Fracture Mechanical Properties of Steel Fiber Reinforced Self-Compacting Concrete under Dry–Wet Cycle Sulfate Attack
Abstract
:1. Introduction
2. Materials and Methods
2.1. Materials
2.2. Mixture Ratio and Physical and Mechanical Properties of SFSCC
2.3. Three-Point Bending Test
2.4. Dry–Wet Circle Sulfate Attack
2.5. SEM Analysis of SFSCC Section
3. Experimental Results and Discussion
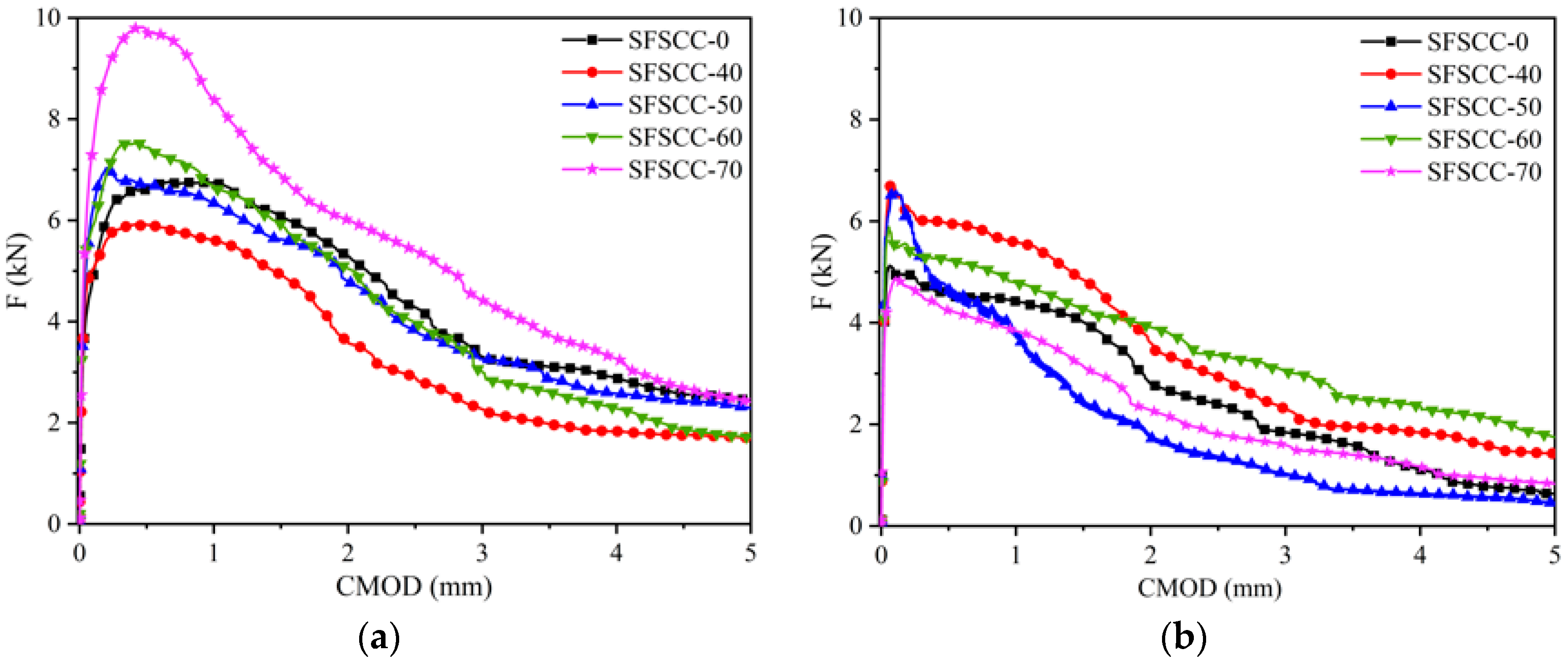
3.1. F–CMOD Curve Characteristics
3.2. Fracture Toughness and Peak Load
3.3. Fracture Energy
3.4. Retention Ratio of Fracture Parameters
3.5. Microstructure of SFSCC before and after the Dry–Wet Cycle of Sulfate Attack
4. Conclusions
- (1)
- The F–CMOD curve of SFSCC changed from a steamed bread peak to a sharp peak under 30 dry–wet cycles of sulfate attack. The KIC, Fpeak, and GF of SFSCC increased with the increase in the fly ash content, and those of SFSCC-70 were the highest of all, which were 46%, 21%, and 43% higher than the benchmark SFSCC-0, respectively. The fracture parameters of the attacked SFSCC decreased with an increase in the fly ash content, KIC, Fpeak, and GF of SFSCC-40 all reached a peak and increased by 33%, 32%, and 30% compared with SFSCC-0, respectively.
