Machine Learning Models for Predicting Shear Strength and Identifying Failure Modes of Rectangular RC Columns
Abstract
1. Introduction
2. Data Collection
3. Background of Machine Learning Models
3.1. Naïve Bayes
3.2. K-Nearest Neighbors
- Firstly, the KNNs determines the distance between a new data point to all other points of training data. This space can be calculated using Euclidean distance, i.e., or Manhattan distance, i.e., , where xi and yi are coordinates of data points.
- Next, the KNNs algorithm randomly selects the nearest data points ( is an integer). The selection is based on the proximity to other data points regardless of what feature the values.
- Finally, the algorithm allocates the data point to the class where similar data points lie down.
3.3. Decision Tree
3.4. Support Vector Machine
- Creating a hyperplane or decision boundary that separates the features (i.e., classes). It can be a linear or nonlinear hyperplane. A good decision boundary is achieved when it contains the largest space to the adjacent training data point of classes.
- Using a kernel function, , to facilitate the computation of dot products of pairs of input data vectors, which are designed by mapping from the original finite-dimensional space to a higher-dimensional space.
3.5. Artificial Neural Networks
- Input layer, where input parameters are entered;
- Hidden layer(s);
- Output layer, where the predicted result is obtained.
- Firstly, the input signals (i.e., data) are entered to the input layer, and the signals are transferred from one node (neuron) to another through the connections in the network. This is called the forward pass.
- Secondly, after obtaining the output from the forward pass, it is required to evaluate this output by comparing it with the target using the Mean Squared Error (), as expressed in Equation (9). This is called the backward pass.
- Moreover, it is needed to minimize the error by iteratively updating those processes until the is converged.where is the number of samples; and are the target and predicted values of the sample, respectively.
3.6. Multivariate Adaptive Regression Splines
- Construct a forward stepwise algorithm to select spline basis functions.
- Develop a backward stepwise algorithm to delete unnecessary basis functions until the optimal set is obtained.
4. Prediction of Shear Strength of Rectangular RC Columns
4.1. Existing Formulas for Calculating Shear Strength of RC Columns
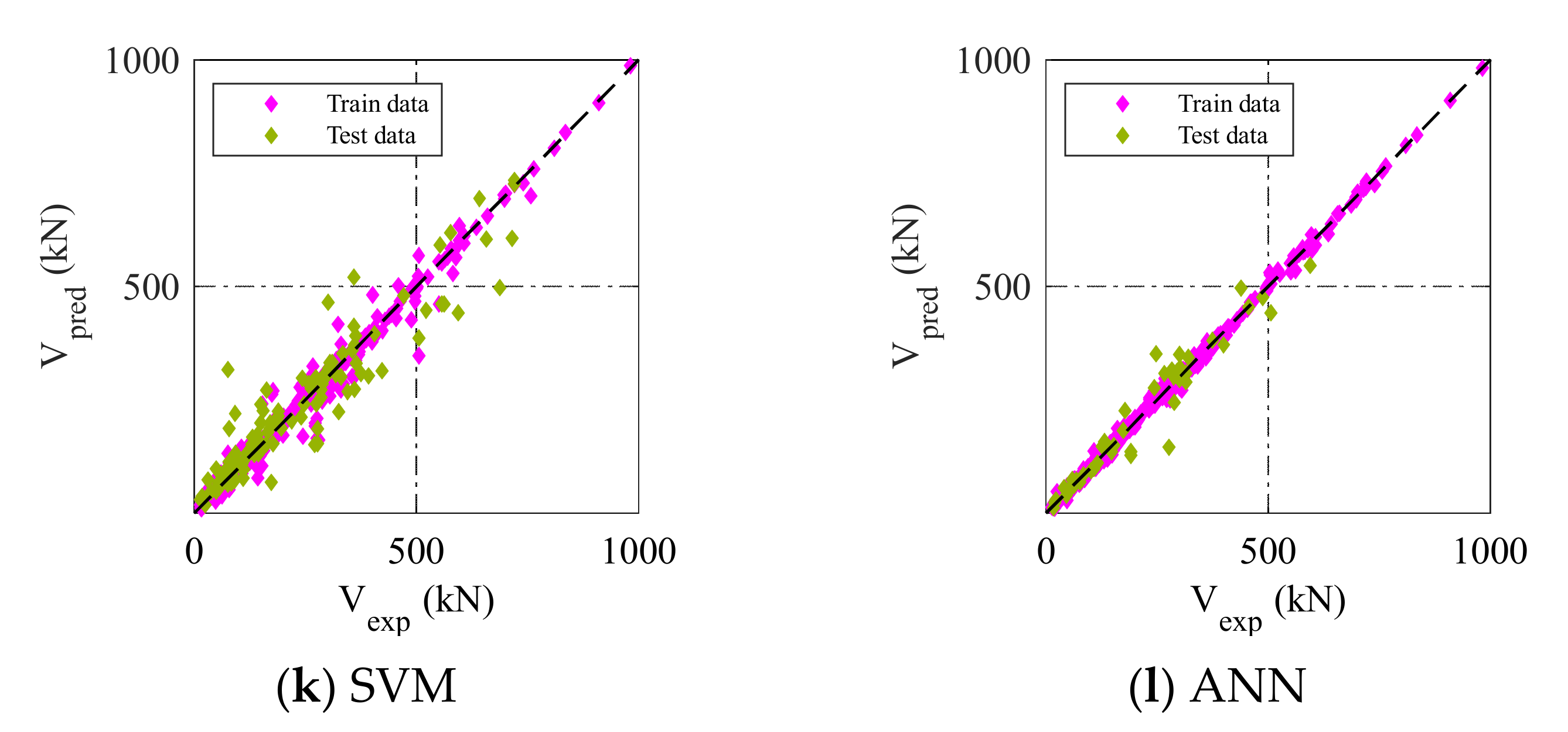
4.2. Performance of ML Models
4.3. Comparison of Performance between ML Models and Existing Equations
5. Failure Mode Classification Using Machine Learning Models
- (1)
- Randomly select a data point (i.e., sample) from the minority class.
