The Interfacial Friction Loss of Prestressed Carbon-Fiber Tendons in a Bending State
Abstract
1. Introduction
2. Test Design
2.1. Specimen
2.2. Single-Bending Test
2.3. Three-Continuous-Bending Test
2.4. Friction Coefficient Determination
3. Test Results and Analysis
3.1. Test Process
3.1.1. Single-Bending Test
3.1.2. Three-Continuous-Bending Test
3.2. Test Results
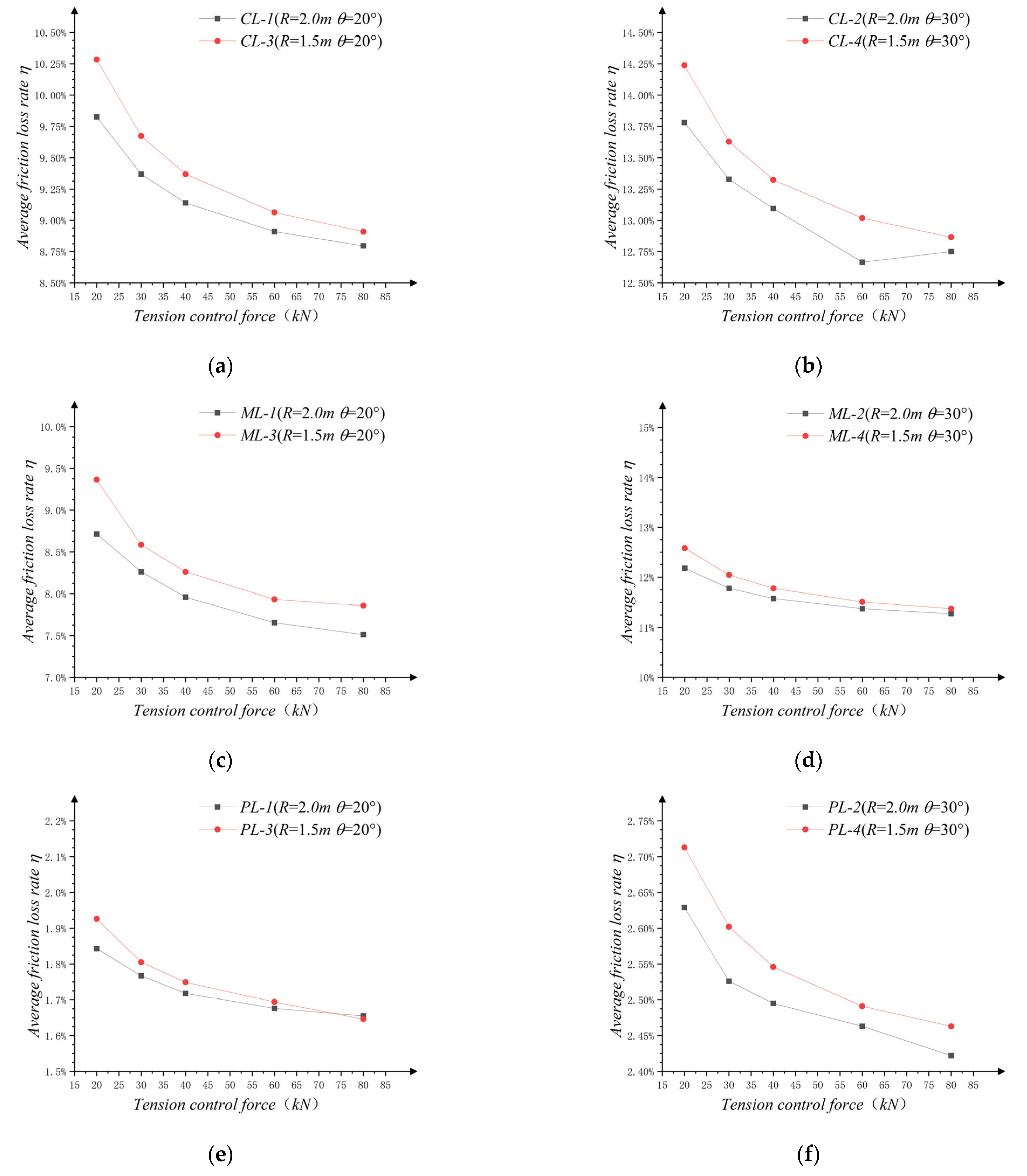
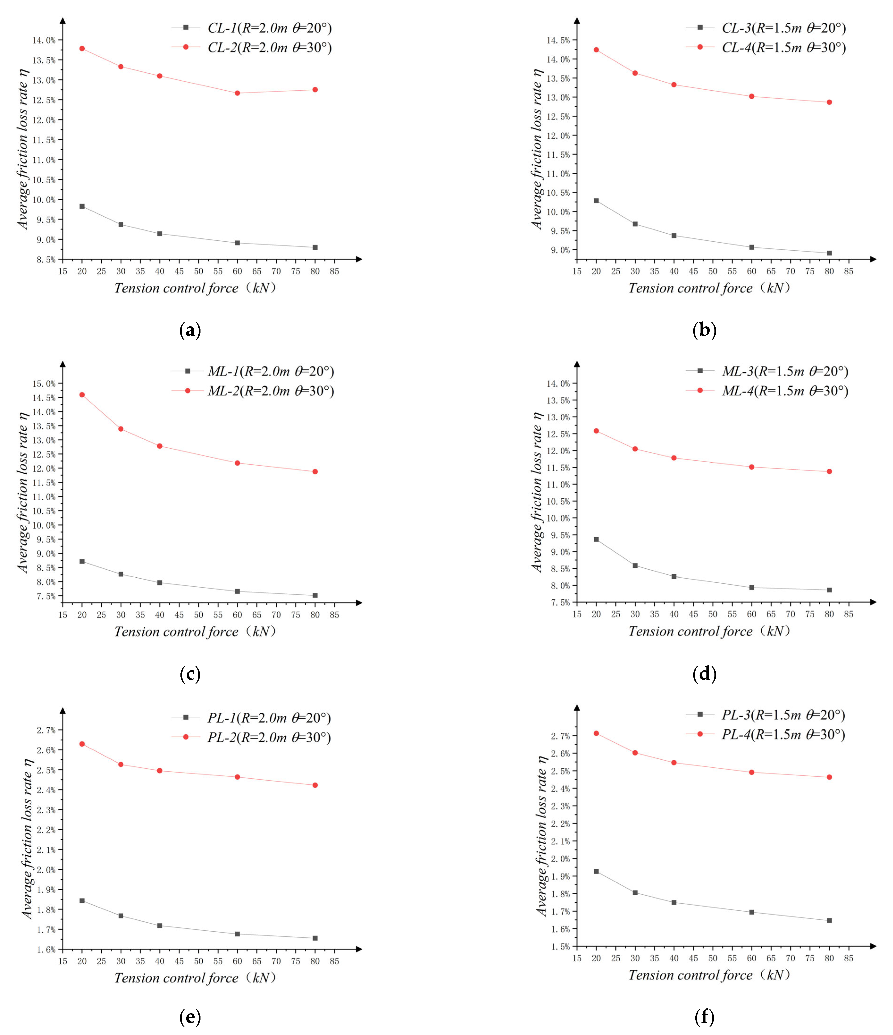
3.3. Influencing Parameter Analysis
3.3.1. Comparison of Curvature Radii, R
3.3.2. Comparison of the Deviation Angles, θ
3.3.3. Comparison of the Friction Coefficient, μ
3.3.4. Comparison under Multiple Bending
4. Calculation Method of the Friction Loss of the Prestressed CFRP
4.1. Friction Loss Calculation during Installation Stage
4.2. Friction Loss Calculation during the Tensioned Stage
4.3. Theoretical Verification
5. Conclusions
- The instantaneous friction loss of the external prestressed CFRP tendons was generated under the combined action of tension and bending, and its value primarily depended on the bending radius, the deviation angle, the friction coefficient, and the tension prestress.
- The changes in friction loss rate can be divided into three stages: a linear growth stage caused by the insufficient slip of the CFRP tendons; a decreasing stage where the friction loss rate generated in the installation stage gradually decreases with an increase in the tension control force; and the stable stage where the friction loss rate in the installation stage was negligible, and the total friction loss rate is basically unchanged in the tension stage.
