Corrosion Behavior of Carbon Steel X36 in Solutions of Soils Collected from Different Areas Linked to the Main Pipe Network of a Water Distribution System in Jeddah City
Abstract
1. Introduction
2. Materials and Methods
2.1. Metal Specimens
2.2. Soil Samples
2.2.1. Collection and Analysis
2.2.2. Test Solution Preparation
2.3. WL Measurements
2.4. OCP, EIS, and PDP Measurements
2.5. Surface Characterization (OP and SEM)
3. Results and Discussion
3.1. WL Method
3.1.1. Effect of Immersion Time
3.1.2. Kinetic Study
3.1.3. OP Observations
3.1.4. SEM Observations
3.2. Electrochemical Methods
3.2.1. OCP
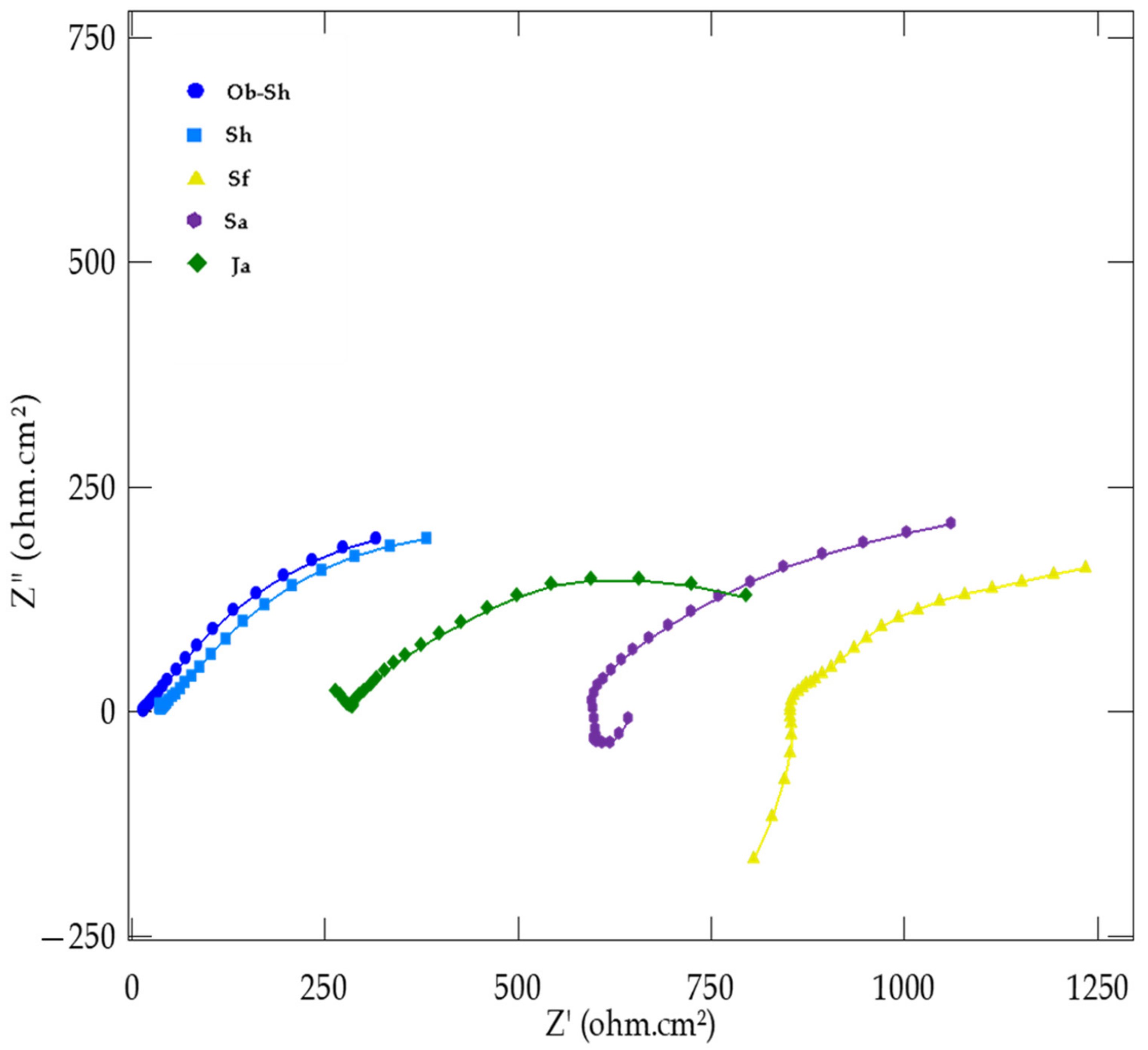
3.2.2. EIS
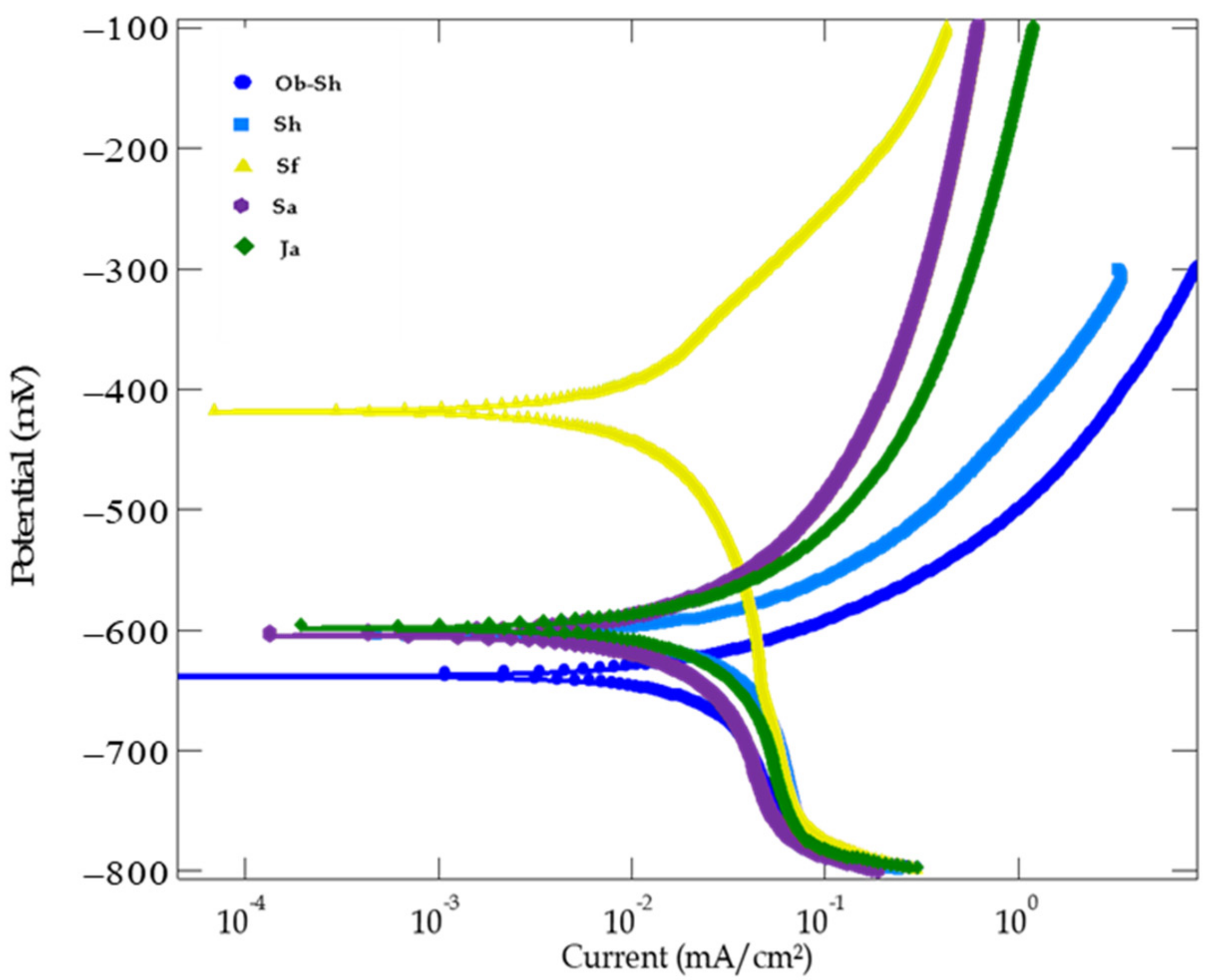
3.2.3. PDP
3.2.4. Comprehensive Assessment of Soil Corrosivity
- ER: Soil electrical resistivity measures how easily an electron can flow through the soil. Corrosion reactions occur more quickly in soils with a low resistance to electron flow and more slowly in soils with high resistivity.
