Non-Destructive Evaluation of Preload Loss of Bolted Spherical Joints Based on Time Reversal Acoustics: A Numerical Simulation
Abstract
1. Introduction
2. Non-Destructive Evaluation Based on Time Reversal Acoustics
2.1. Principle
2.2. FE Model
2.3. FE Results
3. Ultimate Flexural Capacity of the Bolted Spherical Joint
3.1. FE Model and Verification
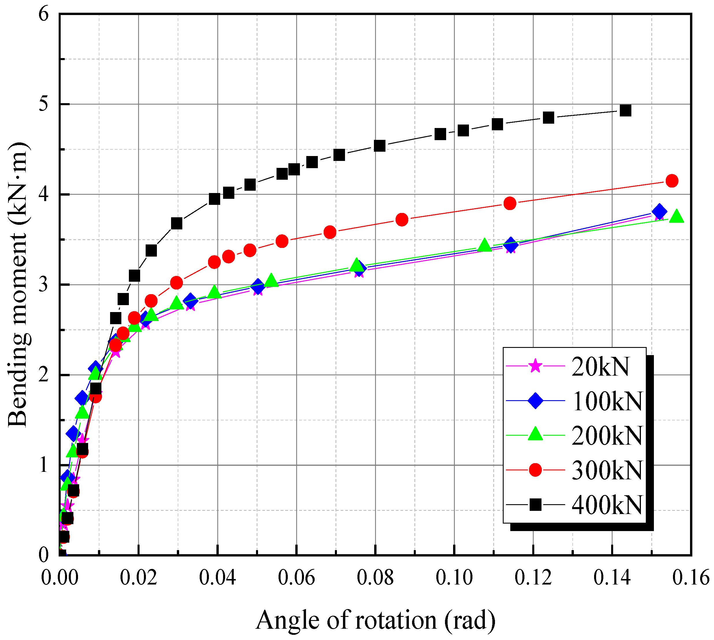
3.2. Effect of Preload Loss on the Ultimate Flexural Capacity
4. Conclusions
- (1)
- It is found from the FE results that with the increasing preload levels, the contact areas of the sphere–sleeve interface and the sleeve–sealing plate interface enlarge. The subsequent coupled electro-mechanical analysis indicates that the amplitude of the focused signal is proportional to the preload level. The possible explanation is that the increase of the contact areas of the sphere–sleeve interface and the sleeve–sealing plate interface leads to the increase of the amount of energy focused on the source.
- (2)
- The FE model for examining the ultimate flexural capacity of BSJs is verified against the experimental data. Parametric analysis based on the verified FE model indicates that with the increasing preload level, the ultimate flexural capacity of the bolted spherical joint increases. When the preload level is lower, its effect on the load-carrying capacity is negligible. However, when the preload level exceeds a certain level, the ultimate flexural capacity becomes increasingly sensitive to the preload level.
- (3)
- Three approaches are adopted to model the bolt–sphere interface to explore its effect on the predicted ultimate flexural capacity. All three modelling approaches yield similar results, which implies that in practical application, the simplest approach (i.e., tie constraint) can predict the flexural behavior of bolted spherical joints with acceptable accuracy.
Author Contributions
Funding
Data Availability Statement
Conflicts of Interest
References
- Li, D.; Cui, S.; Zhang, J. Experimental investigation on reinforcing effects of engineered cementitious composites (ecc) on improving progressive collapse performance of planar frame structure. Constr. Build. Mater. 2022, 347, 128510. [Google Scholar] [CrossRef]
- Chen, W.; Xie, Y.; Guo, X.; Li, D. Experimental investigation of seismic performance of a hybrid beam—Column connection in a precast concrete frame. Buildings 2022, 12, 801. [Google Scholar] [CrossRef]
- Fan, F.; Ma, H.; Chen, G.; Shen, S. Experimental study of semi-rigid joint systems subjected to bending with and without axial force. J. Constr. Steel Res. 2012, 68, 126–137. [Google Scholar] [CrossRef]
- Miao, R.; Shen, R.; Zhang, S.; Xue, S. A Review of Bolt Tightening Force Measurement and Loosening Detection. Sensors 2020, 20, 3165. [Google Scholar] [CrossRef] [PubMed]
- Davoodi, M.R.; Amiri, J.V.; Gholampour, S.; Mostafavian, S.A. Determination of nonlinear behavior of a ball joint system by model updating. J. Constr. Steel Res. 2012, 71, 52–62. [Google Scholar] [CrossRef]
- Ebadi Jamkhaneh, M.; Homaioon Ebrahimi, A.; Shokri Amiri, M. Numerical Investigation of the Behavior of MERO Joint System Under Combined Loading Regarding Helical Threads of Elements. Int. J. Steel Struct. 2020, 20, 897–909. [Google Scholar] [CrossRef]
- Ebadi-Jamkhaneh, M.; Ahmadi, M. Comprehensive Investigations of the Effect of Bolt Tightness on Axial Behavior of a MERO Joint System: Experimental, FEM, and Soft Computing Approaches. J. Struct. Eng. 2021, 147, 04021197. [Google Scholar] [CrossRef]
- Lin, S.W.; Yi, T.H.; Li, H.N.; Ren, L. Damage detection in the cable structures of a bridge using the virtual distortion method. J. Bridge Eng. 2017, 22, 04017039. [Google Scholar] [CrossRef]
- Fink, M. Time reversal of ultrasonic fields. I. Basic principles. IEEE Trans. Ultrason. Ferroelectr. Freq. Control 1992, 39, 555–566. [Google Scholar] [CrossRef] [PubMed]
- Fink, M. Time Reversed Acoustics. Phys. Today 1997, 50, 34–40. [Google Scholar] [CrossRef]
- Leutenegger, T.; Dual, J. Non-destructive testing of tubes using a time reverse numerical simulation (TRNS) method. Ultrasonics 2004, 41, 811–822. [Google Scholar] [CrossRef] [PubMed]