- (2)
- Determine the nearest neighbors (e.g., 5 data points) of the selected sample.
- (3)
- Create synthetic samples between two data points in the feature space.
- Accuracy is expressed as the ratio of the sum of correct classifications to the total number of classes.
- Specificity represents the proportion of the negative class correctly classified.
- Sensitivity (i.e., recall) is measured as the ratio of the number of accurately predicted failure modes to the total number of failure modes considered in the data.
- AUC is the indicator for measuring the ability of an ML model to distinguish between classes. AUC is the area under the Receiver Operating Characteristic (ROC) curve, which is plotted by in the y-axis against in the x-axis. The higher the AUC, the better the performance of an ML model.
6. GUI Tool for Predicting Shear Strength and Failure Modes of Rectangular RC Columns
7. Conclusions
- The ANN and KNNs models predicted the shear strength of rectangular RC columns more accurately than that of existing formulas with an value larger than 0.99.
- Used ML models in this study identified the failure modes of rectangular RC columns precisely. Among them, the KNNs algorithm showed to be the optimal method in classifying the failure modes of rectangular RC column with a high accuracy of almost 100%.
- A practical GUI tool was developed and readily applied for predicting the shear strength and identifying failure modes of rectangular RC columns in the design process and structural performance evaluation.
Author Contributions
Funding
Data Availability Statement
Acknowledgments
Conflicts of Interest
References
- ASCE/SEI-41-06; Seismic Rehabilitation of Existing Buildings. Seismic Rehabilitation Standards Committee, American Society of Civil Engineers: Reston, VA, USA, 2007.
- ACI-318-14; Building Code Requirements for Structural Concrete and Commentary. American Concrete Institute: Farmington Hills, MI, USA, 2014.
- EC8; Eurocode 8: Design of Structures for Earthquake Resistance—Part 1: General Rules. Seismic Actions and Rules for Buildings. European Committee for Standardization: Brussels, Belgium, 2004.
- CSA. Design of Concrete Structures A23 3-14; Canadian Standards Association: Rexdale, ON, Canada, 2014. [Google Scholar]
- FEMA. NEHRP 273: Guidelines for the Seismic Rehabilitation of Buildings; Federal Emergency Management Agency: Washington, DC, USA, 1997.
- Ascheim, M.; Moehle, J. Shear Strength and Deformability of RC Bridge Columns subjected to Inelastic Cyclic Displacements; Technical report no. UCB/EERC-92/04; University of California at Berkeley: Berkeley, CA, USA, 1992. [Google Scholar]
- Priestley, M.N.; Verma, R.; Xiao, Y. Seismic shear strength of reinforced concrete columns. J. Struct. Eng. 1994, 120, 2310–2329. [Google Scholar] [CrossRef]
- Kowalsky, M.J.; Priestley, M.N. Improved analytical model for shear strength of circular reinforced concrete columns in seismic regions. ACI Struct. J. 2000, 97, 388–396. [Google Scholar]
- Sezen, H.; Moehle, J.P. Shear strength model for lightly reinforced concrete columns. J. Struct. Eng. 2004, 130, 1692–1703. [Google Scholar] [CrossRef]
- Biskinis, D.E.; Roupakias, G.K.; Fardis, M.N. Degradation of shear strength of reinforced concrete members with inelastic cyclic displacements. ACI Struct. J. 2004, 101, 773–783. [Google Scholar]
- Cassese, P.; De Risi, M.T.; Verderame, G.M. A modelling approach for existing shear-critical RC bridge piers with hollow rectangular cross section under lateral loads. Bul. Earthq. Eng. 2019, 17, 237–270. [Google Scholar] [CrossRef]
- Tran, C.T.N.; Li, B. Shear strength model for reinforced concrete columns with low transverse reinforcement ratios. Adv. Struct. Eng. 2014, 17, 1373–1385. [Google Scholar] [CrossRef]
- Caglar, N. Neural network based approach for determining the shear strength of circular reinforced concrete columns. Constr. Build. Mater. 2009, 23, 3225–3232. [Google Scholar] [CrossRef]
- Ketabdari, H.; Karimi, F.; Rasouli, M. Shear strength prediction of short circular reinforced-concrete columns using soft computing methods. Adv. Struct. Eng. 2020, 23, 3048–3061. [Google Scholar] [CrossRef]
