Prediction of High-Temperature Creep Life of Austenitic Heat-Resistant Steels Based on Data Fusion
Abstract
:1. Introduction
2. Data Collection and Machine Learning Model Selection
2.1. Establishment of Dataset
2.2. Feature Extraction and Dataset Creation
2.3. Data Preprocessing
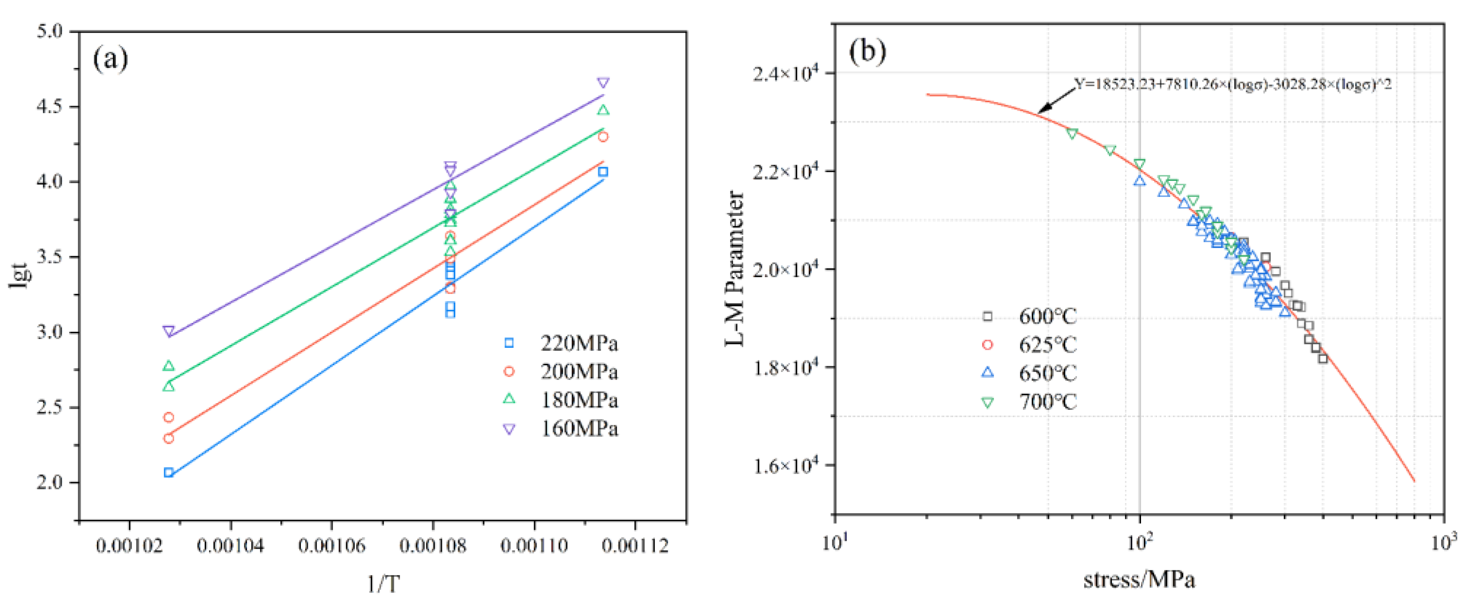
2.4. Selection and Evaluation of the Machine Learning Model
3. Results and Discussion
3.1. Predictive Results of the Machine Learning Methods
3.2. Comparison of Predictive Results Using Machine Learning and the Conventional Method
3.3. Effect of Input Features on Creep Fracture Lifetime
4. Conclusions
- The prediction accuracy of the machine learning models varies widely. Moreover, the prediction accuracy varies with different datasets. The Gaussian (second dataset) model has the highest prediction accuracy (0.991), while the SVM (third dataset) model has the lowest prediction accuracy (0.457).
- The Gaussian (second dataset) model has a high prediction accuracy (0.972) and is suitable for the life prediction of a wide range of austenitic steels, as compared to the conventional LM methods.
