Influence of Selective Laser Melting Process and Heat Treatment Parameters on the Corrosion Resistance of 17-4 Precipitation Hardening Stainless Steel
Abstract
1. Introduction
2. Materials and Methods
2.1. Experimental Design
2.2. Sample Preparation
2.3. Corrosion Evaluation
3. Results and Discussion
3.1. Surface Analysis
3.2. Analysis of Variance
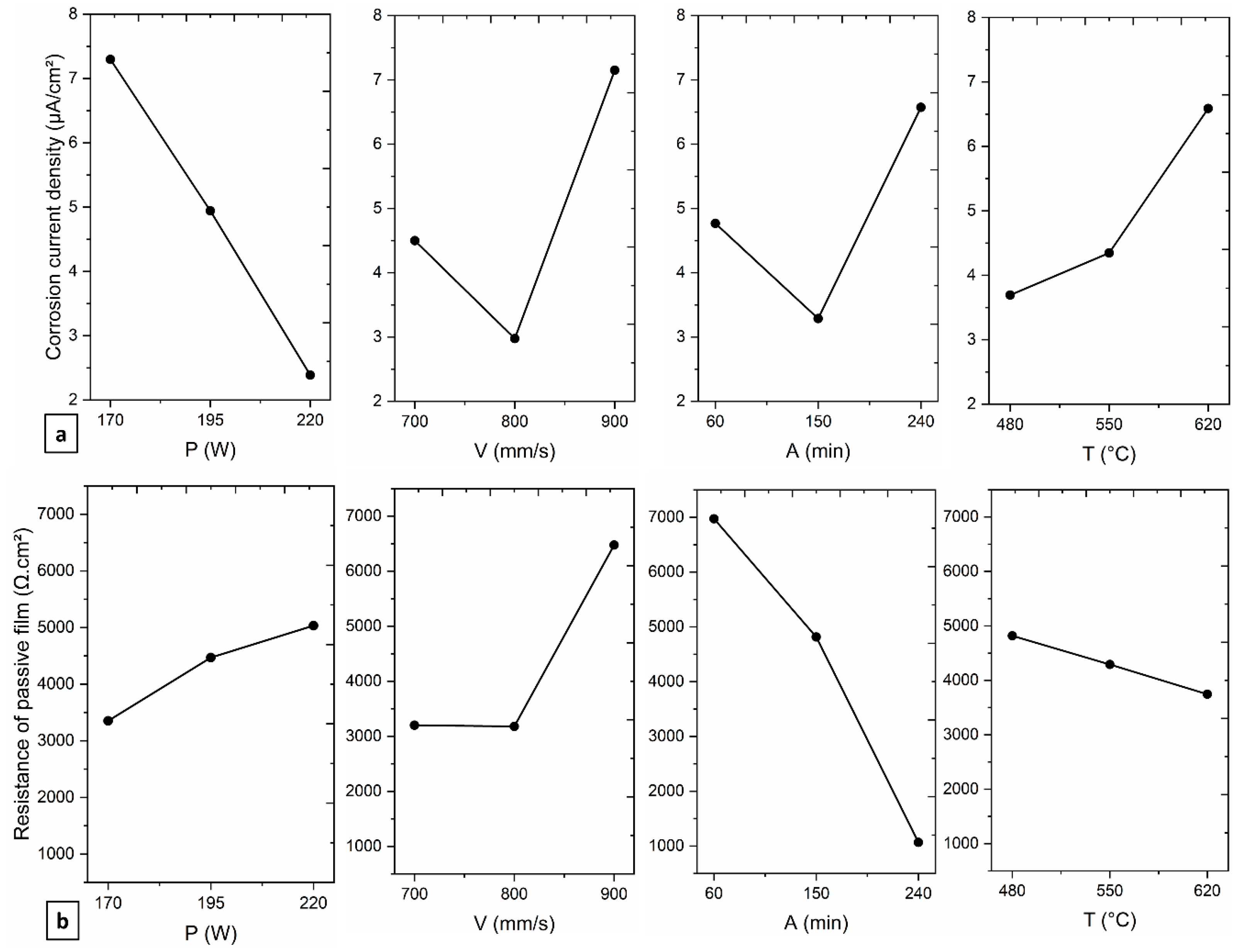
3.3. Effect of Process and Heat Treatment Parameters
4. Conclusions
Author Contributions
Funding
Data Availability Statement
Conflicts of Interest
References
- Bajaj, P.; Hariharan, A.; Kini, A.; Kürnsteiner, P.; Raabe, D.; Jägle, E.A. Steels in additive manufacturing: A review of their microstructure and properties. Mater. Sci. Eng. A 2020, 772, 138633. [Google Scholar] [CrossRef]
- Coseglio, M.S.D.R. Sulphide stress cracking of 17-4 PH for applications in oilfield components. Mater. Sci. Technol. 2017, 33, 1863–1878. [Google Scholar] [CrossRef]
- Arisoy, C.F.; Başman, G.; Şeşen, M.K. Failure of a 17-4 PH stainless steel sailboat propeller shaft. Eng. Fail. Anal. 2003, 10, 711–717. [Google Scholar] [CrossRef]
- Fantechi, F.; Innocenti, M. Chloride stress corrosion cracking of precipitation hardening S.S. impellers in centrifugal compressor. Laboratory investigations and corrective actions. Eng. Fail. Anal. 2001, 8, 477–492. [Google Scholar]
- Wang, J.; Zou, H.; Li, C.; Qiu, S.-Y.; Shen, B.-L. The effect of microstructural evolution on hardening behavior of type 17-4PH stainless steel in long-term aging at 350 °C. Mater. Charact. 2006, 57, 274–280. [Google Scholar] [CrossRef]
- Kovacs, S.E.; Miko, T.; Troiani, E.; Markatos, D.; Petho, D.; Gergely, G.; Varga, L.; Gacsi, Z. Additive Manufacturing of 17-4PH Alloy: Tailoring the Printing Orientation for Enhanced Aerospace Application Performance. Aerospace 2023, 10, 619. [Google Scholar] [CrossRef]
- Garcia-Cabezon, C.; Hernández, C.G.; Castro-Sastre, M.A.; Fernandez-Abia, A.I.; Rodriguez-Mendez, M.L.; Martin-Pedrosa, F. Heat treatments of 17-4 PH SS processed by SLM to improve its strength and biocompatibility in biomedical applications. J. Mater. Res. Technol. 2023, 26, 3524–3543. [Google Scholar] [CrossRef]
- Forest, I.-S. The corrosion resistance of nickel-containing alloys in sulfuric acid and related compounds. INCO Int. Nickel Co. 1983, 1, 51–82. [Google Scholar]
- Stoudt, M.R.; Ricker, R.E.; Lass, E.A.; Levine, L.E. The Influence of Post-Build Microstructure on the Electrochemical Behavior of Additively Manufactured 17-4 PH Stainless Steel. JOM 2017, 69, 506–515. [Google Scholar] [CrossRef]
- Alnajjar, M.; Christien, F.; Barnier, V.; Bosch, C.; Wolski, K.; Fortes, A.D.; Telling, M. Influence of microstructure and manganese sulfides on corrosion resistance of selective laser melted 17-4 PH stainless steel in acidic chloride medium. Corros. Sci. 2020, 168, 108585. [Google Scholar] [CrossRef]
