Prediction of Progressive Frost Damage Development of Concrete Using Machine-Learning Algorithms
Abstract
:1. Introduction
2. Machine-Learning (ML) Techniques Overview
2.1. Artificial Neural Network (ANN)
2.2. Random Forest (RF)
2.3. Support Vector Machine (SVM)
3. Research Methodology
3.1. Variable Selection
3.2. Data Characterization
3.3. Data Preprocessing
3.4. Model Performance Evaluation
3.5. Proposed Model
4. Results and Discussions
4.1. Model Development
4.1.1. ANN Model
4.1.2. RF Model
4.1.3. SVM Model
4.2. Comparison Results for ML Techniques
4.3. Sensitivity Analysis
5. Conclusions and Recommendations
- (1)
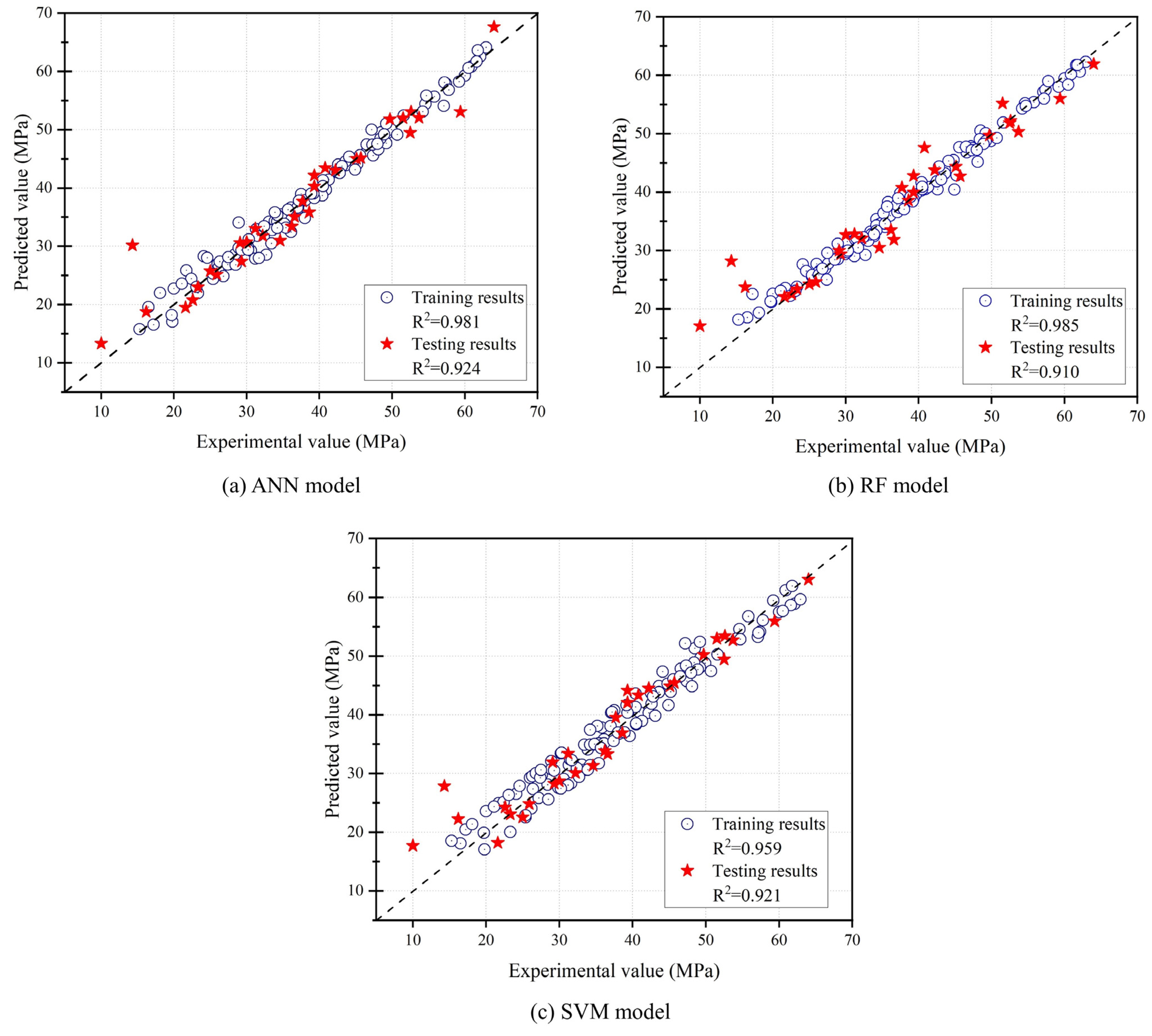
- The ANN model with 13 neurons in the hidden layer exhibits the best performance, as evaluated by the lowest values for RMSE and MAE and the highest value for R2.