- The machine-learning -predicted patterns of input features on the creep life are in general agreement with the results of experimental observations and theoretical analyses. In order to improve the creep life, it is advisable to increase the grain size (GS) and the amounts of C, B, and Nb, while decreasing the amounts of Cr, Ni, Al, and S. It is also important to monitor and limit the amounts of P, Cu, Mn, and Si to ensure that they do not fall within the mid-range of the ASME standard [39].
Author Contributions
Funding
Data Availability Statement
Conflicts of Interest
References
- Spindler, M.W.; Andersson, H. ECCC Rupture Data for Austenitic Stainless Steels—Experiences Gained with Demanding Data Analyses. In Proceedings of the 5th International Conference on Advances in Materials Technology for Fossil Power Plants, Marco Island, FL, USA, 3–5 October 2007. [Google Scholar]
- Igarashi, M.; Semba, H.; Yonemura, M.; Hamaguchi, T.; Okada, H.; Yoshizawa, M.; Iseda, A. Advances in Materials Technology for USC Power Plant Boilers. In Proceedings of the Advances in Materials Technology for Fossil Power Plants-Proceedings from the 6th International Conference, Santa Fe, NM, USA, 31 August–3 September 2011. [Google Scholar]
- Ghatak, A.; Robi, P.S. Modification of Larson–Miller Parameter Technique for Predicting Creep Life of Materials. Trans. Indian Inst. Met. 2015, 69, 579–583. [Google Scholar] [CrossRef]
- Gustin, A.Z.; Zuzek, B.; Podgornik, B. Creep Life Prediction of 10CrMo9-10 Steel by Larson-Miller Model. Materials 2022, 15, 4431. [Google Scholar] [CrossRef] [PubMed]
- Cheng, L.; Guo, Q.; Yu, W.; Han, Y.; Cai, Q. Comparative Study of θ Projection Method and Its Modified Forms on Creep Life Prediction. Steel Res. Int. 2023, 94, 2200270. [Google Scholar] [CrossRef]
- Fu, C.; Chen, Y.; Yuan, X.; Tin, S.; Antonov, S.; Yagi, K.; Feng, Q. A modified θ projection model for constant load creep curves-I. Introduction of the model. J. Mater. Sci. Technol. 2019, 35, 223–230. [Google Scholar] [CrossRef]
- Fu, C.; Chen, Y.; Yuan, X.; Tin, S.; Antonov, S.; Yagi, K.; Feng, Q. A modified θ projection model for constant load creep curves-II. Application of creep life prediction. J. Mater. Sci. Technol. 2019, 35, 687–694. [Google Scholar] [CrossRef]
- Evans, M. A new statistical framework for the determination of safe creep life using the theta projection technique. J. Mater. Sci. 2011, 47, 2770–2781. [Google Scholar] [CrossRef]
- Salifu, S.; Desai, D.; Kok, S. Numerical simulation and creep-life prediction of X20 steam piping. Mater. Today Proc. 2021, 38, 893–898. [Google Scholar] [CrossRef]
- Li, Z.; Wen, Z.; Pei, H.; Yue, X.; Wang, P.; Ai, C.; Yue, Z. Creep life prediction for a nickel-based single crystal turbine blade. Mech. Adv. Mater. Struct. 2021, 29, 6039–6052. [Google Scholar] [CrossRef]
- Goyal, S.; Laha, K. Creep life prediction of 9Cr–1Mo steel under multiaxial state of stress. Mater. Sci. Eng. A 2014, 615, 348–360. [Google Scholar] [CrossRef]
- He, J.; Sandström, R. Modelling grain boundary sliding during creep of austenitic stainless steels. J. Mater. Sci. 2015, 51, 2926–2934. [Google Scholar] [CrossRef]
