The Offset Crashworthiness and Parameter Optimization of C-Shaped Frame for Rail Vehicle Anti-Climbing Device
Abstract
1. Introduction
2. Material Preparation and Parameters Definition
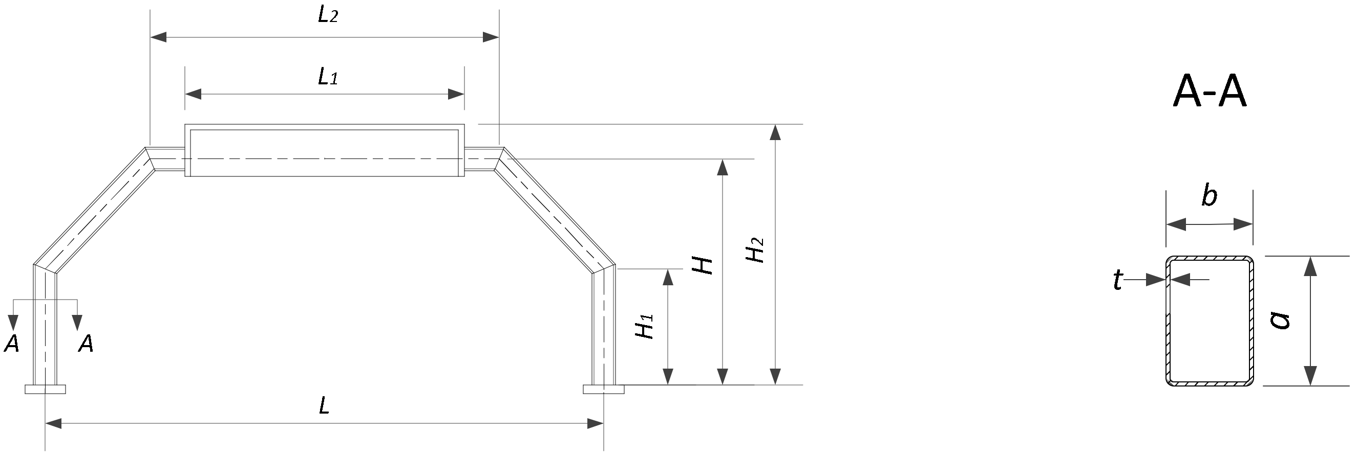
2.1. Test Specimen
2.2. Test Preparation
2.2.1. Drop Weight Test
2.2.2. Dynamic Simulation Settings
2.3. Definition of Structural Crashworthiness
3. Results and Discussion
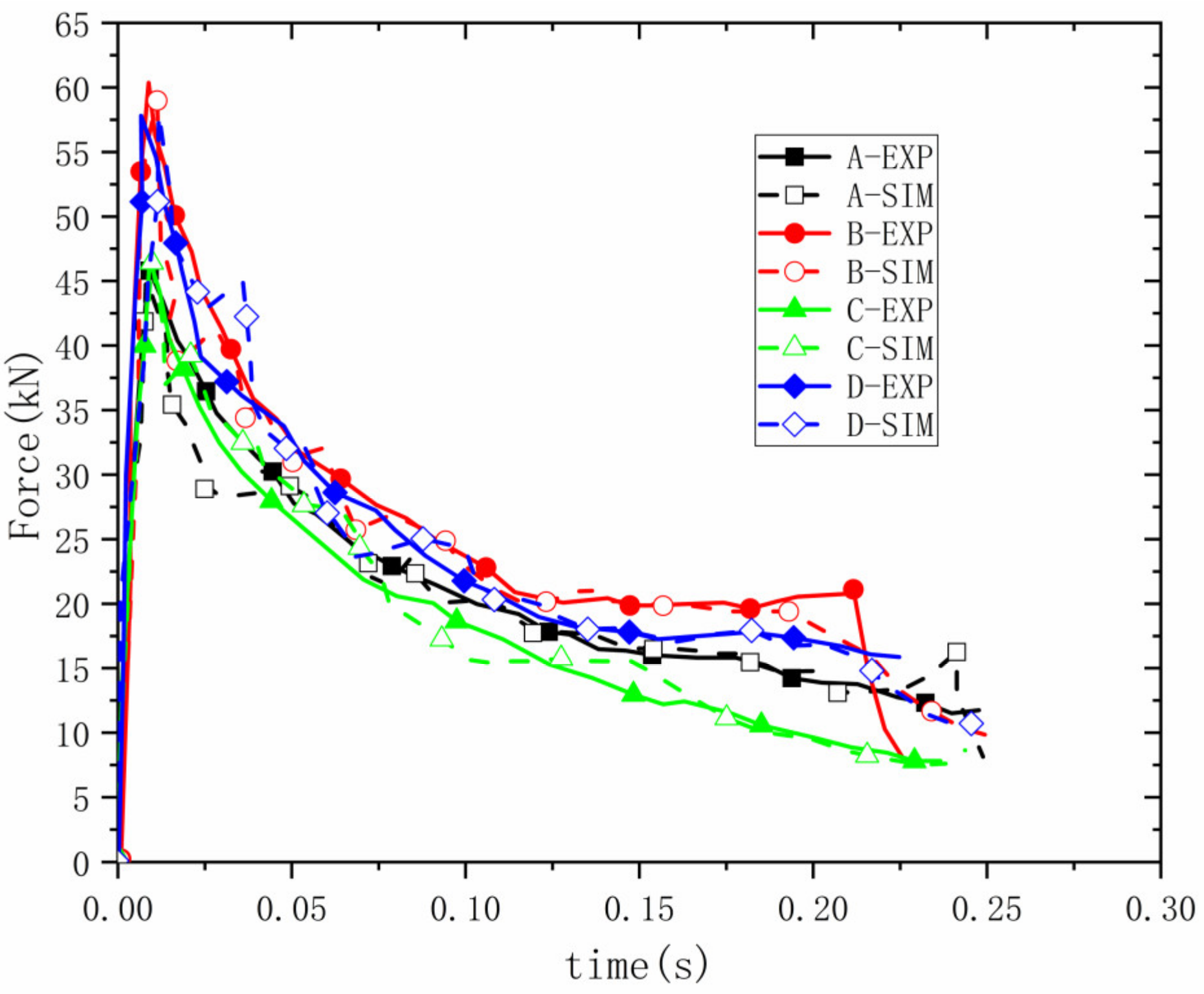
3.1. Comparison of Simulation and Test Results
3.2. Parametric Simulation Results
3.2.1. Influence of Structural Parameter Changes on Crashworthiness
3.2.2. Influence of Configuration Parameters on Structural Crashworthiness
3.2.3. Influence of Different Materials on Structural Crashworthiness
3.2.4. Influence of Section Shape on Structural Crashworthiness
4. Conclusions
Author Contributions
Funding
Institutional Review Board Statement
Informed Consent Statement
Data Availability Statement
Conflicts of Interest
References
- Waters, H.; Hyder, A.; Phillips, T. Economic Evaluation of Interventions to Reduce Road Traffic injuries—A Review of the Literature with Applications to Low and Middie-income Countries. Asia Pac. J. Public Health 2004, 16, 23–31. [Google Scholar] [CrossRef] [PubMed]
- Li, R.; Cao, D.; Wu, H.; Wang, D. Collapse analysis and damage evaluation of typical simply supported double-pier RC bridge under truck collision. Structures 2021, 33, 3222–3238. [Google Scholar] [CrossRef]
- En15227-2008; Railway Applications—Crashworthiness Requirements for Railway Vehicle Bodies. British Standard: London, UK, 2008.
