Quantifying the Effect of Index-Based Operation Logic for Building Environmental Control System—Taking Shading as Example
Abstract
1. Introduction
2. Motivation
3. Summary and Discussion of the Operation Logic of BECS
3.1. Parameter-Based Operation Logic
3.2. Index-Based Operation Logic
3.3. Discussion of the Operation Logic
4. Selection of Key Performance Indices for BECS—Taking Shading as an Example
4.1. Performance Indices of “Light Environment”
4.1.1. Index for Light Comfort—DGP
4.1.2. Index for Lighting Energy Consumption—Illuminance of Work Plane
4.2. Performance Indices of Radiant Thermal Environment
4.2.1. Indices for Radiant Thermal Comfort—PMV* and RTA*
4.2.2. Indices for HVAC Energy Consumption—Solar Radiation Heat Gain
4.3. Simulation Calculation of Shading Control Performance Indices
5. Analysis and Discussion of Index-Based Operation Logic through Simulation
5.1. Several Typical Index-Based Control Strategies
5.2. Case Description
5.3. Results and Discussion
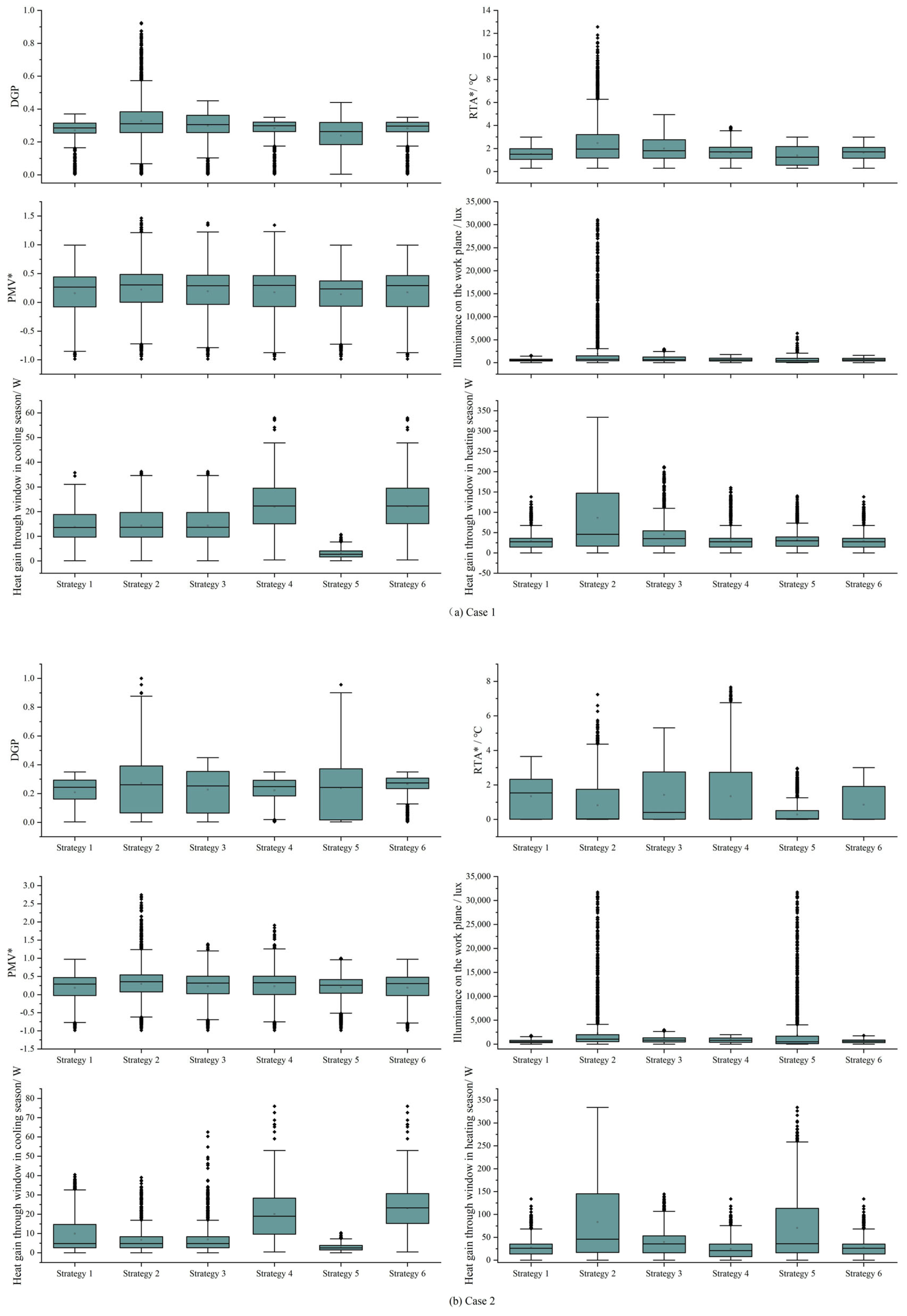
- Because of the direct control effect of index-based operation logic, the control strategies generally have a relatively good effect according to the control objectives. For example, in the control strategy focusing on energy saving (Strategy 2), the heat gain through windows in winter is much higher than that of other control strategies, but in the comfort level (DGP, RTA*, etc.), the performance is poor. A control strategy that focuses on comfort has the opposite effect. However, in Strategy 4, the heat gain through the windows in summer was higher than that in Strategy 1. This is because the lighting consumption in Strategy 4 is lower than that in Strategy 1, which leads to the total energy in Strategy 4 being lower than that in Strategy 1. This phenomenon can be observed from the time dimension.
- However, in some situations, the indices exceed the constraint conditions. For example, RTA* exceeded the threshold in Strategy 3, which aimed to achieve comprehensive thermal and visual comfort. This shows that in some cases, regardless of the state of shading, requirements of radiant thermal comfort cannot be met. This phenomenon can be further analyzed from the time dimension.