- : Chloride ions are classified as aggressive ions because they participate directly in the electrochemical reactions that cause corrosion. Chloride degrades the stable, protective films that can naturally form on the surfaces of some metals, exposing the unprotected metal to further corrosion.
- Sulfates are generally considered more friendly in their corrosive actions toward carbon steels than chloride ions are. When combined with anaerobic sulfate-reducing bacteria (SRB), the influence of sulfates can represent a significant threat to metallic materials because the sulfates are reduced to extremely corrosive sulfides.
- : Soils have a wide range of acidity, ranging from pH 2.5 to 10. Because pH levels of 5 or lower can cause extreme corrosion rates and premature pitting of metallic objects, a neutral pH of approximately 7 is preferred to reduce the risk of damage.
| ER | pH | Final Assessment | ||
| Ob-Sh | Strong corrosive | Corrosive | Neutral | Strong corrosive |
| Sh | Strong corrosive | Corrosive | Neutral | Strong corrosive |
| Sf | Noncorrosive | Noncorrosive | Moderately corrosive | Noncorrosive |
| Sa | Noncorrosive | Noncorrosive | Noncorrosive | Noncorrosive |
| Ja | Noncorrosive | Noncorrosive | Neutral | Noncorrosive |
4. Conclusions
Author Contributions
Funding
Data Availability Statement
Conflicts of Interest
References
- Ahmad, Z. Principles of Corrosion Engineering and Corrosion Control; Butterworth–Heinemann: Oxford, UK; Elsevier Science: Oxford, UK, 2006. [Google Scholar]
- Roberge, P.R. Handbook of Corrosion Engineering; McGraw–Hill: New York, NY, USA, 2000; pp. 1–725. [Google Scholar]
- Fontana, M. Corrosion Engineering; McGraw–Hill: New York, NY, USA, 1986. [Google Scholar]
- Rehman, S.; Al-Hadhrami, L.M. Web-based national corrosion cost inventory system for Saudi Arabia. Anti-Corros. Methods. Mater. 2014, 61, 72–92. [Google Scholar] [CrossRef]
- Chaker, V.; Palmer, J.D. Effect of Soil Characteristics on Corrosion; ASTM International: West Conshohocken, PA, USA, 1989; Volume 81. [Google Scholar]
- Hopkins, P. Transmission pipelines: How to improve their integrity and prevent failures. In Proceedings of the 2nd International Pipeline Technology Conference, Ostend, Belgium, 11–14 September 1995; Denys, R., Ed.; Elsevier: Amsterdam, The Netherlands, 1995; pp. 683–706. [Google Scholar]
- National Energy Board. Stress Corrosion Cracking on Canadian Oil and Gas Pipelines; Report of the enquiry, MH–2–95; National Energy Board: Calgary, AB, Canada, 1996. [Google Scholar]
- Yahaya, N.; Noor, N.M.; Din, M.M.; Nor, S.H.M. Prediction of CO2 Corrosion Growth in Submarine Pipelines. Malays. J. Civ. Eng. 2009, 21, 69–81. [Google Scholar]
- Handley-Sidhu, S.; Bryan, N.D.; Worsfold, P.J.; Vaughan, D.J.; Livens, F.R.; Keith–Roach, M.J. Corrosion and transport of depleted uranium in sand-rich environments. Chemosphere 2009, 77, 1434–1439. [Google Scholar] [CrossRef] [PubMed]
- Tang, S.; Wang, X.; Liu, S.; Yang, H.; Xie, Y.F.; Yang, X. Mechanism and kinetics of halogenated compound removal by metallic iron: Transport in solution, diffusion and reduction within corrosion films. Chemosphere 2017, 178, 119–128. [Google Scholar] [CrossRef] [PubMed]
