Double-Diffusive Mixed Convection and Radionuclides Removals from the Tail Gas Treatment Unit in Nuclear Medicine Building: Multiple Sifting Structures and Porous Medium
Abstract
1. Introduction
2. Problem Formulation and Mathematical Modeling
2.1. Governing Equations
2.2. Boundary Conditions
2.3. Visualization of the Convection and Performance Assessment
3. Numerical Methodology and Code Validation
3.1. Numerical Methodology
3.2. Establishing the Credibility of the Code and Grid Independence
4. Results and Discussion
4.1. Discrete, Semi-Discrete, and Polymeric Porous Media
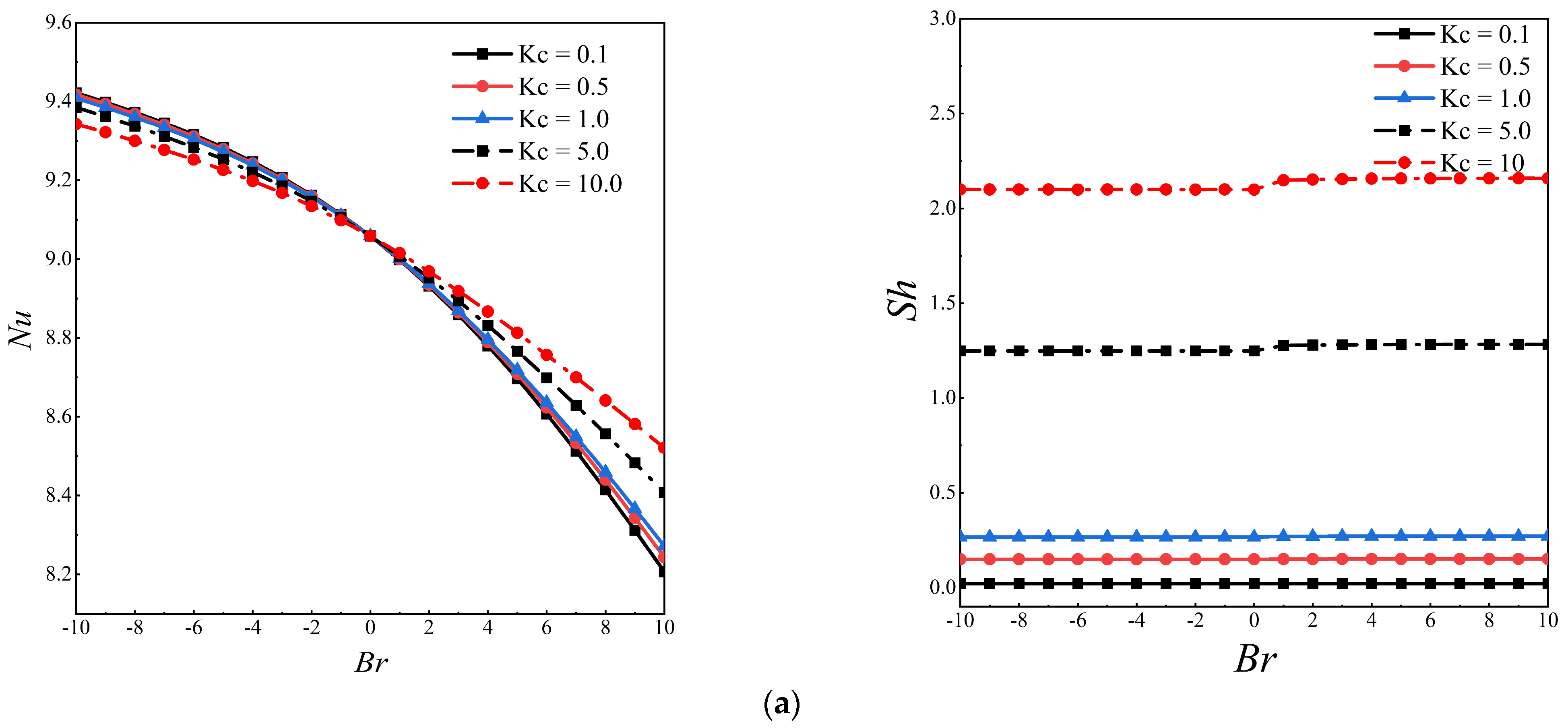
4.1.1. Influence of Permeability and Buoyancy Ratio of Porous Blocks
4.1.2. Influence of Porous-Fluid Thermal Conductivity Ratio and Porous Media Mass Conductivity Ratio
4.1.3. Influence of Richardson Number
4.2. Centralized, Symmetrical, and Surrounded Hot-Plate Arrangement
5. Conclusions
- (1)
- It was found that the heat transfer mechanisms and the flow characteristics inside the enclosure are strongly dependent on the permeability of the porous media and buoyancy ratio. Increasing the porosity is conducive to enhancing convection heat transfer. The highest Nusselt number was found when Da = 10−6 and Kr = 10.