- Schaller, R.F.; Taylor, J.M.; Rodelas, J.; Schindelholz, E.J. Corrosion Properties of Powder Bed Fusion Additively Manufactured 17-4 PH Stainless Steel. Corrosion 2017, 73, 796–807. [Google Scholar] [CrossRef] [PubMed]
- Sun, Y.; Moroz, A.; Alrbaey, K. Sliding Wear Characteristics and Corrosion Behaviour of Selective Laser Melted 316L Stainless Steel. J. Mater. Eng. Perform. 2013, 23, 518–526. [Google Scholar] [CrossRef]
- Huang, L.; Cao, Y.; Zhao, H.; Li, Y.; Wang, Y.; Wei, L. Effect of process parameters on density and mechanical behaviour of a selective laser melted 17-4PH stainless steel alloy. Open Phys. 2022, 20, 66–77. [Google Scholar] [CrossRef]
- Ponnusamy, P.; Sharma, B.; Masood, S.H.; Rashid, R.A.R.; Rashid, R.; Palanisamy, S.; Ruan, D. A study of tensile behavior of SLM processed 17-4 PH stainless steel. Mater. Today: Proc. 2021, 45, 4531–4534. [Google Scholar] [CrossRef]
- Garcia-Cabezon, C.; Castro-Sastre, M.A.; Fernandez-Abia, A.I.; Rodriguez-Mendez, M.L.; Martin-Pedrosa, F. Microstructure–Hardness–Corrosion Performance of 17–4 Precipitation Hardening Stainless Steels Processed by Selective Laser Melting in Comparison with Commercial Alloy. Met. Mater. Int. 2022, 28, 2652–2667. [Google Scholar] [CrossRef]
- Yeon, S.-M.; Yoon, J.; Kim, T.B.; Lee, S.H.; Jun, T.-S.; Son, Y.; Choi, K. Normalizing Effect of Heat Treatment Processing on 17-4 PH Stainless Steel Manufactured by Powder Bed Fusion. Metals 2022, 12, 704. [Google Scholar] [CrossRef]
- Gu, H.; Gong, H.-J.; Pal, D.; Rafi, K.; Starr, T.L.; Stucker, B.E. Influences of Energy Density on Porosity and Microstructure of Selective Laser Melted 17-4PH Stainless Steel; University of Texas at Austin: Austin, TX, USA, 2013. [Google Scholar]
- Mason, R.L.; Gunst, R.F.; Hess, J.L. Statistical Design and Analysis of Experiments: With Applications to Engineering and Science; John Wiley & Sons: Hoboken, NJ, USA, 2003. [Google Scholar]
- Nezhadfar, P.D.; Shrestha, R.; Phan, N.; Shamsaei, N. Fatigue behavior of additively manufactured 17-4 PH stainless steel: Synergistic effects of surface roughness and heat treatment. Int. J. Fatigue 2019, 124, 188–204. [Google Scholar] [CrossRef]
- Eskandari, H.; Lashgari, H.R.; Ye, L.; Eizadjou, M.; Wang, H. Microstructural characterization and mechanical properties of additively manufactured 17–4PH stainless steel. Mater. Today Commun. 2022, 30, 103075. [Google Scholar] [CrossRef]
- Hu, Z.; Zhu, H.; Zhang, H.; Zeng, X. Experimental investigation on selective laser melting of 17-4PH stainless steel. Opt. Laser Technol. 2017, 87, 17–25. [Google Scholar] [CrossRef]
- Hsu, T.-H.; Chang, Y.-J.; Huang, C.-Y.; Yen, H.-W.; Chen, C.-P.; Jen, K.-K.; Yeh, A.-C. Microstructure and property of a selective laser melting process induced oxide dispersion strengthened 17-4 PH stainless steel. J. Alloys Compd. 2019, 803, 30–41. [Google Scholar] [CrossRef]