- Nie, X.; Li, X.; Du, C.; Huang, Y.; Du, H. Characterization of corrosion products formed on the surface of carbon steel by Raman spectroscopy. J. Raman Spectrosc. 2009, 40, 76–79. [Google Scholar] [CrossRef]
- Xie, F.; Wang, D.; Yu, C.X.; Zong, Y.; Wu, M. Effect of HCO3− Concentration on the Corrosion Behaviour of X80 Pipeline Steel in Simulated Soil Solution. Int. J. Electrochem. Sci. 2017, 12, 9565–9574. [Google Scholar] [CrossRef]
- Soil Survey Division Staff. Soil Survey Manual; U.S Department of Agriculture Handbook; US Department of Agriculture: Washington, DC, USA, 1993. [Google Scholar]
- Andrade, C.; Alonso, C.; Sarŕa, J. Corrosion rate evolution in concrete structures exposed to the atmosphere. Cem. Concr. Compos. 2002, 24, 55–64. [Google Scholar] [CrossRef]
- Zhang, L.; Li, L.X.; Du, C. Effect of environmental factors on electrochemical behavior of X70 pipeline steel in simulated soil solution. J. Iron. Steel. Res. Int. 2009, 16, 52–57. [Google Scholar] [CrossRef]
- Liu, T.M.; Wu, Y.H.; Luo, S.X.; Sun, C. Effect of soil compositions on the electrochemical corrosion behavior of carbon steel in simulated soil solution. Mater. Sci. Eng. Technol. 2010, 41, 228–233. [Google Scholar]
- Wang, Y.; Yu, H.Y.; Cheng, Y.; Shan, H.T.; Zhang, L.X.; Sun, D.B. Corrosion behaviors of X80 pipeline steel in different simulated alkaline soil solution. Adv. Mater. Res. 2011, 189, 4261–4266. [Google Scholar] [CrossRef]
- Wang, Y.; Yu, H.Y.; Cheng, Y.; Shan, H.T.; Sun, D.B. Corrosion behavior of X80 steel in different simulated soil solution. J. Mater. Eng. 2012, 2, 25–28. [Google Scholar]
- Lins, V.D.F.C.; Ferreira, M.L.M.; Saliba, P.A. Corrosion resistance of API X52 carbon steel in soil environment. J. Mater. Res. Technol. 2012, 1, 161–166. [Google Scholar] [CrossRef]
- Bansode, V.M.; Vagge, S.T.; Kolekar, A.B. Electrochemical Corrosion Behavior of Steel Pipe in Alkaline Soil. Metall. Mater. Sci. 2015, 2, 65–68. [Google Scholar]
- Luo, J.; Zhang, L.; Li, L.; Yang, F.; Ma, W.; Wang, K.; Zhao, X. Electrochemical corrosion behaviors of the X90 linepipe steel in NS4 solution. Nat. Gas. Ind. B. 2016, 3, 346–351. [Google Scholar] [CrossRef]
- Vectorstock. Detailed Map Poster of Jeddah City Linear Print Vector Image. Available online: https://www.vectorstock.com/40651973 (accessed on 15 January 2023).
- Oguzie, E.E.; Agochukwu, I.B.; Onuchukwu, A.I. Monitoring the corrosion susceptibility of mild steel in varied soil textures by corrosion product count technique. Mater. Chem. Phys. 2004, 84, 1–6. [Google Scholar] [CrossRef]
- Stott, F.H. Some recent experience with the scanning electron microscope in corrosion research. J. Microsc. 1984, 133, 191–204. [Google Scholar] [CrossRef] [PubMed]
- Bai, Z.; Xiao, K.; Dong, P.; Dong, C.; Wei, D.; Li, X. Effect of iron ion diffusion on the corrosion behavior of carbon steels in soil environment. RSC Adv. 2018, 8, 40544–40553. [Google Scholar] [CrossRef]
- Benarie, M.; Lipfert, F.L. A general corrosion function in terms of atmospheric pollutant concentrations and rain pH. Atmos Environ. 1986, 20, 1947–1958. [Google Scholar] [CrossRef]