- The friction loss rate of the prestressed CFRP tendons can be simplified by superimposing the friction loss rate of several successive bends in the friction loss rate calculation model.
- The proposed model considers the factors such as friction coefficient, bending condition, and prestress value, and the calculated value is in good agreement with the test value, which can be used to calculate the friction loss rate of prestressed CFRP tendons under different bending conditions.
Author Contributions
Funding
Data Availability Statement
Conflicts of Interest
References
- Noble, D.; Nogal, M.; O׳connor, A.; Pakrashi, V. The effect of prestress force magnitude and eccentricity on the natural bending frequencies of uncracked prestressed concrete beams. J. Sound Vib. 2016, 365, 22–44. [Google Scholar] [CrossRef]
- Bonopera, M.; Chang, K.C.; Chen, C.C.; Sung, Y.C.; Tullini, N. Prestress force effect on fundamental frequency and deflection shape of PCI beams. Struct. Eng. Mech. 2018, 67, 255–265. [Google Scholar] [CrossRef]
- Pimenta, S.; Pinho, S.T. Recycling carbon fibre reinforced polymers for structural applications: Technology review and market outlook. Waste Manag. 2011, 31, 378–392. [Google Scholar] [CrossRef] [PubMed]
- Karataş, M.A.; Gökkaya, H. A review on machinability of carbon fiber reinforced polymer (CFRP) and glass fiber reinforced polymer (GFRP) composite materials. Def. Technol. 2018, 14, 318–326. [Google Scholar] [CrossRef]
- Bakis, C.E.; Bank, L.C.; Brown, V.L.; Cosenza, E.; Davalos, J.F.; Lesko, J.J.; Machida, A.; Rizkalla, S.H.; Triantafillou, T.C. Fiber-Reinforced Polymer Composites for Construction—State-of-the-Art Review. J. Compos. Constr. 2002, 6, 73–87. [Google Scholar] [CrossRef]
- Yu, K.; Shi, Q.; Dunn, M.L.; Wang, T.; Qi, H.J. Carbon Fiber Reinforced Thermoset Composite with Near 100% Recyclability. Adv. Funct. Mater. 2016, 26, 6098–6106. [Google Scholar] [CrossRef]
- Zang, M.; Hu, Y.; Zhang, J.; Ye, W.; Zhao, M. Crashworthiness of CFRP/aluminum alloy hybrid tubes under quasi-static axial crushing. J. Mater. Res. Technol. 2020, 9, 7740–7753. [Google Scholar] [CrossRef]
- Tang, E.; Li, W.; Han, Y. Research on the interacting duration and microscopic characteristics created by high-velocity impact on CFRP/Al HC SP structure. J. Mater. Res. Technol. 2020, 9, 1640–1651. [Google Scholar] [CrossRef]
- Al-Rousan, R.; Al-Tahat, M. An Anchoring Groove Technique to Enhance the Bond Behavior between Heat-Damaged Concrete and CFRP Composites. Buildings 2020, 10, 232. [Google Scholar] [CrossRef]
- Kim, T.-K.; Park, J.-S.; Kim, S.-H.; Jung, W.-T. Structural Behavior Evaluation of Reinforced Concrete Using the Fiber-Reinforced Polymer Strengthening Method. Polymers 2021, 13, 780. [Google Scholar] [CrossRef]
- Borri, A.; Corradi, M.; Grazini, A. A method for flexural reinforcement of old wood beams with CFRP materials. Compos. Part B Eng. 2005, 36, 143–153. [Google Scholar] [CrossRef]
- El-Hacha, R.; Soudki, K. Prestressed near-surface mounted fibre reinforced polymer reinforcement for concrete structures—A review. Can. J. Civ. Eng. 2013, 40, 1127–1139. [Google Scholar] [CrossRef]