- Murr, L.E.; Martinez, E.; Hernandez, J.; Collins, S.; Amato, K.N.; Gaytan, S.M.; Shindo, P.W. Microstructures and Properties of 17-4 PH Stainless Steel Fabricated by Selective Laser Melting. J. Mater. Res. Technol. 2012, 1, 167–177. [Google Scholar] [CrossRef]
- Akita, M.; Uematsu, Y.; Kakiuchi, T.; Nakajima, M.; Kawaguchi, R. Defect-dominated fatigue behavior in type 630 stainless steel fabricated by selective laser melting. Mater. Sci. Eng. A 2016, 666, 19–26. [Google Scholar] [CrossRef]
- Mahmoudi, M.; Elwany, A.; Yadollahi, A.; Thompson, S.M.; Bian, L.; Shamsaei, N. Mechanical properties and microstructural characterization of selective laser melted 17-4 PH stainless steel. Rapid Prototyp. J. 2017, 23, 280–294. [Google Scholar] [CrossRef]
- Auguste, P.; Mauduit, A.; Fouquet, L.; Pillot, S. Study on 17-4 PH stainless steel produced by selective laser melting. UPB Sci. Bull. Ser. B Chem. Mater. Sci. 2018, 80, 197–210. [Google Scholar]
- Pasebani, S.; Ghayoor, M.; Badwe, S.; Irrinki, H.; Atre, S.V. Effects of atomizing media and post processing on mechanical properties of 17-4 PH stainless steel manufactured via selective laser melting. Addit. Manuf. 2018, 22, 127–137. [Google Scholar] [CrossRef]
- Rafi, H.K.; Pal, D.; Patil, N.; Starr, T.L.; Stucker, B.E. Microstructure and Mechanical Behavior of 17-4 Precipitation Hardenable Steel Processed by Selective Laser Melting. J. Mater. Eng. Perform. 2014, 23, 4421–4428. [Google Scholar] [CrossRef]
- Yadollahi, A.; Shamsaei, N.; Thompson, S.M.; Elwany, A.; Bian, L. Effects of building orientation and heat treatment on fatigue behavior of selective laser melted 17-4 PH stainless steel. Int. J. Fatigue 2017, 94, 218–235. [Google Scholar] [CrossRef]
- Strasser, T. Comparison of Additively Manufactured and Wrought 17-4 PH Stainless Steels in Ultra Low Cycle Fatigue; University of Arkansas: Fayetteville, NC, USA, 2020. [Google Scholar]
- Li, K.; Zhan, J.; Yang, T.; To, A.C.; Tan, S.; Tang, Q.; Cao, H.; Murr, L.E. Homogenization timing effect on microstructure and precipitation strengthening of 17–4PH stainless steel fabricated by laser powder bed fusion. Addit. Manuf. 2022, 52, 102672. [Google Scholar] [CrossRef]
- Sabooni, S.; Chabok, A.; Feng, S.C.; Blaauw, H.; Pijper, T.C.; Yang, H.J.; Pei, Y.T. Laser powder bed fusion of 17–4 PH stainless steel: A comparative study on the effect of heat treatment on the microstructure evolution and mechanical properties. Addit. Manuf. 2021, 46, 102176. [Google Scholar] [CrossRef]
- LeBrun, T.; Nakamoto, T.; Horikawa, K.; Kobayashi, H. Effect of retained austenite on subsequent thermal processing and resultant mechanical properties of selective laser melted 17-4 PH stainless steel. Mater. Des. 2015, 81, 44–53. [Google Scholar] [CrossRef]