- Natesan, M.; Venkatachari, G.; Palaniswamy, N. Kinetics of atmospheric corrosion of mild steel, zinc, galvanized iron and aluminium at 10 exposure stations in India. Corros. Sci. 2006, 48, 3584–3608. [Google Scholar] [CrossRef]
- Xie, F.; Guo, Z.W.; Wang, D.; Li, R.; Wu, M.; Zong, Y.; Wang, Y.C. Synergistic effect between chloride and sulfate reducing bacteria in corrosion inhibition of X100 pipeline steel in marine environment. Int. J. Electrochem. Sci. 2019, 14, 2693–2704. [Google Scholar] [CrossRef]
- Li, S.Y.; Kim, Y.G.; Jeon, K.S.; Kho, Y.T. Microbiologically influenced corrosion of underground pipelines under the disbonded coatings. Met. Mater. Int. 2000, 6, 281–286. [Google Scholar] [CrossRef]
- Anandkumar, B.; George, R.P.; Maruthamuthu, S.; Parvathavarthini, N.; Mudali, U.K. Corrosion characteristics of sulfate-reducing bacteria (SRB) and the role of molecular biology in SRB studies: An overview. Corros. Rev. 2016, 34, 41–63. [Google Scholar] [CrossRef]
- Wasim, M.; Djukic, M.B. Long–term external microbiologically influenced corrosion of buried cast iron pipes in the presence of sulfate-reducing bacteria (SRB). Eng. Fail. Anal. 2020, 115, 104657. [Google Scholar] [CrossRef]
- Tres, G.; Saborío, E.; Urruchurtu, J.; Malo, J. Electrochemical Evaluation of Pipelines Materials of the Miravalles Geothermal Field in Costa Rica. Port. Electrochim. Acta 2007, 25, 409. [Google Scholar] [CrossRef]
- Bueno, A.H.S.; Gomes, J.A.C.P. Environmentally induced cracking of API grade steel in near-neutral pH soil. J. Braz. Soc. Mech. Sci. Eng. 2009, 31, 97–104. [Google Scholar] [CrossRef]
- Wang, Y.; Cheng, G.; Wu, W.; Qiao, Q.; Li, Y.; Li, X. Effect of pH and chloride on the micro-mechanism of pitting corrosion for high strength pipeline steel in aerated NaCl solutions. Appl. Surf. Sci. 2015, 349, 746–756. [Google Scholar] [CrossRef]
- Kinsella, B.; Tan, Y.J.; Bailey, S. Electrochemical impedance spectroscopy and surface characterization techniques to study carbon dioxide corrosion product scales. Corrosion 1998, 54, 835–842. [Google Scholar] [CrossRef]
- Hladky, K.; Callow, L.M.; Dawson, J.L. Corrosion rates from impedance measurements: An introduction. Br. Corros. J. 1980, 15, 20–25. [Google Scholar] [CrossRef]
- Barbalat, M.; Lanarde, L.; Caron, D.; Meyer, M.; Vittonato, J.; Castillon, F.; Fontaine, S.; Refait, P. Electrochemical study of the corrosion rate of carbon steel in soil: Evolution with time and determination of residual corrosion rates under cathodic protection. Corros. Sci. 2012, 55, 246–253. [Google Scholar] [CrossRef]
- Noor, E.; Al-Moubaraki, A.H. Influence of soil moisture content on the corrosion behavior of X60 steel in different soils. Arab. J. Sci. Eng. 2014, 39, 5421–5435. [Google Scholar] [CrossRef]
- Berrami, K.; Ech-chebab, A.; Galai, M.; Ejbouh, A.; Hassi, S.; Benqlilou, H.; Ouaki, B.; Touhami, M.E. Evaluation of fly ash effect on the durability of prestressed concrete cylindrical pipe in aggressive soil by electrochemical method. Chem. Data Collect. 2021, 32, 100656. [Google Scholar] [CrossRef]
- Hirata, R.; Ooi, A.; Tada, E.; Nishikata, A. Influence of the degree of saturation on carbon steel corrosion in soil. Corros. Sci. 2021, 189, 109568. [Google Scholar] [CrossRef]