- Wen, J.-F.; Tu, S.-T. A multiaxial creep-damage model for creep crack growth considering cavity growth and microcrack interaction. Eng. Fract. Mech. 2014, 123, 197–210. [Google Scholar] [CrossRef]
- Viswanathan, G.; Vasudevan, V.; Mills, M. modification of the jogged screw model for creep of TiAl. Acta Mater. 1999, 47, 1399–1411. [Google Scholar] [CrossRef]
- Nabarro, F.R.N. Creep in commercially pure metals. Acta Mater. 2006, 54, 263–295. [Google Scholar] [CrossRef]
- He, J.; Sandström, R. Creep cavity growth models for austenitic stainless steels. Mater. Sci. Eng. A 2016, 674, 328–334. [Google Scholar] [CrossRef]
- Durodola, J.F. Machine learning for design, phase transformation and mechanical properties of alloys. Prog. Mater. Sci. 2022, 123, 100797. [Google Scholar] [CrossRef]
- Li, M.; Mesbah, M.; Fallahpour, A.; Nasiri-Tabrizi, B.; Liu, B. Mechanical strength estimation of ultrafine-grained magnesium implant by neural-based predictive machine learning. Mater. Lett. 2021, 305, 130627. [Google Scholar] [CrossRef]
- Mesbah, M.; Fattahi, A.; Bushroa, A.R.; Faraji, G.; Wong, K.Y.; Basirun, W.J.; Fallahpour, A.; Nasiri-Tabrizi, B. Experimental and Modelling Study of Ultra-Fine Grained ZK60 Magnesium Alloy with Simultaneously Improved Strength and Ductility Processed by Parallel Tubular Channel Angular Pressing. Met. Mater. Int. 2019, 27, 277–297. [Google Scholar] [CrossRef]
- Xie, Q.; Suvarna, M.; Li, J.; Zhu, X.; Cai, J.; Wang, X. Online prediction of mechanical properties of hot rolled steel plate using machine learning. Mater. Des. 2021, 197, 109201. [Google Scholar] [CrossRef]
- Wang, L.; Liu, X.; Fan, P.; Zhu, L.; Zhang, K.; Wang, K.; Song, C.; Ren, S. A creep life prediction model of P91 steel coupled with back-propagation artificial neural network (BP-ANN) and θ projection method. Int. J. Press. Vessel. Pip. 2023, 206, 105039. [Google Scholar] [CrossRef]
- Tan, Y.; Wang, X.; Kang, Z.; Ye, F.; Chen, Y.; Zhou, D.; Zhang, X.; Gong, J. Creep lifetime prediction of 9% Cr martensitic heat-resistant steel based on ensemble learning method. J. Mater. Res. Technol. 2022, 21, 4745–4760. [Google Scholar] [CrossRef]
- Wang, J.; Fa, Y.; Tian, Y.; Yu, X. A machine-learning approach to predict creep properties of Cr–Mo steel with time-temperature parameters. J. Mater. Res. Technol. 2021, 13, 635–650. [Google Scholar] [CrossRef]
- Han, H.; Li, W.; Antonov, S.; Li, L. Mapping the creep life of nickel-based SX superalloys in a large compositional space by a two-model linkage machine learning method. Comput. Mater. Sci. 2022, 205, 111229. [Google Scholar] [CrossRef]
- Chai, M.; He, Y.; Li, Y.; Song, Y.; Zhang, Z.; Duan, Q. Machine Learning-Based Framework for Predicting Creep Rupture Life of Modified 9Cr-1Mo Steel. Appl. Sci. 2023, 13, 4972. [Google Scholar] [CrossRef]
- Zhang, X.C.; Gong, J.G.; Xuan, F.Z. A physics-informed neural network for creep-fatigue life prediction of components at elevated temperatures. Eng. Fract. Mech. 2021, 258, 108130. [Google Scholar] [CrossRef]
- Zhang, X.C.; Gong, J.G.; Xuan, F.Z. A deep learning based life prediction method for components under creep, fatigue and creep-fatigue conditions. Int. J. Fatigue 2021, 148, 106236. [Google Scholar] [CrossRef]