- (2)
- The optimal number of decision trees for the RF model is 15, and the optimal maximum depth of the tree is 10, with the MAE, RMSE, and R2 values for testing datasets being 0.048, 0.072, and 0.910, respectively.
- (3)
- The SVM model with the RBF kernel function delivers the most accurate results compared to other kernel functions (linear, polynomial, and sigmoid) based on a detailed evaluation of the MAE, RMSE, and R2 values.
- (4)
- The developed ANN model has the greatest performance among all ML models for estimating the DCS, with the MAE, RMSE, and R2 values for testing datasets being 0.042, 0.067, and 0.924, respectively, followed by the SVM and RF models. The ANN and SVM models exhibit strong stability and generalization abilities; however, the RF model overfits during training.
- (5)
- The CS of concrete has the highest influence on the DCS of concrete under frost attack, followed by the W/C ratio, AE, and the number of FTCs, as revealed through SHAP observations. The feature interaction plot illustrates that CS positively influences the DCS of concrete under frost attack while FTCs affect it negatively.
Author Contributions
Funding
Informed Consent Statement
Data Availability Statement
Conflicts of Interest
Appendix A
| Source | Standard | FTC (No.) | CS (MPa) | W/C | Min T (℃) | Max T (°C) | AE (0/1) | DCS (MPa) |
|---|---|---|---|---|---|---|---|---|
| Shang et al. [12] | GB/T 50082-2009 | 0 | 34.2 | 0.5 | −15 | 6 | 0 | 34.2 |
| 25 | 34.2 | 0.5 | −15 | 6 | 0 | 30 | ||
| 50 | 34.2 | 0.5 | −15 | 6 | 0 | 24.1 | ||
| 75 | 34.2 | 0.5 | −15 | 6 | 0 | 21.7 | ||
| Cao et al. [24] | GB/T 50082-2009 | 0 | 39.2 | 0.43 | −17 | 8 | 0 | 39.2 |
| 25 | 39.2 | 0.43 | −17 | 8 | 0 | 37 | ||
| 50 | 39.2 | 0.43 | −17 | 8 | 0 | 34.7 | ||
| 75 | 39.2 | 0.43 | −17 | 8 | 0 | 31.5 | ||
| 100 | 39.2 | 0.43 | −17 | 8 | 0 | 29.3 | ||
| 125 | 39.2 | 0.43 | −17 | 8 | 0 | 26 | ||
| 0 | 46.5 | 0.41 | −17 | 8 | 1 | 46.5 | ||
| 25 | 46.5 | 0.41 | −17 | 8 | 1 | 45.1 | ||
| 50 | 46.5 | 0.41 | −17 | 8 | 1 | 42.8 | ||
| 75 | 46.5 | 0.41 | −17 | 8 | 1 | 40.4 | ||
| 100 | 46.5 | 0.41 | −17 | 8 | 1 | 37.7 | ||
| 125 | 46.5 | 0.41 | −17 | 8 | 1 | 35.8 | ||
| Fan et al. [62] | GB/T 50082-2009 | 0 | 33.9 | 0.5 | −20 | 4 | 0 | 33.9 |
