CrossRef]
- Abdel-Razik, H.H.; Asghar, B.H.; Kenawy, E. Synthesis, characterization and spectroscopic investigation of pyrazinoporphyrazine network polymer-supported metal (II)-based catalysts. Chin. J. Polym. Sci. 2013, 31, 242–250. [Google Scholar] [CrossRef]
- Bellucci, N.; Donzello, M.P.; Elisa Viola, E.; Ercolani, C. Homo/Heteropentanuclear Porphyrazine MgII, ZnII, and PdII Macrocycles with Externally Pending PdCl2 and Pd(CBT)2 Units: Synthesis, Physicochemical Characterization, and Photoactivity Studies. Inorg. Chem. 2021, 60, 12029–12038. [Google Scholar] [CrossRef]
- Zhabanov, Y.A.; Ryzhov, I.V.; Kuzmin, I.A.; Eroshin, A.V.; Stuzhin, P.A. DFT Study of Molecular and Electronic Structure of Y, La and Lu Complexes with Porphyrazine and Tetrakis(1,2,5-thiadiazole)porphyrazine. Molecules 2021, 26, 113. [Google Scholar] [CrossRef]
- Fahim, A.M.; Magar, H.S.; Nasar, E.; Abdelrazek, F.M.; Aboelnaga, A. Synthesis of Cu-Porphyrazines by Annulated Diazepine Rings with Electrochemical, Conductance Activities and Computational Studies. J. Inorg. Organomet. Polym. 2022, 32, 240–266. [Google Scholar] [CrossRef]
- Donzello, M.P.; Capobianco, G.; Pettiti, I.; Ercolani, C.; Stuzhin, P.A. Tetra-2,3-Pyrazinoporphyrazines with Externally Appended Pyridine Rings 22 Synthesis, Physicochemical and Photoactivity Studies on In(III) Mono- and Heteropentanuclear Complexes. Molecules 2022, 27, 849. [Google Scholar] [CrossRef] [PubMed]
- Paulina, S.M.; Koczorowski, T.; Szczolko, W.; Dlugaszewska, J.; Anna Teubert, A.; Hanna, P.K.; Goslinski, T.; Sobotta, L. Cationic porphyrazines with morpholinoethyl substituents—Syntheses, optical properties, and photocytotoxicities. Dye. Pigm. 2022, 197, 109937. [Google Scholar] [CrossRef]
- Abu Ali, O.A.; Abdel-Razik, H.H.; Abualnaja, M.; Fayad, E. Investigation of Structural and Optical Properties of Some [1,4]Dithiine-porphyrazine Dyes. Molecules 2022, 27, 1651. [Google Scholar] [CrossRef] [PubMed]
- Bruder, I.; Schöneboom, J.; Dinnebier, R.; Ojala, A.; Schäfer, S.; Sens, R.; Erk, P.; Weis, J. What determines the performance of metal phthalocyanines (MPc, M=Zn, Cu, Ni, Fe) in organic heterojunction solar cells? A combined experimental and theoretical investigation. Org. Electron. 2010, 11, 377–387. [Google Scholar] [CrossRef]
- Iranpoor, N.; Zeynizadeh, B. Air oxidative coupling of thiols to disulfides catalyzed by Fe (III)/NaI. Synthesis 1999, 1999, 49–50. [Google Scholar] [CrossRef]
- Tarakanova, E.N.; Hamdoush, M.; Eroshin, A.V.; Ryzhov, I.V.; Zhabanov, Y.A.; Stuzhin, P.A. Tetra(1,2,5-thiadiazolo)porphyrazines. 10. Synthesis, spectral characterization and DFT study of complexes with yttrium(III) and lutetium(III). Polyhedron 2021, 193, 114877. [Google Scholar] [CrossRef]
- Yaman, H.; Kayan, A. Synthesis of novel single site tin porphyrin complexes and the catalytic activity of tin tetrakis(4-fluorophenyl)porphyrin over ε-caprolactone. J. Porphyr. Phthalocyanines 2017, 21, 231–237. [Google Scholar] [CrossRef]
- Kim, J.; Jaung, J.Y.; Ahn, H. Tetrapyrazinoindoloporphyrazine Langmuir-Blodgett films. Macromol. Res. 2008, 16, 367–372. [Google Scholar] [CrossRef]
- Han, J.; Jaung, J.Y.; Ahn, H. Study of the thermal decomposition of tetrapyrazino [2,3-b]indoloporphyrazine films. Colloids Surf. A Physicochem. Eng. Asp. 2008, 313–314, 545–548. [Google Scholar] [CrossRef]
- Puigdollers, J.; Voz, C.; Fonrodona, M.; Cheylan, S.; Stella, M.; Andreu, J.; Vetter, M.; Alcubilla, R. Copper phthalocyanine thin-film transistors with polymeric gate dielectric. J. Non-Cryst. Solids 2006, 352, 1778–1782. [Google Scholar] [CrossRef]
- Wizel, S.; Margel, S.; Gedanken, A.; Rojas, T.C.; Fernandez, A.; Prozorov, R. The preparation of metal–polymer composite materials using ultrasound radiation: Part II. Differences in physical properties of cobalt–polymer and iron–polymer composites. J. Mater. Res. 1999, 14, 3913–3920. [Google Scholar] [CrossRef]
- Cory, M.G.; Zerner, M.C. Metal-ligand exchange coupling in transition-metal complexes. Chem. Rev. 1991, 91, 813–822. [Google Scholar] [CrossRef]
