Numerical Simulation Analysis of Temperature Distribution of NbC-Reinforced Ti-Based Composite Coating by Laser Cladding
Abstract
1. Introduction
2. Finite Element Analysis
2.1. Mathematical Representation
2.2. Assumptions and Adjustments
3. Geometric Model
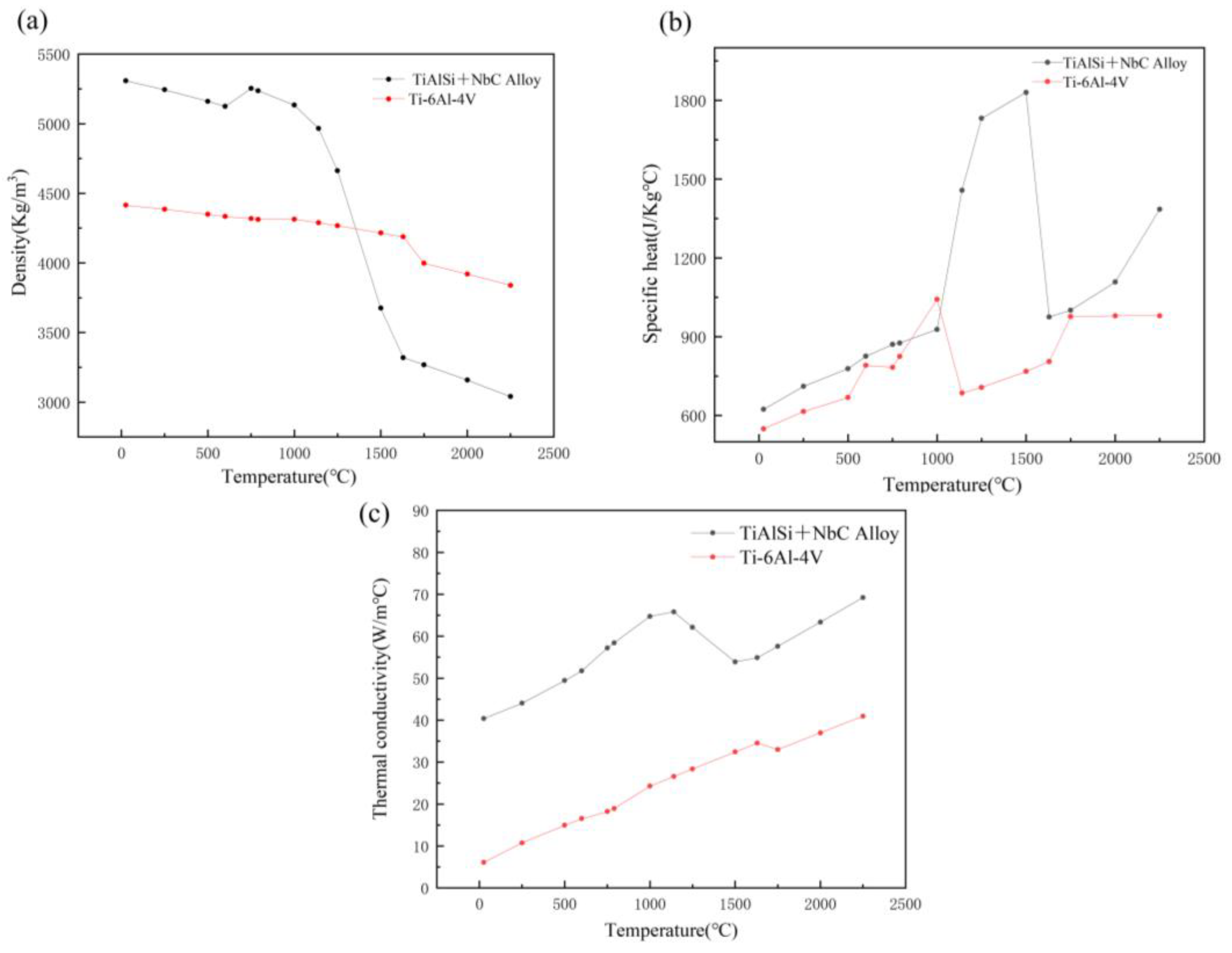
3.1. Material Properties
3.2. Modeling and Meshing
4. Results and Discussion
4.1. The Effect of Laser Power on the Geometry of the Cladding Layer
4.2. Influence of Scanning Speeds on the Geometry of the Cladding Layer
5. Conclusions
- (1)
- Using the established model, the temperature distribution of the melt was determined. In this experiment, the pre-placed of the powder on the surface of the substrate caused a part of the laser beam to be deflected. The loss of laser energy in the z-axis direction was modeled as an exponential decay to correct the Gaussian heat source.