| 25 | 33.9 | 0.5 | −20 | 4 | 0 | 33.9 | ||
| 50 | 33.9 | 0.5 | −20 | 4 | 0 | 30.2 | ||
| 100 | 33.9 | 0.5 | −20 | 4 | 0 | 16.2 | ||
| 125 | 33.9 | 0.5 | −20 | 4 | 0 | 17.2 | ||
| Guan et al. [63] | GB/T 50082-2009 | 0 | 37.1 | 0.53 | −18 | 20 | 0 | 37.1 |
| 50 | 37.1 | 0.53 | −18 | 20 | 0 | 35.4 | ||
| 100 | 37.1 | 0.53 | −18 | 20 | 0 | 32.4 | ||
| 150 | 37.1 | 0.53 | −18 | 20 | 0 | 31.6 | ||
| 200 | 37.1 | 0.53 | −18 | 20 | 0 | 29.9 | ||
| 250 | 37.1 | 0.53 | −18 | 20 | 0 | 29.3 | ||
| 300 | 37.1 | 0.53 | −18 | 20 | 0 | 26.8 | ||
| Hao et al. [64] | GB/T 50082-2009 | 0 | 39.3 | 0.5 | −15 | 8 | 0 | 39.3 |
| 25 | 39.3 | 0.5 | −15 | 8 | 0 | 38.6 | ||
| 50 | 39.3 | 0.5 | −15 | 8 | 0 | 36.2 | ||
| 75 | 39.3 | 0.5 | −15 | 8 | 0 | 34.6 | ||
| 100 | 39.3 | 0.5 | −15 | 8 | 0 | 32.7 | ||
| Ma et al. [65] | ASTM C666-97 | 0 | 57.2 | 0.4 | −17 | 8 | 0 | 57.2 |
| 50 | 57.2 | 0.4 | −17 | 8 | 0 | 48.7 | ||
| 100 | 57.2 | 0.4 | −17 | 8 | 0 | 40.4 | ||
| 0 | 44.9 | 0.5 | −17 | 8 | 0 | 44.9 | ||
| 50 | 44.9 | 0.5 | −17 | 8 | 0 | 32 | ||
| 100 | 44.9 | 0.5 | −17 | 8 | 0 | 20 | ||
| 0 | 43.6 | 0.4 | −17 | 8 | 1 | 43.6 | ||
| 50 | 43.6 | 0.4 | −17 | 8 | 1 | 40.9 | ||
| 100 | 43.6 | 0.4 | −17 | 8 | 1 | 38 | ||
| 0 | 37.4 | 0.5 | −17 | 8 | 1 | 37.4 | ||
| 50 | 37.4 | 0.5 | −17 | 8 | 1 | 31.3 | ||
| 100 | 37.4 | 0.5 | −17 | 8 | 1 | 24.6 | ||
| Zhang et al. [66] | GB/T 50082-2009 | 0 | 57.4 | 0.4 | −15 | 8 | 0 | 57.4 |
| 10 | 57.4 | 0.4 | −15 | 8 | 0 | 54.7 | ||
| 50 | 57.4 | 0.4 | −15 | 8 | 0 | 49.2 | ||
| 100 | 57.4 | 0.4 | −15 | 8 | 0 | 40.8 | ||
| 0 | 36.6 | 0.6 | −15 | 8 | 0 | 36.6 | ||
| 10 | 36.6 | 0.6 | −15 | 8 | 0 | 28.9 | ||
| 50 | 36.6 | 0.6 | −15 | 8 | 0 | 14.3 | ||
| 0 | 33.5 | 0.6 | −15 | 8 | 1 | 33.5 | ||
| 10 | 33.5 | 0.6 | −15 | 8 | 1 | 32.2 | ||
| 50 | 33.5 | 0.6 | −15 | 8 | 1 | 31.2 | ||
| 100 | 33.5 | 0.6 | −15 | 8 | 1 | 23.1 | ||
| Shang et al. [67] | GB/T 50082-2009 | 0 | 26.3 | 0.4 | −15 | 6 | 1 | 26.3 |
| 100 | 26.3 | 0.4 | −15 | 6 | 1 | 25.9 | ||
| 200 | 26.3 | 0.4 | −15 | 6 | 1 | 23.3 | ||
| 300 | 26.3 | 0.4 | −15 | 6 | 1 | 22.6 | ||
| Shang et al. [68] | GB/T 50082-2009 | 0 | 50.7 | 0.45 | −18 | 6 | 0 | 50.7 |
| 25 | 50.7 | 0.45 | −18 | 6 | 0 | 45.2 | ||