- Compared with other control strategies, Strategy 2 has more outliers in the results of performance indices related to comfort, such as DGP, RTA*, PMV* and illuminance on the work plane. The illuminance on the work plane is also related to the lighting energy consumption, which is a performance index related to comfort and energy savings simultaneously. This shows that a strategy that considers only energy savings will result in more frequent uncomfortable situations.
- The thermal comfort under strategy 6 is quite similar to strategy 5, while strategy 6 only consider lighting comfort and lighting energy saving, and strategy 5 only consider thermal comfort and HVAC energy saving. Therefore, when taking in to account lighting comfort and lighting energy saving, thermal comfort indices can not be considered in the control strategy.

- Seasonal variations in solar radiation exist because of dynamic changes in the solar altitude and azimuth angles, which are also reflected in the variation trends of the performance indices. Each performance index exhibits a different trend on different days. In addition, from the time dimension, all types of index-based control strategies generally have relatively good effects according to their objectives.
- Compared with the other control strategies, the variation trends of the performance indices of Strategy 2 are different. Strategy 4, that is, sacrificing part of the comfort to achieve better energy savings, is similar to other control strategies that significantly consider comfort only. Combined with the box chart results, this further indicates that a control strategy solely considering energy savings may not be necessary, and a moderate sacrifice of comfort may not cause excessive aversion. This conclusion needs to be proven through more in-depth subjective and objective tests.
- Combined with the analysis of the box charts, the accumulation charts show that RTA* exceeded the threshold under Strategy 3 on a typical winter day, which mirrors the problem of the strategy found through the box charts. However, in the same period, the DGP performed well under Strategy 3. This further reflects the contradiction between visual comfort and thermal comfort, which involves seasonal changes. Further analysis shows that if we want to achieve comprehensive thermal comfort, relying on a single BECS may not be able to resolve this contradiction, and coupling control with other BECSs is needed, such as the coupling of an air conditioning system and shading system.