- (2)
- The formation process of the main phases of NbC-reinforced Ti-Al-Si composite coating was studied. The main phases in the coating were TiC, Ti3Al, Ti5Si3, Ti3AlC2, and (Ti, Nb)C. The established temperature selection judgment mechanism could well distinguish TiAlSi+ NbC powder elements from TiAlSi+ NbC alloy elements.
- (3)
- The effect of different process parameters on the molten pool morphology was studied. The results showed that when the laser power was 1000 W and the scanning speed was 0.01 m/s, the laser heat source was too low to melt the surface of the Ti6Al4V substrate. Combined with the temperature selection judgment mechanism, the simulation results of the track width and track depth under different process parameters were calculated.
- (4)
- Fitting was performed on the track width and track depth under different laser powers and scanning speeds, respectively. According to the fitted curve, the track width and depth were proportional to the laser power. The track width and track depth were inversely proportional to the scanning speed.
Author Contributions
Funding
Data Availability Statement
Acknowledgments
Conflicts of Interest
References
- Thawari, N.; Gullipalli, C.; Vanmore, H.; Gupta, T.V.K. In-situ monitoring and modeling of distortion in multi-layer laser cladding of Stellite 6: Parametric and numerical approach. Mater. Today Commun. 2022, 33, 104751. [Google Scholar] [CrossRef]
- Liverani, E.; Toschi, S.; Ceschini, L.; Fortunato, A. Effect of selective laser melting (SLM) process parameters on microstructure and mechanical properties of 316L austenitic stainless steel. J. Mater. Process. Technol. 2017, 249, 255–263. [Google Scholar] [CrossRef]
- Ma, Q.S.; Li, Y.J.; Wang, J. Effects of Ti addition on microstructure homogenization and wear resistance of wide-band laser clad Ni60/WC composite coatings. Int. J. Refract. Hard. Met. 2017, 64, 225–233. [Google Scholar]
- Huang, S.W.; Nolan, D.; Brandt, M. Pre-placed WC/Ni clad layers produced with a pulsed Nd: YAG laser via optical fibers. Surf. Coat. Technol. 2003, 165, 26–34. [Google Scholar] [CrossRef]
- Zhang, L.Z.; Zhao, Z.Y.; Bai, P.K.; Du, W.B.; Li, Y.X.; Yang, X.; Wang, Q. In-situ synthesis of TiC/graphene/Ti6Al4V composite coating by laser cladding. Mater. Lett. 2020, 270, 127711. [Google Scholar] [CrossRef]
- Sun, G.F.; Zhang, Y.K.; Liu, C.S.; Luo, K.Y.; Tao, X.Q.; Li, P. Microstructure and wear resistance enhancement of cast steel rolls by laser surface alloying NiCr-Cr3C2. Mater. Des. 2010, 31, 2737–2744. [Google Scholar] [CrossRef]
- Li, J.N.; Chen, C.Z.; Wang, D.G. Surface modification of titanium alloy with laser cladding RE oxides reinforced Ti3Al–matrix composites. Compos. B Eng. 2012, 43, 1207–1212. [Google Scholar] [CrossRef]
- Wang, C.; Deng, C.; Wu, Y.R.; Chai, L.J.; Xiang, K.; Huang, Y. Temperature and Stress Field Analysis for Pulsed Laser-Cladding of Pure Titanium on Ti-6Al-4V. JOM 2022, 74, 755–763. [Google Scholar] [CrossRef]
- Banerjee, D.; Williams, J.C. Perspectives on titanium science and technology. Acta Mater. 2013, 61, 844–879. [Google Scholar] [CrossRef]