- (2)
- When the contents of fly ash were 40 w%, 50 w%, and 60 w%, the retention ratio of the fracture parameters was higher than that of SFSCC-0. The compressive strength, fracture parameters, and retention ratio of SFSCC-50 were higher or close to those of SFSCC-0, in other words, when the content of fly ash was 50%, SFSCC had good bearing capacity, fracture mechanical properties, and corrosion resistance.
- (3)
- The hardened structure of SFSCC-0 and SFSCC-40 was dense, and the hydration products of SFSCC-40 were finer than SFSCC-0. The microstructures of SFSCC-50 and SFSCC-60 were composed of the layered stacking CH crystals, fly ash microbeads, pores, and micro-cracks. The corrosion product of SFSCC-0 with 30 dry-wet cycles of sulfate attack was ettringite, and its damage was caused by local expansion, but SFSCC-40 had no obvious corrosion products. The white corrosion products at the interface of the hydration products were observed in the cross-sections of SFSCC-50 and SFSCC-60, and the microstructure of SFSCC-60 became looser.
Author Contributions
Funding
Institutional Review Board Statement
Informed Consent Statement
Data Availability Statement
Conflicts of Interest
References
- Cefis, N.; Comi, C. Chemo-mechanical modelling of the external sulfate attack in concrete. Cem. Concr. Res. 2017, 93, 57–70. [Google Scholar] [CrossRef]
- Najjar, M.F.; Nehdi, M.L.; Soliman, A.M.; Azabi, T.M. Damage mechanisms of two-stage concrete exposed to chemical and physical sulfate attack. Constr. Build. Mater. 2017, 137, 141–152. [Google Scholar] [CrossRef]
- Scherer, G.W. Stress from crystallization of salt. Cem. Concr. Res. 2004, 34, 1613–1624. [Google Scholar] [CrossRef]
- Novak, G.A.; Colville, A.A. Efflorescent mineral assemblages associated with cracked and degraded residential concrete foundations in Southern California. Cem. Concr. Res. 1989, 19, 1–6. [Google Scholar] [CrossRef]
- Ikumi, T.; Segura, I. Numerical assessment of external sulfate attack in concrete structures: A review. Cem. Concr. Res. 2019, 121, 91–105. [Google Scholar] [CrossRef]
- Elahi, M.M.A.; Shearer, C.R.; Reza, A.N.R.; Saha, A.K.; Khan, M.N.N.; Hossain, M.M.; Sarker, P.K. Improving the sulfate attack resistance of concrete by using supplementary cementitious materials (SCMs): A review. Constr. Build. Mater. 2021, 281, 122628. [Google Scholar] [CrossRef]
- Prithiviraj, C.; Swaminathan, P.; Kumar, D.R.; Murali, G.; Vatin, N.I. Fresh and Hardened Properties of Self-Compacting Concrete Comprising a Copper Slag. Buildings 2022, 12, 965. [Google Scholar] [CrossRef]
- Gao, J.; Yu, Z.; Song, L.; Wang, T.; Wei, S. Durability of concrete exposed to sulfate attack under flexural loading and drying-wetting cycles. Constr. Build. Mater. 2013, 39, 33–38. [Google Scholar] [CrossRef]
- Jiang, L.; Niu, D. Study of deterioration of concrete exposed to different types of sulfate solutions under drying-wetting cycles. Constr. Build. Mater. 2016, 17, 88–89. [Google Scholar] [CrossRef]
- Li, Y.; Wang, R.; Li, S.; Zhao, Y.; Qin, Y. Resistance of recycled aggregate concrete containing low- and high-volume fly ash against the combined action of freeze-thaw cycles and sulfate attack. Constr. Build. Mater. 2018, 166, 23–34. [Google Scholar] [CrossRef]
- Wang, D.; Zhou, X.; Meng, Y.; Chen, Z. Durability of concrete containing fly ash and silica fume against combined freezing-thawing and sulfate attack. Constr. Build. Mater. 2017, 147, 398–406. [Google Scholar] [CrossRef]