- (2)
- The porous media arrangement has a considerable impact on convective heat transfer. The polymeric porous media exhibited better heat transfer performance than the other two porous media arrangements discussed in the present paper. The average Nusselt number increased by about 10%.
- (3)
- The study of the impact of hot-plate layout on convective heat transfer shows that the location of the hot plates has a more significant impact on convective heat transfer than the number of hot plates in the cavity. The convective heat transfer of Type F, which has four hot plates well-distributed inside the cavity, has the lowest convective heat transfer efficiency (Nu number) for the same heat flux and inlet gas velocity (Ri number). Instead, the convective heat transfer is more pronounced for Type E, which has two hot plates. The convective heat transfer efficiency of Type E is about 110% higher than that of Type F and it is about 35% higher than that of Type D. From this point of view, installing the hot plates parallel to the streamline is beneficial to the convective heat transfer. The temperature variance also indicates that the temperature distribution of Type E is more uniform.
Author Contributions
Funding
Data Availability Statement
Conflicts of Interest
Nomenclature
| d | porous media thickness (m) |
| D | mass diffusivity (m2/s) |
| Da | Darcy number |
| g | gravitational acceleration(m/s2) |
| Gr | Grashof number |
| k | thermal conductivity (W/(m·K)) |
| kTC | thermodiffusion coefficient (m5⋅K⋅kg−1⋅s−1) |
| kCT | diffusionthermo coefficient (kg⋅m−1⋅K−1⋅s−1) |
| K | permeability of porous media (m2) |
| Kr | thermal conductivity ratio |
| Kc | mass diffusion coefficient ratio |
| L | length of enclosure(m) |
| Le | Lewis number |
| Nu | overall Nusselt number |
| P | dimensionless pressure |
| Pr | Prandtl number |
| Ri | Richardson number |
| S2 | Variance |
| Sh | overall Sherwood number |
| T | dimensionless temperature |
| Tc | cooling temperature (K) |
| Th | high temperature (K) |
| u0 | dimensional velocity (m/s) |
| U0 | dimensionless velocity |
| u, v | velocity components in x, y directions |
| U, V | dimensionless velocity components |
| W | width of enclosure (m) |
| x, y | Cartesian coordinate (m) |
| X, Y | dimensionless Cartesian coordinates |
| Greeks | |
| a | thermal diffusivity (m2/s) |
| β | thermal expansion (K−1) |
| δ | stop criterion |
| λ | thermal conductivity (W/m·K) |
| μ | dynamic viscosity (kg/m·s) |
| ν | kinematic viscosity (m2/s) |
| ρ | density (kg/m3) |
| Ψ | streamfunction |
| Θ | heatfunction |
| Subscripts | |
| c | cooling temperature |
| h | hot temperature |
References
- Doll, C.G.; Sorensen, C.M.; Bowyer, T.W.; Friese, J.I.; Hayes, J.C.; Hoffmann, E.; Kephart, R. Abatement of xenon and iodine emissions from medical isotope production facilities. J. Environ. Radioact. 2014, 130, 33–43. [Google Scholar] [CrossRef]
- Bowyer, T.W. A review of global radioxenon background research and issues. Pure Appl. Geophys. 2021, 178, 2665–2675. [Google Scholar] [CrossRef]
- Bowyer, T.W.; Kephart, R.; Eslinger, P.W.; Friese, J.I.; Miley, H.S.; Saey, P.R. Maximum reasonable radioxenon releases from medical isotope production facilities and their effect on monitoring nuclear explosions. J. Environ. Radioact. 2013, 115, 192–200. [Google Scholar] [CrossRef]
- Choi, C.-J.; Cho, H.K. Numerical Investigations of Liquid Film Offtake by Transverse Gas Flow in a Downcomer Annulus Geometry. Front. Energy Res. 2022, 2, 285. [Google Scholar] [CrossRef]