- Abdel-Gaber, A.M.; Abd-El-Nabey, B.A.; Saadawy, M. The role of acid anion on the inhibition of the acidic corrosion of steel by lupine extract. Corros. Sci. 2009, 51, 1038–1042. [Google Scholar] [CrossRef]
- He, B.; Wang, Y.; Xie, R.; Han, P.; Bai, X. A method for evaluating corrosion of contaminated soil—Electrochemical impedance spectroscopy (EIS) method. In Proceedings of the 8th International Congress on Environmental Geotechnics Volume 1: Towards a Sustainable Geoenvironment 8th, Hangzhou, China, 28 October–1 November 2018; Springer: Singapore, 2019; pp. 716–723. [Google Scholar]
- Mjwana, P.; Mahlobo, M.; Babatunde, O.; Refait, P.; Olubambi, P. Investigation of Corrosion Behaviour of Carbon Steel in Simulated Soil Solution from Anodic Component of Polarisation Curve. Mater. Sci. Eng. 2018, 430, 12039. [Google Scholar] [CrossRef]
- Baboian, R. Corrosion Tests and Standards: Application and Interpretation; ASTM International: West Conshohocken, PA, USA, 2005; Volume 20. [Google Scholar]
- He, B.; Han, P.J.; Lu, C.H.; Bai, X.H. Effect of soil particle size on the electrochemical corrosion behavior of pipeline steel in saline solution. Physicochem. Mech. Mater. 2015, 51, 124–135. [Google Scholar] [CrossRef]
- Lan, Y.; Chang, H.; Qi, G.; Han, P.; He, B. The electrochemical corrosion behaviour of Q235 steel in soil containing sodium chloride. Int. J. Electrochem. Sci. 2021, 16, 210925. [Google Scholar] [CrossRef]
- Oldham, K.B.; Mansfield, F. On the So-Called Linear Polarization Method for Measurement of Corrosion Rates. Corrosion 1971, 27, 434–435. [Google Scholar] [CrossRef]
- Arzola, S.; Palomar-Pardavé, M.E.; Genesca, J. Effect of resistivity on the corrosion mechanism of mild steel in sodium sulfate solutions. J. Appl. Electrochem. 2003, 33, 1233–1237. [Google Scholar] [CrossRef]
- Chen, J.; Chen, Z.; Ai, Y.; Xiao, J.; Pan, D.; Li, W.; Huang, Z.; Wang, Y. Impact of soil composition and electrochemistry on corrosion of rock-cut slope nets along railway lines in China. Sci. Rep. 2015, 5, 14939. [Google Scholar] [CrossRef] [PubMed]














| C | Si | Mn | P | S | Fe |
|---|---|---|---|---|---|
| 0.12 | 0.21 | 0.64 | 0.018 | 0.034 | Remainder |
| Soil | Physical Properties | Cations | Anions | ||||||||
|---|---|---|---|---|---|---|---|---|---|---|---|
| EC (µS cm−1) | ER (Ohm cm) | pH | Ca2+ | Mg2+ | Na+ | K+ | |||||
| Ob-Sh | 14,010.0 | 71.4 | 7.10 | 665.0 | 190.0 | 2196.0 | 100.0 | 3829.0 | 1900.0 | 41.0 | 25.0 |
| Sh | 6670.0 | 149.9 | 7.30 | 649.0 | 63.0 | 710.0 | 15.0 | 879.0 | 1950.0 | 34.0 | 21.0 |
| Sf | 253.0 | 3952.6 | 5.70 | 9.0 | 2.0 | 29.0 | 5.0 | 25.0 | 48.0 | 7.0 | 9.0 |
| Sa | 290.0 | 3448.3 | 7.90 | 9.0 | 2.0 | 40.0 | 2.4 | 28.0 | 45.0 | 37.0 | 7.0 |
| Ja | 770.0 | 1298.7 | 7.0 | 37.0 | 7.0 | 105.0 | 6.0 | 163.0 | 10.0 | 34.0 | 10 |
| Soil | n | r2 | |
|---|---|---|---|
| Ob-Sh | 0.77 | 18.62 | 0.99 |
| Sh | 0.81 | 20.42 | 0.98 |
| Sf | 0.64 | 10.96 | 0.97 |
| Sa | 0.62 | 13.18 | 0.87 |
| Ja | 0.79 | 19.05 | 0.99 |
| Soil Solution | Rs | CPE1 × 105 (S snn cm−2) | n1 | Rf | CPE2 × 105 (S snn cm−2) | n2 | Rct | Rp = Rf + Rct | 1/Rp × 105 |
|---|---|---|---|---|---|---|---|---|---|
| Ob-Sh | 17.40 | 140.10 7.78 | 0.67 0.04 | 281.30 | 0.14 | 0.33 0.21 | 372.50 17.87 | 653.80 | 153.00 |