- Fiore, A.; Marano, G.C.; Laucelli, D.; Monaco, P. Evolutionary modeling to evaluate the shear behavior of circular reinforced concrete columns. Adv. Civil. Eng. 2014, 2014, 1–14. [Google Scholar] [CrossRef]
- Said, A.; Gordon, N. Predicting Shear Strength of RC Columns Using Artificial Neural Networks. J. Build. Mater. Struct. 2019, 6, 64–76. [Google Scholar] [CrossRef]
- Aval, S.B.; Ketabdari, H.; Gharebaghi, S.A. Estimating shear strength of short rectangular reinforced concrete columns using nonlinear regression and gene expression programming. Structures 2017, 12, 13–23. [Google Scholar] [CrossRef]
- Yu, B.; Liu, S.; Li, B. Probabilistic calibration for shear strength models of reinforced concrete columns. J. Struct. Eng. 2019, 145, 04019026. [Google Scholar] [CrossRef]
- Inel, M. Modeling ultimate deformation capacity of RC columns using artificial neural networks. Eng. Struct. 2007, 29, 329–335. [Google Scholar] [CrossRef]
- Naderpour, H.; Mirrashid, M. Moment capacity estimation of spirally reinforced concrete columns using ANFIS. Complex Intell. Syst. 2020, 6, 97–107. [Google Scholar] [CrossRef]
- Naderpour, H.; Parsa, P.; Mirrashid, M. Innovative Approach for Moment Capacity Estimation of Spirally Reinforced Concrete Columns Using Swarm Intelligence–Based Algorithms and Neural Network. Pract. Period. Struct. Des. Constr. 2021, 26, 04021043. [Google Scholar] [CrossRef]
- Feng, D.-C.; Cetiner, B.; Azadi Kakavand, M.R.; Taciroglu, E. Data-driven approach to predict the plastic hinge length of reinforced concrete columns and its application. J. Struct. Eng. 2021, 147, 04020332. [Google Scholar] [CrossRef]
- Lee, C.S.; Park, Y.; Jeon, J.-S. Model parameter prediction of lumped plasticity model for nonlinear simulation of circular reinforced concrete columns. Eng. Struct. 2021, 245, 112820. [Google Scholar] [CrossRef]
- Aldabagh, S.; Hossain, F.; Alam, M.S. Simplified Predictive Expressions of Drift Limit States for Reinforced Concrete Circular Bridge Columns. J. Struct. Eng. 2022, 148, 04021285. [Google Scholar] [CrossRef]
- Azadi Kakavand, M.R.; Sezen, H.; Taciroglu, E. Data-driven models for predicting the shear strength of rectangular and circular reinforced concrete columns. J. Struct. Eng. 2021, 147, 04020301. [Google Scholar] [CrossRef]
- Feng, D.-C.; Liu, Z.-T.; Wang, X.-D.; Jiang, Z.-M.; Liang, S.-X. Failure mode classification and bearing capacity prediction for reinforced concrete columns based on ensemble machine learning algorithm. Adv. Eng. Inf. 2020, 45, 101126. [Google Scholar] [CrossRef]
- Asteris, P.G.; Armaghani, D.J.; Hatzigeorgiou, G.D.; Karayannis, C.G.; Pilakoutas, K. Predicting the shear strength of reinforced concrete beams using Artificial Neural Networks. Comput. Concr. 2019, 24, 469–488. [Google Scholar]
- Cakiroglu, C.; Islam, K.; Bekdaş, G.; Kim, S.; Geem, Z.W. Interpretable Machine Learning Algorithms to Predict the Axial Capacity of FRP-Reinforced Concrete Columns. Materials 2022, 15, 2742. [Google Scholar] [CrossRef] [PubMed]
- Marani, A.; Nehdi, M.L. Predicting shear strength of FRP-reinforced concrete beams using novel synthetic data driven deep learning. Eng. Struct. 2022, 257, 114083. [Google Scholar] [CrossRef]
- Wakjira, T.G.; Ebead, U.; Alam, M.S. Machine learning-based shear capacity prediction and reliability analysis of shear-critical RC beams strengthened with inorganic composites. Case Stud. Construct. Mater. 2022, 16, e01008. [Google Scholar] [CrossRef]
- De Domenico, D.; Ricciardi, G. Shear strength of RC beams with stirrups using an improved Eurocode 2 truss model with two variable-inclination compression struts. Eng. Struct. 2019, 198, 109359. [Google Scholar] [CrossRef]
- Quaranta, G.; De Domenico, D.; Monti, G. Machine-learning-aided improvement of mechanics-based code-conforming shear capacity equation for RC elements with stirrups. Eng. Struct. 2022, 267, 114665. [Google Scholar] [CrossRef]
- Zhu, L.; Elwood, K.; Haukaas, T. Classification and seismic safety evaluation of existing reinforced concrete columns. J. Struct. Eng. 2007, 133, 1316–1330. [Google Scholar] [CrossRef]