- Overall, index−based control strategies have clear directional effects according to their different objectives.
- Internal and external shading forms were adopted in these two cases. Combined with the directional effects, the index−based control strategy can be considered insensitive to changes in boundary conditions in different cases. The control effect is not affected by personalized factors such as the layout of the target room or the form of the shading system. Control system configurations in engineering applications can reduce implementation costs.
- Simultaneously, the contradiction between comfort and energy savings, as well as that between visual comfort and radiant thermal comfort, can be reflected in box charts, accumulation charts and heat maps. Considering the entire year, a control strategy that examines overall thermal and visual comfort cannot achieve better results. Further analysis can conclude that different control objectives exist, even if they are contradictory. They can be included in the consideration of the personalized preferences and needs of the target room in order to determine the focus of the objectives, and then achieve the control objectives to the maximum extent.


5.4. Computational Complexity Analysis of the Index-Based Operation of Shading
- O (1) constant complexity, running time independent of input size;
- O (n) linear complexity, with the input size increases, the operation time increases linearly;
- O (n2) square complexity, with the input size increases, the operation time increases by the power of two;
- O (2n) exponential complexity, with the input size increases, the computation time increases exponentially, etc. [42]
6. Conclusions
- The index-based control strategy has good directionality and its operational performance is not sensitive to changes in the boundary conditions of different cases, such as the layout or form of shading.
- The strategy that considers only energy savings will result in more frequent uncomfortable situations. Therefore, the indices in the operation logic should not only relate to energy consumption, but also relate to comfort. The control effect of sacrificing part of the comfort to achieve better energy savings is similar to other control strategies that consider comfort only. Therefore, a control strategy solely considering energy savings may not be necessary, and a moderate sacrifice of comfort may not cause excessive aversion.
- In the operation logic of shading, when the indices are including lighting comfort and lighting energy saving, indices related to thermal comfort can not be take into account, because the strategy can already meets the need of thermal comfort.
- The contradiction between visual comfort and thermal comfort exists. If we want to achieve comprehensive comfort, relying on a single BECS may not be able to resolve this contradiction, and coupling control with other BECSs is needed.
- The comfort thresholds of PMV* and RTA* may change after solar radiation is considered. However, this was not investigated in this study. Further research is planned in the future.
- In the control strategies, the number satisfying the constraints is currently used to select the system state in the first step. Using the degree of satisfaction of the constraints may be a better way to select the process. However, because each performance index has different dimensions, it is necessary to determine the weight of each index before selection. The authors believe that the weights should be determined by considering the individualized environment preference of occupants in the target room, which needs to be discussed in detail from the perspective of occupant behavior and thermal comfort research. In this case, we plan to conduct follow-up research on an independent topic.
- Finally, through this study, the contradictions between energy saving and indoor comfort, as well as visual comfort and thermal comfort, are drawn. This might be a key issue in exploring the intelligent operation of BECSs and can be combined with the issue of individualized environment preference to process further in-depth research.