- Raaif, M. Investigating the structure and tribo-mechanical performance of PVD TiN on bearing TiN substrate constructed by rf plasma. Mater. Chem. Phys. 2019, 224, 117–123. [Google Scholar] [CrossRef]
- Wu, D.J.; Song, C.C.; Di, T.D.; Niu, F.Y.; Ma, G.Y. Intermetallic regulation mechanism of inconel718/Ti6Al4V composite by novel follow-up ultrasonic assisted laser additive manufacturing. Compos. B Eng. 2022, 235, 109736. [Google Scholar] [CrossRef]
- Liu, Y.; Wang, Y.; Yang, X.J.; Peng, P.; Xie, J.C.; Park, H.K.B.; Joo, Y.H.; Jeong, I.W.; Sung, T.H.; Xu, L.I. Research on microstructure and properties of Ti-based coating prepared by laser cladding on titanium alloy: Simulation and experiment. J. Mater. Res. Technol. 2022, 20, 3667–3682. [Google Scholar] [CrossRef]
- McAndrew, A.R.; Colegrove, P.A.; Bühr, C.; Flipo, B.C.; Vairis, A. A literature review of Ti-6Al-4V linear friction welding. Prog. Mater. Sci. 2018, 92, 225–257. [Google Scholar] [CrossRef]
- Liu, L.; Liu, H.; Zhang, X.; Wang, Y.; Hao, X. Corrosion Behavior of TiMoNbX (X = Ta, Cr, Zr) Refractory High Entropy Alloy Coating Prepared by Laser Cladding Based on TC4 Titanium Alloy. Materials 2023, 16, 3860. [Google Scholar] [CrossRef] [PubMed]
- Liu, R.; Dang, X.; Gao, Y.; Wu, T.; Zhu, Y. The Wear Behavior of the Laser Cladded Ti-Al-Si Composite Coatings on Ti-6Al-4V Alloy with Additional TiC. Materials 2021, 14, 4567. [Google Scholar] [CrossRef]
- Hung, F.Y.; Yan, Z.Y.; Chen, L.H.; Lui, T.S. Microstructural characteristics of PTA-overlayed NbC on pure Ti. Surf. Coat. Technol. 2006, 200, 6881–6887. [Google Scholar] [CrossRef]
- Li, Q.T.; Lei, Y.P.; Fu, H.G. Laser cladding in-situ NbC particle reinforced Fe-based composite coatings with rare earth oxide addition. Surf. Coat. Technol. 2014, 239, 102–107. [Google Scholar] [CrossRef]
- Cao, Y.B.; Zhi, S.X.; Qi, H.B.; Zhang, Y.; Qin, C.; Yang, S.P. Evolution behavior of ex-situ NbC and properties of Fe-based laser clad coating. Opt. Laser Technol. 2020, 124, 105999. [Google Scholar] [CrossRef]
- Li, J.; Chen, C.; Squartini, T.; He, Q. A study on wear resistance and microcrack of the Ti3Al/TiAl+TiC ceramic layer deposited by laser cladding on Ti-6Al-4V alloy. Appl. Surf. Sci. 2010, 257, 1550–1555. [Google Scholar] [CrossRef]
- Li, Y.; Su, K.; Bai, P.; Wu, L. Microstructure and property characterization of Ti/TiBCN reinforced Ti-based composite coatings fabricated by laser cladding with different scanning speed. Mater. Charact. 2020, 159, 110023. [Google Scholar] [CrossRef]
- Dai, J.; Zhang, F.; Wang, A.; Yu, H.; Chen, C. Microstructure and properties of Ti-Al coating and Ti-Al-Si system coatings on Ti-6Al-4V fabricated by laser surface alloying. Surf. Coat. Technol. 2017, 309, 805–813. [Google Scholar] [CrossRef]
- He, X.; Song, R.G.; Kong, D.J. Effects of TiC on the microstructure and properties of TiC/TiAl composite coating prepared by laser cladding. Opt. Laser Technol. 2019, 112, 339–348. [Google Scholar] [CrossRef]