- Baroutaji, A.; Sajjia, M.; Olabi, A. On the crashworthiness performance of thin-walled energy absorbers: Recent advances and future developments. Thin-Walled Walled Struct. 2017, 118, 137–163. [Google Scholar] [CrossRef]
- Le, D.; Novak, N.; Arjunan, A.; Baroutaji, A.; Estrada, Q.; Tran, T.; Le, H. Crashworthiness of bio-inspired multi-stage nested multi-cell structures with foam core. Thin-Walled Struct. 2023, 182, 110245. [Google Scholar] [CrossRef]
- Lv, X.; Xiao, Z.; Fang, J.; Li, Q.; Lei, F.; Sun, G. On safety design of vehicle for protection of vulnerable road users: A review. Thin-Walled Struct. 2023, 182, 109990. [Google Scholar] [CrossRef]
- Estrada, Q.; Szwedowicz, D.; Rodriguez-Mendez, A.; Elías-Espinosa, M.; Silva-Aceves, J.; Bedolla-Hernández, J.; Gómez-Vargas, O.A. Identification of crashworthiness indicators of column energy absorbers with triggers in the form of cylindrical embossing on the lateral edges using artificial neural networks. Thin-Walled Struct. 2019, 140, 43–59. [Google Scholar] [CrossRef]
- Estrada, Q.; Szwedowicz, D.; Rodriguez-Mendez, A.; Elías-Espinosa, M.; Silva-Aceves, J.; Bedolla-Hernández, J.; Gómez-Vargas, O.A. Effect of radial clearance and holes as crush initiators on the crashworthiness performance of bi-tubular profiles. Thin-Walled Struct. 2019, 140, 43–59. [Google Scholar] [CrossRef]
- Alexander, J. An approximate analysis of the collapse of thin cylindrical shells under axial loading. Q. J. Mech. Appl. Math. 1960, 13, 10–15. [Google Scholar] [CrossRef]
- Abramowicz, W.; Jones, N. Dynamic progressive buckling of circular and square tubes. Int. J. Impact Eng. 1986, 4, 243–270. [Google Scholar] [CrossRef]
- Jones, N.; Abramowicz, W. Static and dynamic axial crushing of circular and square tubes. In Metal Forming & Impact Mechanics; Pergamon: Oxford, UK, 1985; pp. 225–247. [Google Scholar] [CrossRef]
- Wierzbicki, T.; Abramowicz, W. On the Crushing Mechanics of Thin-Walled Structures. J. Appl. Mech. 1983, 50, 727–734. [Google Scholar] [CrossRef]
- Lv, X.; Xiao, Z.; Fang, J.; Li, Q.; Lei, F.; Sun, G. Lightweight hybrid materials and structures for energy absorption: A state-of-the-art review and outlook. Thin-Walled Struct. 2023, 182, 109990. [Google Scholar] [CrossRef]
- Rogala, M.; Gajewski, J.; Gawdzińska, K. Crashworthiness analysis of thin-walled aluminum columns filled with aluminum–silicon carbide composite foam. Compos. Struct. 2022, 299, 116102. [Google Scholar] [CrossRef]
- Zhang, X.; Cheng, G.; Zhang, H. Theoretical prediction and numerical simulation of multi-cell square thin-walled structures. Thin-Walled Struct. 2006, 44, 1185–1191. [Google Scholar] [CrossRef]
- Kim, H.-S. New extruded multi-cell aluminum profile for maximum crash energy absorption and weight efficiency. Thin-Walled Struct. 2002, 40, 311–327. [Google Scholar] [CrossRef]