- Achim, P.; Generoso, S.; Topin, S.; Gross, P.; Monfort, M.; Moulin, C.; Le Petit, G.; Douysset, G.; Morin, M. 6 months of radioxenon detection in western Europe with the SPALAX-New generation system—Part 2: Atmospheric transport modelling. J. Environ. Radioact. 2021, 226, 106455. [Google Scholar]
- Yu, S.; Liu, Y.; Chen, S.; Bai, Y. Analysis of Process Parameters of Gaseous Radwaste Treatment by Activated Charcoal Delay Beds in Nuclear Power Plants. Nucl. Power Eng. 2015, 36, 116–119. [Google Scholar]
- Ringbom, A.; Axelsson, A.; Björnham, O.; Brännström, N.; Fritioff, T.; Grahn, H.; Hennigor, S.; Olsson, M. Radioxenon releases from a nuclear power plant: Stack data and atmospheric measurements. Pure Appl. Geophys. 2021, 178, 2677–2693. [Google Scholar] [CrossRef]
- Du, Y.; Wang, S.; Li, D.; Peng, Y.; Yang, L. Effect of evaporation rate for the heat and mass transfer of laminar liquid falling film in still air. Front. Energy Res. 2022, 10, 1291. [Google Scholar] [CrossRef]
- Sameh, A.-H.A. Production cycle for large scale fission Mo-99 separation by the processing of irradiated LEU uranium silicide fuel element targets. Sci. Technol. Nucl. Install. 2013, 2013, 704846. [Google Scholar]
- Juan, Y.; Ke-qiang, Q. Preparation of Activated Carbon by Chemical Activation under Vacuum. Environ. Sci. Technol. 2009, 43, 3385–3390. [Google Scholar] [CrossRef]
- Dombrowski, R.J.; Hyduke, D.R.; Lastoskie, C.M. Pore Size Analysis of Activated Carbons from Argon and Nitrogen Porosimetry Using Density Functional Theory. Langmuir 2000, 16, 5041–5050. [Google Scholar] [CrossRef]
- Underhill, D.W. Calculation of the Performance of Activated Carbon at High Relative Humidities. Am. Ind. Hyg. Assoc. J. 1987, 48, 909–913. [Google Scholar] [CrossRef] [PubMed]
- Ali, F.H.; Hamzah, H.K.; Hussein, A.K.; Jabbar, M.Y.; Talebizadehsardari, P. MHD mixed convection due to a rotating circular cylinder in a trapezoidal enclosure filled with a nanofluid saturated with a porous media. Int. J. Mech. Sci. 2020, 181, 105688. [Google Scholar] [CrossRef]
- Kareem, A.K.; Mohammed, H.A.; Hussein, A.K.; Gao, S. Numerical investigation of mixed convection heat transfer of nanofluids in a lid-driven trapezoidal cavity. Int. Commun. Heat Mass Transf. 2016, 77, 195–205. [Google Scholar] [CrossRef]
- Sivasankaran, S.; Sivakumar, V.; Hussein, A.K. Numerical study on mixed convection in an inclined lid-driven cavity with discrete heating. Int. Commun. Heat Mass Transf. 2013, 46, 112–125. [Google Scholar] [CrossRef]
- Nazeer, M.; Ali, N.; Javed, T. Numerical simulations of MHD forced convection flow of micropolar fluid inside a right-angled triangular cavity saturated with porous medium: Effects of vertical moving wall. Can. J. Phys. 2019, 97, 1–13. [Google Scholar] [CrossRef]
- Nazeer, M.; Ahamdi, A.A.A.; Alzaed, A.N.; Alwetaishi, M.; Nazir, M.W.; Khan, M.I. Impact of slip boundary conditions, magnetic force, and porous medium on blood flow of Jeffrey fluid. ZAMM J. Appl. Math. Mech. 2022, 102, e202100218. [Google Scholar] [CrossRef]
- Chamkha, A.J. Non-darcy fully developed mixed convection in a porous medium channel with heat generation/absorption and hydromagnetic effects. Numer. Heat Transf. Part A Appl. 1997, 32, 653–675. [Google Scholar] [CrossRef]
- Selimefendigil, F.; Ismael, M.A.; Chamkha, A.J. Mixed convection in superposed nanofluid and porous layers in square enclosure with inner rotating cylinder. Int. J. Mech. Sci. 2017, 124–125, 95–108. [Google Scholar] [CrossRef]
