Review of Mechanical and Temperature Properties of Fiber Reinforced Recycled Aggregate Concrete
Abstract
:1. Introduction
2. Fiber Types and Properties
3. Fiber Addition Method
4. Mechanical Properties
4.1. Regenerated Aggregate
4.2. Compressive Strength
4.3. Flexural Strength
4.4. Tensile Strength
5. High-Temperature Resistance
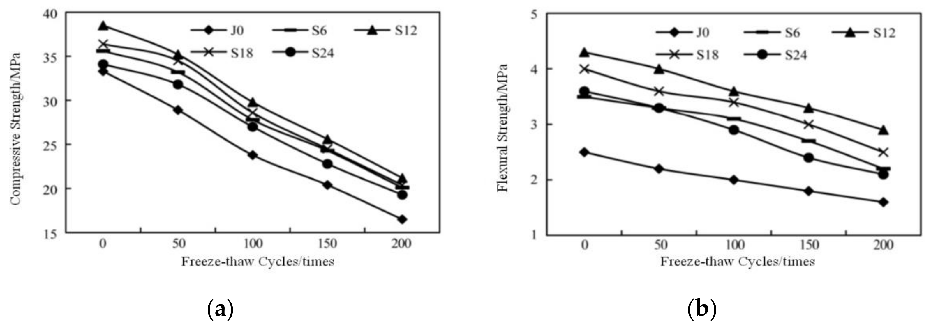
6. Freeze–Thaw Cycle
7. Conclusions
- Different mixing sequences and methods will affect the distribution of fiber in concrete, and then affect the reinforcement effect of fiber on concrete. The method of adding a small number of fibers many times is better than the method of adding all fibers at one time. Moreover, fiber-reinforced concrete is prepared in the order of adding fiber first and then mixing water, which can often make the distribution of fiber in concrete more uniform.
- Fibers similarly influence the compressive strength of RAC and natural aggregate concrete. When the amount of fiber is excess, it will even reduce the compressive strength of concrete. However, fibers can ameliorate the damage pattern of concrete when compressive damage occurs. In other words, the integrity of concrete specimens with fiber reinforcement is better when compressive damage occurs.
- Natural aggregates have lower water absorption and crush values, and the aggregates themselves are complicated with fewer microcracks. Therefore, it often occurs interface transition zone failure. Flexible fibers are usually softer and have a smaller diameter, which can better bridge the interface transition zone. Therefore, it is recommended to use flexible fibers to reinforce natural aggregate concrete.
- Different from natural aggregate, RA has higher water absorption and crushing value. High water absorption will lead to lower fluidity of RAC on the one hand and indirectly improve the strength of concrete due to the decrease of water-cement ratio on the other hand. In low and medium strength RAC, the strength enhancement caused by high water absorption is dominant; in high strength RAC, the strength weakening caused by the high crushing value of an aggregate is dominant.
- Fiber has a significant effect on the flexural strength enhancement of RAC. By comparing several fibers on RAC flexural performance enhancement effect, it is found that carbon fiber has the best enhancement effect. The flexural strength of RAC is improved by 56% at the 0.2% volume content of carbon fiber. Hybrid fibers also have a good improvement effect on the flexural properties of RAC.
- The rougher the surface and the more curved the shape of the fibers, the better the bonding performance with the concrete matrix, and thus the better the mechanical property enhancement of RAC.
- High temperature has a significant impact on concrete. Compared with NAC, the high-temperature resistance of RAC is worse. The high-temperature resistance will decrease rapidly with the increase in RA amount. Under high temperatures, fibers with a lower melting point can form channels within the concrete, reducing the internal pressure of water vapor on RAC. Fibers with a higher melting point can still play a bridging role under high temperatures, inhibiting the generation and development of cracks in RAC and improving high-temperature resistance.
- There is a high water absorption rate on RAC, making RAC more likely to reach the critical water saturation of freeze–thaw damage. Fibers can significantly enhance the frost resistance of RAC. The types and amounts of fibers will affect the frost resistance. The frost resistance of RAC is the best when the content of PP and basalt fiber is 0.2 kg/m3 and 1.2 kg/m3, respectively.