- Qi, Y.-l.; Han, X.-l.; Ji, J. Failure mode classification of reinforced concrete column using Fisher method. J. Cent. South Univ. 2013, 20, 2863–2869. [Google Scholar] [CrossRef]
- Pekelnicky, R.; Engineers, S.; Chris Poland, S.; Engineers, N. ASCE 41-13: Seismic evaluation and retrofit rehabilitation of existing buildings. In Proceedings of the SEAOC 2012, Santa Fe, NM, USA, 12–15 September 2012. [Google Scholar]
- Ma, Y.; Gong, J.-X. Probability identification of seismic failure modes of reinforced concrete columns based on experimental observations. J. Earthq. Eng. 2018, 22, 1881–1899. [Google Scholar] [CrossRef]
- Ghee, A.B.; Priestley, M.N.; Paulay, T. Seismic shear strength of circular reinforced concrete columns. ACI Struct. J. 1989, 86, 45–59. [Google Scholar]
- Ning, C.-L.; Feng, D.-C. Probabilistic indicator to classify the failure mode of reinforced-concrete columns. Mag. Concr. Res. 2019, 71, 734–748. [Google Scholar] [CrossRef]
- Berry, M.; Parrish, M.; Eberhard, M. PEER Structural Performance Database User’s Manual (Version 1.0); University of California: Berkeley, CA, USA, 2004. [Google Scholar]
- Mangalathu, S.; Jeon, J.-S. Machine learning–based failure mode recognition of circular reinforced concrete bridge columns: Comparative study. J. Struct. Eng. 2019, 145, 04019104. [Google Scholar] [CrossRef]
- Mangalathu, S.; Hwang, S.-H.; Jeon, J.-S. Failure mode and effects analysis of RC members based on machine-learning-based SHapley Additive exPlanations (SHAP) approach. Eng. Struct. 2020, 219, 110927. [Google Scholar] [CrossRef]
- Lundberg, S.M.; Lee, S.-I. A unified approach to interpreting model predictions. Adv. Neural Inf. Process. Syst. 2017, 30, 4765–4774. [Google Scholar]
- Naderpour, H.; Mirrashid, M.; Parsa, P. Failure mode prediction of reinforced concrete columns using machine learning methods. Eng. Struct. 2021, 248, 113263. [Google Scholar] [CrossRef]
- Ghannoum, W.; Sivaramakrishnan, B.; Pujol, S.; Catlin, A.; Fernando, S.; Yoosuf, N. ACI 369 rectangular column database. Network for Earthquake Engineering Simulation (Database), Dataset. 2012. Available online: https://datacenterhub.org/dataviewer/view/neesdatabases:db/aci_369_rectangular_column_database/ (accessed on 13 February 2021).
- Belkacem, M.A.; Bechtoula, H.; Bourahla, N.; Belkacem, A.A. Effect of axial load and transverse reinforcements on the seismic performance of reinforced concrete columns. Front. Struct. Civ. Eng. 2019, 13, 831–851. [Google Scholar] [CrossRef]
- Wang, D.; Li, H.-N.; Li, G. Experimental study on dynamic mechanical properties of reinforced concrete column. J. Reinf. Plast. Compos. 2013, 32, 1793–1806. [Google Scholar] [CrossRef]
- Xiao, J.; Zhang, C. Seismic behavior of RC columns with circular, square and diamond sections. Constr. Build. Mater. 2008, 22, 801–810. [Google Scholar] [CrossRef]
- Rodrigues, H.; Furtado, A.; Arêde, A. Behavior of rectangular reinforced-concrete columns under biaxial cyclic loading and variable axial loads. J. Struct. Eng. 2016, 142, 04015085. [Google Scholar] [CrossRef]
- Melo, J.; Varum, H.; Rossetto, T. Experimental cyclic behaviour of RC columns with plain bars and proposal for Eurocode 8 formula improvement. Eng. Struct. 2015, 88, 22–36. [Google Scholar] [CrossRef]
- Yun, H.W. Full-Scale Experimental and Analytical Studies on High-Strength Concrete Columns; University of Southern California: Los Angeles, CA, USA, 2003. [Google Scholar]
- Ongsupankul, S.; Kanchanalai, T.; Kawashima, K. Behavior of reinforced concrete bridge pier columns subjected to moderate seismic load. Sci. Asia 2007, 33, 175–185. [Google Scholar] [CrossRef]
- Ho, J.C.M. Experimental tests on high-strength concrete columns subjected to combined medium axial load and flexure. Adv. Struct. Eng. 2012, 15, 1359–1374. [Google Scholar] [CrossRef]
- Mo, Y.-L.; Wang, S. Seismic behavior of RC columns with various tie configurations. J. Struct. Eng. 2000, 126, 1122–1130. [Google Scholar] [CrossRef]
- Wu, D.; Ding, Y.; Su, J.; Li, Z.-X.; Zong, L.; Feng, K. Effects of tie detailing configurations on reinforcement buckling and seismic performance of high-strength RC columns. Soil Dyn. Earthq. Eng. 2021, 147, 106791. [Google Scholar] [CrossRef]