- Laidoudi, H.; Mohamed, B. Mixed convection heat transfer from confined tandem circular cylinders in cross-flow at low Reynolds number. Mechanika 2017, 23, 522–527. [Google Scholar]
- Rashid, F.L.; Hussein, A.K.; Malekshah, E.H.; Abderrahmane, A.; Guedri, K.; Younis, O. Review of Heat Transfer Analysis in Different Cavity Geometries with and without Nanofluids. Nanomaterials 2022, 12, 2481. [Google Scholar] [CrossRef]
- Kasmani, R.M.; Sivasankaran, S.; Bhuvaneswari, M.; Hussein, A.K. Analytical and numerical study on convection of nanofluid past a moving wedge with Soret and Dufour effects. Int. J. Numer. Methods Heat Fluid Flow 2017, 27, 2333–2354. [Google Scholar] [CrossRef]
- Nazeer, M.; Ali, N.; Javed, T.; Nazir, M.W. Numerical analysis of the full MHD model with the Galerkin finite-element method. Eur. Phys. J. Plus 2019, 134, 204. [Google Scholar] [CrossRef]
- Ali, N.; Nazeer, M.; Javed, T.; Razzaq, M. Finite element analysis of bi-viscosity fluid enclosed in a triangular cavity under thermal and magnetic effects. Eur. Phys. J. Plus 2019, 134, 2. [Google Scholar] [CrossRef]
- Ismael, M.A. Double-diffusive mixed convection in a composite porous enclosure with arc-shaped moving wall: Tortuosity effect. J. Porous Media 2018, 21, 343–362. [Google Scholar] [CrossRef]
- Ghachem, K.; Kolsi, L.; Mâatki, C.; Hussein, A.K.; Borjini, M.N. Numerical simulation of three-dimensional double diffusive free convection flow and irreversibility studies in a solar distiller. Int. Commun. Heat Mass Transf. 2012, 39, 869–876. [Google Scholar] [CrossRef]
- Maatki, C.; Ghachem, K.; Kolsi, L.; Hussein, A.K.; Borjini, M.N.; Aissia, H.B. Inclination effects of magnetic field direction in 3D double-diffusive natural convection. Appl. Math. Comput. 2016, 273, 178–189. [Google Scholar] [CrossRef]
- Chand, R.; Rana, G.; Hussein, A. On the Onsetof Thermal Instability in a Low Prandtl Number Nanofluid Layer in a Porous Medium. J. Appl. Fluid Mech. 2015, 8, 265–272. [Google Scholar] [CrossRef]
- Ali, B.; Hussain, S.; Nie, Y.; Hussein, A.K.; Habib, D. Finite element investigation of Dufour and Soret impacts on MHD rotating flow of Oldroyd-B nanofluid over a stretching sheet with double diffusion Cattaneo Christov heat flux model. Powder Technol. 2021, 377, 439–452. [Google Scholar] [CrossRef]
- Nazeer, M.; Ali, N.; Javed, T. Numerical simulation of MHD flow of micropolar fluid inside a porous inclined cavity with uniform and non-uniform heated bottom wall. Can. J. Phys. 2018, 96, 576–593. [Google Scholar] [CrossRef]
- Nazir, M.W.; Javed, T.; Ali, N.; Nazeer, M.; Khan, M.I. Theoretical investigation of thermal analysis in aluminum and titanium alloys filled in nanofluid through a square cavity having the uniform thermal condition. Int. J. Mod. Phys. B 2022, 36, 2250140. [Google Scholar] [CrossRef]
- Nazir, M.W.; Javed, T.; Ali, N.; Nazeer, M. Effects of radiative heat flux and heat generation on magnetohydodynamics natural convection flow of nanofluid inside a porous triangular cavity with thermal boundary conditions. Numer. Methods Partial. Differ. Equ. 2021, 14, 1–18. [Google Scholar] [CrossRef]
- Ali, N.; Nazeer, M.; Javed, T. Finite element simulations of free convection flow inside a porous inclined cavity filled with micropolar fluid. J. Porous Media 2021, 24, 57–75. [Google Scholar] [CrossRef]
- Nazeer, M.; Ali, N.; Javed, T. Natural convection flow of micropolar fluid inside a porous square conduit: Effects of magnetic field, heat generation/absorption, and thermal radiation. J. Porous Media 2018, 21, 953–975. [Google Scholar] [CrossRef]