- Chen, Q.; Gu, D.; Gan, F. Ellipsometric spectra of cobalt phthalocyanine films. Phys. B Condens. Matter. 1995, 212, 189–194. [Google Scholar] [CrossRef]
- Rollmann, L.D. Porous, polymer-bonded metalloporphyrins. J. Am. Chem. Soc. 1975, 97, 2132–2136. [Google Scholar] [CrossRef]
- Alejandre, A.; Medina, F.; Salagre, P.; Fabregat, A.; Sueiras, J.E. Characterization and activity of copper and nickel catalysts for the oxidation of phenol aqueous solutions. Appl. Catal. B. 1998, 18, 307–315. [Google Scholar] [CrossRef]
- McKeown, N.B.; Makhseed, S.; Budd, P.M. Phthalocyanine-based nanoporous network polymers. Chem. Commun. 2002, 23, 2780–2781. [Google Scholar] [CrossRef]
- Sonavane, S.U.; Chidambaram, M.; Almog, J.; Sasson, Y. Rapid and efficient synthesis of symmetrical alkyl disulfides under phase transfer conditions. Tetrahedron Lett. 2007, 48, 6048–6050. [Google Scholar] [CrossRef]
- Bader, M.W.; Xie, T.; Yu, C.A.; Bardwell, J.C. Disulfide Bonds are generated by quinone reduction. J. Biol. Chem. 2000, 275, 26082–26088. [Google Scholar] [CrossRef]
- Hay, A.S. Polymerization by oxidative coupling. II. Oxidation of 2,6-disubstituted phenols. J. Polym. Sci. 1962, 58, 581–591. [Google Scholar] [CrossRef]
- Nasrollahzadeh, M.; Nezafat, Z.; Bidgoli, N.S.S.; Shafiei, N. Recent progresses in polymer supported cobalt complexes/nanoparticles for sustainable and selective oxidation reactions. Mol. Catal. 2020, 484, 110775. [Google Scholar] [CrossRef]
- Mert, H.; Tunca, U.; Hiza, G. Thiophenol Derivatives as a Reducing Agent for In Situ Generation of Cu(I) Species via Electron Transfer Reaction in Copper-Catalyzed Living/Controlled Radical Polymerization of Styrene. J. Polym. Sci. Part A Polym. Chem. 2006, 44, 5923–5932. [Google Scholar] [CrossRef]









| No. | Sample | Yield (%) | Mp (°C) | Mn | Mw | Polydispersity (Mw/Mn) | BET Area (m2/g) |
|---|---|---|---|---|---|---|---|
| 4a | 2H-Pz | 83 | >300 | 34,442 | 93,682 | 2.72 | 466 |
| 4b | Zn-Pz | 87 | >300 | 32,626 | 93,310 | 2.86 | 455 |
| 4c | Ni-Pz | 85 | >300 | 33,486 | 102,467 | 3.06 | 430 |
| No. | Catalyst | Diphenyl Disulfide Obtained % | Turnover Number (TON) (s−1) | Dibenzyl Disulfide Obtained % | Turnover Number (TON) (s−1) |
|---|---|---|---|---|---|
| 4a | 2H-Pz | 87 | 820.7 | 89 | 839.6 |
| 4b | Zn-Pz | 97 | 906.5 | 96 | 897 |
| 4c | Ni-Pz | 94 | 964 | 93 | 953.8 |
Publisher’s Note: MDPI stays neutral with regard to jurisdictional claims in published maps and institutional affiliations. |
© 2022 by the authors. Licensee MDPI, Basel, Switzerland. This article is an open access article distributed under the terms and conditions of the Creative Commons Attribution (CC BY) license (https://creativecommons.org/licenses/by/4.0/).
Share and Cite
Al-Warhi, T.; Abualnaja, M.; Abu Ali, O.A.; Abdel-Razik, H.H.; Albogami, S.M.; Fayad, E. Metallic Porphyrazine Networks: Synthesis, as Well as Thermal and Optical Properties for Accelerating the Oxidation of Thiols to Their Disulfides. Metals 2022, 12, 1523. https://doi.org/10.3390/met12091523
Al-Warhi T, Abualnaja M, Abu Ali OA, Abdel-Razik HH, Albogami SM, Fayad E. Metallic Porphyrazine Networks: Synthesis, as Well as Thermal and Optical Properties for Accelerating the Oxidation of Thiols to Their Disulfides. Metals. 2022; 12(9):1523. https://doi.org/10.3390/met12091523
Chicago/Turabian StyleAl-Warhi, Tarfah, Matokah Abualnaja, Ola A. Abu Ali, Hamada H. Abdel-Razik, Sarah M. Albogami, and Eman Fayad. 2022. "Metallic Porphyrazine Networks: Synthesis, as Well as Thermal and Optical Properties for Accelerating the Oxidation of Thiols to Their Disulfides" Metals 12, no. 9: 1523. https://doi.org/10.3390/met12091523
APA StyleAl-Warhi, T., Abualnaja, M., Abu Ali, O. A., Abdel-Razik, H. H., Albogami, S. M., & Fayad, E. (2022). Metallic Porphyrazine Networks: Synthesis, as Well as Thermal and Optical Properties for Accelerating the Oxidation of Thiols to Their Disulfides. Metals, 12(9), 1523. https://doi.org/10.3390/met12091523

