Titanium Impurity Control in V-Bearing Pig Iron Prepared via the Sodium Smelting of Vanadium–Titanium Magnetite
Abstract
:1. Introduction
2. Calculation Settings and Experimental Procedures
2.1. Raw Materials
2.2. Calculation Settings
- Database: FSstel; FToxid; FactPS;
- Temperature: 1150–1500 °C;
- Solution phase setting: FToxid-SLAGA; FT-oxid;
- Compound setting: pure solids;
- Equilibrium: normal;
- Weight of VTM: 100 g.
2.3. Experimental Procedure
3. Thermodynamic Calculation
3.1. Advantageous Products in the Reduction Process
3.2. Ti Content in the Reduction Product (Melt)
4. Results and Discussion
4.1. Effect of Temperature
4.2. Effect of Heating Time
4.3. Effect of Sodium Carbonate Addition
4.4. Effect of Anthracite Addition
4.5. Existing Forms of Titanium Impurities
5. Conclusions
Author Contributions
Funding
Data Availability Statement
Conflicts of Interest
References
- Luo, J.H.; Qiu, K.H.; Qiu, Y.C.; Zhang, P.C. Studies of mineralogical characteristics on vanadium titanium magnetite in Hongge area. Adv. Mater. Res. 2013, 813, 292–297. [Google Scholar] [CrossRef]
- Yang, Q.; Sun, Y.S.; Yu, J.W.; Li, Y.J. Research status and development prospect of utilization of vanadium-titanium magnetite. J. Iron Steel Res. 2021, 33, 267–278. [Google Scholar]
- Fu, W.G.; Wen, Y.C.; Xie, H.E. Development of intensified technologies of vanadium-bearing titanomagnetite smelting. J. Iron Steel Res. Int. 2011, 18, 7–10. [Google Scholar] [CrossRef]
- Zhou, L.H.; Wang, J.; Gou, S.Y.; Chen, L.Y.; Li, Z.R. Development of utilization of vanadic titanomagnetite. Appl. Mech. Mater. 2012, 184–185, 949–953. [Google Scholar] [CrossRef]
- Ma, J.Y.; Sun, X.W.; Sheng, S.X. Intensified smelting of vanadium and titanium magnetite in blast furnace. Ironmak. Steelmak. 2000, 35, 4–8. [Google Scholar]
- Li, Y.Y.; Yan, B.J. A novel approach for pre-concentrating titanium from Ti-bearing blast furnace slag. Sep. Sci. Technol. 2023, 58, 1679–1688. [Google Scholar] [CrossRef]
- Safdar, F.; Zhang, Y.; Zheng, S.L.; Chen, X.; Sun, P.; Zhang, Y.; Li, P. Recovery of TiO2-enriched material from vanadium titano-magnetite concentrates by partial carbon reduction and mild acid leaching. Hydrometallurgy 2020, 193, 105324. [Google Scholar] [CrossRef]
- Wang, M.Y.; Zhou, S.F.; Wang, X.W.; Chen, B.F.; Yang, H.X.; Wang, S.K.; Luo, P.F. Recovery of iron from chromium vanadium-bearing titanomagnetite concentrate by direct reduction. JOM 2016, 68, 2698–2703. [Google Scholar] [CrossRef]
- Roshchin, V.E.; Asanov, A.V.; Roshchin, A.V. Possibilities of two-stage processing of titaniferous magnetite ore concentrates. Russ. Metall. 2011, 2011, 499–508. [Google Scholar] [CrossRef]
- Shi, Q.; Tang, J.; Chu, M.S. Optimal process parameters for direct carbothermal reduction of vanadium-titanium magnetite in a rotary kiln. Steel Res. Int. 2023; ahead of print. [Google Scholar] [CrossRef]