- Al-Hassan, A.Q.A.; Ismael, M.A. Numerical study of double diffusive mixed convection in horizontal channel with composite open porous cavity. J. Porous Media 2019, 10, 401–419. [Google Scholar] [CrossRef]
- Ismael, M.A.; Ghalib, H.S. Double diffusive natural convection in a partially layered cavity with inner solid conductive body. Sci. Iran. 2018, 25, 2643–2659. [Google Scholar] [CrossRef]
- Alsabery, A.I.; Mohebbi, R.; Chamkha, A.J.; Hashim, I. Effect of local thermal non-equilibrium model on natural convection in a nanofluid-filled wavy-walled porous cavity containing inner solid cylinder. Chem. Eng. Sci. 2019, 201, 247–263. [Google Scholar] [CrossRef]
- Ghalambaz, M.; Jamesahar, E.; Ismael, M.A.; Chamkha, A.J. Fluid-structure interaction study of natural convection heat transfer over a flexible oscillating fin in a square cavity. Int. J. Therm. Sci. 2017, 111, 256–273. [Google Scholar] [CrossRef]
- Ben-Nakhi, A.; Chamkha, A.J. Effect of length and inclination of a thin fin on natural convection in a square enclosure. Numer. Heat Transf. Part A Appl. 2006, 50, 381–399. [Google Scholar] [CrossRef]
- Chamkha, A.J.; Al-Naser, H. Double-diffusive convection in an inclined porous enclosure with opposing temperature and concentration gradients. Int. J. Therm. Sci. 2001, 40, 227–244. [Google Scholar] [CrossRef]
- Chamkha, A.J. Double-diffusive convection in a porous enclosure with cooperating temperature and concentration gradients and heat generation or absorption effects. Numer. Heat Transf. Part A Appl. 2002, 41, 65–87. [Google Scholar] [CrossRef]
- Dogonchi, A.S.; Ismael, M.A.; Chamkha, A.J.; Ganji, D.D. Numerical analysis of natural convection of Cu–water nanofluid filling triangular cavity with semicircular bottom wall. J. Therm. Anal. Calorim. 2019, 135, 3485–3497. [Google Scholar] [CrossRef]
- Khanafer, K.M.; Chamkha, A.J. Hydromagnetic natural convection from an inclined porous square enclosure with heat generation. Numer. Heat Transf. Part A Appl. 1998, 33, 891–910. [Google Scholar] [CrossRef]
- Tabasi, M.; Ghannadi-Maraghehl, M.; Shamsaii, M.; Khanchi, A.R. Separation of 133Xe from 99Mo, 131I and uranium, and removal of impurities using gas chromatography. J. Radioanal. Nucl. Chem. 2005, 264, 679–686. [Google Scholar] [CrossRef]
- Khanafer, K.; AlAmiri, A.; Bull, J. Laminar natural convection heat transfer in a differentially heated cavity with a thin porous fin attached to the hot wall. Int. J. Heat Mass Transf. 2015, 87, 59–70. [Google Scholar] [CrossRef]
- Vafai, K.J. Handbook of Porous Media, 2nd ed.; Routlege: London, UK, 2005. [Google Scholar]
- Marafie, A.; Vafai, K. Analysis of non-Darcian effects on temperature differentials in porous media. Int. J. Heat Mass Transf. 2001, 44, 4401–4411. [Google Scholar] [CrossRef]
- Mahmoudi, Y.; Karimi, N.; Mazaheri, K. Analytical investigation of heat transfer enhancement in a channel partially filled with a porous material under local thermal non-equilibrium condition: Effects of different thermal boundary conditions at the porousfluid interface. Int. J. Heat Mass Transf. 2014, 70, 875–891. [Google Scholar] [CrossRef]
- Noor, M.B.; Omar, R.A.; Ibrahim, A.M. Impact of using single heated obstacle on natural convection inside porous cavity under non-Darcy flow and thermal non-equilibrium model: A comparison between horizontal and vertical heated obstacle arrangements. Int. Commun. Heat Mass Transf. 2022, 133, 105925. [Google Scholar]