- Reid, S.; Reddy, T.; Gray, M. Static and dynamic axial crushing of foam-filled sheet metal tubes. Int. J. Mech. Sci. 1986, 28, 295–322. [Google Scholar] [CrossRef]
- Reid, S.; Reddy, T. Axial crushing of foam-filled tapered sheet metal tubes. Int. J. Mech. Sci. 1986, 28, 643–656. [Google Scholar] [CrossRef]
- Hanssen, A.; Langseth, M.; Hopperstad, O. Static and dynamic crushing of circular aluminium extrusions with aluminium foam filler. Int. J. Impact Eng. 2000, 24, 475–507. [Google Scholar] [CrossRef]
- Seitzberger, M.; Rammerstorfer, F.G.; Gradinger, R.; Degischer, H.P.; Blaimschein, M.; Walch, C. Experimental studies on the quasi-static axial crushing of steel columns filled with aluminium foam. Int. J. Solids Struct. 2000, 37, 4125–4147. [Google Scholar] [CrossRef]
- Santosa, S.; Wierzbicki, T. Crash behavior of box columns filled with aluminum honeycomb or foam. Comput. Struct. 1998, 68, 343–367. [Google Scholar] [CrossRef]
- Reid, S.; Reddy, T. Static and dynamic crushing of tapered sheet metal tubes of rectangular cross-section. Int. J. Mech. Sci. 1986, 28, 623–637. [Google Scholar] [CrossRef]
- Nagel, G.M.; Thambiratnam, D.P. Dynamic simulation and energy absorption of tapered thin-walled tubes under oblique impact loading. Int. J. Impact. Eng. 2006, 10, 1595–1620. [Google Scholar] [CrossRef]
- Tran, T.; Hou, S.; Han, X.; Nguyen, N.; Chau, M. Theoretical prediction and crashworthiness optimization of multi-cell square tubes under oblique impact loading. Int. J. Mech. Sci. 2014, 89, 177–193. [Google Scholar] [CrossRef]
- Qi, C.; Yang, S.; Dong, F. Crushing analysis and multiobjective crashworthiness optimization of tapered square tubes under oblique impact loading. Thin-Walled Struct. 2012, 59, 103–119. [Google Scholar] [CrossRef]
- Yang, S.; Qi, C. Multiobjective optimization for empty and foam-filled square columns under oblique impact loading. Int. J. Impact Eng. 2013, 54, 177–191. [Google Scholar] [CrossRef]
- Zhang, X.; Zhang, H. Relative merits of conical tubes with graded thickness subjected to oblique impact loads. Int. J. Mech. Sci. 2015, 98, 111–125. [Google Scholar] [CrossRef]
- Kecman, D. Bending collapse of rectangular and square section tubes. Int. J. Mech. Sci. 1983, 25, 623–636. [Google Scholar] [CrossRef]
- Poonaya, S.; Teeboonma, U.; Thinvongpituk, C. Plastic collapse analysis of thin-walled circular tubes subjected to bending. Thin-Walled Struct. 2009, 47, 637–645. [Google Scholar] [CrossRef]
- Bambach, M.; Jama, H.; Zhao, X.; Grzebieta, R. Hollow and concrete filled steel hollow sections under transverse impact loads. Eng. Struct. 2008, 30, 2859–2870. [Google Scholar] [CrossRef]
- Bambach, M. Design of hollow and concrete filled steel and stainless steel tubular columns for transverse impact loads. Thin-Walled Struct. 2011, 49, 1251–1260. [Google Scholar] [CrossRef]
- Yousuf, M.; Uy, B.; Tao, Z.; Remennikov, A.; Liew, J.R. Transverse impact resistance of hollow and concrete filled stainless steel columns. J. Constr. Steel Res. 2013, 82, 177–189. [Google Scholar] [CrossRef]