- Hu, P.C.; Zhang, Y.M.; Liu, H.; Liu, T.; Li, S.; Zhang, R.B.; Guo, Z.J. High efficient vanadium extraction from vanadium slag using an enhanced acid leaching-coprecipitation process. Sep. Purif. Technol. 2023, 304, 122319. [Google Scholar] [CrossRef]
- Chen, L.M.; Zhen, Y.L.; Zhang, G.H.; Chen, D.S.; Wang, L.N.; Zhao, H.X.; Liu, Y.H.; Meng, F.C.; Wang, M.; Qi, T. Mechanism of sodium carbonate-assisted carbothermic reduction of titanomagnetite concentrate. Metall. Mater. Trans. B 2022, 53, 2272–2292. [Google Scholar] [CrossRef]
- Chen, L.M.; Zhen, Y.L.; Zhang, G.H.; Wang, L.N.; Chen, D.S.; Zhao, H.X.; Liu, Y.H.; Meng, F.C.; Peng, Y.H.; Qi, T. Role of Na2O and TiO2 on viscosity and structure of Sodium titanium-bearing slag. J. Non-Cryst. Solids 2023, 602, 122080. [Google Scholar] [CrossRef]
- Yin, X.J.; Chen, D.S.; Wang, L.N.; Zhao, H.X.; Zhen, Y.L.; Qi, T.; Wang, M. Thermodynamic model for calculating sulfur distribution ratio between Na2O-TiO2-SiO2-CaO-Al2O3-V2O5-MnO-MgO-FeO slags and hot metal. Chin. J. Process Eng. 2023, 23, 124–135. [Google Scholar] [CrossRef]
- Murakami, Y. Bearing Steels. In Metal Fatigue, 2nd ed.; Academic Press: Tokyo, Japan, 2019; pp. 151–186. [Google Scholar] [CrossRef]
- Zong, N.F.; Huang, J.; Liu, J.; Lu, Z.F.; Jing, T. Present situation and prospect of key metallurgical technologies for improving quality of bearing steel. Bearing 2020, 12, 60–66. [Google Scholar]
- Li, C.Z.; Wang, P.; Xue, Z.L. Solution behavior of TiN inclusions in SWRH92A high-carbon tire cord steel. Steel Res. Int. 2023; ahead of print. [Google Scholar] [CrossRef]
- Li, N.; Wang, L.; Xue, Z.L.; Li, C.Z.; Huang, A.; Wang, F.F. Study of precipitation and growth processes of Ti-bearing inclusions in tire cord steel. Results Phys. 2020, 16, 102929. [Google Scholar] [CrossRef]
- Wang, J.; Peng, J.; Liu, L.X.; Zhang, F.; Peng, J.H.; Tang, H.; Zheng, J.; An, S.L. Study on the influences of adding rare earth Ce on the precipitation behaviors of TiN inclusions in 20CrMnTi. Materials 2023, 16, 5598. [Google Scholar] [CrossRef]
- Zhan, D.P.; Jiang, Z.H.; Gong, W.; Hao, J.C. Formation and control of titanium nitride in bearing steel. Chin. J. Process Eng. 2009, 9, 238–241. [Google Scholar]
- Wang, L.; Liu, L.; Yao, T.L.; Zhao, P.J. Research on controlling titanium content in bearing steel during secondary refining. Iron Steel Vanadium Titan 2018, 39, 141–145. [Google Scholar]
- Sui, Y.F.; Sun, G.D.; Zhao, Y.; Wang, C.G.; Guo, M.; Zhang, M. Evolution of titaniferous inclusions in IF steelmaking. J. Univ. Sci. Technol. B 2014, 36, 1174–1182. [Google Scholar]
- Liu, X.H.; Chen, D.F.; Li, Y.K.; Long, M.J.; Fan, H.L.; Zhao, Y.; Chen, C.M. Investigation on efficient vanadium extraction from vanadium-bearing molten iron. Adv. Mater. Res. 2013, 785–786, 58–62. [Google Scholar] [CrossRef]