- Anwar, A.Y.; Omar, R.A.; Asmaa, T.H. Impact of using triple adiabatic obstacles on natural convection inside porous cavity under non-darcy flow and local thermal non-equilibrium model. Int. Commun. Heat Mass Transf. 2022, 130, 105760. [Google Scholar]
- Omar, R.A. A thermal nonequilibrium model to natural convection inside non-Darcy porous layer surrounded by horizontal heated plates with periodic boundary temperatures. Heat Transf. 2021, 50, 6068–6098. [Google Scholar]
- Omar, R.A.; Noor, M.B.; Anwar, A.Y. Analysis of effects of thermal non-equilibrium and non-Darcy flow on natural convection in a square porous enclosure provided with a heated L shape plate. Int. J. Mech. Sci. 2020, 181, 105704. [Google Scholar]
- Omar, R.A. Numerical Investigation of Two-Phase Flow in a Horizontal Porous Evaporator with Localised Heating using Non-Darcian Flow and Two Equations Model. Heat Mass Transf. 2020, 56, 1203–1221. [Google Scholar]
- Omar, R.A.; Noor, M.B.; Anwar, A.Y. Natural convection heat transfer from a bank of orthogonal heated plates embedded in a porous medium using LTNE model: A comparison between in-line and staggered arrangements. Int. J. Therm. Sci. 2021, 160, 106692. [Google Scholar]
- Alshuraiaan, B.; Khanafer, K. The effect of the position of the heated thin porous fin on the laminar natural convection heat transfer in a differentially heated cavity. Int. Commun. Heat Mass Transf. 2016, 78, 190–199. [Google Scholar] [CrossRef]
- Siavashi, M.; Yousofvand, R.; Rezanejad, S. Nanofluid and porous fins effect on natural convection and entropy generation of flow inside a cavity. Adv. Powder Technol. 2018, 29, 142–156. [Google Scholar] [CrossRef]
- Xu, H.; Sun, J.Y.; Song, Y.J.; Zhao, F.Y.; Guo, J.H. Multiple hysteresis effects and their destabilization mechanism in the enclosed mixed convection enclosure with three representative aspect ratios. Numer. Heat Transf. Part A: Appl. 2022, 1–31. [Google Scholar] [CrossRef]
- Nield, D.A.; Bejan, A. Convection in Porous Media; Springer: New York, NY, USA, 1992. [Google Scholar]
- Kousar, N.; Rehman, K.U.; Al-Kouz, W.; Al-Mdallal, Q.M.; Malik, M.Y. Hybrid mesh finite element analysis (HMFEA) of uniformly heated cylinder in a partially heated moon shaped enclosure. Case Stud. Therm. Eng. 2020, 21, 100713. [Google Scholar] [CrossRef]
- Kimura, S.; Bejan, A. The “Heatline” Visualization of Convective Heat Transfer. J. Heat Transf. 1983, 105, 916–919. [Google Scholar] [CrossRef]
- Zhao, F.Y.; Liu, D.; Tang, G.F. Conjugate heat transfer in square enclosures. Heat Mass Transf. 2006, 43, 907–922. [Google Scholar] [CrossRef]
- Liu, D.; Zhao, F.-Y.; Tang, G.-F. Thermosolutal convection in saturated porous enclosure with concentrated energy and solute sources. Energy Convers. Manag. 2008, 49, 16–31. [Google Scholar] [CrossRef]
- Hayase, T.; Humphrey, J.A.C.; Greif, R. A consistently formulated QUICK scheme for fast and stable convergence using finite-volume iterative calculation procedures. J. Comput. Phys. 1992, 98, 108–118. [Google Scholar] [CrossRef]
- Shi, Y.S.; Liu, D.; Wang, Y.; Zhao, F.Y.; Li, Y.X. Forced flow structure and mixed convection in a ventilated porous enclosure with a local contaminant source. Int. J. Heat Mass Transf. 2019, 131, 973–983. [Google Scholar] [CrossRef]
- Zhao, F.-Y.; Liu, D.; Tang, G.-F. Multiple steady fluid flows in a slot-ventilated enclosure. Int. J. Heat Fluid Flow 2008, 29, 1295–1308. [Google Scholar] [CrossRef]