Author Contributions
Funding
Institutional Review Board Statement
Informed Consent Statement
Data Availability Statement
Conflicts of Interest
References
- Xiao, J.Z.; Li, J.B.; Lan, Y. Recent progress and review of research on reclaimed concrete technology. Concrete 2003, 10, 17–21. [Google Scholar]
- Al Ajmani, H.; Suleiman, F.; Abuzayed, I.; Tamimi, A. Evaluation of Concrete Strength Made with Recycled Aggregate. Buildings 2019, 9, 56. [Google Scholar] [CrossRef]
- Lin, L.; Wu, B. Water permeability behavior of recycled lump/aggregate concrete. Constr. Build. Mater. 2022, 323, 126508. [Google Scholar] [CrossRef]
- Kox, S.; Vanroelen, G.; Van Herck, J.; de Krem, H.; Vandoren, B. Experimental evaluation of the high-grade properties of recycled concrete aggregates and their application in concrete road pavement construction. Case Stud. Constr. Mater. 2019, 11, e00282. [Google Scholar] [CrossRef]
- Xiao, J.Z.; Zhang, P.; Zhang, Q.T. Basic mechanical properties of sea sand recycled concrete. J. Build. Eng. 2018, 35, 16–22. [Google Scholar]
- Yang, Z.-C.; Han, L.-H.; Hou, C. Performance of recycled aggregate concrete-filled steel tubular columns under combined compression and shear load. Eng. Struct. 2022, 253, 113771. [Google Scholar] [CrossRef]
- Xiao, J.; Li, J.; Zhang, C. Mechanical properties of recycled aggregate concrete under uniaxial loading. Cem. Concr. Res. 2005, 35, 1187–1194. [Google Scholar] [CrossRef]
- Revilla-Cuesta, V.; Evangelista, L.; de Brito, J.; Skaf, M.; Manso, J.M. Shrinkage prediction of recycled aggregate structural concrete with alternative binders through partial correction coefficients. Cem. Concr. Compos. 2022, 129, 104506. [Google Scholar] [CrossRef]
- Sosa, M.E.; Zaccardi, Y.A.V.; Zega, C.J. A critical review of the resulting effective water-to-cement ratio of fine recycled aggregate concrete. Constr. Build. Mater. 2021, 313, 125536. [Google Scholar] [CrossRef]
- Yan, B.; Huang, L.; Yan, L.; Gao, C.; Kasal, B. Behavior of flax FRP tube encased recycled aggregate concrete with clay brick aggregate. Constr. Build. Mater. 2017, 136, 265–276. [Google Scholar] [CrossRef]
- Anike, E.E.; Saidani, M.; Olubanwo, A.O.; Anya, U.C. Flexural performance of reinforced concrete beams with recycled aggregates and steel fibres. Structures 2022, 39, 1264–1278. [Google Scholar] [CrossRef]
- Yang, W.; Tang, Z.; Wu, W.; Zhang, K.; Yuan, J.; Li, H.; Feng, Z. Effect of different fibers on impermeability of steam cured recycled concrete. Constr. Build. Mater. 2022, 328, 127063. [Google Scholar] [CrossRef]
- Abed, M.A.; Fořt, J.; Naoulo, A.; Essa, A. Influence of Polypropylene and Steel Fibers on the Performance and Crack Repair of Self-Compacting Concrete. Materials 2021, 14, 5506. [Google Scholar] [CrossRef] [PubMed]
- Kang, T.H.-K.; Kim, W.; Kwak, Y.-K.; Hong, S.-G. Shear Testing of Steel Fiber-Reinforced Lightweight Concrete Beams without Web Reinforcement. ACI Struct. J. 2011, 108, 553. [Google Scholar]
- Zheng, Y.; Zhuo, J.; Zhang, P. A review on durability of nano-SiO2 and basalt fiber modified recycled aggregate concrete. Constr. Build. Mater. 2021, 304, 124659. [Google Scholar] [CrossRef]
- Wang, D.; Ju, Y.; Shen, H.; Xu, L. Mechanical properties of high performance concrete reinforced with basalt fiber and polypropylene fiber. Constr. Build. Mater. 2019, 197, 464–473. [Google Scholar] [CrossRef]
- Soe, K.T.; Zhang, Y.X.; Zhang, L.C. Material properties of a new hybrid fibre-reinforced engineered cementitious composite. Constr. Build. Mater. 2013, 43, 399–407. [Google Scholar] [CrossRef]
- Behfarnia, K.; Behravan, A. Application of high performance polypropylene fibers in concrete lining of water tunnels. Mater. Des. 2014, 55, 274–279. [Google Scholar] [CrossRef]
- Zhang, J.W.; Yang, Z.; Li, S.J.; Peng, H.J. Investigation on mechanical property adjustment of multi-scale hybrid fiber-reinforced concrete. Case Stud. Constr. Mater. 2022, 16, e01076. [Google Scholar]
- Ranjbar, N.; Zhang, M. Fiber-reinforced geopolymer composites: A review. Cem. Concr. Compos. 2020, 107, 103498. [Google Scholar] [CrossRef]
- ACI. State-of-the-Art Report on Fiber Reinforced Concrete; American Concrete Institute: Detroit, MI, USA, 1982; p. 554. [Google Scholar]
- ACI. Fiber Reinforced Concrete—Properties and Applications; American Concrete Institute: Detroit, MI, USA, 1987; p. 105. [Google Scholar]
- Sree, K.S.S.; Koniki, S. Mechanical Properties of PVA & Steel Hybrid Fiber Reinforced Concrete. E3S Web Conf. 2021, 309, 01174. [Google Scholar]
- Guler, S.; Akbulut, Z.F. Effect of freeze-thaw cycles on strength and toughness properties of new generation 3D/4D/5D steel fiber-reinforced concrete. J. Build. Eng. 2022, 51, 104239. [Google Scholar] [CrossRef]