Author Contributions
Funding
Data Availability Statement
Conflicts of Interest
References
- Li, C.; Zhu, H.; Lian, X.; Liu, Y.; Li, X.; Feng, Y. Study of “time-lag” of occupant behavior occurrences for establishing an occupant-centric building control system. Build. Environ. 2022, 216, 109005. [Google Scholar] [CrossRef]
- Yu, H.; Ma, C.; Liu, Z. An energy-saving control model and strategy based on divided areas for intelligent building. In Proceedings of the 2015 International Conference on Computational Science and Engineering, Reykjavík, Iceland, 21–23 October 2015; pp. 504–509. [Google Scholar]
- Sun, B.; Luh, P.B.; Jia, Q.-S.; Jiang, Z.; Wang, F.; Song, C. Building Energy Management: Integrated Control of Active and Passive Heating, Cooling, Lighting, Shading, and Ventilation Systems. IEEE Trans. Autom. Sci. Eng. 2012, 10, 588–602. [Google Scholar] [CrossRef]
- Du, Y.; Zandi, H.; Kotevska, O.; Kurte, K.; Munk, J.; Amasyali, K.; Mckee, E.; Li, F. Intelligent multi-zone residential HVAC control strategy based on deep reinforcement learning. Appl. Energy 2020, 281, 116117. [Google Scholar] [CrossRef]
- Yuan, X.; Pan, Y.; Yang, J.; Wang, W.; Huang, Z. Study on the application of reinforcement learning in the operation optimization of HVAC system. Build. Simul. 2020, 14, 75–87. [Google Scholar] [CrossRef]
- Sorgato, M.; Melo, A.; Lamberts, R. The effect of window opening ventilation control on residential building energy consumption. Energy Build. 2016, 133, 1–13. [Google Scholar] [CrossRef]
- Dussault, J.-M.; Sourbron, M.; Gosselin, L. Reduced energy consumption and enhanced comfort with smart windows: Comparison between quasi-optimal, predictive and rule-based control strategies. Energy Build. 2016, 127, 680–691. [Google Scholar] [CrossRef]
- Görgülü, S.; Ekren, N. Energy saving in lighting system with fuzzy logic controller which uses light-pipe and dimmable ballast. Energy Build. 2013, 61, 172–176. [Google Scholar] [CrossRef]
- Grygierek, K.; Sarna, I. Impact of Passive Cooling on Thermal Comfort in a Single-Family Building for Current and Future Climate Conditions. Energies 2020, 13, 5332. [Google Scholar] [CrossRef]
- Lee, D.; Ooka, R.; Ikeda, S.; Choi, W.; Kwak, Y. Model predictive control of building energy systems with thermal energy storage in response to occupancy variations and time-variant electricity prices. Energy Build. 2020, 225, 110291. [Google Scholar] [CrossRef]
- Park, J.Y.; Dougherty, T.; Fritz, H.; Nagy, Z. LightLearn: An adaptive and occupant centered controller for lighting based on reinforcement learning. Build. Environ. 2019, 147, 397–414. [Google Scholar] [CrossRef]
- Carletti, C.; Sciurpi, F.; Pierangioli, L.; Asdrubali, F.; Pisello, A.L.; Bianchi, F.; Sambuco, S.; Guattari, C. Thermal and lighting effects of an external venetian blind: Experimental analysis in a full scale test room. Build. Environ. 2016, 106, 45–56. [Google Scholar] [CrossRef]
- Yun, G.; Yoon, K.C.; Kim, K.S. The influence of shading control strategies on the visual comfort and energy demand of office buildings. Energy Build. 2014, 84, 70–85. [Google Scholar] [CrossRef]
- Atzeri, A.M.; Gasparella, A.; Cappelletti, F.; Tzempelikos, A. Comfort and energy performance analysis of different glazing systems coupled with three shading control strategies. Sci. Technol. Built Environ. 2018, 24, 545–558. [Google Scholar] [CrossRef]
- Skarning, G.C.J.; Hviid, C.A.; Svendsen, S. The effect of dynamic solar shading on energy, daylighting and thermal comfort in a nearly zero-energy loft room in Rome and Copenhagen. Energy Build. 2017, 135, 302–311. [Google Scholar] [CrossRef]
- Dussault, J.-M.; Gosselin, L. Office buildings with electrochromic windows: A sensitivity analysis of design parameters on energy performance, and thermal and visual comfort. Energy Build. 2017, 153, 50–62. [Google Scholar] [CrossRef]