- Wang, J.Q.; Li, C.G.; Zeng, M. Microstructural evolution and wear behaviors of NbC-reinforced Ti-based composite coating. Int. J. Adv. Manuf. Technol. 2020, 107, 2397–2407. [Google Scholar] [CrossRef]
- Ning, J.S.; Lan, Q.; Zhu, L.D.; Xu, L.; Yang, Z.C.; Xu, P.H.; Xue, P.S.; Xin, B. Microstructure and mechanical properties of SiC-reinforced Inconel 718 composites fabricated by laser cladding. Surf. Coat. Technol. 2023, 463, 129514. [Google Scholar] [CrossRef]
- Liu, C.M.; Li, C.G.; Zhang, Z.; Sun, S.; Zeng, M.; Wang, F.F.; Guo, Y.J.; Wang, J.Q. Modeling of thermal behavior and microstructure evolution during laser cladding of AlSi10Mg alloys. Opt. Laser Technol. 2020, 123, 105926. [Google Scholar] [CrossRef]
- Chu, M.; Lian, G.; Yao, M. Numerical simulation and experimental investigation of gas-powder flow feed behavior in laser cladding with coaxial nozzle. Int. J. Adv. Manuf. Technol. 2022, 122, 881–894. [Google Scholar] [CrossRef]
- Weng, F.; Chen, C.Z.; Yu, H.J. Research status of laser cladding on titanium and its alloys: A review. Mater. Des. 2014, 58, 412–425. [Google Scholar] [CrossRef]
- Zuo-Jiang, S.Z.; Yu, H.Y.; Jiang, X.Z.; Gao, W.; Sun, D.B. A thermal field FEM of titanium alloy coating on low-carbon steel by laser cladding with experimental validation. Surf. Coat. Technol. 2023, 452, 129113. [Google Scholar] [CrossRef]
- Nian, L.; Wang, M.; Ge, X.; Wang, X.; Xu, Y. Thermo-Mechanical Coupling Numerical Simulation for Extreme High-Speed Laser Cladding of Chrome-Iron Alloy. Coatings 2023, 13, 879. [Google Scholar] [CrossRef]
- Tamanna, N.; Crouch, R.; Naher, S. Progress in numerical simulation of the laser cladding process. Opt. Lasers Eng. 2019, 122, 151–163. [Google Scholar] [CrossRef]
- Gan, Z.T.; Yu, G.; He, X.L.; Li, S.X. Numerical simulation of thermal behavior and multicomponent mass transfer in direct laser deposition of Co-base alloy on steel. Int. J. Heat Mass Transf. 2017, 104, 28–38. [Google Scholar] [CrossRef]
- He, F.; Zhou, H.; Li, K. Numerical Analysis and Experimental Verification of Melt Pool Evolution During Laser Cladding of 40CrNi2Si2MoVA Steel. J. Therm. Spray Technol. 2023, 32, 1416–1432. [Google Scholar] [CrossRef]
- Luo, F.; Yao, J.H.; Hu, X.X.; Chai, G.Z. Effect of laser power on the cladding temperature field and the heat affected zone. J. Iron Steel Res. Int. 2011, 18, 73–78. [Google Scholar] [CrossRef]
- Yang, S.; Bai, H.; Li, C.; Shu, L.; Zhang, X.; Jia, Z. Numerical Simulation and Multi-Objective Parameter Optimization of Inconel718 Coating Laser Cladding. Coatings 2022, 12, 708. [Google Scholar] [CrossRef]
- Hofman, J.T.; Lange, D.F.D.; Pathiraj, B.; Meijer, J. FEM modeling and experimental verification for dilution control in laser cladding. J. Mater. Process. Technol. 2011, 211, 187–196. [Google Scholar] [CrossRef]
- Lei, Y.W.; Sun, R.L.; Tang, Y.; Niu, W. Numerical simulation of temperature distribution and TiC growth kinetics for high power laser clad TiC/NiCrBSiC composite coatings. Opt. Laser Technol. 2012, 44, 1141–1147. [Google Scholar] [CrossRef]