- Wang, X.; Shi, J.; Wu, G.; Yang, L.; Wu, Z. Effectiveness of basalt FRP tendons for strengthening of RC beams through the external prestressing technique. Eng. Struct. 2015, 101, 34–44. [Google Scholar] [CrossRef]
- Wight, R.; El-Hacha, R.; Erki, M. Prestressed and non-prestressed CFRP sheet strengthening: Damaged continuous reinforced concrete beams. Int. J. Mater. Prod. Technol. 2003, 19, 96. [Google Scholar] [CrossRef]
- Al-Rousan, R.; Nusier, O.; Abdalla, K.; Alhassan, M.; Lagaros, N.D. NLFEA of Sulfate-Damaged Circular CFT Steel Columns Confined with CFRP Composites and Subjected to Axial and Cyclic Lateral Loads. Buildings 2022, 12, 296. [Google Scholar] [CrossRef]
- Täljsten, B.; Hansen, C.S.; Schmidt, J.W. Strengthening of old metallic structures in fatigue with prestressed and non-prestressed CFRP laminates. Constr. Build. Mater. 2009, 23, 1665–1677. [Google Scholar] [CrossRef]
- Aslam, M.; Shafigh, P.; Jumaat, M.Z.; Shah, S.N.R. Strengthening of RC beams using prestressed fiber reinforced polymers—A review. Constr. Build. Mater. 2015, 82, 235–256. [Google Scholar] [CrossRef]
- Yang, D.-S.; Park, S.-K.; Neale, K.W. Flexural behaviour of reinforced concrete beams strengthened with prestressed carbon composites. Compos. Struct. 2009, 88, 497–508. [Google Scholar] [CrossRef]
- Wang, W.-W.; Dai, J.-G.; Harries, K.A.; Bao, Q.-H. Prestress Losses and Flexural Behavior of Reinforced Concrete Beams Strengthened with Posttensioned CFRP Sheets. J. Compos. Constr. 2012, 16, 207–216. [Google Scholar] [CrossRef]
- Jia, L.; Fang, Z.; Hu, R.; Pilakoutas, K.; Huang, Z. Fatigue Behavior of UHPC Beams Prestressed with External CFRP Tendons. J. Compos. Constr. 2022, 26, 04022066. [Google Scholar] [CrossRef]
- Ng, S.T.K.; Soudki, K. Shear Behavior of Externally Prestressed Beams with Carbon Fiber-Reinforced Polymer Tendons. ACI Struct. J. 2010, 107, 443–450. [Google Scholar] [CrossRef]
- Le, T.D.; Pham, T.M.; Hao, H.; Li, H. Behavior of Precast Segmental Concrete Beams Prestressed with External Steel and CFRP Tendons. J. Compos. Constr. 2020, 24, 04020053. [Google Scholar] [CrossRef]
- Li, X.; Zhang, J.; Cheng, J. Study on the stiffness degradation in concrete continuous beam with externally prestressed CFRP tendons under fatigue loading. Adv. Struct. Eng. 2021, 24, 2119–2130. [Google Scholar] [CrossRef]
- Lou, T.; Lopes, S.M.; Lopes, A.V. Numerical analysis of behaviour of concrete beams with external FRP tendons. Constr. Build. Mater. 2012, 35, 970–978. [Google Scholar] [CrossRef]
- Aksoylu, C.; Özkılıç, Y.O.; Madenci, E.; Safonov, A. Compressive Behavior of Pultruded GFRP Boxes with Concentric Openings Strengthened by Different Composite Wrappings. Polymers 2022, 14, 4095. [Google Scholar] [CrossRef] [PubMed]
- Madenci, E.; Özkılıç, Y.O.; Aksoylu, C.; Safonov, A. The Effects of Eccentric Web Openings on the Compressive Performance of Pultruded GFRP Boxes Wrapped with GFRP and CFRP Sheets. Polymers 2022, 14, 4567. [Google Scholar] [CrossRef]