- Wang, Z.; Ma, G.; Ma, Z.; Zhang, Y. Flexural behavior of carbon fiber-reinforced concrete beams under impact loading. Cem. Concr. Compos. 2021, 118, 103910. [Google Scholar] [CrossRef]
- Zegardło, B. Heat-resistant concretes containing waste carbon fibers from the sailing industry and recycled ceramic aggregates. Case Stud. Constr. Mater. 2022, 16, e01084. [Google Scholar] [CrossRef]
- Balgourinejad, N.; Haghighifar, M.; Madandoust, R.; Charkhtab, S. Experimental study on mechanical properties, microstructural of lightweight concrete incorporating polypropylene fibers and metakaolin at high temperatures. J. Mater. Res. Technol. 2022, 18, 5238–5256. [Google Scholar] [CrossRef]
- Yan, H.; Gao, D.; Guo, A.; Gu, Z.; Ji, D.; Zhang, Y. Monotonic and cyclic bond responses of steel bar with steel-polypropylene hybrid fiber reinforced recycled aggregate concrete. Constr. Build. Mater. 2022, 327, 127031. [Google Scholar] [CrossRef]
- Liu, F.; Ding, W.; Qiao, Y. Experimental investigation on the tensile behavior of hybrid steel-PVA fiber reinforced concrete containing fly ash and slag powder. Constr. Build. Mater. 2020, 241, 118000. [Google Scholar] [CrossRef]
- Noushini, A.; Samali, B.; Vessalas, K. Effect of polyvinyl alcohol (PVA) fibre on dynamic and material properties of fibre reinforced concrete. Constr. Build. Mater. 2013, 49, 374–383. [Google Scholar] [CrossRef]
- Chhetri, S.; Sarwar, A.; Steer, J.; Dhib, R.; Bougherara, H. Design of a bi-layer coating configuration on ultra-high molecular weight polyethylene (UHMWPE) fibre surface to derive synergistic response on interfacial bond strength. Compos. Part A Appl. Sci. Manuf. 2022, 152, 106678. [Google Scholar] [CrossRef]
- Zhang, Y.W.; Yan, L.H.; Liang, Q.H.; Li, L.F. Research on static mechanical properties of ultra-high molecular weight polyethylene fiber reinforced concrete. Adv. Eng. Sci. 2017, 49, 257–262. [Google Scholar]
- Wen, C.; Zhang, P.; Wang, J.; Hu, S. Influence of fibers on the mechanical properties and durability of ultra-high-performance concrete: A review. J. Build. Eng. 2022, 52, 104370. [Google Scholar] [CrossRef]
- Guo, Y.; Chen, Z.; Li, F.; Xu, X.; Chen, J.; Ren, Y.; Wang, Y. Study on formability and failure modes of steel/CFRP based FMLs consisting of carbon fiber reinforced polymer prepreg and steel sheet. Compos. Struct. 2022, 281, 114980. [Google Scholar] [CrossRef]
- Tabatabaei, Z.S.; Volz, J.S.; Keener, D.I.; Gliha, B.P. Comparative impact behavior of four long carbon fiber reinforced concretes. Mater. Des. 2014, 55, 212–223. [Google Scholar] [CrossRef]
- Sudhin, A.; Remanan, M.; Ajeesh, G.; Jayanarayanan, K. Comparison of Properties of Carbon Fiber Reinforced Thermoplastic and Thermosetting Composites for Aerospace Applications. Mater. Today Proc. 2020, 24, 453–462. [Google Scholar] [CrossRef]
- Jeon, E.-B.; Ahn, S.; Lee, I.-G.; Koh, H.-I.; Park, J.; Kim, H.-S. Investigation of mechanical/dynamic properties of carbon fiber reinforced polymer concrete for low noise railway slab. Compos. Struct. 2015, 134, 27–35. [Google Scholar] [CrossRef]
- Shu, X.; Graham, R.K.; Huang, B.; Burdette, E.G. Hybrid effects of carbon fibers on mechanical properties of Portland cement mortar. Mater. Des. 2015, 65, 1222–1228. [Google Scholar] [CrossRef]
- Varghese, T.K.; Joji, L.A.; Sebastian, N.; Niranjan, V.V.; Sidheek, P.A.; Joseph, M. Carbon fiber reinforced medical implants. Mater. Today Proc. 2022, 56, 121–125. [Google Scholar] [CrossRef]
- Singh, Y.; Singh, J.; Sharma, S.; Lam, T.-D.; Nguyen, D.-N. Fabrication and characterization of coir/carbon-fiber reinforced epoxy based hybrid composite for helmet shells and sports-good applications: Influence of fiber surface modifications on the mechanical, thermal and morphological properties. J. Mater. Res. Technol. 2020, 9, 15593–15603. [Google Scholar] [CrossRef]
- Liang, N.H. Multi-Scale Polypropylene Fiber Reinforced Concrete Mechanical Properties Test and Tensile and Compressive Damage Constitutive Model Research; Chongqing University: Chongqing, China, 2014. [Google Scholar]
- Akın, S.K.; Kartal, S.; Müsevitoğlu, A.; Sancıoğlu, S.; Zia, A.J.; İlgün, A. Macro and micro polypropylene fiber effect on reinforced concrete beams with insufficient lap splice length. Case Stud. Constr. Mater. 2022, 16, e01005. [Google Scholar] [CrossRef]
- Gencel, O.; Kazmi, S.M.S.; Munir, M.J.; Kaplan, G.; Bayraktar, O.Y.; Yarar, D.O.; Karimipour, A.; Ahmad, M.R. Influence of bottom ash and polypropylene fibers on the physico-mechanical, durability and thermal performance of foam concrete: An experimental investigation. Constr. Build. Mater. 2021, 306, 124887. [Google Scholar] [CrossRef]