- Du, L.; Gu, D.D.; Dai, D.H.; Shi, Q.M.; Ma, C.L.; Xia, M.J. Relation of thermal behavior and microstructure evolution during multi-track laser melting deposition of Ni-based material. Opt. Laser Technol. 2018, 108, 207–217. [Google Scholar] [CrossRef]
- Gusarov, A.V.; Laoui, T.; Froyen, L.; Titov, V.I. Contact thermal conductivity of a powder bed in selective laser sintering. Int. J. Heat Mass Transf. 2003, 46, 1103–1109. [Google Scholar] [CrossRef]
- Li, Q.; Lei, Y.; Fu, H. Growth mechanism, distribution characteristics and reinforcing behavior of (Ti, Nb)C particle in laser cladded Fe-based composite coating. Appl. Surf. Sci. 2014, 316, 610–616. [Google Scholar] [CrossRef]
- Zhao, C.; Zhou, Y.; Xing, X.; Liu, S.; Ren, X.; Yang, Q. Precipitation stability and micro-property of (Nb, Ti)C carbides in MMC coating. J. Alloys Compd. 2018, 763, 670–678. [Google Scholar] [CrossRef]
- Fathi, A.; Toyserkani, E.; Amir, K.; Mohammad, D. Prediction of melt pool depth and dilution in laser powder deposition. J. Phys. D Appl. Phys. 2006, 39, 2613–2623. [Google Scholar] [CrossRef]











| Ti | Al | Si |
|---|---|---|
| 55 | 35 | 10 |
| Al | V | Fe | Si | C | N | H | O | Ti |
|---|---|---|---|---|---|---|---|---|
| 5.5–6.8 | 3.5–4.5 | ≤0.30 | ≤0.15 | ≤0.10 | ≤0.05 | ≤0.015 | ≤0.20 | Bal. |
| Simu. Results (mm) | Exp. Results (mm) | Error | |
|---|---|---|---|
| Track width | 3.40 | 3.589 | 5.3% |
| Track longitudinal size | 1.43 | 1.249 | 14.5% |
Disclaimer/Publisher’s Note: The statements, opinions and data contained in all publications are solely those of the individual author(s) and contributor(s) and not of MDPI and/or the editor(s). MDPI and/or the editor(s) disclaim responsibility for any injury to people or property resulting from any ideas, methods, instructions or products referred to in the content. |
© 2023 by the authors. Licensee MDPI, Basel, Switzerland. This article is an open access article distributed under the terms and conditions of the Creative Commons Attribution (CC BY) license (https://creativecommons.org/licenses/by/4.0/).
Share and Cite
Hu, Z.; Li, C.; Tian, D.; Li, X.; Wang, J.; Xu, Z.; Sun, X. Numerical Simulation Analysis of Temperature Distribution of NbC-Reinforced Ti-Based Composite Coating by Laser Cladding. Metals 2023, 13, 1348. https://doi.org/10.3390/met13081348
Hu Z, Li C, Tian D, Li X, Wang J, Xu Z, Sun X. Numerical Simulation Analysis of Temperature Distribution of NbC-Reinforced Ti-Based Composite Coating by Laser Cladding. Metals. 2023; 13(8):1348. https://doi.org/10.3390/met13081348
Chicago/Turabian StyleHu, Zhiguo, Chonggui Li, Dachuan Tian, Xintong Li, Jinqian Wang, Zhenhai Xu, and Xiaoguang Sun. 2023. "Numerical Simulation Analysis of Temperature Distribution of NbC-Reinforced Ti-Based Composite Coating by Laser Cladding" Metals 13, no. 8: 1348. https://doi.org/10.3390/met13081348
APA StyleHu, Z., Li, C., Tian, D., Li, X., Wang, J., Xu, Z., & Sun, X. (2023). Numerical Simulation Analysis of Temperature Distribution of NbC-Reinforced Ti-Based Composite Coating by Laser Cladding. Metals, 13(8), 1348. https://doi.org/10.3390/met13081348