- Jain, A.; Choudhary, S.; Gupta, R.; Chaudhary, S.; Gautam, L. Effect of granite industry waste addition on durability properties of fly ash blended self-compacting concrete. Constr. Build. Mater. 2022, 340, 127727. [Google Scholar] [CrossRef]
- Ji, G.; Peng, X.; Wang, W.; Hu, C.; Ran, P.; Sun, K.; Zeng, L. Influence of magnesium slag as a mineral admixture on the performance of concrete. Constr. Build. Mater. 2021, 295, 123619. [Google Scholar] [CrossRef]
- Yi, Y.; Zhu, D.; Guo, S.; Zhang, Z.; Shi, C. A review on the deterioration and approaches to enhance the durability of concrete in the marine environment. Cem. Concr. Compos. 2020, 113, 103695. [Google Scholar] [CrossRef]
- Wang, D.; Ma, Y.; Kang, M.; Ju, Y.; Zeng, C. Durability of reactive powder concrete containing mineral admixtures in seawater erosion environment. Constr. Build. Mater. 2021, 306, 124863. [Google Scholar] [CrossRef]
- Jin, Z.; Sun, W.; Zhang, Y.; Jiang, J.; Lai, J. Interaction between sulfate and chloride solution attack of concretes with and without fly ash. Cem. Concr. Res. 2007, 37, 1223–1232. [Google Scholar] [CrossRef]
- Esquinas, A.R.; Álvarez, J.I.; Jiménez, J.R.; Fernández, J.M. Durability of self-compacting concrete made from non-conforming fly ash from coal-fired power plants. Constr. Build. Mater. 2018, 189, 993–1006. [Google Scholar] [CrossRef]
- Xie, Y.; Liu, B.; Yin, J.; Zhou, S. Optimum mix parameters of high-strength self-compacting concrete with ultrapulverized fly ash. Cem. Concr. Res. 2002, 32, 477–480. [Google Scholar] [CrossRef]
- Ghafoori, N.; Najimi, M.; Diawara, H.; Islam, M.S. Effects of class F fly ash on sulfate resistance of Type V Portland cement concretes under continuous and interrupted sulfate exposures. Constr. Build. Mater. 2015, 78, 85–91. [Google Scholar] [CrossRef]
- Yin, Y.Y.; Hu, S.; Lian, J.; Liu, R. Fracture properties of concrete exposed to different sulfate solutions under drying-wetting cycles. Eng. Fract. Mech. 2022, 266, 108406. [Google Scholar] [CrossRef]
- Sucharda, O.; Pajak, M.; Ponikiewski, T.; Konecny, P. Identification of mechanical and fracture properties of self-compacting concrete beams with different types of steel fibres using inverse analysis. Constr. Build. Mater. 2017, 138, 263–275. [Google Scholar] [CrossRef]
- Kalousek, G.L.; Porter, L.C.; Benton, E.J. Concrete for long-time service in sulfate environment. Cem. Concr. Res. 1972, 2, 79–89. [Google Scholar] [CrossRef]
- Kazemi, M.T.; Golsorkhtabar, H.; Beygi, M.H.A.; Gholamitabar, M. Fracture properties of steel fiber reinforced high strength concrete using work of fracture and size effect methods. Constr. Build. Mater. 2017, 142, 482–489. [Google Scholar] [CrossRef]
- Yoo, D.Y.; Yoon, Y.S.; Banthia, N. Predicting the post-cracking behavior of normal-and high-strength steel-fiber-reinforced concrete beams. Constr. Build. Mater. 2015, 93, 477–485. [Google Scholar] [CrossRef]
- Kurihara, N.; Kunieda, M.; Kamada, T.; Uchida, Y.; Rokugo, K. Tension softening diagrams and evaluation of properties of steel fiber reinforced concrete. Eng. Fract. Mech. 2000, 65, 235–245. [Google Scholar] [CrossRef]
- Sangeetha, S.; Sakthieswaran, N.; Babu, O.G. Effect of steel fibre on fracture toughness of concrete. Mater. Today Proc. 2021, 37, 1036–1040. [Google Scholar] [CrossRef]