- Xie, H.E.; Hu, P.; Zheng, K.; Zhu, F.X. Study on phase and chemical composition of V-Ti sinter during softening, melting and dripping process. Iron Steel Vanadium Titan 2022, 43, 107–117. [Google Scholar] [CrossRef]
- Li, S.J.; Zhang, Y.; Zhang, J.G.; Zhang, F.; Wei, G.Y.; Ma, H.R. Research on titanium-containing molten iron converter smelting and its pre-detitanium behavior. Steelmaking 2021, 37, 23–26. [Google Scholar]
- Liu, Z.Z.; Wu, W.; Ni, B.; Yao, T.L.; Yang, Y.; He, Q. Theory analysis and experiment studies on the removal of titanium in hot metal pretreatment. J. Iron Steel Res. Int. 2013, 25, 13–17. [Google Scholar]
- Wei, M.Y.; Yang, J.M. Vanadium extraction from vanadium-titanium molten iron by sodium salt spraying—Research on a new process for steel making. Hebei Metall. 1985, 4, 24–30. [Google Scholar]
- Taposhe, G.I.A.; Khajavi, L.T. Removal of phosphorus from Si-Fe alloy by CaO-Al2O3-SiO2-Na2O slag refining. JOM 2021, 73, 729–735. [Google Scholar] [CrossRef]
- Lu, R.; Li, G.Q.; Liu, C.; Cao, Y.M.; Chen, Y.F.; Wang, Q. Effects of slag composition and additive type on desulfurization of rejected electrolytic manganese metal scrap by Na2O-containing electroslag. J. Iron Steel Res. Int. 2021, 28, 1515–1529. [Google Scholar] [CrossRef]
- Yu, W.; Sun, T.C.; Kou, J.; Wei, Y.X.; Xu, C.Y.; Liu, Z.Z. The function of Ca(OH)2 and Na2CO3 as additive on the reduction of high-phosphorus oolitic hematite-coal mixed pellets. ISIJ Int. 2013, 53, 427–433. [Google Scholar] [CrossRef]


















| Components | TFe | TiO2 | SiO2 | CaO | Al2O3 | V2O5 | MgO | MnO | S | P |
|---|---|---|---|---|---|---|---|---|---|---|
| Content | 47.97 | 19.32 | 6.59 | 2.98 | 2.29 | 1.46 | 0.70 | 0.41 | 0.028 | 0.011 |
| Elements | C | H | O | N | S | P |
|---|---|---|---|---|---|---|
| Content | 81.53 | 2.60 | 2.78 | 0.94 | 0.35 | 0.028 |
| Eq. | Chemical Reactions | /J·mol−1 | Spontaneous Reaction Temperature/°C |
|---|---|---|---|
| (1) | FeTiO3 + CaO + C = Fe + CaO·TiO2 + CO(g) | 50,770–163.40T | 310.71 |
| (2) | FeTiO3 + Na2O + C = Fe + Na2O·TiO2 + CO(g) | −104,952–137.33T | −764.23 |
| (3) | FeTiO3 + Na2CO3 + 2C = Fe + Na2O·TiO2 + 3CO(g) | 282,132–426.77T | 661.09 |
| (4) | FeTiO3 + 3/2Na2CO3 + 5/2C + SiO2 + 1/2Al2O3 = Fe + Na2O·TiO2 + NaAlSiO4 + 4CO(g) | 303,442–575.43T | 527.33 |
| (5) | FeTiO3 + 4C = Fe + TiC + 3CO(g) | 569,851–490.88T | 1160.88 |
| (6) | FeTiO3 + 1/2Na2CO3 + SiO2 + 1/2Al2O3 + 9/2C = Fe + TiC + NaAlSiO4 + 4CO(g) | 591,707–639.98T | 924.57 |
| (7) | FeTiO3 + 1/2Na2CO3 + SiO2 + 1/2Al2O3 + 7/2C + 1/2N2(g) = Fe + TiN + NaAlSiO4 + 4CO(g) | 465,606–568.64T | 818.81 |
| Eq. | Chemical Reactions | /J·mol−1 | Spontaneous Reaction Temperature/°C |
|---|---|---|---|
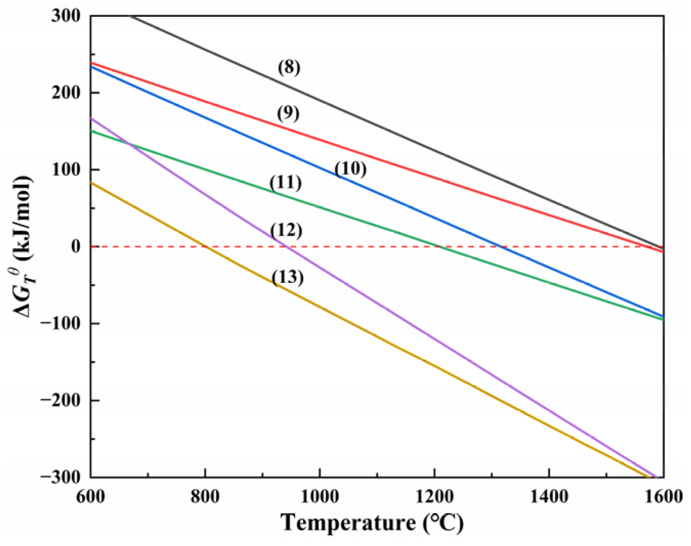
| (8) | CaO·TiO2 + 3C = TiC + CaO + 2CO(g) | 519,588–328.04T | 1583.92 |
| (9) | CaO·TiO2 + 2C + 1/2N2(g) = TiN + CaO + 2CO(g) | 387,936–248.02T | 1564.13 |