- Gu, H.H.; Wang, R.Z.; Zhu, S.P.; Wang, X.W.; Wang, D.M.; Zhang, G.D.; Fan, Z.C.; Zhang, X.C.; Tu, S.T. Machine learning assisted probabilistic creep-fatigue damage assessment. Int. J. Fatigue 2022, 156, 106677. [Google Scholar] [CrossRef]
- Ferreño, D.; Serrano, M.; Kirk, M.; Sainz-Aja, J.A. Prediction of the Transition-Temperature Shift Using Machine Learning Algorithms and the Plotter Database. Metals 2022, 12, 186. [Google Scholar] [CrossRef]
- Rasmussen, C.E. Gaussian Processes in Machine Learning. In Advanced Lectures on Machine Learning; Bousquet, O., von Luxburg, U., Rätsch, G., Eds.; Lecture Notes in Computer Science; Springer: Berlin/Heidelberg, Germany, 2003; Volume 3176. [Google Scholar] [CrossRef]
- Mitra, S.; Konwar, K.M.; Pal, S.K. Fuzzy decision tree, linguistic rules and fuzzy knowledge-based network: Generation and evaluation. IEEE Trans. Syst. Man Cybern. Part C (Appl. Rev.) 2002, 32, 328–339. [Google Scholar] [CrossRef]
- Kohonen, T. An Introduction to Neural Computing. Neural Netw. 1988, 1, 3–16. [Google Scholar] [CrossRef]
- Burges, C.J. A Tutorial on Support Vector Machines for Pattern Recognition. Data Min. Knowl. Discov. 1998, 2, 121–167. [Google Scholar] [CrossRef]
- Abe, F.; Tanaka, H.; Murata, M. Effect of Nb on long-term creep life of JIS SUS304HTB and JIS SUS347HTB steels –heat-to-heat variation and life assessment of stainless steels. Mater. High Temp. 2016, 33, 626–635. [Google Scholar] [CrossRef]
- Matsuo, T.; Shinoda, T.; Tanaka, R. Effect of Nitrogen, Boron and Phosphorous on High Temperature Strength of 18Cr-10Ni and 18Cr-10NiMo Austenitic Steels Bearing Small Amounts of Titanium and Niobium. Tetsu Hagane 1973, 59, 907–918. [Google Scholar] [CrossRef] [PubMed]
- Abe, F. Heat-to-Heat Variation in Creep Life and Fundamental Creep Rupture Strength of 18Cr-8Ni, 18Cr-12Ni-Mo, 18Cr-10Ni-Ti, and 18Cr-12Ni-Nb Stainless Steels. Metall. Mater. Trans. A 2016, 47, 4437–4454. [Google Scholar] [CrossRef]
- Hatakeyama, T.; Sawada, K.; Sekido, K.; Hara, T.; Kimura, K. Influence of dynamic microstructural changes on the complex creep deformation behavior of 25Cr–20Ni–Nb–N steel at 873 K. Mater. Sci. Eng. A 2021, 814, 141270. [Google Scholar] [CrossRef]
- Kimura, K.; Sawada, K. Creep Deformation Property and Creep Life Evaluation of Super304H. J. Press. Vessel. Technol. 2022, 144, 021507. [Google Scholar] [CrossRef]
- An International Code 2021 ASME Boiler & Pressure Vessel Code. ASME SA-213/ SA-213M Specification for Seamless Ferritic and Austenitic Alloy- Steel Boiler, Superheater, and Heat-Exchanger Tubes; American Society of Mechanical Engineers: New York, NY, USA, 2021; pp. 285–300. [Google Scholar]
- Ou, P.; Xing, H.; Wang, X.; Sun, J.; Cui, Z.; Yang, C. Coarsening and Hardening Behaviors of Cu-Rich Precipitates in Super304H Austenitic Steel. Metall. Mater. Trans. A 2015, 46, 3909–3916. [Google Scholar] [CrossRef]
- Bai, J.W.; Liu, P.P.; Zhu, Y.M.; Li, X.M.; Chi, C.Y.; Yu, H.Y.; Xie, X.S.; Zhan, Q. Coherent precipitation of copper in Super304H austenite steel. Mater. Sci. Eng. A 2013, 584, 57–62. [Google Scholar] [CrossRef]