- Woodward, K.A.; Jirsa, J.O. Influence of reinforcement on RC short column lateral resistance. J. Struct. Eng. 1984, 110, 90–104. [Google Scholar] [CrossRef]
- Lam, S.S.E.; Wu, B.; Wong, Y.; Wang, Z.; Liu, Z.; Li, C. Drift capacity of rectangular reinforced concrete columns with low lateral confinement and high-axial load. J. Struct. Eng. 2003, 129, 733–742. [Google Scholar] [CrossRef]
- Hwang, S.-K.; Yun, H.-D. Effects of transverse reinforcement on flexural behaviour of high-strength concrete columns. Eng. Struct. 2004, 26, 1–12. [Google Scholar] [CrossRef]
- Ahn, J.-M.; Shin, S.-W. An evaluation of ductility of high-strength reinforced concrete columns subjected to reversed cyclic loads under axial compression. Mag. Conc. Res. 2007, 59, 29–44. [Google Scholar] [CrossRef]
- Woods, J.M.; Kiousis, P.D.; Ehsani, M.R.; Saadatmanesh, H.; Fritz, W. Bending ductility of rectangular high strength concrete columns. Eng. Struct. 2007, 29, 1783–1790. [Google Scholar] [CrossRef]
- Marefat, M.; Khanmohammadi, M.; Bahrani, M.; Goli, A. Experimental assessment of reinforced concrete columns with deficient seismic details under cyclic load. Adv. Struct. Eng. 2006, 9, 337–347. [Google Scholar] [CrossRef]
- Xiao, X.; Guan, F.; Yan, S. Use of ultra-high-strength bars for seismic performance of rectangular high-strength concrete frame columns. Mag. Conc. Res. 2008, 60, 253–259. [Google Scholar] [CrossRef]
- Bae, S.; Bayrak, O. Plastic hinge length of reinforced concrete columns. ACI Struct. J. 2008, 105, 290. [Google Scholar]
- Tran, C.T.N. Experimental and Analytical Studies on the Seismic Behavior of Reinforced Concrete Columns with Light Transverse Reinforcement; Nanyang Technological University Singapore: Singapore, 2010. [Google Scholar]
- Ou, Y.-C.; Kurniawan, D.P.; Handika, N. Shear behavior of reinforced concrete columns with high-strength steel and concrete under low axial load. ACI Spec. Publ. 2013, 293, 1–12. [Google Scholar]
- Martirossyan, A.; Xiao, Y. Flexural-shear behavior of high-strength concrete short columns. Earthq. Spectra 2001, 17, 679–695. [Google Scholar] [CrossRef]
- Li, Y.-A.; Huang, Y.-T.; Hwang, S.-J. Seismic response of reinforced concrete short columns failed in shear. ACI Struct. J. 2014, 111, 945. [Google Scholar] [CrossRef]
- Nakamura, T.; Yoshimura, M. Gravity load collapse of reinforced concrete columns with brittle failure modes. J. Asian Archit. Build. Eng. 2002, 1, 21–27. [Google Scholar] [CrossRef]
- Nakamura, T.; Yoshimura, M. Gravity load collapse of reinforced concrete columns with decreased axial load. In Proceedings of the 2nd European Conference on Earthquake Engineering and Seismology, Istanbul, Turkey, 25–29 August 2014. [Google Scholar]
- Popa, V.; Cotofana, D.; Vacareanu, R. Effective stiffness and displacement capacity of short reinforced concrete columns with low concrete quality. Bull. Earthq. Eng. 2014, 12, 2705–2721. [Google Scholar] [CrossRef]
- Jin, C.; Pan, Z.; Meng, S.; Qiao, Z. Seismic behavior of shear-critical reinforced high-strength concrete columns. J. Struct. Eng. 2015, 141, 04014198. [Google Scholar] [CrossRef]
- EL-Attar, M.M.; El-Karmoty, H.Z.; EL-Moneim, A.A. The behavior of ultra-high-strength reinforced concrete columns under axial and cyclic lateral loads. HBRC, J. 2016, 12, 284–295. [Google Scholar] [CrossRef][Green Version]
- Eom, T.-S.; Kang, S.-M.; Park, H.-G.; Choi, T.-W.; Jin, J.-M. Cyclic loading test for reinforced concrete columns with continuous rectangular and polygonal hoops. Eng. Struct. 2014, 67, 39–49. [Google Scholar] [CrossRef]
- Elwood, K.J.; Moehle, J.P. Drift capacity of reinforced concrete columns with light transverse reinforcement. Earthq. Spectra. 2005, 21, 71–89. [Google Scholar] [CrossRef]
- Sezen, H. Seismic Response and Modeling of Reinforced Concrete Building Columns. Ph.D. Thesis, Department of Civil and Environmental Engineering, University of California, Berkeley, CA, USA, 2002. [Google Scholar]
- Esaki, F. Reinforcing effect of steel plate hoops on ductility of R/C square columns. In Proceedings of the 11th World Conference on Earthquake Engineering, Acapulco, Mexico, 23–28 June 1996; pp. 23–29. [Google Scholar]