- Nezhadfar, P.; Masoomi, M.; Thompson, S.; Phan, N.; Shamsaei, N. Mechanical Properties of 17-4 PH Stainless Steel Additively Manufactured under Ar and N2 Shielding Gas. In Proceedings of the 29th Annual International Solid Freeform Fabrication Symposium—An Additive Manufacturing Conference, Austin, TX, USA, 13–15 August 2018. [Google Scholar]
- Alfieri, V.; Giannella, V.; Caiazzo, F.; Sepe, R. Influence of position and building orientation on the static properties of LPBF specimens in 17-4 PH stainless steel. Forces Mech. 2022, 8, 100108. [Google Scholar] [CrossRef]
- Sun, Y.; Hebert, R.J.; Aindow, M. Effect of heat treatments on microstructural evolution of additively manufactured and wrought 17-4PH stainless steel. Mater. Des. 2018, 156, 429–440. [Google Scholar] [CrossRef]
- Irrinki, H.; Jangam, J.S.D.; Pasebani, S.; Badwe, S.; Stitzel, J.; Kate, K.; Gulsoy, O.; Atre, S.V. Effects of particle characteristics on the microstructure and mechanical properties of 17-4 PH stainless steel fabricated by laser-powder bed fusion. Powder Technol. 2018, 331, 192–203. [Google Scholar] [CrossRef]
- Montgomery, D.C. Design and Analysis of Experiments; John Wiley & Sons: Hoboken, NJ, USA, 2017. [Google Scholar]
- Tan, J.H.; Wong, W.L.E.; Dalgarno, K.W. An overview of powder granulometry on feedstock and part performance in the selective laser melting process. Addit. Manuf. 2017, 18, 228–255. [Google Scholar] [CrossRef]
- Xie, D.; Lv, F.; Yang, Y.; Shen, L.; Tian, Z.; Shuai, C.; Chen, B.; Zhao, J. A Review on Distortion and Residual Stress in Additive Manufacturing. Chin. J. Mech. Eng. Addit. Manuf. Front. 2022, 1, 100039. [Google Scholar] [CrossRef]
- De Baere, D.; Van Cauwenbergh, P.; Bayat, M.; Mohanty, S.; Thorborg, J.; Thijs, L.; Van Hooreweder, B.; Vanmeensel, K.; Hattel, J.H. Thermo-mechanical modelling of stress relief heat treatments after laser-based powder bed fusion. Addit. Manuf. 2021, 38, 101818. [Google Scholar] [CrossRef]
- Facchini, L.; Vicente, N.; Lonardelli, I.; Magalini, E.; Pierfrancesco, R.; Molinari, A. Metastable Austenite in 17–4 Precipitation-Hardening Stainless Steel Produced by Selective Laser Melting. Adv. Eng. Mater. 2010, 12, 184–188. [Google Scholar] [CrossRef]
- Kurzynowski, T.; Gruber, K.; Stopyra, W.; Kuźnicka, B.; Chlebus, E. Correlation between process parameters, microstructure and properties of 316 L stainless steel processed by selective laser melting. Mater. Sci. Eng. A 2018, 718, 64–73. [Google Scholar] [CrossRef]
- Bodner, S.C.; van de Vorst, L.T.G.; Zalesak, J.; Todt, J.; Keckes, J.F.; Maier-Kiener, V.; Sartory, B.; Schell, N.; Hooijmans, J.W.; Saurwalt, J.J.; et al. Inconel-steel multilayers by liquid dispersed metal powder bed fusion: Microstructure, residual stress and property gradients. Addit. Manuf. 2020, 32, 101027. [Google Scholar] [CrossRef]