- Wang, Z.; Li, Z.; Zhang, X. Bending resistance of thin-walled multi-cell square tubes. Thin-Walled Struct. 2016, 107, 287–299. [Google Scholar] [CrossRef]
- Tang, T.; Zhang, W.; Yin, H.; Wang, H. Crushing analysis of thin-walled beams with various section geometries under lateral impact. Thin-Walled Struct. 2016, 102, 43–57. [Google Scholar] [CrossRef]
- Zhang, X.; Zhang, H.; Ren, W. Bending collapse of folded tubes. Int. J. Mech. Sci. 2016, 117, 67–78. [Google Scholar] [CrossRef]
- Xu, P.; Yang, C.; Peng, Y.; Yao, S.; Zhang, D.; Li, B. Crash performance and multi-objective optimization of a gradual energy-absorbing structure for subway vehicles. Int. J. Mech. Sci. 2016, 107, 1–12. [Google Scholar] [CrossRef]
- Li, J.; Gao, G.; Dong, H. Crushing analysis and multi-objective optimization of a railway vehicle driver’s cab. Thin-Walled Struct. 2016, 107, 554–563. [Google Scholar] [CrossRef]
- Yao, S.; Xiao, X.; Xu, P.; Qu, Q. Study on Impact Performance of Energy Absorbing Structures under Horizontal Offset Loading. In Proceedings of the International Conference on Applied Mechanics and Mechanical Automation, Phuket, Thailand, 6–7 August 2017; pp. 34–38. [Google Scholar] [CrossRef]
- Rui, D. Research on Development of an Energy Absorption and Anti-climbing Device for Metro Trains. Roll. Stock. 2014, 52, 25–28. [Google Scholar]
- Ismail, M.; Ismail, A. Eccentric crushing behavior of high strength steel tubes. Int. J. Mech. Mechatron. Eng. 2015, 15, 100–104. [Google Scholar]
- Jones, N.; Birch, S.E.; Birch, R.S.; Zhu, L.; Brown, M. An experimental study on the lateral impact of fully clamped mild steel pipes. Proc. Inst. Mech. Eng. Part E J. Process Mech. Eng. 1992, 206, 111–127. [Google Scholar] [CrossRef]
- Wu, X.; Yu, H.; Guo, L.; Zhang, L.; Sun, X.; Chai, Z. Experimental and numerical investigation of static and fatigue behaviors of composites honeycomb sandwich structure. Compos. Struct. 2019, 213, 165–172. [Google Scholar] [CrossRef]
- Xing, Y.; Yang, S.; Lu, S.; An, Y.; Zhao, E.; Zhai, J. Energy absorption and optimization of Bi-directional corrugated honeycomb aluminum. Compos. Part B Eng. 2021, 219, 108914. [Google Scholar] [CrossRef]









| NO. | L1 (mm) | L2 (mm) | H1 (mm) | a (mm) | b (mm) | t (mm) |
|---|---|---|---|---|---|---|
| 1A | 280 | 400 | 140 | 60 | 40 | 2 |
| 2B | 480 | 600 | 140 | 60 | 40 | 2 |
| 3C | 480 | 600 | 200 | 60 | 40 | 2 |
| 6D | 580 | 700 | 200 | 60 | 40 | 2 |
| Factor 1 | Factor 2 | Factor 3 | Factor 4 | Factor 5 | Response 1 | Response 2 | Average | Peak | |
|---|---|---|---|---|---|---|---|---|---|
| Run | A:L1 | B:H1 | C:a | D:b | E:t | EA | CFE | Fm | Fp |
| mm | mm | mm | mm | mm | ×104 J | ×105 N | ×105 N | ||
| 1 | 430 | 185 | 65 | 32.5 | 2.75 | 1.56 | 0.64 | 5.057 | 7.89 |
| 2 | 280 | 230 | 80 | 40 | 3.5 | 0.717 | 0.278 | 3.15 | 11.3 |