- Sobuz, M.H.R.; Saha, A.; Anamika, J.F.; Houda, M.; Azab, M.; Akid, A.S.M.; Rana, M.J. Development of Self-Compacting Concrete Incorporating Rice Husk Ash with Waste Galvanized Copper Wire Fiber. Buildings 2022, 12, 1024. [Google Scholar] [CrossRef]
- Siad, H.; Kamali-Bernard, S.; Mesbah, H.A.; Escadeillas, G.; Mouli, M.; Khelafi, H. Characterization of the degradation of self-compacting concretes in sodium sulfate environment: Influence of different mineral admixtures. Constr. Build. Mater. 2013, 47, 1188–1200. [Google Scholar] [CrossRef]
- Sosa, I.; Tamayo, P.; Sainz-Aja, J.A.; Thomas, C.; Setién, J.; Polanco, J.A. Durability aspects in self-compacting siderurgical aggregate concrete. J. Build. Eng. 2021, 39, 102268. [Google Scholar] [CrossRef]
- Hai, R.; Liu, P.; Yang, Y.; Liu, J. Mechanical properties of steel fiber reinforced fly ash self-compacting concrete. J. Build. Mater. 2021, 24, 87–92. (In Chinese) [Google Scholar] [CrossRef]
- Ministry of Housing and Urban-Rural Development of People’s Republic of China. Technical Specification for Application of Self-Compacting Concrete: JGJ/T283; China Building Industry Press: Beijing, China, 2012. [Google Scholar]
- Ministry of Housing and Urban-Rural Development of People’s Republic of China. Standard for Test Methods of Long-Term Performance and Durability of Ordinary Concrete: GB/T50082; China Building Industry Press: Beijing, China, 2009. [Google Scholar]
- Emad, A.H.; Alwesabi, B.H.; Bakar, A.; Ibrahim, M.H.; Alshaikh; Zeyad, A.M.; Altheeb, A.; Alghamdi, H. Experimental investigation on fracture characteristics of plain and rubberized concrete containing hybrid steel-polypropylene fiber. Structures 2021, 33, 4421–4432. [Google Scholar] [CrossRef]
- ASTM E647-11; Standard Test Method for Measurement of Fatigue Crack Growth Rates. ASTM: West Conshohocken, PA, USA, 2011.
- Gao, D.; Zhang, T. Fraction characteristcs of steel fiber reinforced high strength concrete under three-point bending. J. Chin. Ceram. Soc. 2007, 35, 1630–1635. (In Chinese) [Google Scholar] [CrossRef]
- Zeng, H.; Li, Y.; Zhang, J.; Chong, P.; Zhang, K. Effect of limestone powder and fly ash on the pH evolution coefficient of concrete in a sulfate-freeze-thaw environment. J. Mater. Res. Technol. 2022, 16, 1889–1903. [Google Scholar] [CrossRef]
- Li, G.; Gao, X. Effects of secondary water curing on the long-term strength and durability of concrete after steam-autoclave curing. J. Southeast Univ. Engl. Ed. 2018, 34, 488–494. [Google Scholar] [CrossRef]
- Zhao, Y.; Gao, J.; Qi, B.; Liu, C. Effect of flexural loading on degradation progress of recycled aggregate concrete subjected to sulfate attack and wetting-drying cycles. J. Southeast Univ. Engl. Ed. 2019, 35, 85–90. [Google Scholar] [CrossRef]
- Köksal, F.; Şahin, Y.; Gencel, O.; Yiğit, I. Fracture energy-based optimisation of steel fibre reinforced concretes. Eng. Fract. Mech. 2013, 107, 29–37. [Google Scholar] [CrossRef]
- Wang, K.; Guo, J.; Yang, L.; Zhang, P.; Xu, H. Multiphysical damage characteristics of concrete exposed to external sulfate attack: Elucidating effect of drying-wetting cycles. Constr. Build. Mater. 2022, 329, 127143. [Google Scholar] [CrossRef]
- Chen, H. Experimental Study on the Fracture Behavior of Concrete under Sulfate Corrosion under Dry-Wet Cycles; Zhengzhou University: Zhengzhou, China, 2016. (In Chinese) [Google Scholar]
- Sharma, R.; Khan, R.A. Sulfate resistance of self-compacting concrete incorporating copper slag as fine aggregates with mineral admixtures. Constr. Build. Mater. 2021, 287, 122985. [Google Scholar] [CrossRef]