- Wei, W.W.; Yang, C.; Lei, W.; Liu, C.W.; Zhao, F.-Y.; Mikhail, A.S.; Di, L. A two-phase closed thermosyphon operated with nanofluids for solar energy collectors: Thermodynamic modeling and entropy generation analysis. Sol. Energy 2020, 211, 192–209. [Google Scholar]
- Corcione, M.; Grignaffini, S.; Quintino, A. Correlations for the double-diffusive natural convection in square enclosures induced by opposite temperature and concentration gradients. Int. J. Heat Mass Transf. 2015, 81, 811–819. [Google Scholar] [CrossRef]
- Siegmann-Hegerfeld, T.; Albensoeder, S.; Kuhlmann, H.C. Experiments on the stability, structure, and dynamics of flows in one- and two- sided lid-driven cavities. In Proceedings of the 14th International Symposium on Applications of Laser Techniques to Fluid Mechanics, Lisbon, Portugal, 16–19 July 2008. [Google Scholar]
- Biswas, N.; Manna, N.K. Enhanced convective heat transfer in lid-driven porous cavity with aspiration. Int. J. Heat Mass Transf. 2017, 114, 430–452. [Google Scholar] [CrossRef]
















| Ra | Br | Nu | Sh | Relative Error (%) | |||
|---|---|---|---|---|---|---|---|
| [67] | Present | [67] | Present | Nu | Sh | ||
| 104 | 0.1 | 2.23 | 2.23 | 5.61 | 5.64 | 0 | −0.53 |
| 1 | 2.01 | 2.01 | 4.55 | 4.56 | 0 | −0.22 | |
| 10 | 1.53 | 1.51 | 8.67 | 8.71 | 1.32 | −0.46 | |
| 106 | 0.1 | 8.79 | 8.77 | 20.68 | 20.82 | 0.23 | −0.67 |
| 1 | 7.31 | 7.18 | 16.34 | 16.3 | 1.81 | 0.24 | |
| 10 | 4.36 | 4.38 | 29.82 | 30.22 | −0.45 | −1.32 | |
| Da = 10−1 Ri = 10−1 | Da = 10−1 Ri = 10 | |||||
|---|---|---|---|---|---|---|
| 102 × 102 | 202×202 | 302 × 302 | 102 × 102 | 202 × 202 | 302 × 302 | |
| Nu | 12.515 | 12.600 | 12.600 | 13.416 | 13.579 | 13.580 |
| Sh | 3.102 | 3.195 | 3.196 | 2.111 | 2.154 | 2.155 |
| Da = 10−6 Ri = 10−1 | Da = 10−6 Ri = 10 | |||||
| 102 × 102 | 202 × 202 | 302 × 302 | 102 × 102 | 202 × 202 | 302 × 302 | |
| Nu | 25.156 | 25.233 | 25.233 | 12.921 | 13.054 | 13.055 |
| Sh | 2.109 | 2.194 | 2.195 | 2.186 | 2.227 | 2.224 |
Publisher’s Note: MDPI stays neutral with regard to jurisdictional claims in published maps and institutional affiliations. |
© 2022 by the authors. Licensee MDPI, Basel, Switzerland. This article is an open access article distributed under the terms and conditions of the Creative Commons Attribution (CC BY) license (https://creativecommons.org/licenses/by/4.0/).
Share and Cite
Li, J.; Chen, Y.-C.; Hong, J.; Xu, H.; Zhao, F.-Y.; Guo, J.-H. Double-Diffusive Mixed Convection and Radionuclides Removals from the Tail Gas Treatment Unit in Nuclear Medicine Building: Multiple Sifting Structures and Porous Medium. Buildings 2022, 12, 1842. https://doi.org/10.3390/buildings12111842
Li J, Chen Y-C, Hong J, Xu H, Zhao F-Y, Guo J-H. Double-Diffusive Mixed Convection and Radionuclides Removals from the Tail Gas Treatment Unit in Nuclear Medicine Building: Multiple Sifting Structures and Porous Medium. Buildings. 2022; 12(11):1842. https://doi.org/10.3390/buildings12111842
Chicago/Turabian StyleLi, Jian, Yi-Chao Chen, Jian Hong, Hang Xu, Fu-Yun Zhao, and Jiang-Hua Guo. 2022. "Double-Diffusive Mixed Convection and Radionuclides Removals from the Tail Gas Treatment Unit in Nuclear Medicine Building: Multiple Sifting Structures and Porous Medium" Buildings 12, no. 11: 1842. https://doi.org/10.3390/buildings12111842
APA StyleLi, J., Chen, Y.-C., Hong, J., Xu, H., Zhao, F.-Y., & Guo, J.-H. (2022). Double-Diffusive Mixed Convection and Radionuclides Removals from the Tail Gas Treatment Unit in Nuclear Medicine Building: Multiple Sifting Structures and Porous Medium. Buildings, 12(11), 1842. https://doi.org/10.3390/buildings12111842