- Li, X.; Park, R.; Tanaka, H. Effects of variations in axial load level on the strength and ductility of reinforced concrete columns. In Proceedings of the Pacific Conference on Earthquake Engineering, Auckland, New Zealand, 20–23 November 1991. [Google Scholar]
- Yalcin, C. Seismic evaluation and retrofit of existing reinforced concrete bridge columns. Ph.D. Thesis, Department of Civil Engineering, University of Ottawa, Ottawa, ON, USA, 1997. [Google Scholar]
- Opabola, E.A.; Elwood, K.J.; Oliver, S. Deformation capacity of reinforced concrete columns with smooth reinforcement. Bull. Earthq. Eng. 2019, 17, 2509–2532. [Google Scholar] [CrossRef]
- Goksu, C.; Yilmaz, H.; Chowdhury, S.; Orakcal, K.; Ilki, A. The effect of lap splice length on the cyclic lateral load behavior of RC members with low-strength concrete and plain bars. Adv. Struct. Eng. 2014, 17, 639–658. [Google Scholar] [CrossRef]
- Zhang, Y.; Zheng, S.; Rong, X.; Dong, L.; Zheng, H. Seismic performance of reinforced concrete short columns subjected to freeze–thaw cycles. Appl. Sci. 2019, 9, 2708. [Google Scholar] [CrossRef]
- Verderame, G.M.; Fabbrocino, G.; Manfredi, G. Seismic response of rc columns with smooth reinforcement. Part I: Monotonic tests. Eng. Struct. 2008, 30, 2277–2288. [Google Scholar] [CrossRef]
- Verderame, G.M.; Fabbrocino, G.; Manfredi, G. Seismic response of rc columns with smooth reinforcement. Part II: Cyclic tests. Eng. Struct. 2008, 30, 2289–2300. [Google Scholar] [CrossRef]
- Bousias, S.; Spathis, A.-L.; Fardis, M.N. Seismic retrofitting of columns with lap spliced smooth bars through FRP or concrete jackets. J. Earthq. Eng. 2007, 11, 653–674. [Google Scholar] [CrossRef]
- Arani, K.K.; Di Ludovico, M.; Marefat, M.S.; Prota, A.; Manfredi, G. Lateral response evaluation of old type reinforced concrete columns with smooth bars. ACI Struct. J. 2014, 111, 827–838. [Google Scholar] [CrossRef]
- Di Ludovico, M.; Verderame, G.; Prota, A.; Manfredi, G.; Cosenza, E. Cyclic behavior of nonconforming full-scale RC columns. J. Struct. Eng. 2014, 140, 04013107. [Google Scholar] [CrossRef]
- Ilki, A.; Demir, C.; Bedirhanoglu, I.; Kumbasar, N. Seismic retrofit of brittle and low strength RC columns using fiber reinforced polymer and cementitious composites. Adv. Struct. Eng. 2009, 12, 325–347. [Google Scholar] [CrossRef]
- Pham, T.P.; Li, B. Seismic performance of reinforced concrete columns with plain longitudinal reinforcing bars. ACI Struc. J. 2014, 111, 561. [Google Scholar] [CrossRef]
- Arani, K.K.; Marefat, M.S.; Amrollahi-Biucky, A.; Khanmohammadi, M. Experimental seismic evaluation of old concrete columns reinforced by plain bars. The Struct. Des. Tall Spec. Build. 2013, 22, 267–290. [Google Scholar] [CrossRef]
- Shi, Q.; Ma, L.; Wang, Q.; Wang, B.; Yang, K. Seismic performance of square concrete columns reinforced with grade 600 MPa longitudinal and transverse reinforcement steel under high axial load. Structures 2021, 32, 1955–1970. [Google Scholar] [CrossRef]
- Zhang, J.; Cai, R.; Li, C.; Liu, X. Seismic behavior of high-strength concrete columns reinforced with high-strength steel bars. Eng. Struct. 2020, 218, 110861. [Google Scholar] [CrossRef]
- Dinh, N.H.; Park, S.-H.; Choi, K.-K. Seismic performance of reinforced concrete columns retrofitted by textile-reinforced mortar jackets. Struct. Infrastruct. Eng. 2020, 16, 1364–1381. [Google Scholar] [CrossRef]
- Kim, C.-G.; Park, H.-G.; Eom, T.-S. Effects of Type of Bar Lap Splice on Reinforced Concrete Columns Subjected to Cyclic Loading. ACI Struct. J. 2019, 116, 183–194. [Google Scholar] [CrossRef]
- Hwang, H.-J.; Noh, J.-O.; Park, H.-G. Structural capacity of reinforced concrete columns with U-shaped transverse bars. Eng. Struct. 2020, 216, 110686. [Google Scholar] [CrossRef]
- Choi, K.-K.; Truong, G.T.; Kim, J.-C. Seismic performance of lightly shear reinforced RC columns. Eng. Struct. 2016, 126, 490–504. [Google Scholar] [CrossRef]
- Kim, C.-G.; Eom, T.-S.; Park, H.-G. Cyclic Load Test of Reinforced Concrete Columns with V-Shaped Ties. ACI Struct. J. 2020, 117, 91–102. [Google Scholar]