- Nezhadfar, P.D.; Gradl, P.R.; Shao, S.; Shamsaei, N. Microstructure and Deformation Behavior of Additively Manufactured 17–4 Stainless Steel: Laser Powder Bed Fusion vs. Laser Powder Directed Energy Deposition. JOM 2022, 74, 1136–1148. [Google Scholar] [CrossRef]
- Riemer, A.; Leuders, S.; Thöne, M.; Richard, H.A.; Tröster, T.; Niendorf, T. On the fatigue crack growth behavior in 316L stainless steel manufactured by selective laser melting. Eng. Fract. Mech. 2014, 120, 15–25. [Google Scholar] [CrossRef]
- Irrinki, H.; Harper, T.; Badwe, S.; Stitzel, J.; Gulsoy, O.; Gupta, G.; Atre, S.V. Effects of powder characteristics and processing conditions on the corrosion performance of 17-4 PH stainless steel fabricated by laser-powder bed fusion. Prog. Addit. Manuf. 2018, 3, 39–49. [Google Scholar] [CrossRef]
- Pan, L.; Kwok, C.T.; Niu, B.; Huang, X.; Cao, Y.; Zou, X.; Yi, J. Enhancement in hardness and corrosion resistance of directed energy deposited 17–4 PH martensitic stainless steel via heat treatment. J. Mater. Res. Technol. 2023, 23, 1296–1311. [Google Scholar] [CrossRef]
- Suryawanshi, J.; Baskaran, T.; Prakash, O.; Arya, S.B.; Ramamurty, U. On the corrosion resistance of some selective laser melted alloys. Materialia 2018, 3, 153–161. [Google Scholar] [CrossRef]
- Luo, H.; Yu, Q.; Dong, C.; Sha, G.; Liu, Z.; Liang, J.; Wang, L.; Han, G.; Li, X. Influence of the aging time on the microstructure and electrochemical behaviour of a 15-5PH ultra-high strength stainless steel. Corros. Sci. 2018, 139, 185–196. [Google Scholar] [CrossRef]
- Tanji, A.; Fan, X.; Sakidja, R.; Liaw, P.K.; Hermawan, H. Niobium addition improves the corrosion resistance of TiHfZrNbx high-entropy alloys in Hanks’ solution. Electrochim. Acta 2022, 424, 140651. [Google Scholar] [CrossRef]
- Wang, X.; Luo, H.; Zhao, Q.; Cheng, H.; Li, Q.; Pan, Z.; Wei, Y.; Ma, Y.; Li, X. Investigations on the passive and pitting behaviors of 17–4 PH martensitic stainless steel containing Al2O3 inclusions in chlorine environment. Colloids Surf. A: Physicochem. Eng. Asp. 2023, 660, 130861. [Google Scholar] [CrossRef]
- Jorcin, J.-B.; Orazem, M.E.; Pébère, N.; Tribollet, B. CPE analysis by local electrochemical impedance spectroscopy. Electrochim. Acta 2006, 51, 1473–1479. [Google Scholar] [CrossRef]
- Wang, L.; Dong, C.; Kong, D.; Man, C.; Liang, J.; Wang, C.; Xiao, K.; Li, X. Effect of Manufacturing Parameters on the Mechanical and Corrosion Behavior of Selective Laser-Melted 15-5PH Stainless Steel. Steel Res. Int. 2020, 91, 1900447. [Google Scholar] [CrossRef]
- Zhang, A.; Wu, W.; Wu, M.; Liu, Y.; Zhang, Y.; Wang, Q. Influence of laser power on mechanical properties and pitting corrosion behavior of additively manufactured 316L stainless steel by laser powder bed fusion (L-PBF). Opt. Laser Technol. 2024, 176, 110886. [Google Scholar] [CrossRef]