- Preciado, A.; Sperbeck, S.T.; Ramírez-Gaytán, A. Seismic vulnerability enhancement of medieval and masonry bell towers externally prestressed with unbonded smart tendons. Eng. Struct. 2016, 122, 50–61. [Google Scholar] [CrossRef]
- Sun, B. A Survey on Structural Techniques and Applications of External Prestressing. J. Southeast Univ. 2001, 31, 109–113. [Google Scholar]
- Rabbat, B.G.; Sowlat, K. Testing of Segmental Concrete Girders with External Tendons. PCI J. 1987, 32, 86–107. [Google Scholar] [CrossRef]
- Ganesh, P.; Murthy, A.R. Repair, retrofitting and rehabilitation techniques for strengthening of reinforced concrete beams—A review. Adv. Concr. Constr. 2019, 8, 101–117. [Google Scholar] [CrossRef]
- Grace, N.F.; Abdei-Sayed, G. Behavior of Externally Draped CFRP Tendons in Prestressed Concrete Bridges. PCI J. 1998, 43, 88–101. [Google Scholar] [CrossRef]
- Zhao, L.; Dou, T.; Cheng, B.; Xia, S.; Yang, J.; Zhang, Q.; Li, M.; Li, X. Theoretical Study and Application of the Reinforcement of Prestressed Concrete Cylinder Pipes with External Prestressed Steel Strands. Appl. Sci. 2019, 9, 5532. [Google Scholar] [CrossRef]
- Zhou, Z.; He, J.; Chen, G.; Ou, J. A Smart Steel Strand for the Evaluation of Prestress Loss Distribution in Post-tensioned Concrete Structures. J. Intell. Mater. Syst. Struct. 2009, 20, 1901–1912. [Google Scholar] [CrossRef]
- Yuan, H.; Li, Y.; Zhou, B.; He, S.; Wang, P. Friction Characteristics of Post-Tensioned Tendons of Full-Scale Structures Based on Site Tests. Adv. Civ. Eng. 2020, 2020, 5916738. [Google Scholar] [CrossRef]
- Kim, S.-H.; Park, S.Y.; Park, Y.; Jeon, S.-J. Friction characteristics of post-tensioning tendons in full-scale structures. Eng. Struct. 2019, 183, 389–397. [Google Scholar] [CrossRef]
- Fang, Y.; Fang, Z.; Jiang, Z.; Jiang, R.; Zhou, X. Investigation on failure behavior of carbon fiber reinforced polymer wire subjected to combined tension and bending. Compos. Struct. 2021, 267, 113927. [Google Scholar] [CrossRef]
- Xia, J.; Xu, Z.; Zhuge, P.; Wang, B.; Cai, W.; Fu, J. Testing and Evaluation of Flexural Tensile Strength of Prestressed CFRP Cables. Materials 2022, 15, 7065. [Google Scholar] [CrossRef]

















| Material | Diameter | Surface | Tensile Strength (MPa) | Longitudinal Elastic Mode (GPa) | Transverse Elastic Modulus (GPa) |
|---|---|---|---|---|---|
| CFRP | 10 mm | Smooth rounding | 2300 | 160 | 10.3 |
| Test Piece No | Number of Bending, n | Bending Radius, R/m | Bending Angle, θ | Contact Surface Working Conditions |
|---|---|---|---|---|
| CL-1 | 1 | 2.0 | 20° | CFRP-no-low |
| CL-2 | 1 | 2.0 | 30° | CFRP-no-low |
| CL-3 | 1 | 1.5 | 20° | CFRP-no-low |
| CL-4 | 1 | 1.5 | 30° | CFRP-no-low |
| ML-1 | 1 | 2.0 | 20° | CFRP-lubricating oil-low |
| ML-2 | 1 | 2.0 | 30° | CFRP-lubricating oil-low |
| ML-3 | 1 | 1.5 | 20° | CFRP-lubricating oil-low |
| ML-4 | 1 | 1.5 | 30° | CFRP-lubricating oil-low |
| PL-1 | 1 | 2.0 | 20° | CFRP-PTFE-low |
| PL-2 | 1 | 2.0 | 30° | CFRP-PTFE-low |
| PL-3 | 1 | 1.5 | 20° | CFRP-PTFE-low |
| PL-4 | 1 | 1.5 | 30° | CFRP-PTFE-low |
| CR-1 | 3 | 1.5 | 19°-38°-19° | CFRP-no-low |
| CR-2 | 3 | 2.0 | 19°-38°-19° | CFRP-no-low |