| (10) | CaO·TiO2 + 3C + SiO2 = TiC + CaO·SiO2 + 2CO(g) | 430,020–326.67T | 1316.37 |
| (11) | CaO·TiO2 + 2C + 1/2N2(g) + SiO2 = TiN + CaO·SiO2 + 2CO(g) | 298,412–246.68T | 1209.71 |
| (12) | CaO·TiO2 + 1/2Na2CO3 + 7/2C + 2SiO2 + 1/2Al2O3 = CaO·SiO2 + TiC + 3CO(g) + NaAlSiO4 | 452,468–476.41T | 949.74 |
| (13) | CaO·TiO2 + 1/2Na2CO3 + 5/2C + 1/2N2(g) + 2SiO2 + 1/2Al2O3 = CaO·SiO2 + TiN + 3CO(g) + NaAlSiO4 | 320,641–396.22T | 809.25 |
| Eq. | Chemical Reactions | /J·mol−1 | Spontaneous Reaction Temperature/°C |
|---|---|---|---|
| (14) | Na2O·TiO2 + 3C = TiC + Na2O + 2CO(g) | 673,415–352.20T | 1912.02 |
| (15) | Na2O·TiO2 + 2C + 1/2N2(g) = TiN + Na2O + 2CO(g) | 541,833–272.21T | 1990.50 |
| (16) | Na2O·TiO2 + 3C + SiO2 = TiC + Na2SiO3 + 2CO(g) | 425,806–324.43T | 1312.47 |
| (17) | Na2O·TiO2 + 2C + N2(g) + SiO2 = TiN + Na2SiO3 + 2CO(g) | 294,205–244.47T | 1203.44 |
| (18) | Na2O·TiO2 + 3C + 2SiO2 + Al2O3 = TiC + 2NaAlSiO4 + 2CO(g) | 331,721–362.41T | 915.32 |
| (19) | Na2O·TiO2 + 2C + 1/2N2(g) + 2SiO2 + Al2O3 = TiN + 2NaAlSiO4 + 2CO(g) | 200,110–282.44T | 708.50 |
| Elements | V | Mn | Si | Ti | P | S |
|---|---|---|---|---|---|---|
| Content | 0.25 | 0.20 | 0.00057 | 0.0015 | 0.0020 | 0.00072 |
Disclaimer/Publisher’s Note: The statements, opinions and data contained in all publications are solely those of the individual author(s) and contributor(s) and not of MDPI and/or the editor(s). MDPI and/or the editor(s) disclaim responsibility for any injury to people or property resulting from any ideas, methods, instructions or products referred to in the content. |
© 2023 by the authors. Licensee MDPI, Basel, Switzerland. This article is an open access article distributed under the terms and conditions of the Creative Commons Attribution (CC BY) license (https://creativecommons.org/licenses/by/4.0/).
Share and Cite
Bian, Z.; Cao, L.; Chen, D.; Zhao, H.; Qi, T.; Wang, L.; Zhen, Y. Titanium Impurity Control in V-Bearing Pig Iron Prepared via the Sodium Smelting of Vanadium–Titanium Magnetite. Metals 2023, 13, 1620. https://doi.org/10.3390/met13091620
Bian Z, Cao L, Chen D, Zhao H, Qi T, Wang L, Zhen Y. Titanium Impurity Control in V-Bearing Pig Iron Prepared via the Sodium Smelting of Vanadium–Titanium Magnetite. Metals. 2023; 13(9):1620. https://doi.org/10.3390/met13091620
Chicago/Turabian StyleBian, Zhiwei, Lei Cao, Desheng Chen, Hongxin Zhao, Tao Qi, Lina Wang, and Yulan Zhen. 2023. "Titanium Impurity Control in V-Bearing Pig Iron Prepared via the Sodium Smelting of Vanadium–Titanium Magnetite" Metals 13, no. 9: 1620. https://doi.org/10.3390/met13091620
APA StyleBian, Z., Cao, L., Chen, D., Zhao, H., Qi, T., Wang, L., & Zhen, Y. (2023). Titanium Impurity Control in V-Bearing Pig Iron Prepared via the Sodium Smelting of Vanadium–Titanium Magnetite. Metals, 13(9), 1620. https://doi.org/10.3390/met13091620