- Xiong, Y. Mechanical Properties and Finite Element Analysis of PVA Fiber Reinforced Concrete; Hubei University of Technology: Wuhan, China, 2016. [Google Scholar]
- Lin, H. Research on Mechanical and Deformation Properties of PVA Fiber Reinforced Concrete; Nanjing University of Aeronautics and Astronautics: Nanjing, China, 2006. [Google Scholar]
- Sui, Y.; Li, J.; Qiu, Z.; Cui, Y.; Cong, C.; Meng, X.; Ye, H.; Zhou, Q. Effects of the sintering temperature on the superior cryogenic toughness of ultra-high molecular weight polyethylene (UHMWPE). Chem. Eng. J. 2022, 444, 136366. [Google Scholar] [CrossRef]
- Verma, N.; Pathak, H.; Keshri, A.K.; Prasad, A.; Zafar, S. Influence of UV exposure on mechanical behavior and cellular compatibility of nano-hydroxyapatite reinforced ultra-high molecular weight polyethylene. Mater. Today Commun. 2022, 31, 103542. [Google Scholar] [CrossRef]
- Gürgen, S. Wear behavior of UHMWPE composites under oxidative effect. Polym. Degrad. Stab. 2022, 199, 109912. [Google Scholar] [CrossRef]
- Hu, P.; Yang, H.; Zhang, P.; Wang, W.; Liu, J.; Cheng, Y. Experimental and numerical investigations into the ballistic performance of ultra-high molecular weight polyethylene fiber-reinforced laminates. Compos. Struct. 2022, 290, 115499. [Google Scholar] [CrossRef]
- Wang, J.; Dai, Q.; Si, R.; Guo, S. Investigation of properties and performances of Polyvinyl Alcohol (PVA) fiber-reinforced rubber concrete. Constr. Build. Mater. 2018, 193, 631–642. [Google Scholar] [CrossRef]
- Li, M.; He, H.; Senetakis, K. Behavior of carbon fiber-reinforced recycled concrete aggregate. Geosynth. Int. 2017, 24, 480–490. [Google Scholar] [CrossRef]
- Akça, K.R.; Çakır, Ö.; Ipek, M. Properties of polypropylene fiber reinforced concrete using recycled aggregates. Constr. Build. Mater. 2015, 98, 620–630. [Google Scholar] [CrossRef]
- Matar, P.; Zéhil, G.-P. Effects of Polypropylene Fibers on the Physical and Mechanical Properties of Recycled Aggregate Concrete. J. Wuhan Univ. Technol. Sci. Ed. 2019, 34, 1327–1344. [Google Scholar] [CrossRef]
- Miletić, M.; Kumar, L.M.; Arns, J.-Y.; Agarwal, A.; Foster, S.J.; Arns, C.; Perić, D. Gradient-based fibre detection method on 3D micro-CT tomographic image for defining fibre orientation bias in ultra-high-performance concrete. Cem. Concr. Res. 2020, 129, 105962. [Google Scholar] [CrossRef]
- Zhang, C.; Wang, Y.; Zhang, X.; Ding, Y.; Xu, P. Mechanical properties and microstructure of basalt fiber-reinforced recycled concrete. J. Clean. Prod. 2021, 278, 123252. [Google Scholar] [CrossRef]
- Das, C.S.; Dey, T.; Dandapat, R.; Mukharjee, B.B.; Kumar, J. Performance evaluation of polypropylene fibre reinforced recycled aggregate concrete. Constr. Build. Mater. 2018, 189, 649–659. [Google Scholar] [CrossRef]
- Meng, T.; Wei, H.; Dai, D.; Liao, J.; Ahmed, S. Effect of brick aggregate on failure process of mixed recycled aggregate concrete via X-CT. Constr. Build. Mater. 2022, 327, 126934. [Google Scholar] [CrossRef]
- Alsadey, S. Properties of concrete using crushed brick as coarse aggregate. Int. J. Adv. Mech. Civ. Eng. 2019, 6, 43–47. [Google Scholar]
- Dang, J.; Zhao, J.; Pang, S.D.; Zhao, S. Durability and microstructural properties of concrete with recycled brick as fine aggregates. Constr. Build. Mater. 2020, 262, 120032. [Google Scholar] [CrossRef]
- Zhang, B.; Wang, S.L.; Du, Y.F. Influence of crushing value index on compressive strength of recycled concrete. Ind. Archit. 2013, 43, 6. [Google Scholar]
- Yang, Q. Research on the Effect of Water Absorption of Regenerated Orthopedics on the Physical and Mechanical Properties of Recycled Concrete; Zhejiang University: Hangzhou, China, 2011. [Google Scholar]
- Kurda, R.; de Brito, J.; Silvestre, J.D. Water absorption and electrical resistivity of concrete with recycled concrete aggregates and fly ash. Cem. Concr. Compos. 2019, 95, 169–182. [Google Scholar] [CrossRef]
- Rahal, K.N.; Hassan, W. Shear strength of plain concrete made of recycled low-strength concrete aggregates and natural aggregates. Constr. Build. Mater. 2021, 311, 125317. [Google Scholar] [CrossRef]
- Lu, Z.; Tan, Q.; Lin, J.; Wang, D. Properties investigation of recycled aggregates and concrete modified by accelerated carbonation through increased temperature. Constr. Build. Mater. 2022, 341, 127813. [Google Scholar] [CrossRef]
- Zhang, H.; Xiao, J.; Tang, Y.; Duan, Z.; Poon, C.-S. Long-term shrinkage and mechanical properties of fully recycled aggregate concrete: Testing and modelling. Cem. Concr. Compos. 2022, 130, 104527. [Google Scholar] [CrossRef]
- Wang, C.; Xiao, J.; Liu, W.; Ma, Z. Unloading and reloading stress-strain relationship of recycled aggregate concrete reinforced with steel/polypropylene fibers under uniaxial low-cycle loadings. Cem. Concr. Compos. 2022, 131, 104597. [Google Scholar] [CrossRef]