- Sarkar, S.; Mukherjee, S.; Kumar, C.S.; Nath, A.K. Effects of heat treatment on microstructure, mechanical and corrosion properties of 15-5 PH stainless steel parts built by selective laser melting process. J. Manuf. Process. 2020, 50, 279–294. [Google Scholar] [CrossRef]
- Tavakoli Shoushtari, M. Effect of ageing heat treatment on corrosion behaviorof 17-4 PH stainless steel in 3.5% NaCl. Int. J. Iron Steel Soc. Iran 2010, 7, 33–36. [Google Scholar]
- Szewczyk-Nykiel, A.; Kazior, J. Effect of Aging Temperature on Corrosion Behavior of Sintered 17-4 PH Stainless Steel in Dilute Sulfuric Acid Solution. J. Mater. Eng. Perform. 2017, 26, 3450–3456. [Google Scholar] [CrossRef]
- Li, P.; Cai, Q.-Z.; Wei, B.-K.; Zhang, X.-Z. Effect of Aging Temperature on Erosion-Corrosion Behavior of 17-4PH Stainless Steels in Dilute Sulphuric Acid Slurry. J. Iron Steel Res. Int. 2006, 13, 73–78. [Google Scholar] [CrossRef]
- Malakshah, M.G.; Eslami, A.; Ashrafizadeh, F.; Berenjkoub, A. Effect of Heat Treatment on Corrosion, Fatigue, and Corrosion Fatigue Behavior of 17-4PH Stainless Steel. J. Mater. Eng. Perform. 2023, 32, 6610–6621. [Google Scholar] [CrossRef]
- Sourisseau, T.; Chauveau, E.; Baroux, B. Mechanism of copper action on pitting phenomena observed on stainless steels in chloride media. Corros. Sci. 2005, 47, 1097–1117. [Google Scholar] [CrossRef]
- Pellegrini, A.; Lavecchia, F.; Guerra, M.G.; Galantucci, L.M. Influence of aging treatments on 17–4 PH stainless steel parts realized using material extrusion additive manufacturing technologies. Int. J. Adv. Manuf. Technol. 2023, 126, 163–178. [Google Scholar] [CrossRef]
- Oguzie, E.E.; Li, J.; Liu, Y.; Chen, D.; Li, Y.; Yang, K.; Wang, F. The effect of Cu addition on the electrochemical corrosion and passivation behavior of stainless steels. Electrochim. Acta 2010, 55, 5028–5035. [Google Scholar] [CrossRef]
- Jiang, T.; Zhong, J.; Zhang, X.; Wang, W.; Guan, K. Hydrogen embrittlement induced fracture of 17-4 PH stainless steel valve stem. Eng. Fail. Anal. 2020, 113, 104576. [Google Scholar] [CrossRef]
- Chen, W.; Xu, L.; Hao, K.; Zhang, Y.; Zhao, L.; Han, Y.; Liu, Z.; Cai, H. Effect of heat treatment on microstructure and performances of additively manufactured 15-5PH stainless steel. Opt. Laser Technol. 2023, 157, 108711. [Google Scholar] [CrossRef]





| Factor | Code | Unit | Level | ||
|---|---|---|---|---|---|
| 1 | 2 | 3 | |||
| Laser power | P | W | 170 | 195 | 220 |
| Scanning speed | V | mm·s−1 | 700 | 800 | 900 |
| Aging time | A | min | 60 | 150 | 240 |
| Aging temperature | T | °C | 480 | 550 | 620 |
| C | Mn | P | S | Si | Cr | Ni | Cu | Fe |
|---|---|---|---|---|---|---|---|---|