- Kunwar, N.; Cetin, K.S.; Passe, U.; Zhou, X.; Li, Y. Full-scale experimental testing of integrated dynamically-operated roller shades and lighting in perimeter office spaces. Sol. Energy 2019, 186, 17–28. [Google Scholar] [CrossRef]
- Tzempelikos, A.; Shen, H. Comparative control strategies for roller shades with respect to daylighting and energy performance. Build. Environ. 2013, 67, 179–192. [Google Scholar] [CrossRef]
- Peng, Y.; Nagy, Z.; Schlüter, A. Temperature-preference learning with neural networks for occupant-centric building indoor climate controls. Build. Environ. 2019, 154, 296–308. [Google Scholar] [CrossRef]
- Reinhart, C.; Voss, K. Monitoring manual control of electric lighting and blinds. Light. Res. Technol. 2003, 35, 243–258. [Google Scholar] [CrossRef]
- Xie, J.; Sawyer, A.O. Simulation-assisted data-driven method for glare control with automated shading systems in office buildings. Build. Environ. 2021, 196, 107801. [Google Scholar] [CrossRef]
- Grobman, Y.J.; Capeluto, I.G.; Austern, G. External shading in buildings: Comparative analysis of daylighting performance in static and kinetic operation scenarios. Arch. Sci. Rev. 2016, 60, 126–136. [Google Scholar] [CrossRef]
- Gao, P.X.; Keshav, S. SPOT: A smart personalized office thermal control system. In Proceedings of the Fourth International Conference on Future Energy Systems, Berkeley, CA, USA, 21–24 May 2013; pp. 237–246. [Google Scholar] [CrossRef]
- Castilla, M.; Álvarez, J.D.; Berenguel, M.; Rodríguez, F.; Guzmán, J.L.; Pérez, M. A comparison of thermal comfort predictive control strategies. Energy Build. 2011, 43, 2737–2746. [Google Scholar] [CrossRef]
- Sharma, L.; Rakshit, D. Visual Comfort Based Algorithmic Control for Roller Shade and Assessment of Potential Energy Savings; Springer: Singapore, 2018. [Google Scholar]
- Wienold, J.; Christoffersen, J. Evaluation methods and development of a new glare prediction model for daylight environments with the use of CCD cameras. Energy Build. 2006, 38, 743–757. [Google Scholar] [CrossRef]
- Nabil, A.; Mardaljevic, J. Useful daylight illuminances: A replacement for daylight factors. Energy Build. 2006, 38, 905–913. [Google Scholar] [CrossRef]
- Howell, W.C.; Kennedy, P.A. Field Validation of the Fanger Thermal Comfort Model. Hum. Factors J. Hum. Factors Ergon. Soc. 1979, 21, 229–239. [Google Scholar] [CrossRef]
- Fanger, O.P. Thermal comfort: Analysis and applications in environmental engineering. Therm. Comf. Anal. Appl. Environ. Eng. 1972, 92, 244. [Google Scholar]
- Wienold, J. Dynamic daylight glare evaluation. Proc. Build. Simul. 2009, 11, 944–951. [Google Scholar]
- Chauvel, P.; Collins, B.J.; Dogniaux, R.; Longmore, J. Glare from windows: Current views of the problem. Light. Res. Technol. 1982, 14, 31–46. [Google Scholar] [CrossRef]
- American Society of Heating, Refrigerating and Air-Conditioning Engineers. Thermal Environmental Conditions for Human Occupancy; American Society of Heating, Refrigerating and Air-Conditioning Engineers: Atlanta, GA, USA, 2014. [Google Scholar]
- Suk, J.; Schiler, M. Investigation of Evalglare software, daylight glare probability and high dynamic range imaging for daylight glare analysis. Light. Res. Technol. 2013, 45, 450–463. [Google Scholar] [CrossRef]
- Pesenti, M.; Masera, G.; Fiorito, F. Shaping an Origami Shading Device through Visual and Thermal Simulations. Energy Procedia 2015, 78, 346–351. [Google Scholar] [CrossRef]
- Lavin, C.; Fiorito, F. Optimization of an External Perforated Screen for Improved Daylighting and Thermal Performance of an Office Space. Procedia Eng. 2017, 180, 571–581. [Google Scholar] [CrossRef]
- GB50033-2013; Standard for Daylighting Design of Buildings. China Architecture & Building Press: Beijing, China, 2013.