- Sezen, H.; Moehle, J.P. Seismic tests of concrete columns with light transverse reinforcement. ACI Struct. J. 2006, 103, 842. [Google Scholar]
- Li, Y.; Cao, S.; Jing, D. Concrete Columns Reinforced with High-Strength Steel Subjected to Reversed Cycle Loading. ACI Struct. J. 2018, 115, 10378–11048. [Google Scholar] [CrossRef]
- Barrera, A.; Bonet, J.; Romero, M.L.; Miguel, P. Experimental tests of slender reinforced concrete columns under combined axial load and lateral force. Eng. Struct. 2011, 33, 3676–3689. [Google Scholar] [CrossRef]
- Melek, M.; Wallace, J.W. Cyclic behavior of columns with short lap splices. ACI Struct. J. 2004, 101, 802–811. [Google Scholar]
- Kim, C.-G.; Park, H.-G.; Eom, T.-S. Seismic performance of reinforced concrete columns with lap splices in plastic hinge region. ACI Struct. J. 2018, 115, 235–245. [Google Scholar] [CrossRef]
- Yang, W.X.; Shi, Q.X.; Sun, H.X. Experimental Studies on Seismic Performance of High Strength Reinforced Concrete Columns. Appl. Mech. Mater. Trans. Tech. Publ. 2012, 166, 919–926. [Google Scholar] [CrossRef]
- Zhang, X.; Li, T.; ZHang, L. Experimental study on the seismic behavior of reinforced concrete short columns with high-strength longitudinal reinforcements. In Proceedings of the 2011 Second International Conference on Mechanic Automation and Control Engineering, Inner Mongolia, China, 15–17 July 2011; IEEE: Piscataway, NJ, USA, 2011; pp. 5807–5810. [Google Scholar]
- Nojavan, A. Performance of Full-Scale Reinforced Concrete Columns Subjected to Extreme Earthquake Loading; University of Minnesota: Minneapolis, MN, USA, 2015. [Google Scholar]
- Kotu, V.; Deshpande, B. Data Science: Concepts and Practice; Morgan Kaufmann: Campbridge, MA, USA, 2018. [Google Scholar]
- Breiman, L.; Friedman, J.; Stone, C.J.; Olshen, R.A. Classification and Regression Trees; CRC Press: Boca Raton, FL, USA, 1984. [Google Scholar]
- Vapnik, V. The support vector method of function estimation. In Nonlinear Modeling; Springer: Berlin/Heidelberg, Germany, 1998; pp. 55–85. [Google Scholar]
- Nikbin, I.M.; Rahimi, S.; Allahyari, H. A new empirical formula for prediction of fracture energy of concrete based on the artificial neural network. Eng. Fract. Mech. 2017, 186, 466–482. [Google Scholar] [CrossRef]
- Tran, V.-L.; Thai, D.-K.; Kim, S.-E. Application of ANN in predicting ACC of SCFST column. Compos. Struct. 2019, 228, 111332. [Google Scholar] [CrossRef]
- Tran, V.-L.; Thai, D.-K.; Kim, S.-E. A new empirical formula for prediction of the axial compression capacity of CCFT columns. Steel Compos. Struct. 2019, 33, 181–194. [Google Scholar]
- Tran, V.-L.; Kim, S.-E. A practical ANN model for predicting the PSS of two-way reinforced concrete slabs. Eng. Comput 2021, 37, 2303–2327. [Google Scholar] [CrossRef]
- Tran, V.-L.; Thai, D.-K.; Nguyen, D.-D. Practical artificial neural network tool for predicting the axial compression capacity of circular concrete-filled steel tube columns with ultra-high-strength concrete. Thin-Walled Struct. 2020, 151, 106720. [Google Scholar] [CrossRef]
- Nguyen, M.-S.T.; Thai, D.-K.; Kim, S.-E. Predicting the axial compressive capacity of circular concrete filled steel tube columns using an artificial neural network. Steel Compos. Struct. 2020, 35, 415–437. [Google Scholar]
- Nguyen, D.-D.; Tran, V.-L.; Ha, D.-H.; Nguyen, V.-Q.; Lee, T.-H. A machine learning-based formulation for predicting shear capacity of squat flanged RC walls. Structures 2021, 29, 1734–1747. [Google Scholar] [CrossRef]
- Silva, F.A.; Delgado, J.M.; Cavalcanti, R.S.; Azevedo, A.C.; Guimarães, A.S.; Lima, A.G. Use of nondestructive testing of ultrasound and artificial neural networks to estimate compressive strength of concrete. Buildings 2021, 11, 44. [Google Scholar] [CrossRef]
- Sirimontree, S.; Keawsawasvong, S.; Ngamkhanong, C.; Seehavong, S.; Sangjinda, K.; Jearsiripongkul, T.; Thongchom, C.; Nuaklong, P. Neural Network-Based Prediction Model for the Stability of Unlined Elliptical Tunnels in Cohesive-Frictional Soils. Buildings 2022, 12, 444. [Google Scholar] [CrossRef]
- Almasabha, G.; Alshboul, O.; Shehadeh, A.; Almuflih, A.S. Machine Learning Algorithm for Shear Strength Prediction of Short Links for Steel Buildings. Buildings 2022, 12, 775. [Google Scholar] [CrossRef]