| - | 0.06 | - | 0.06 | 0.16 | 17.32 | 3.96 | 3.34 | Bal. |
| Sample Number | Factors | Responses | ||||||
|---|---|---|---|---|---|---|---|---|
| P (W) | V (mm·s−1) | A (min) | T (°C) | E (J·mm−3) | EOCP (mVSCE) | Ecorr (mVSCE) | icorr (µA·cm−2) | |
| 1 | 170 | 700 | 60 | 480 | 60.7 | −192.8 ± 8.5 | −336.5 ± 9.6 | 5.6 ± 0.4 |
| 2 | 170 | 800 | 150 | 550 | 53.1 | −350.8 ± 29.6 | −395.8 ± 16.5 | 3.3 ± 0.7 |
| 3 | 170 | 900 | 240 | 620 | 47.2 | −233.6 ± 65.1 | −360.8 ± 41.4 | 13.0 ± 3.4 |
| 4 | 195 | 700 | 150 | 620 | 69.6 | −325.1 ± 2.8 | −413.6 ± 3.2 | 4.7 ± 0.6 |
| 5 | 195 | 800 | 240 | 480 | 60.9 | −364.9 ± 34.7 | −407.0 ± 16.2 | 3.6 ± 1.1 |
| 6 | 195 | 900 | 60 | 550 | 54.2 | −190.8 ± 23.0 | −308.6 ± 19.5 | 6.6 ± 0.3 |
| 7 | 220 | 700 | 240 | 550 | 78.6 | −337.6 ± 29.0 | −388.2 ± 17.0 | 3.2 ± 0.2 |
| 8 | 220 | 800 | 60 | 620 | 68.8 | −263.2 ± 37.1 | −328.0 ± 18.8 | 2.1 ± 0.5 |
| 9 | 220 | 900 | 150 | 480 | 61.1 | −217.6 ± 35.1 | −372.5 ± 13.9 | 1.9 ± 0.5 |
| Sample Number | Factors | Responses | ||||||||||
|---|---|---|---|---|---|---|---|---|---|---|---|---|
| P (W) | V (mm·s−1) | A (min) | T (°C) | Rs (Ω·cm2) | CPEf (×10−6 F.s(n−1)) | n1 | Rf (Ω·cm2) | CPEdl (×10−6 F·s(n−1)) | n2 | Rct (Ω·cm2) | Rp (Ω·cm2) | |
| 1 | 170 | 700 | 60 | 480 | 6.4 | 1000 | 0.68 | 5490 | 3000.0 | 0.50 | 4629.6 | 10,120 |
| 2 | 170 | 800 | 150 | 550 | 4.4 | 250 | 0.76 | 2784 | 500.0 | 0.58 | 6771.6 | 9556 |
| 3 | 170 | 900 | 240 | 620 | 7.1 | 2000 | 0.50 | 1785 | 7500.0 | 0.87 | 1172.5 | 2958 |
| 4 | 195 | 700 | 150 | 620 | 6.6 | 165 | 0.58 | 3375 | 1000.0 | 0.67 | 4016.3 | 7391 |
| 5 | 195 | 800 | 240 | 480 | 7.4 | 100 | 0.85 | 677 | 110.0 | 0.33 | 3522.8 | 4199 |
| 6 | 195 | 900 | 60 | 550 | 6.5 | 700 | 0.47 | 9356 | 0.1 | 0.60 | 3485.8 | 12,841 |
| 7 | 220 | 700 | 240 | 550 | 6.4 | 100 | 0.78 | 737 | 1.0 | 0.60 | 5807.9 | 6545 |
| 8 | 220 | 800 | 60 | 620 | 6.2 | 350 | 0.68 | 6075 | 400.0 | 0.78 | 9109.1 | 15,184 |
| 9 | 220 | 900 | 150 | 480 | 6.2 | 100 | 0.60 | 8288 | 600.0 | 0.90 | 7588.4 | 15,876 |
| Source | DF | Sum of Squares | Contribution (%) | Adj SS | Adj MS | F-Value | p-Value |
|---|---|---|---|---|---|---|---|
| P | 1 | 36.16 | 38.88 | 12.88 | 12.88 | 623.12 | 0.025 |
| V | 1 | 10.53 | 11.32 | 26.59 | 26.59 | 1286.35 | 0.018 |
| A | 1 | 4.90 | 5.26 | 16.20 | 16.20 | 783.82 | 0.023 |
| T | 1 | 12.56 | 13.50 | 9.47 | 9.47 | 458.12 | 0.030 |
| V*V | 1 | 16.23 | 17.44 | 27.37 | 27.37 | 1324.02 | 0.017 |
| T*T | 1 | 1.26 | 1.35 | 1.26 | 1.26 | 60.89 | 0.081 |
| P*T | 1 | 11.36 | 12.21 | 11.36 | 11.36 | 549.56 | 0.027 |
| Error | 1 | 0.02 | 0.02 | 0.02 | 0.021 | ||
| Total | 8 | 93.02 | 100.00 | ||||
| R-squared = 99.98% | R-squared (Adj) = 99.82% | ||||||
| Source | DF | Sum of Squares | Contribution (%) | Adj SS | Adj MS | F-Value | p-Value |