- Gao, D.; Wang, F. Effects of recycled fine aggregate and steel fiber on compressive and splitting tensile properties of concrete. J. Build. Eng. 2021, 44, 102631. [Google Scholar] [CrossRef]
- Grzymski, F.; Musiał, M.; Trapko, T. Mechanical properties of fibre reinforced concrete with recycled fibres. Constr. Build. Mater. 2019, 198, 323–331. [Google Scholar] [CrossRef]
- He, W.C.; Kong, X.Q.; Zhou, C. Research on mechanical properties and microstructure of steel fiber recycled concrete. Concrete 2020, 6, 44–49. [Google Scholar]
- Nuaklong, P.; Wongsa, A.; Boonserm, K.; Ngohpok, C.; Jongvivatsakul, P.; Sata, V.; Sukontasukkul, P.; Chindaprasirt, P. Enhancement of mechanical properties of fly ash geopolymer containing fine recycled concrete aggregate with micro carbon fiber. J. Build. Eng. 2021, 41, 102403. [Google Scholar] [CrossRef]
- Yu, F.; Wang, H.; Song, J.; Fang, Y.; Xu, B.; Wang, J.; Shen, W. Deformation analysis of flexural PVA fiber-reinforced RAC slabs. Structures 2022, 37, 661–670. [Google Scholar] [CrossRef]
- Zhang, Y.Z. Experimental study on the compressive performance of PVA fiber recycled concrete. J. Zhong Yuan Univ. Technol. 2021, 32, 60–65. [Google Scholar]
- Zhang, Y.W.; Yan, L.H.; Li, L.F. Experimental research on anti-penetration properties of UHMWPE fiber reinforced concrete. Prot. Eng. 2014, 36, 5. [Google Scholar]
- Xiao, J.Z. Recycled Concrete, 1st ed.; China Construction Industry Press: Beijing, China, 2008; pp. 132–145. [Google Scholar]
- Zhang, W.; Wang, S.; Zhao, P.; Lu, L.; Cheng, X. Effect of the optimized triple mixing method on the ITZ microstructure and performance of recycled aggregate concrete. Constr. Build. Mater. 2019, 203, 601–607. [Google Scholar] [CrossRef]
- Afroughsabet, V.; Biolzi, L.; Ozbakkaloglu, T. Influence of double hooked-end steel fibers and slag on mechanical and durability properties of high performance recycled aggregate concrete. Compos. Struct. 2017, 181, 273–284. [Google Scholar] [CrossRef]
- Sivakumar, A.; Santhanam, M. A quantitative study on the plastic shrinkage cracking in high strength hybrid fibre reinforced concrete. Cem. Concr. Compos. 2007, 29, 575–581. [Google Scholar] [CrossRef]
- Islam, M.J.; Islam, K.; Shahjalal, M.; Khatun, E.; Islam, S.; Razzaque, A.B. Influence of different types of fibers on the mechanical properties of recycled waste aggregate concrete. Constr. Build. Mater. 2022, 337, 127577. [Google Scholar] [CrossRef]
- Yan, L.; Zhang, Y.; Zhu, L. Basic mechanical properties of ultra high molecular weight polyethylene fiber reinforced concrete. J. Natl. Univ. Def. Technol. 2014, 36, 43–47. [Google Scholar]
- Tong, Y. Experimental Study on the Effect of Basalt Fiber on the Mechanical Properties of Recycled Concrete; Hubei University of Technology: Wuhan, China, 2020. [Google Scholar]
- Ahmadi, M.; Farzin, S.; Hassani, A.; Motamedi, M. Mechanical properties of the concrete containing recycled fibers and aggregates. Constr. Build. Mater. 2017, 144, 392–398. [Google Scholar] [CrossRef]
- Wani, T.A.; Ganesh, S. Study on fresh properties, mechanical properties and microstructure behavior of fiber reinforced self compacting concrete: A review. Mater. Today Proc. 2022, 62, 6663–6670. [Google Scholar] [CrossRef]
- Alhaji, M.A.; Sharma, P.K. Combined effects of rice husk ash and hybrid fibres on the fresh and mechanical properties of recycled aggregate concrete. Mater. Today Proc. 2022, 62, 6695–6700. [Google Scholar] [CrossRef]
- Shen, Q.Z. Research on Mechanical Properties of PVA/Steel Hybrid Fiber Reinforced Cement Concrete; Chang An University: Xi’an, China, 2013. [Google Scholar]
- Narayanan, S.; Muniasamy, G.; Kumar, P.S.; Ragul, K.A.; Muni Selvam, M. Past investigations on mechanical and durability properties of hybrid fiber reinforced concrete. Int. J. Civ. Eng. 2019, 10, 1–10. [Google Scholar]
- Mastali, M.; Dalvand, A.; Sattarifard, A.R.; Abdollahnejad, Z.; Illikainen, M. Characterization and optimization of hardened properties of self-consolidating concrete incorporating recycled steel, industrial steel, polypropylene and hybrid fibers. Compos. Part B Eng. 2018, 151, 186–200. [Google Scholar] [CrossRef]
- Fu, Q.; Xu, W.; Bu, M.; Guo, B.; Niu, D. Effect and action mechanism of fibers on mechanical behavior of hybrid basalt-polypropylene fiber-reinforced concrete. Structures 2021, 34, 3596–3610. [Google Scholar] [CrossRef]
- Hossain, F.Z.; Shahjalal, M.; Islam, K.; Tiznobaik, M.; Alam, M.S. Mechanical properties of recycled aggregate concrete containing crumb rubber and polypropylene fiber. Constr. Build. Mater. 2019, 225, 983–996. [Google Scholar] [CrossRef]