| 3 | 580 | 140 | 80 | 25 | 2 | 0.319 | 0.464 | 1.069 | 2.3 |
| 4 | 580 | 230 | 50 | 40 | 3.5 | 0.515 | 0.406 | 1.705 | 4.19 |
| 5 | 580 | 140 | 50 | 25 | 3.5 | 0.503 | 0.449 | 1.63 | 3.63 |
| 6 | 580 | 230 | 80 | 40 | 3.5 | 0.586 | 0.456 | 1.801 | 3.94 |
| 7 | 580 | 140 | 50 | 40 | 2 | 0.292 | 0.365 | 0.898 | 2.46 |
| 8 | 280 | 140 | 80 | 40 | 2 | 0.354 | 0.566 | 1.195 | 2.11 |
| 9 | 580 | 140 | 80 | 25 | 3.5 | 0.415 | 0.476 | 1.39 | 2.92 |
| 10 | 280 | 140 | 50 | 40 | 2 | 0.0578 | 0.427 | 0.196 | 0.459 |
| 11 | 580 | 230 | 50 | 25 | 2 | 0.18 | 0.466 | 0.658 | 1.41 |
| 12 | 580 | 230 | 80 | 25 | 3.5 | 0.254 | 0.444 | 0.906 | 2.04 |
| 13 | 280 | 230 | 50 | 25 | 3.5 | 0.276 | 0.505 | 0.899 | 1.78 |
| 14 | 580 | 230 | 50 | 40 | 2 | 0.228 | 0.343 | 0.81 | 2.36 |
| 15 | 280 | 140 | 50 | 25 | 2 | 0.525 | 0.647 | 1.728 | 2.67 |
| 16 | 280 | 140 | 50 | 25 | 3.5 | 0.0799 | 0.656 | 0.26 | 0.396 |
| 17 | 280 | 230 | 50 | 40 | 2 | 0.922 | 0.599 | 3.038 | 5.07 |
| 18 | 430 | 185 | 29.323 | 32.5 | 2.75 | 1.64 | 0.689 | 5.203 | 7.55 |
| 19 | 280 | 140 | 80 | 25 | 2 | 0.368 | 0.484 | 1.259 | 2.6 |
| 20 | 73.2379 | 185 | 65 | 32.5 | 2.75 | 0.261 | 0.734 | 0.852 | 1.16 |
| 21 | 580 | 140 | 80 | 40 | 2 | 0.205 | 0.534 | 0.657 | 1.23 |
| 22 | 580 | 140 | 50 | 40 | 3.5 | 1.29 | 0.647 | 4.24 | 6.55 |
| 23 | 430 | 185 | 65 | 32.5 | 0.966 | 0.655 | 0.658 | 2.146 | 3.26 |
| 24 | 430 | 185 | 65 | 14.661 | 2.75 | 0.478 | 0.634 | 1.56 | 2.46 |
| 25 | 280 | 230 | 80 | 40 | 2 | 0.591 | 0.616 | 1.96 | 3.18 |
| 26 | 430 | 77.9714 | 65 | 32.5 | 2.75 | 2.27 | 0.772 | 7.427 | 9.61 |
| 27 | 280 | 230 | 50 | 40 | 3.5 | 1.33 | 0.607 | 4.406 | 7.25 |
| 28 | 580 | 230 | 80 | 25 | 2 | 0.576 | 0.615 | 1.86 | 3.02 |
| 29 | 580 | 230 | 80 | 40 | 2 | 1.97 | 0.553 | 6.37 | 11.5 |
| 30 | 280 | 140 | 80 | 25 | 3.5 | 0.527 | 0.474 | 1.756 | 3.7 |
| 31 | 280 | 230 | 50 | 25 | 2 | 0.379 | 0.654 | 1.25 | 1.91 |
| 32 | 280 | 140 | 50 | 40 | 3.5 | 1.59 | 0.716 | 5.23 | 7.3 |
| 33 | 280 | 230 | 80 | 25 | 3.5 | 0.522 | 0.406 | 1.728 | 4.25 |
| 34 | 280 | 140 | 80 | 40 | 3.5 | 0.951 | 0.750 | 3.114 | 4.15 |
| 35 | 580 | 140 | 50 | 25 | 2 | 1.3 | 0.634 | 4.34 | 6.84 |
| 36 | 580 | 230 | 50 | 25 | 3.5 | 2.11 | 0.604 | 6.77 | 11.2 |
| 37 | 580 | 140 | 80 | 40 | 3.5 | 0.382 | 0.483 | 12.87 | 26.6 |
| 38 | 280 | 230 | 80 | 25 | 2 | 0.306 | 0.455 | 1.012 | 2.22 |
| A:L1 | B:H1 | C:a | D:b | E:t | EA/kJ | CFE | Fm/kN | Fp/kN |
|---|---|---|---|---|---|---|---|---|
| 280 | 230 | 80 | 40 | 3.5 | 7.17 | 0.278 | 315 | 1130 |
| 580 | 230 | 80 | 40 | 3.5 | 5.86 | 0.456 | 180.1 | 394 |
| 280 | 140 | 80 | 40 | 3.5 | 9.51 | 0.750 | 311.4 | 415 |
| 580 | 140 | 80 | 40 | 3.5 | 3.82 | 0.483 | 1287 | 2660 |
| A:L1 | B:H1 | C:a | D:b | E:t | EA × k J | CFE | Fm × k N | Fp × k N | |
|---|---|---|---|---|---|---|---|---|---|
| Structural steel RUN2 | 280 | 230 | 80 | 40 | 3.5 | 7.17 | 0.278 | 15 | 1130 |