- Du, G.; Kong, Q.; Wu, F.; Ruan, J.; Song, G. An experimental feasibility study of pipeline corrosion pit detection using a piezoceramic time reversal mirror. Smart Mater. Struct. 2016, 25, 037002. [Google Scholar] [CrossRef]
- Liang, Y.; Li, D.; Kong, Q.; Song, G. Load Monitoring of the Pin-Connected Structure Using Time Reversal Technique and Piezoceramic Transducers—A Feasibility Study. IEEE Sens. J. 2016, 16, 7958–7966. [Google Scholar] [CrossRef]
- Parvasi, S.M.; Ho, S.C.M.; Kong, Q.; Mousavi, R.; Song, G. Real time bolt preload monitoring using piezoceramic transducers and time reversal technique—A numerical study with experimental verification. Smart Mater. Struct. 2016, 25, 085015. [Google Scholar] [CrossRef]
- Tao, W.; Shaopeng, L.; Junhua, S.; Yourong, L. Health monitoring of bolted joints using the time reversal method and piezoelectric transducers. Smart Mater. Struct. 2016, 25, 025010. [Google Scholar] [CrossRef]
- Zhang, L.; Wang, C.; Huo, L.; Song, G. Health monitoring of cuplok scaffold joint connection using piezoceramic transducers and time reversal method. Smart Mater. Struct. 2016, 25, 035010. [Google Scholar] [CrossRef]
- Xu, J.; Wang, C.; Li, H.; Zhang, C.; Hao, J.; Fan, S. Health Monitoring of Bolted Spherical Joint Connection Based on Active Sensing Technique Using Piezoceramic Transducers. Sensors 2018, 18, 1727. [Google Scholar] [CrossRef] [PubMed]
- Sun, X.; Fan, S.; Liu, C. Multitype Damage Imaging in Concrete Modeling Based on Time Reversal Technique. Buildings 2022, 12, 430. [Google Scholar] [CrossRef]
- Yan, S.; Li, Y.; Zhang, S.; Song, G.; Zhao, P. Pipeline Damage Detection Using Piezoceramic Transducers: Numerical Analyses with Experimental Validation. Sensors 2018, 18, 2106. [Google Scholar] [CrossRef] [PubMed]
- Fan, F.; Ma, H.; Shen, S. Numerical simulation and experimental study on mechanical characters of bolt-ball joint system. Eng. Mech. 2009, 26, 92–99. (In Chinese) [Google Scholar]
















| Dielectric Constants (F/m) | Elastic Constants (N/m2) | Piezoelectric Constants (C/m2) | Density (kg/m3) |
|---|---|---|---|
| D11 = 8.11 × 10−9 D22 = 8.11 × 10−9 D33 = 7.35 × 10−9 | D1111 = 1.21 × 1011 D1122 = 7.54 × 1010 D2222 = 1.21 × 1011 D1133 = 7.52 × 1010 D2233 = 7.52 × 1010 D3333 = 1.11 × 1011 D1212 = 2.26 × 1010 D1313 = 2.11 × 1010 D2323 = 2.11 × 1010 | e2 23 = 12.3 e3 11 = −5.4 e1 13 = 12.3 e3 22 = −5.4 e3 33 = 15.8 | 7600 |
Disclaimer/Publisher’s Note: The statements, opinions and data contained in all publications are solely those of the individual author(s) and contributor(s) and not of MDPI and/or the editor(s). MDPI and/or the editor(s) disclaim responsibility for any injury to people or property resulting from any ideas, methods, instructions or products referred to in the content. |
© 2023 by the authors. Licensee MDPI, Basel, Switzerland. This article is an open access article distributed under the terms and conditions of the Creative Commons Attribution (CC BY) license (https://creativecommons.org/licenses/by/4.0/).
Share and Cite
Huang, Z.; Gu, Z.; Pan, Z.; Zhang, Z.; Yang, Y. Non-Destructive Evaluation of Preload Loss of Bolted Spherical Joints Based on Time Reversal Acoustics: A Numerical Simulation. Buildings 2023, 13, 127. https://doi.org/10.3390/buildings13010127
Huang Z, Gu Z, Pan Z, Zhang Z, Yang Y. Non-Destructive Evaluation of Preload Loss of Bolted Spherical Joints Based on Time Reversal Acoustics: A Numerical Simulation. Buildings. 2023; 13(1):127. https://doi.org/10.3390/buildings13010127
Chicago/Turabian StyleHuang, Zheng, Zhengyu Gu, Zuanfeng Pan, Zhitao Zhang, and Yichao Yang. 2023. "Non-Destructive Evaluation of Preload Loss of Bolted Spherical Joints Based on Time Reversal Acoustics: A Numerical Simulation" Buildings 13, no. 1: 127. https://doi.org/10.3390/buildings13010127
APA StyleHuang, Z., Gu, Z., Pan, Z., Zhang, Z., & Yang, Y. (2023). Non-Destructive Evaluation of Preload Loss of Bolted Spherical Joints Based on Time Reversal Acoustics: A Numerical Simulation. Buildings, 13(1), 127. https://doi.org/10.3390/buildings13010127