- Su, J.; Qin, H.J.; Shi, C.J.; Fang, Z. Experimental Study on Scale Effect of Flexural Strength of Steel Fiber Reinforced Recycled Concrete. J. Hunan Univ. 2021, 48, 7. [Google Scholar]
- Sriram, M.; Sidhaarth, K.A. Various properties of natural and artificial fibers with cementitious composites in hybrid form—A review. Mater. Today Proc. 2022, 60, 2018–2025. [Google Scholar] [CrossRef]
- Vijayan, V.; Jayakesh, K.; Anand, K.B. Mechanical properties of recycled aggregates concrete with sisal fiber and silica fume. Mater. Today Proc. 2022, 55, 1–8. [Google Scholar] [CrossRef]
- Benedetty, C.A.; Krahl, P.A.; Almeida, L.C.; Trautwein, L.M.; Siqueira, G.H.; de Andrade Silvab, F. Interfacial mechanics of steel fibers in a High-Strength Fiber-Reinforced Self Compacting Concrete. Constr. Build. Mater. 2021, 301, 124344. [Google Scholar] [CrossRef]
- Du, X.; Li, Y.; Si, Z.; Huang, L.; Chen, X. Effects of basalt fiber and polyvinyl alcohol fiber on the properties of recycled aggregate concrete and optimization of fiber contents. Constr. Build. Mater. 2022, 340, 127646. [Google Scholar] [CrossRef]
- Liang, N.; Mao, J.; Yan, R.; Liu, X.; Zhou, X. Corrosion resistance of multiscale polypropylene fiber-reinforced concrete under sulfate attack. Case Stud. Constr. Mater. 2022, 16, e01065. [Google Scholar] [CrossRef]
- Alwesabi, E.A.H.; Bakar, B.H.A.; Alshaikh, I.M.H.; Abadel, A.A.; Alghamdi, H.; Wasim, M. An experimental study of compressive toughness of Steel–Polypropylene hybrid Fibre-Reinforced concrete. Structures 2022, 37, 379–388. [Google Scholar] [CrossRef]
- Cheng, F. Study on Static and Impact Resistance of PVA Fiber-Reinforced Recycled Coarse Aggregate Concrete; Henan Polytechnic University: Jiaozuo, China, 2020. [Google Scholar]
- Shen, D.; Kang, J.; Yi, X.; Zhou, L.; Shi, X. Effect of double hooked-end steel fiber on early-age cracking potential of high strength concrete in restrained ring specimens. Constr. Build. Mater. 2019, 223, 1095–1105. [Google Scholar] [CrossRef]
- Laxmi, G.; Patil, S.G. Effect of fiber types, shape, aspect ratio and volume fraction on properties of geopolymer concrete–A review. Mater. Today Proc. 2022, 157, 1–9. [Google Scholar] [CrossRef]
- Dimitriou, G.; Savva, P.; Petrou, M.F. Enhancing mechanical and durability properties of recycled aggregate concrete. Constr. Build. Mater. 2018, 158, 228–235. [Google Scholar] [CrossRef]
- Katkhuda, H.; Shatarat, N. Improving the mechanical properties of recycled concrete aggregate using chopped basalt fibers and acid treatment. Constr. Build. Mater. 2017, 140, 328–335. [Google Scholar] [CrossRef]
- Wang, L.D.; Zhou, Z.Y.; Ye, L.F. Experimental study on the effect of composite powder and polypropylene fiber on the frost resistance of recycled concrete. J. Univ. Shanghai Sci. Technol. 2017, 39, 301–306. [Google Scholar]
- Kumar, D.N.; Rao, T.V.; Madhu, T.; Saroja, P.L.N.; Prasad, D.S.V. An experimental study of recycled concrete with polypropylene fiber. Int. J. Innov. Res. Adv. Eng. 2014, 7, 67–75. [Google Scholar]
- Karimipour, A.; Brito, J. Influence of polypropylene fibres and silica fume on the mechanical and fracture properties of ultra-high-performance geopolymer concrete. Constr. Build. Mater. 2021, 283, 122753. [Google Scholar] [CrossRef]
- He, W.; Kong, X.; Fu, Y.; Zhou, C.; Zheng, Z. Experimental investigation on the mechanical properties and microstructure of hybrid fiber reinforced recycled aggregate concrete. Constr. Build. Mater. 2020, 261, 120488. [Google Scholar] [CrossRef]
- Abed, M.; Nemes, R.; Lublóy, É. The impact of time on the heat resistance of self-compacting high-performance concrete incorporated with recycled martials. J. Therm. Anal. Calorim. 2019, 138, 35–45. [Google Scholar] [CrossRef]
- Deng, Z.H.; Huang, H.Q.; Ye, B.; Wang, H.; Xiang, P. Investigation on recycled aggregate concretes exposed to high temperature by biaxial compressive tests. Constr. Build. Mater. 2020, 244, 118048. [Google Scholar] [CrossRef]
- Chen, Z.P.; Zhou, C.H.; Li, Y. Research on mechanical properties of recycled concrete after warming. J. Build. Struct. 2017, 38, 9. [Google Scholar]
- Shaikh, F.U.A. Mechanical properties of concrete containing recycled coarse aggregate at and after exposure to elevated temperatures. Struct. Concr. 2018, 19, 400–410. [Google Scholar] [CrossRef]
- Cree, D.; Green, M.; Noumowé, A. Residual strength of concrete containing recycled materials after exposure to fire: A review. Constr. Build. Mater. 2013, 45, 208–223. [Google Scholar] [CrossRef]
- Serafini, R.; Dantas, S.R.; Agra, R.R.; de la Fuente, A.; Berto, A.F.; de Figueiredo, A.D. Design-oriented assessment of the residual post-fire bearing capacity of precast fiber reinforced concrete tunnel linings. Fire Saf. J. 2022, 127, 103503. [Google Scholar] [CrossRef]