- Froes, F.H.; Wells, M.G.H.; Banerjee, B.R. Influence of Phosphorus on the Nucleation of M23C6 Carbides in Austenitic Stainless Steels. Met. Sci. J. 1968, 2, 232–234. [Google Scholar] [CrossRef]
- Li, D.; Feng, Y.; Song, S.; Liu, Q.; Bai, Q.; Ren, F.; Shangguan, F. Influences of silicon on the work hardening behavior and hot deformation behavior of Fe–25 wt%Mn–(Si, Al) TWIP steel. J. Alloys Compd. 2015, 618, 768–775. [Google Scholar] [CrossRef]
- Lai, J.K.L.; Shek, C.H.; Lo, K.H. (Eds.) Stainless Steels: An Introduction and Their Recent Developments; Bentham Science Publishers: Sharjah, Sharjah, United Arab Emirates, 2012. [Google Scholar]
- Xiong, R.; Peng, H.; Wang, S.; Si, H.; Wen, Y. Effect of stacking fault energy on work hardening behaviors in Fe–Mn–Si–C high manganese steels by varying silicon and carbon contents. Mater. Des. 2015, 85, 707–714. [Google Scholar] [CrossRef]
- Dai, Y.; Kong, Q. On the Physical Origin of Equicohesive Temperature for Creep. Strength Met. Alloys 1989, 2, 959–964. [Google Scholar] [CrossRef]









| Dataset | Input Features | |
|---|---|---|
| Number of Features | Features | |
| First dataset | 5 | Test Stress (Test S), Wt. Mn, Wt. N, Wt. Si, Test temperature (Test T) |
| Second dataset | 8 | Test Stress (Test S), Wt. Mn, Wt. N, Wt. Si, Test temperature (Test T), Wt. Cu, Wt. Cr, Wt. P |
| Third dataset | 17 | Test Stress (Test S), Wt. Mn, Wt. N, Wt. Si, Test temperature (Test T), Wt. Cu, Wt. Cr, Wt. P, Wt. B, Wt. S, Grain Size (Grain S), Wt. C, Wt. Nb, Wt. Mo, Wt. Al, Wt. Ni, Wt. Al |
Disclaimer/Publisher’s Note: The statements, opinions and data contained in all publications are solely those of the individual author(s) and contributor(s) and not of MDPI and/or the editor(s). MDPI and/or the editor(s) disclaim responsibility for any injury to people or property resulting from any ideas, methods, instructions or products referred to in the content. |
© 2023 by the authors. Licensee MDPI, Basel, Switzerland. This article is an open access article distributed under the terms and conditions of the Creative Commons Attribution (CC BY) license (https://creativecommons.org/licenses/by/4.0/).
Share and Cite
Wei, L.; Wang, S.; Hao, W.; Huang, J.; Qu, N.; Liu, Y.; Zhu, J. Prediction of High-Temperature Creep Life of Austenitic Heat-Resistant Steels Based on Data Fusion. Metals 2023, 13, 1630. https://doi.org/10.3390/met13091630
Wei L, Wang S, Hao W, Huang J, Qu N, Liu Y, Zhu J. Prediction of High-Temperature Creep Life of Austenitic Heat-Resistant Steels Based on Data Fusion. Metals. 2023; 13(9):1630. https://doi.org/10.3390/met13091630
Chicago/Turabian StyleWei, Limin, Shuo Wang, Weixun Hao, Jingtao Huang, Nan Qu, Yong Liu, and Jingchuan Zhu. 2023. "Prediction of High-Temperature Creep Life of Austenitic Heat-Resistant Steels Based on Data Fusion" Metals 13, no. 9: 1630. https://doi.org/10.3390/met13091630
APA StyleWei, L., Wang, S., Hao, W., Huang, J., Qu, N., Liu, Y., & Zhu, J. (2023). Prediction of High-Temperature Creep Life of Austenitic Heat-Resistant Steels Based on Data Fusion. Metals, 13(9), 1630. https://doi.org/10.3390/met13091630