- Song, Y.; Zhou, S.; Wang, Z. Mechanism of Thaumasite Formation in Concrete. J. Wuhan Univ. Technol.-Mater. Sci. Ed. 2017, 32, 893–897. [Google Scholar] [CrossRef]









| Setting Time (min) | Compressive Strength (MPa) | Flexural Strength (MPa) | |||
|---|---|---|---|---|---|
| Initial | Final | 3 d | 28 d | 3 d | 28 d |
| 240 | 321 | 27.2 | 52.3 | 5.6 | 8.6 |
| Composition | SiO2 | Al2O3 | Fe2O3 | CaO | MgO | SO3 | K2O | Na2O | Loss |
|---|---|---|---|---|---|---|---|---|---|
| Cement (w%) | 17.43 | 5.23 | 3.54 | 60.87 | 3.15 | 3.43 | 1.04 | 0.35 | 4.96 |
| Fly ash (w%) | 55.84 | 26.38 | 5.04 | 3.97 | 2.01 | 0.32 | 1.24 | 0.26 | 4.94 |
| Code | Cementitious Materials (kg/m3) | W/B | Sand Proportion | Steel Fiber (v%) | Water Reducer (%) | ||
|---|---|---|---|---|---|---|---|
| Cement | Fly Ash | Slaked Lime | |||||
| SFSCC-0 | 479.0 | 0 | 0 | 0.35 | 0.50 | 0.75 | 0.3 |
| SFSCC-40 | 287.5 | 175.0 | 16.5 | 0.35 | 0.50 | 0.75 | 0.3 |
| SFSCC-50 | 237.5 | 208.0 | 33.5 | 0.35 | 0.50 | 0.75 | 0.4 |
| SFSCC-60 | 191.6 | 241.6 | 45.8 | 0.35 | 0.50 | 0.75 | 0.4 |
| SFSCC-70 | 141.5 | 275.0 | 62.5 | 0.35 | 0.50 | 0.75 | 0.5 |
| Code | Slump Flow (mm) | T500 (s) | J-Ring Flow (mm) | Compressive Strength (MPa) | ||
|---|---|---|---|---|---|---|
| 28 d | 1 Year | Attacked | ||||
| SFSCC-0 | 600 | 6.1 | 560 | 51.1 | 91.1 | 88.3 |
| SFSCC-40 | 590 | 8.2 | 575 | 59.5 | 94.5 | 96.4 |
| SFSCC-50 | 585 | 9.2 | 550 | 60.2 | 99.1 | 95.1 |
| SFSCC-60 | 595 | 10.4 | 560 | 47.3 | 84.7 | 76.2 |
| SFSCC-70 | 590 | 7.9 | 540 | 41.6 | 72.6 | 61.7 |
| Code | W0 (N∙m) | M (kg) | GF (N/m) | |||
|---|---|---|---|---|---|---|
| Original | Attacked | Original | Attacked | Original | Attacked | |
| SFSCC | 20.97 | 12.34 | 9.75 | 9.68 | 3575 | 2136 |
| SFSCC40 | 16.32 | 16.22 | 9.97 | 9.93 | 2801 | 2784 |
| SFSCC50 | 20.55 | 12.63 | 9.80 | 9.75 | 3505 | 2185 |
| SFSCC60 | 21.67 | 12.99 | 9.93 | 9.89 | 3693 | 2246 |
| SFSCC70 | 30.09 | 10.79 | 9.92 | 9.90 | 5096 | 1879 |
Publisher’s Note: MDPI stays neutral with regard to jurisdictional claims in published maps and institutional affiliations. |
© 2022 by the authors. Licensee MDPI, Basel, Switzerland. This article is an open access article distributed under the terms and conditions of the Creative Commons Attribution (CC BY) license (https://creativecommons.org/licenses/by/4.0/).
Share and Cite
Liu, J.; Zang, S.; Yang, F.; Zhang, M.; Li, A. Fracture Mechanical Properties of Steel Fiber Reinforced Self-Compacting Concrete under Dry–Wet Cycle Sulfate Attack. Buildings 2022, 12, 1623. https://doi.org/10.3390/buildings12101623
Liu J, Zang S, Yang F, Zhang M, Li A. Fracture Mechanical Properties of Steel Fiber Reinforced Self-Compacting Concrete under Dry–Wet Cycle Sulfate Attack. Buildings. 2022; 12(10):1623. https://doi.org/10.3390/buildings12101623
Chicago/Turabian StyleLiu, Junxia, Shujie Zang, Fei Yang, Maoliang Zhang, and Anbang Li. 2022. "Fracture Mechanical Properties of Steel Fiber Reinforced Self-Compacting Concrete under Dry–Wet Cycle Sulfate Attack" Buildings 12, no. 10: 1623. https://doi.org/10.3390/buildings12101623
APA StyleLiu, J., Zang, S., Yang, F., Zhang, M., & Li, A. (2022). Fracture Mechanical Properties of Steel Fiber Reinforced Self-Compacting Concrete under Dry–Wet Cycle Sulfate Attack. Buildings, 12(10), 1623. https://doi.org/10.3390/buildings12101623