- Luat, N.V.; Lee, K.; Thai, D.K. Application of artificial neural networks in settlement prediction of shallow foundations on sandy soils. Geomech. Eng. 2020, 20, 385–397. [Google Scholar]
- Friedman, J.H. Multivariate adaptive regression splines. Ann. Stat. 1991, 19, 1–67. [Google Scholar] [CrossRef]
- Luat, N.V.; Nguyen, V.Q.; Lee, S.; Woo, S.; Lee, K. An evolutionary hybrid optimization of MARS model in predicting settlement of shallow foundations on sandy soils. Geomech. Eng. 2020, 21, 583–598. [Google Scholar]
- Chawla, N.V.; Bowyer, K.W.; Hall, L.O.; Kegelmeyer, W.P. SMOTE: Synthetic minority over-sampling technique. J. Artif. Intell. Res. 2002, 16, 321–357. [Google Scholar] [CrossRef]























| Input Parameter | (mm) | (mm) | (mm) | (mm) | (MPa) | (MPa) | (MPa) | (%) | (%) | (kN) |
|---|---|---|---|---|---|---|---|---|---|---|
| (Variable) | (X1) | (X2) | (X3) | (X4) | (X5) | (X6) | (X7) | (X8) | (X9) | (X10) |
| Min | 225 | 150 | 100 | 20 | 20 | 313 | 215 | 0.20 | 0.01 | 0.0 |
| Mean | 1286 | 284 | 301 | 101 | 49 | 448 | 496 | 2.15 | 0.94 | 1130 |
| Max | 3000 | 610 | 610 | 457 | 141 | 745 | 1470 | 4.50 | 4.00 | 5492 |
| 647 | 109 | 115 | 77 | 27 | 77 | 222 | 0.69 | 0.94 | 1069 | |
| 0.53 | 0.38 | 0.38 | 0.76 | 0.55 | 0.17 | 0.45 | 0.32 | 0.99 | 0.95 |
| ID | Model | Expression | Equation |
|---|---|---|---|
| 1 | ACI 318 [2] | (12) | |
| 2 | CSA [4] | (13) | |
| 3 | FEMA 273 [5] | for low ductility demand. for moderate and high ductility demand. | (14) |
| 4 | EC8 [3] | (15) | |
| 5 | Ascheim and Moehle [6] | , is the displacement ductility | (16) |
| 6 | Sezen and Moehle [9] (ASCE/SEI 41-06 [1]) | ; for for ; for is the shear span, (i.e., the distance from loading point to the boundary). | (17) |
| Model | |||
|---|---|---|---|
| ACI 318 [2] | 0.254 | 0.197 | 133.8 |
| CSA [4] | 0.463 | 0.211 | 136.9 |
| FEMA 273 [5] | 0.180 | 0.187 | 149.0 |
| EC8 [3] | 0.627 | 0.174 | 128.3 |
| Ascheim and Moehle [6] | 0.186 | 0.194 | 208.5 |
| Sezen and Moehle [9] | 0.529 | 0.338 | 108.5 |
| MARSs | 0.897 (0.845) | 0.503 (0.537) | 54.65 (71.99) |
| DT | 0.962 (0.847) | 0.855 (0.660) | 33.59 (70.18) |
| KNNs | 1.000 (0.876) | 1.000 (0.765) | 0.000 (51.54) |
| SVM | 0.982 (0.874) | 0.894 (0.602) | 22.78 (63.86) |
| ANN | 0.998 (0.938) | 0.976 (0.830) | 8.08 (36.00) |
| Model | Accuracy | Sensitivity | Specificity | AUC |
|---|---|---|---|---|
| NBs | 0.667 (0.653) | 0.838 (0.940) | 0.754 (0.710) | 0.666 (0.807) |
| DT | 0.954 (0.890) | 0.957 (0.909) | 0.986 (0.955) | 0.954 (0.966) |
| KNNs | 1.000 (0.980) | 1.000 (1.000) | 1.000 (1.000) | 1.000 (0.970) |
| SVM | 1.000 (0.905) | 1.000 (0.970) | 1.000 (0.940) | 1.000 (0.951) |
Publisher’s Note: MDPI stays neutral with regard to jurisdictional claims in published maps and institutional affiliations. |
© 2022 by the authors. Licensee MDPI, Basel, Switzerland. This article is an open access article distributed under the terms and conditions of the Creative Commons Attribution (CC BY) license (https://creativecommons.org/licenses/by/4.0/).
Share and Cite
Phan, V.-T.; Tran, V.-L.; Nguyen, V.-Q.; Nguyen, D.-D. Machine Learning Models for Predicting Shear Strength and Identifying Failure Modes of Rectangular RC Columns. Buildings 2022, 12, 1493. https://doi.org/10.3390/buildings12101493
Phan V-T, Tran V-L, Nguyen V-Q, Nguyen D-D. Machine Learning Models for Predicting Shear Strength and Identifying Failure Modes of Rectangular RC Columns. Buildings. 2022; 12(10):1493. https://doi.org/10.3390/buildings12101493
Chicago/Turabian StylePhan, Van-Tien, Viet-Linh Tran, Van-Quang Nguyen, and Duy-Duan Nguyen. 2022. "Machine Learning Models for Predicting Shear Strength and Identifying Failure Modes of Rectangular RC Columns" Buildings 12, no. 10: 1493. https://doi.org/10.3390/buildings12101493
APA StylePhan, V.-T., Tran, V.-L., Nguyen, V.-Q., & Nguyen, D.-D. (2022). Machine Learning Models for Predicting Shear Strength and Identifying Failure Modes of Rectangular RC Columns. Buildings, 12(10), 1493. https://doi.org/10.3390/buildings12101493