|---|---|---|---|---|---|---|---|
| P | 1 | 4233970 | 5.21 | 5719420 | 5719420 | 24396.78 | 0.004 |
| V | 1 | 16091385 | 19.79 | 149817 | 149817 | 639.06 | 0.025 |
| A | 1 | 52344290 | 64.36 | 2332720 | 2332720 | 9950.46 | 0.006 |
| T | 1 | 1726994 | 2.12 | 3546847 | 3546847 | 15129.44 | 0.005 |
| A*A | 1 | 1266521 | 1.56 | 667993 | 667993 | 2849.39 | 0.012 |
| P*T | 1 | 5509363 | 6.77 | 5509363 | 5509363 | 23500.76 | 0.004 |
| V*T | 1 | 152172 | 0.19 | 152172 | 152172 | 649.10 | 0.025 |
| Error | 1 | 234 | 0.00 | 234 | 234 | ||
| Total | 8 | 81324928 | 100.00 | ||||
| R-squared = 100% | R-squared (Adj) = 100% | ||||||
| Sample Number | Measured icorr (µA·cm−2) | Predicted icorr (µA·cm−2) | Measured Rf (Ω·cm2) | Predicted Rf (Ω·cm2) |
|---|---|---|---|---|
| 1 | 5.63 | 5.57 | 5490.0 | 5501.7 |
| 2 | 3.28 | 3.20 | 2784.4 | 2786.5 |
| 3 | 12.98 | 12.87 | 1785.0 | 1799.3 |
| 4 | 4.69 | 4.54 | 3375.0 | 3388.5 |
| 5 | 3.56 | 3.37 | 676.5 | 689.1 |
| 6 | 6.58 | 6.37 | 9355.5 | 9358.4 |
| 7 | 3.18 | 3.13 | 737.1 | 739.4 |
| 8 | 2.09 | 2.02 | 6075.0 | 6089.3 |
| 9 | 1.89 | 1.77 | 8287.5 | 8300.8 |
Disclaimer/Publisher’s Note: The statements, opinions and data contained in all publications are solely those of the individual author(s) and contributor(s) and not of MDPI and/or the editor(s). MDPI and/or the editor(s) disclaim responsibility for any injury to people or property resulting from any ideas, methods, instructions or products referred to in the content. |
© 2025 by the authors. Licensee MDPI, Basel, Switzerland. This article is an open access article distributed under the terms and conditions of the Creative Commons Attribution (CC BY) license (https://creativecommons.org/licenses/by/4.0/).
Share and Cite
Kerbout, A.; Tanji, A.; Hermawan, H.; Barka, N. Influence of Selective Laser Melting Process and Heat Treatment Parameters on the Corrosion Resistance of 17-4 Precipitation Hardening Stainless Steel. Metals 2025, 15, 232. https://doi.org/10.3390/met15030232
Kerbout A, Tanji A, Hermawan H, Barka N. Influence of Selective Laser Melting Process and Heat Treatment Parameters on the Corrosion Resistance of 17-4 Precipitation Hardening Stainless Steel. Metals. 2025; 15(3):232. https://doi.org/10.3390/met15030232
Chicago/Turabian StyleKerbout, Anas, Ayoub Tanji, Hendra Hermawan, and Noureddine Barka. 2025. "Influence of Selective Laser Melting Process and Heat Treatment Parameters on the Corrosion Resistance of 17-4 Precipitation Hardening Stainless Steel" Metals 15, no. 3: 232. https://doi.org/10.3390/met15030232
APA StyleKerbout, A., Tanji, A., Hermawan, H., & Barka, N. (2025). Influence of Selective Laser Melting Process and Heat Treatment Parameters on the Corrosion Resistance of 17-4 Precipitation Hardening Stainless Steel. Metals, 15(3), 232. https://doi.org/10.3390/met15030232