- Mahasneh, B.Z. The effect of addition of fiber reinforcement on fire resistant composite concrete material. J. Appl. Sci. 2005, 5, 373–379. [Google Scholar] [CrossRef]
- Lourenço, L.; Barros, J.A.; Santos, S.P.F. High Strength and Ductile Fibrous Concrete of Enhanced Fire Resistance; Springer: Berlin/Heidelberg, Germany, 2007. [Google Scholar]
- Khaleel, O.R.; Al Wahaibi, M.M.; Abed, M.J.; Dawood, M.; Fayyadh, M.M. Performance of carbon fibre concrete subjected to fire. Mater. Today Proc. 2021, 42, 1160–1165. [Google Scholar] [CrossRef]
- Zhu, R.Y. Study on Mechanical Properties of Glass Fiber Modified Recycled Concrete after High Temperature High Temperature; Xiangtan University: Xiangtan, China, 2021. [Google Scholar]
- Kong, X.Q.; Yuan, S.L.; Dong, J.K. Experimental study on high temperature performance of polypropylene-basalt hybrid fiber recycled concrete. Sci. Technol. Eng. 2018, 18, 6. [Google Scholar]
- Gao, D.Y.; Chen, J.W.; Wang, Y.H. Experimental study on mechanical properties of fiber nano-modified rubber concrete at high temperature. J. Tianjin Univ. Nat. Sci. Eng. Technol. 2018, 51, 8. [Google Scholar]
- Nematzadeh, M.; Shahmansouri, A.A.; Fakoor, M. Post-fire compressive strength of recycled PET aggregate concrete reinforced with steel fibers: Optimization and prediction via RSM and GEP. Constr. Build. Mater. 2020, 252, 119057. [Google Scholar] [CrossRef]
- Chen, G.M.; He, Y.H.; Yang, H.; Chen, J.-F.; Guo, Y.C. Compressive behavior of steel fiber reinforced recycled aggregate concrete after exposure to elevated temperatures. Constr. Build. Mater. 2014, 71, 1–15. [Google Scholar] [CrossRef]
- Wang, W.-C.; Wang, H.-Y.; Chang, K.-H.; Wang, S.-Y. Effect of high temperature on the strength and thermal conductivity of glass fiber concrete. Constr. Build. Mater. 2020, 245, 118387. [Google Scholar] [CrossRef]
- Jeyanthi, J. Thermal conductivity of hybrid fibre reinforced concrete under varying temperature. Mater. Today Proc. 2022, 64, 598–604. [Google Scholar] [CrossRef]
- Moghadam, M.A.; Izadifard, R.A. Effects of steel and glass fibers on mechanical and durability properties of concrete exposed to high temperatures. Fire Saf. J. 2020, 113, 102978. [Google Scholar] [CrossRef]
- Silva, J.B.; Pepe, M.; Toledo, R.D. High temperatures effect on mechanical and physical performance of normal and high strength recycled aggregate concrete. Fire Saf. J. 2020, 117, 103222. [Google Scholar] [CrossRef]
- Pliya, P.; Hajiloo, H.; Romagnosi, S.; Cree, D.; Sarhat, S.; Green, M.F. The compressive behaviour of natural and recycled aggregate concrete during and after exposure to elevated temperatures. J. Build. Eng. 2021, 38, 102214. [Google Scholar] [CrossRef]
- Chandrathilaka, E.R.K.; Baduge, S.K.; Mendis, P.; Thilakarathna, P.S.M. Structural applications of synthetic fibre reinforced cementitious composites: A review on material properties, fire behaviour, durability and structural performance. Structures 2021, 34, 550–574. [Google Scholar] [CrossRef]
- Wu, H.; Lin, X.; Zhou, A. A review of mechanical properties of fibre reinforced concrete at elevated temperatures. Cem. Concr. Res. 2020, 135, 106117. [Google Scholar] [CrossRef]
- Gokce, A.; Nagataki, S.; Saeki, T.; Hisada, M. Freezing and thawing resistance of air-entrained concrete incorporating recycled coarse aggregate: The role of air content in demolished concrete. Cem. Concr. Res. 2004, 34, 799–806. [Google Scholar] [CrossRef]
- Bao, J.W.; Yu, Z.H.; Zhang, P. Research progress on the frost resistance of recycled coarse aggregate concrete and its components. J. Build. Struct. 2022, 43, 16. [Google Scholar]
- Chen, Z.H.; Yuan, C.F. Research progress on frost resistance of recycled aggregate concrete. Concrete 2019, 27, 20–23. [Google Scholar]
- Ma, Z.; Liu, M.; Tang, Q.; Liang, C.; Duan, Z. Chloride permeability of recycled aggregate concrete under the coupling effect of freezing-thawing, elevated temperature or mechanical damage. Constr. Build. Mater. 2020, 237, 117648. [Google Scholar] [CrossRef]
- Wang, W.; Wang, Y.; Chen, Q.; Liu, Y.; Zhang, Y.; Ma, G.; Duan, P. Bond properties of basalt fiber reinforced polymer (BFRP) bars in recycled aggregate thermal insulation concrete under freeze–thaw cycles. Constr. Build. Mater. 2022, 329, 127197. [Google Scholar] [CrossRef]
- Baena, M.; Torres, L.; Turon, A.; Llorens, M.; Barris, C. Bond behaviour between recycled aggregate concrete and glass fibre reinforced polymer bars. Constr. Build. Mater. 2016, 106, 449–460. [Google Scholar] [CrossRef]
- Chen, Z.H.; Yuan, C.F. Review on frost resistance property of recycled aggregate concrete. Concrete 2019, 5, 20–27. [Google Scholar]