- La Gennusa, M.; Nucara, A.; Rizzo, G.; Scaccianoce, G. The calculation of the mean radiant temperature of a subject exposed to the solar radiation—A generalised algorithm. Build. Environ. 2005, 40, 367–375. [Google Scholar] [CrossRef]
- La Gennusa, M.; Nucara, A.; Pietrafesa, M.; Rizzo, G. A model for managing and evaluating solar radiation for indoor thermal comfort. Sol. Energy 2007, 81, 594–606. [Google Scholar] [CrossRef]
- ASHRAE. ASHRAE Handbook; ASHRAE: Atlanta, GA, USA, 2009. [Google Scholar]
- Energyplus. Engineering Reference. Available online: https://energyplus.net/assets/nrel_custom/pdfs/pdfs_v22.2.0/EngineeringReference.pdf (accessed on 28 September 2022).
- Wienold, J.; Christoffersen, J. Towards a New Daylight Glare Rating; Lux Europa: Berlin, Germany, 2005; pp. 157–161. [Google Scholar]
- Agenis-Nevers, M.; Bokde, N.D.; Yaseen, Z.M.; Shende, M.K. An empirical estimation for time and memory algorithm complexities: Newly developed R package. Multimedia Tools Appl. 2020, 80, 2997–3015. [Google Scholar] [CrossRef]
- Wienold, J. Dynamic simulation of blind control strategies for visual comfort and energy balance analysis. In Building Simulation; IBPSA: Beijing, China, 2007; pp. 1197–1204. [Google Scholar]
- Shen, H.; Tzempelikos, A. Daylight-linked synchronized shading operation using simplified model-based control. Energy Build. 2017, 145, 200–212. [Google Scholar] [CrossRef]







| Year | Location | Building Type | Device Type | Input Parameters | Evaluation Indices | Ref. | Control Type |
|---|---|---|---|---|---|---|---|
| 2016 | Brazil | Residence | Windows, HVAC | Internal temperature, whether the room is occupied | Hours of comfort in naturally ventilated rooms, energy consumption of HVAC system | [6] | 1 |
| 2016 | Canada | Office | Windows, HVAC | RBC1: Illuminance on the work plane, whether the room is occupied, internal temperature | Thermal discomfort index, energy consumption and peak loads | [7] | 1 |
| RBC2: Illuminance on the work plane, whether the room is occupied, internal temperature | 1 | ||||||
| GA: Overall energy consumption, illuminance on the work plane, internal temperature | 1, 2 | ||||||
| MPC: The cost (including electricity and discomfort costs of the building zone) | 2 | ||||||
| 2013 | Turkey | Faculty building | Lighting | The work plane illuminance, whether there is a motion in the room | The error level of control, energy saving | [8] | 1 |
| 2020 | Poland | Residence | Fans | Internal temperature, the number of thermal discomfort hours, heating demand | The number of thermal discomfort hours, heating demand, ACH | [9] | 1, 2 |
| Windows | Internal temperature, the number of thermal discomfort hours, heating demand, if the residents are in the building | 1, 2 | |||||
| 2020 | Japan | Office | HVAC | Operating cost, zone temperature, mass flow rates of pump | Zone temperature, electricity consumption, operating cost, pump operation | [10] | 1, 2 |
| 2019 | USA | Office | lighting | Whether the room is occupied, switch position, indoor light levels, period of day | The total energy use, light-utilization ratio, unmet comfort hours, light–comfort ratio, the daily relative change of each value | [11] | 1 |
| 2016 | Italy | Residence | Shading | External air temperature, illuminance, window orientation, hour of the day, period of the year | External, internal and mean radiant temperature, glass internal surface temperature, external and internal illuminance | [12] | 1 |
| 2020 | - | Residence | HVAC | Energy consumption cost, comfort violation cost | Energy consumption cost, temperature violation | [4] | 1, 2 |