| Aluminum RUN2 | 280 | 230 | 80 | 40 | 3.5 | 0.637 | 0.5075 | 20.3 | 40 |
| Structural steel RUN50 | 280 | 230 | 80 | 25 | 2 | 3.06 | 0.449 | 45 | 101.2 |
| Aluminum RUN50 | 280 | 230 | 80 | 25 | 2 | 0.196 | 0.2526 | 7.24 | 28.5 |
| Structural steel RUN48 | 580 | 230 | 50 | 25 | 3.5 | 21.1 | 0.6044 | 677 | 1120 |
| Aluminum RUN48 | 580 | 230 | 50 | 25 | 3.5 | 0.639 | 0.4079 | 21.5 | 52.7 |
| A:L1 | B:H1 | C:a | D:b | E:t | EA/k J | CFE | Fm/k N | Fp/kN |
|---|---|---|---|---|---|---|---|---|
| 580 | 230 | 50 | 40 | 3.5 | 5.15 | 0.406 | 170.5 | 419 |
| 580 | 230 | 50 | 25 | 2 | 1.8 | 0.466 | 65.8 | 141 |
| 580 | 230 | 80 | 25 | 3.5 | 2.54 | 0.444 | 90.6 | 204 |
| 580 | 230 | 50 | 40 | 2 | 2.28 | 0.343 | 81 | 236 |
| 580 | 230 | 80 | 25 | 2 | 5.76 | 0.615 | 186 | 302 |
| 580 | 230 | 80 | 40 | 2 | 19.7 | 0.553 | 637 | 1150 |
| 580 | 230 | 50 | 25 | 3.5 | 21.1 | 0.604 | 677 | 1120 |
| 280 | 140 | 80 | 40 | 2 | 0.354 | 0.566 | 1.195 | 2.11 |
| 280 | 140 | 50 | 40 | 2 | 0.0578 | 0.4270 | 0.196 | 0.459 |
| 280 | 140 | 50 | 25 | 2 | 0.525 | 0.6471 | 1.728 | 2.67 |
| 280 | 140 | 50 | 25 | 3.5 | 0.0799 | 0.6565 | 0.26 | 0.396 |
| 280 | 140 | 80 | 25 | 2 | 0.368 | 0.4842 | 1.259 | 2.6 |
| 280 | 140 | 80 | 25 | 3.5 | 0.527 | 0.4745 | 1.756 | 3.7 |
| 280 | 140 | 50 | 40 | 3.5 | 1.59 | 0.7164 | 5.23 | 7.3 |
| 280 | 140 | 80 | 40 | 3.5 | 0.951 | 0.7503 | 3.114 | 4.15 |
Disclaimer/Publisher’s Note: The statements, opinions and data contained in all publications are solely those of the individual author(s) and contributor(s) and not of MDPI and/or the editor(s). MDPI and/or the editor(s) disclaim responsibility for any injury to people or property resulting from any ideas, methods, instructions or products referred to in the content. |
© 2023 by the authors. Licensee MDPI, Basel, Switzerland. This article is an open access article distributed under the terms and conditions of the Creative Commons Attribution (CC BY) license (https://creativecommons.org/licenses/by/4.0/).
Share and Cite
Wei, W.; Zhang, F.; Xing, Y.; Wang, H.; Liu, R. The Offset Crashworthiness and Parameter Optimization of C-Shaped Frame for Rail Vehicle Anti-Climbing Device. Metals 2023, 13, 501. https://doi.org/10.3390/met13030501
Wei W, Zhang F, Xing Y, Wang H, Liu R. The Offset Crashworthiness and Parameter Optimization of C-Shaped Frame for Rail Vehicle Anti-Climbing Device. Metals. 2023; 13(3):501. https://doi.org/10.3390/met13030501
Chicago/Turabian StyleWei, Wei, Fengqiang Zhang, Youdong Xing, Hongxiang Wang, and Rongqiang Liu. 2023. "The Offset Crashworthiness and Parameter Optimization of C-Shaped Frame for Rail Vehicle Anti-Climbing Device" Metals 13, no. 3: 501. https://doi.org/10.3390/met13030501
APA StyleWei, W., Zhang, F., Xing, Y., Wang, H., & Liu, R. (2023). The Offset Crashworthiness and Parameter Optimization of C-Shaped Frame for Rail Vehicle Anti-Climbing Device. Metals, 13(3), 501. https://doi.org/10.3390/met13030501