- Ren, L.; Zhao, H.L.; Yuan, S.C. Experimental study on basic mechanical properties of basalt fiber reinforced recycled concrete after freezing and thawing. Concrete 2017, 8, 46–51. [Google Scholar]
- Nam, J.; Kim, G.; Lee, B.; Hasegawa, R.; Hama, Y. Frost resistance of polyvinyl alcohol fiber and polypropylene fiber reinforced cementitious composites under freeze thaw cycling. Compos. Part B Eng. 2016, 90, 241–250. [Google Scholar] [CrossRef]
- Huo, J.F.; Wang, C.; Hou, Y.L. Research on the frost resistance and pore structure of fiber regenerated concrete. Bull. Chin. Ceram. Soc. 2018, 37, 5. [Google Scholar]
- Li, Y.; Zhang, J.; He, Y.; Huang, G.; Li, J.; Niu, Z.; Gao, B. A review on durability of basalt fiber reinforced concrete. Compos. Sci. Technol. 2022, 225, 109519. [Google Scholar] [CrossRef]
- Xie, G.L.; Shen, X.D.; Liu, J.Y. Frost resistance and damage degradation model of basalt fiber recycled concrete. Compos. Sci. Eng. 2021, 4, 55–60. [Google Scholar]









| Fiber | Appearance | Density /(g/cm3) | Diameter /μm | Tensile Strength /MPa | Elastic Modulus /GPa | Elongation /% | Resistance of Acid and Alkali |
|---|---|---|---|---|---|---|---|
| Steel fiber [23,24] | ![]() | 7.8 | 300–800 | 1270 | 200 | 3.4–4 | moderate |
| Carbon Fiber [25,26] | ![]() | 1.78 | 7 | 3530 | 230 | 1.5 | good |
| Polypropylene fiber [27,28] | ![]() | 0.91 | 100 | 472 | 5.8 | 19.9 | excellent |
| Polyvinyl alcohol fiber [29,30] | ![]() | 1.3 | 39 | 1600 | 39 | 7 | good |
| Ultra-high molecular weight polyethylene fiber [31,32] | ![]() | 0.97 | 20–50 | 3000 | 100 | 2.8 | excellent |
| Author | Aggregate Type | Apparent Density/(g/cm3) | Bulk Density/(g/cm3) | Crush Value/% | Water Absorption/% |
|---|---|---|---|---|---|
| Zhang [63] | NA | 2782 | - | 5.1 | 0.8 |
| Lu [64] | NA | 2582 | - | 3.8 | 1.1 |
| Knr [65] | RA | - | 1427 | 26.5 | 6.9 |
| Xiao [66] | RA | 2520 | 1290 | 15.2 | 9.3 |
| Author | Fiber | Specimen Number | Compressive Strength Change Rate/% | ||
|---|---|---|---|---|---|
| 200 °C | 400 °C | 600 °C | |||
| Zhu Ruyi [114] | Glass fiber | NA-F0 | −8.00 | −29.10 | −39.67 |
| NA-F0.3 | −6.00 | −26.80 | −35.50 | ||
| NA-F0.5 | −3.56 | −23.45 | −32.80 | ||
| NA-F0.7 | −4.99 | −24.43 | −35.91 | ||
| RA30-F0 | −6.02 | −24.79 | −38.00 | ||
| RA30-F0.3 | −3.56 | −21.95 | −34.96 | ||
| RA30-F0.5 | −3.38 | −20.55 | −32.61 | ||
| RA30-F0.7 | −4.30 | −21.95 | −35.43 | ||
| RA60-F0 | −6.80 | −26.88 | −38.22 | ||
| RA60-F0.3 | −5.40 | −24.08 | −36.31 | ||
| RA60-F0.5 | −2.76 | −21.07 | −33.38 | ||
| RA60-F0.7 | −3.81 | −24.68 | −35.26 | ||
| Kong Xiangqing [115] | PP–basalt hybrid fibers | RA100-F0 | −7.48 | −21.32 | −43.76 |
| RA100-F0.1/0.05 | 3.31 | −10.68 | −35.36 | ||
| RA100-F0.1/0.1 | 6.17 | −4.59 | −27.34 | ||
| RA100-F0.1/0.15 | 8.73 | −6.26 | −31.50 | ||
| Chen Jiawei [118] | Steel fiber | NA-F0 | −16.38 | −6.02 | −21.78 |
| NA-F0.5 | −22.06 | −11.00 | −26.08 | ||
| NA-F1 | −22.59 | −7.61 | −20.60 | ||
| Nematzadeh [119] | Steel fiber | RA100-F0 | −18.49 | −32.69 | −60.95 |
| RA100-F0.5 | −15.41 | −33.13 | −69.80 | ||
| RA100-F1.0 | −25.37 | −35.29 | −75.00 | ||
| Chen [120] | Steel fiber | NA-F0 | −6.52 | −30.10 | −69.72 |
| RA100-F0 | −18.64 | −53.07 | −78.73 | ||
| RA100-F0.5 | −16.34 | −41.86 | −72.98 | ||
| RA100-F1 | −14.34 | −40.16 | −69.94 | ||
| RA100-F1.5 | −11.74 | −26.14 | −50.08 | ||
Publisher’s Note: MDPI stays neutral with regard to jurisdictional claims in published maps and institutional affiliations. |
© 2022 by the authors. Licensee MDPI, Basel, Switzerland. This article is an open access article distributed under the terms and conditions of the Creative Commons Attribution (CC BY) license (https://creativecommons.org/licenses/by/4.0/).
Share and Cite
Yao, X.; Pei, Z.; Zheng, H.; Guan, Q.; Wang, F.; Wang, S.; Ji, Y. Review of Mechanical and Temperature Properties of Fiber Reinforced Recycled Aggregate Concrete. Buildings 2022, 12, 1224. https://doi.org/10.3390/buildings12081224
Yao X, Pei Z, Zheng H, Guan Q, Wang F, Wang S, Ji Y. Review of Mechanical and Temperature Properties of Fiber Reinforced Recycled Aggregate Concrete. Buildings. 2022; 12(8):1224. https://doi.org/10.3390/buildings12081224
Chicago/Turabian StyleYao, Xinglong, Zhiyang Pei, Haoyuan Zheng, Qizhou Guan, Fupeng Wang, Shuo Wang, and Yongcheng Ji. 2022. "Review of Mechanical and Temperature Properties of Fiber Reinforced Recycled Aggregate Concrete" Buildings 12, no. 8: 1224. https://doi.org/10.3390/buildings12081224
APA StyleYao, X., Pei, Z., Zheng, H., Guan, Q., Wang, F., Wang, S., & Ji, Y. (2022). Review of Mechanical and Temperature Properties of Fiber Reinforced Recycled Aggregate Concrete. Buildings, 12(8), 1224. https://doi.org/10.3390/buildings12081224