| 2019 | China | Office | HVAC | Energy consumption, indoor temperature | Operating costs, energy consumption, percentage of non-comfortable time | [5] | 1, 2 |
| 2014 | Korea | Office | Shading | Vertical illuminance at eye level | Energy consumption | [13] | 1 |
| 2018 | Italy | Office | Shading | Working plane illuminance | The fraction of the occupation time with acceptable comfort conditions in a given position, The fraction of space simultaneously within comfort range in a given moment, energy demand | [14] | 1 |
| The position of the sun | 1 | ||||||
| The position of the sun, working plane illuminance | 1 | ||||||
| 2017 | Italy, Denmark | Residence | Shading | Outdoor air temperature, total diffuse and direct solar irradiation on the window | Space-heating demand, operative temperatures exceeding the upper comfort limit, the percentage of daylight hours with at least 300 lx in 75% of the space | [15] | 1 |
| 2017 | United States, Canada | Office | Windows | RBC1/2: If the building zone is in cooling mode, if it is occupancy period, daylight illuminance on the work plane, glare | Energy consumption, peak energy demand, UDI, PPD | [16] | 1 |
| RBC3/4/5/6: vertical solar radiation, glare | 1 | ||||||
| RBC7/8: zone temperature, glare | 1 | ||||||
| 2019 | USA | Office | Shading, lighting | External irradiation, vertical illuminance, work plane illuminance | Energy savings, DGPs, UDI | [17] | 1 |
| External irradiation, work plane illuminance | 1 | ||||||
| 2013 | USA | Office | Shading | Incident beam radiation | Daylight autonomy, UDI, fraction of time when work plane illuminance within the recommended value, annual lighting, heating and cooling energy demand, site energy consumption and total annual source energy consumption per unit floor area | [18] | 1 |
| Transmitted illuminance | 1 | ||||||
| The solar position, transmitted illuminance | 1 | ||||||
| The solar position, transmitted illuminance, heat gains | 1 | ||||||
| 2019 | Singapore | Office | HVAC | Time of day, outdoor temperature, indoor temperature, CO2 concentration | Energy savings, occupant intervention frequency | [19] | 1 |
| 2003 | Germany | Office | Shading | The illuminance onto the SSW façade | Manual manipulation rate | [20] | 1 |
| 2021 | USA | Office | Shading, lighting | Whether glare occur | The proportion of “glare, and the shading blocks glare successfully” and “glare, but the shading does not block glare successfully,” energy saving | [21] | 2 |
| 2016 | Israel | Office | Shading | AUDIs | AUDIs | [22] | 2 |
| 2013 | Canada | Office | HVAC | PPV, Energy cost | Average absolute PPV, average daily energy consumption, average discomfort | [23] | 2 |
| 2011 | Spain | Office | HVAC | PMV, indoor temperature, fan-coil velocity | PMV, energy consumption, mean number of changes in actuator’s state (on/off) per hour, the percentage of time the actuator is used | [24] | 1, 2 |
| 2018 | India | Office | Shading | DGP | DGP, energy consumption | [25] | 1, 2 |
| Evaluation Indices | Equation of Definition | Input Parameters | The Meaning of the Indices |
|---|---|---|---|
| Daylight Glare Probability (DGP) [26] | Vertical eye illuminance, luminance of source, solid angle of source, position index | The possibility of subjects experiencing glare over a period of time | |
| Useful Daylight Illuminance (UDI) [27] | The percentage of the time during which the natural illuminance on the working face is in the range of 100–2000 lx during the year | Illuminance | The usefulness of daylight |
| Predicted Percentage of Dissatisfied (PPD) [28] | PMV | Proportion of subjects who felt heat uncomfortable | |