| Sh | 41.57 | 169.40 | 0.74 | 521.64 | 1.30 | 0.91 0.12 | 202.71 41.93 | 724.00 | 138.12 |
| Sf | 670.00 18.17 | 310.40 | 0.43 | 65.50 | 0.16 0.11 | 0.76 | 924.30 18.52 | 989.80 | 101.03 |
| Sa | 749.20 22.84 | 96.74 28.90 | 0.53 0.04 | 912.70 | 0.04 1.13 | 0.95 0.16 | 51.86 11.77 | 964.56 | 103.67 |
| Ja | 262.78 | 119.00 2.90 | 0.55 | 464.00 42.82 | 76.10 0.07 | 0.47 0.12 | 367.00 | 831.00 | 120.34 |
| Soil | −Ecorr (mV) | βa (mV dec−1) | (mV dec−1) | (mA cm−2) |
|---|---|---|---|---|
| Ob-Sh | 634.03 1.54 | 57.05 | 142.78 3.01 | 0.276 |
| Sh | 608.43 | 66.46 1.01 | 166.48 10.16 | 0.139 0.012 |
| Sf | 415.72 | 96.03 | 120.02 10.33 | 0.013 |
| Sa | 589.12 | 153.23 3.91 | 125.45 6.97 | 0.021 |
| Ja | 582.62 10.99 | 156.52 | 124.60 10.60 | 0.040 |
| ER | Degree of Corrosivity | Concentration of | Degree of Corrosivity | pH | Degree of Corrosivity |
|---|---|---|---|---|---|
| Noncorrosive | 0–150 | Noncorrosive | 7.5 | Noncorrosive | |
| 1000–10,000 | Moderately corrosive | 150–1500 | Moderately corrosive | 6.5–7.5 | Neutral |
| 500–1000 | Corrosive | 1500–10,000 | Corrosive | 5.5–6.5 | Moderately corrosive |
| Strong corrosive | 10,000 | Strong corrosive | 5.5 | Strong corrosive |
Disclaimer/Publisher’s Note: The statements, opinions and data contained in all publications are solely those of the individual author(s) and contributor(s) and not of MDPI and/or the editor(s). MDPI and/or the editor(s) disclaim responsibility for any injury to people or property resulting from any ideas, methods, instructions or products referred to in the content. |
© 2023 by the authors. Licensee MDPI, Basel, Switzerland. This article is an open access article distributed under the terms and conditions of the Creative Commons Attribution (CC BY) license (https://creativecommons.org/licenses/by/4.0/).
Share and Cite
Noor, E.A.; Al-Moubaraki, A.H.; Al-Masoudi, D.I.; Chafiq, M.; Chaouiki, A.; Ko, Y.G. Corrosion Behavior of Carbon Steel X36 in Solutions of Soils Collected from Different Areas Linked to the Main Pipe Network of a Water Distribution System in Jeddah City. Metals 2023, 13, 670. https://doi.org/10.3390/met13040670
Noor EA, Al-Moubaraki AH, Al-Masoudi DI, Chafiq M, Chaouiki A, Ko YG. Corrosion Behavior of Carbon Steel X36 in Solutions of Soils Collected from Different Areas Linked to the Main Pipe Network of a Water Distribution System in Jeddah City. Metals. 2023; 13(4):670. https://doi.org/10.3390/met13040670
Chicago/Turabian StyleNoor, Ehteram A., Aisha H. Al-Moubaraki, Dalal I. Al-Masoudi, Maryam Chafiq, Abdelkarim Chaouiki, and Young Gun Ko. 2023. "Corrosion Behavior of Carbon Steel X36 in Solutions of Soils Collected from Different Areas Linked to the Main Pipe Network of a Water Distribution System in Jeddah City" Metals 13, no. 4: 670. https://doi.org/10.3390/met13040670
APA StyleNoor, E. A., Al-Moubaraki, A. H., Al-Masoudi, D. I., Chafiq, M., Chaouiki, A., & Ko, Y. G. (2023). Corrosion Behavior of Carbon Steel X36 in Solutions of Soils Collected from Different Areas Linked to the Main Pipe Network of a Water Distribution System in Jeddah City. Metals, 13(4), 670. https://doi.org/10.3390/met13040670