| CR-3 | 3 | 1.5 | 28°-56°-28° | CFRP-no-low |
| PR-1 | 3 | 1.5 | 19°-38°-19° | CFRP-PTFE-low |
| Friction Interface | Whether the PTFE Plate Is Arranged | Whether the Lubricating Oil Is Applied | Friction Coefficient, μ |
|---|---|---|---|
| CFRP-no-low | No | No | 0.253 |
| CFRP-lubricating oil-low | No | Yes | 0.226 |
| CFRP-PTFE-low | Yes | No | 0.040 |
| Test Piece No | Average Friction Loss Rate, η, under Each Stage of Tension Control Force, Ft | Friction Loss Rate Stability Value, ηm | ||||
|---|---|---|---|---|---|---|
| 20 kN | 30 kN | 40 kN | 60 kN | 80 kN | ||
| CL-1 | 9.826% | 9.368% | 9.139% | 8.910% | 8.796% | 8.7% |
| CL-2 | 13.781% | 13.328% | 13.094% | 12.665% | 12.750% | 12.4% |
| CL-3 | 10.284% | 9.673% | 9.368% | 9.063% | 8.910% | 9.5% |
| CL-4 | 14.238% | 13.628% | 13.323% | 13.018% | 12.865% | 12.7% |
| ML-1 | 8.713% | 8.26% | 8.025% | 7.654% | 7.512% | 7.5% |
| ML-2 | 12.179% | 11.777% | 11.576% | 11.375% | 11.275% | 11.2% |
| ML-3 | 9.364% | 8.585% | 8.260% | 7.934% | 7.858% | 7.7% |
| ML-4 | 12.581% | 12.045% | 11.777% | 11.509% | 11.375% | 11.1% |
| PL-1 | 1.843 % | 1.767% | 1.718% | 1.676% | 1.655% | 1.5% |
| PL-2 | 2.629% | 2.526% | 2.495% | 2.463% | 2.422% | 2.3% |
| PL-3 | 1.926% | 1.805% | 1.749% | 1.694% | 1.646% | 1.4% |
| PL-4 | 2.713% | 2.602% | 2.546% | 2.491% | 2.463% | 2.4% |
| CR-1 | 31.58% | 30.28% | 29.83% | 29.39% | 29.17% | 29% |
| CR-2 | 30.49% | 29.83% | 29.50% | 29.17% | 28.96% | 28.5% |
| CR-3 | 41.67% | 40.78% | 40.34% | 39.90% | 39.68% | 39.5% |
| PR-1 | 6.40% | 6.24% | 6.16% | 6.08% | 6.04% | 6% |
Disclaimer/Publisher’s Note: The statements, opinions and data contained in all publications are solely those of the individual author(s) and contributor(s) and not of MDPI and/or the editor(s). MDPI and/or the editor(s) disclaim responsibility for any injury to people or property resulting from any ideas, methods, instructions or products referred to in the content. |
© 2022 by the authors. Licensee MDPI, Basel, Switzerland. This article is an open access article distributed under the terms and conditions of the Creative Commons Attribution (CC BY) license (https://creativecommons.org/licenses/by/4.0/).
Share and Cite
Fu, J.; Zeng, T.; Wang, B.; Zhuge, P.; Xia, J.; Cai, W. The Interfacial Friction Loss of Prestressed Carbon-Fiber Tendons in a Bending State. Buildings 2023, 13, 99. https://doi.org/10.3390/buildings13010099
Fu J, Zeng T, Wang B, Zhuge P, Xia J, Cai W. The Interfacial Friction Loss of Prestressed Carbon-Fiber Tendons in a Bending State. Buildings. 2023; 13(1):99. https://doi.org/10.3390/buildings13010099
Chicago/Turabian StyleFu, Jiaping, Tian Zeng, Bing Wang, Ping Zhuge, Jiajun Xia, and Wanyun Cai. 2023. "The Interfacial Friction Loss of Prestressed Carbon-Fiber Tendons in a Bending State" Buildings 13, no. 1: 99. https://doi.org/10.3390/buildings13010099
APA StyleFu, J., Zeng, T., Wang, B., Zhuge, P., Xia, J., & Cai, W. (2023). The Interfacial Friction Loss of Prestressed Carbon-Fiber Tendons in a Bending State. Buildings, 13(1), 99. https://doi.org/10.3390/buildings13010099