| AUDIs [22] | The percentage of the time during which the natural illuminance on the working face is in the range of 300–1000 lx during the year | Illuminance | The usefulness of daylight |
| PPV [23] | Metabolic rate, effective mechanical power, air temperature, mean radiant temperature, clothing surface temperature, clothing surface area factor, water vapor partial pressure, convective heat transfer coefficient | Personalized thermal comfort of occupants | |
| PMV [29] | Metabolic rate, effective mechanical power, air temperature, mean radiant temperature, clothing surface temperature, clothing surface area factor, water vapor partial pressure, convective heat transfer coefficient | Average thermal comfort of occupants | |
| eDGPs [30] | Vertical eye illuminance, luminance of source, solid angle of source, position index | The possibility of subjects experiencing glare over a period of time. The second part is gained based on the calculation of simplified image |
| Threshold of DGP | Glare Feeling |
|---|---|
| DGP < 0.35 | Imperceptible glare |
| 0.35 < DGP < 0.4 | Perceptible glare |
| 0.4 < DGP < 0.45 | Disturbing glare |
| DGP > 0.45 | Intolerable glare |
| Room size | 3.5 m × 5.54 m × 2.8 m |
| Window–wall ratio | 0.4959 |
| The window | Transmittance 0.5 SHGC 0.35 |
| The wall | Reflectance 0.5 |
| The ceiling | Reflectance 0.7 |
| The floor | Reflectance 0.2 |
| Exterior venetian blind | Slat reflectance 0.7 Slat width 0.09 m Slat separation 0.07 m |
| The gear of shading (According to shading area) | 0%/20%/40%/60%/80%/100% |
| Room size | 3.62 m × 6 m × 2.85 m |
| Window–wall ratio | 0.421 |
| The window | Transmittance 0.5 SHGC 0.41 |
| The wall | Reflectance 0.6 |
| The ceiling | Reflectance 0.75 |
| The floor | Reflectance 0.2 |
| Exterior venetian blind | Slat reflectance 0.52 Slat width 0.1 m Slat separation 0.08 m |
| Furniture | Reflectance 0.6 |
| The gear of shading (According to shading area) | 0%/20%/40%/60%/80%/100% |
| Indices for Shading | Algorithm Complexity | Input Size |
|---|---|---|
| DGP | Ray tracing method O(n2) Reverse ray tracing method O(n) | 105 |
| Illuminance of work plane | Ray tracing method O(n2) Reverse ray tracing method O(n) | 1 |
| PMV* | O(n) | 1 |
| RTA* | O(n) | 1 |
| Solar radiation heat gain | O(n) | 1 |
Publisher’s Note: MDPI stays neutral with regard to jurisdictional claims in published maps and institutional affiliations. |
© 2022 by the authors. Licensee MDPI, Basel, Switzerland. This article is an open access article distributed under the terms and conditions of the Creative Commons Attribution (CC BY) license (https://creativecommons.org/licenses/by/4.0/).
Share and Cite
Zhu, H.; Lian, X.; Li, Z.; He, B. Quantifying the Effect of Index-Based Operation Logic for Building Environmental Control System—Taking Shading as Example. Buildings 2022, 12, 2043. https://doi.org/10.3390/buildings12122043
Zhu H, Lian X, Li Z, He B. Quantifying the Effect of Index-Based Operation Logic for Building Environmental Control System—Taking Shading as Example. Buildings. 2022; 12(12):2043. https://doi.org/10.3390/buildings12122043
Chicago/Turabian StyleZhu, Han, Xiangchao Lian, Zhengrong Li, and Bin He. 2022. "Quantifying the Effect of Index-Based Operation Logic for Building Environmental Control System—Taking Shading as Example" Buildings 12, no. 12: 2043. https://doi.org/10.3390/buildings12122043
APA StyleZhu, H., Lian, X., Li, Z., & He, B. (2022). Quantifying the Effect of Index-Based Operation Logic for Building Environmental Control System—Taking Shading as Example. Buildings, 12(12), 2043. https://doi.org/10.3390/buildings12122043