| 50 | 50.7 | 0.45 | −18 | 6 | 0 | 37.5 | ||
| 75 | 50.7 | 0.45 | −18 | 6 | 0 | 35.2 | ||
| 0 | 27.4 | 0.55 | −18 | 6 | 0 | 27.4 | ||
| 25 | 27.4 | 0.55 | −18 | 6 | 0 | 22.4 | ||
| 50 | 27.4 | 0.55 | −18 | 6 | 0 | 18.1 | ||
| 75 | 27.4 | 0.55 | −18 | 6 | 0 | 16.5 | ||
| 0 | 34.2 | 0.4 | −18 | 6 | 1 | 34.2 | ||
| 50 | 34.2 | 0.4 | −18 | 6 | 1 | 33.4 | ||
| 100 | 34.2 | 0.4 | −18 | 6 | 1 | 31.7 | ||
| 150 | 34.2 | 0.4 | −18 | 6 | 1 | 27.6 | ||
| 200 | 34.2 | 0.4 | −18 | 6 | 1 | 26.4 | ||
| 300 | 34.2 | 0.4 | −18 | 6 | 1 | 21.1 | ||
| Xiao et al. [69] | GB/T 50082-2009 | 0 | 61.8 | 0.35 | −18 | 6 | 1 | 61.8 |
| 50 | 61.8 | 0.35 | −18 | 6 | 1 | 60.9 | ||
| 100 | 61.8 | 0.35 | −18 | 6 | 1 | 59.2 | ||
| 150 | 61.8 | 0.35 | −18 | 6 | 1 | 55.8 | ||
| 200 | 61.8 | 0.35 | −18 | 6 | 1 | 52.6 | ||
| 250 | 61.8 | 0.35 | −18 | 6 | 1 | 49.3 | ||
| 300 | 61.8 | 0.35 | −18 | 6 | 1 | 45.6 | ||
| 0 | 49.7 | 0.45 | −18 | 6 | 1 | 49.7 | ||
| 50 | 49.7 | 0.45 | −18 | 6 | 1 | 48.9 | ||
| 100 | 49.7 | 0.45 | −18 | 6 | 1 | 48.1 | ||
| 150 | 49.7 | 0.45 | −18 | 6 | 1 | 42.6 | ||
| 200 | 49.7 | 0.45 | −18 | 6 | 1 | 41.3 | ||
| 250 | 49.7 | 0.45 | −18 | 6 | 1 | 39.6 | ||
| 300 | 49.7 | 0.45 | −18 | 6 | 1 | 35.7 | ||
| Yang et al. [70] | - | 0 | 30.6 | 0.6 | −16 | 8 | 0 | 30.6 |
| 25 | 30.6 | 0.6 | −16 | 8 | 0 | 28.5 | ||
| 50 | 30.6 | 0.6 | −16 | 8 | 0 | 25.4 | ||
| 75 | 30.6 | 0.6 | −16 | 8 | 0 | 23.3 | ||
| 100 | 30.6 | 0.6 | −16 | 8 | 0 | 21.6 | ||
| 125 | 30.6 | 0.6 | −16 | 8 | 0 | 19.8 | ||
| Li et al. [71] | - | 0 | 37.2 | 0.45 | −18 | 5 | 0 | 37.2 |
| 50 | 37.2 | 0.45 | −18 | 5 | 0 | 36.1 | ||
| 100 | 37.2 | 0.45 | −18 | 5 | 0 | 35.4 | ||
| 150 | 37.2 | 0.45 | −18 | 5 | 0 | 33.9 | ||
| 200 | 37.2 | 0.45 | −18 | 5 | 0 | 33.1 | ||
| 250 | 37.2 | 0.45 | −18 | 5 | 0 | 30.2 | ||
| 0 | 30.3 | 0.45 | −18 | 5 | 1 | 30.3 | ||
| 50 | 30.3 | 0.45 | −18 | 5 | 1 | 28.9 | ||
| 100 | 30.3 | 0.45 | −18 | 5 | 1 | 28.4 | ||
| 150 | 30.3 | 0.45 | −18 | 5 | 1 | 27.2 | ||
| 200 | 30.3 | 0.45 | −18 | 5 | 1 | 26.2 | ||
| 250 | 30.3 | 0.45 | −18 | 5 | 1 | 25.4 | ||
| 300 | 30.3 | 0.45 | −18 | 5 | 1 | 25 | ||
| Fu et al. [51] | GB/T 50082-2009 | 0 | 47.4 | 0.38 | −17 | 5 | 0 | 47.4 |
| 5 | 47.4 | 0.38 | −17 | 5 | 0 | 44.8 | ||
| 10 | 47.4 | 0.38 | −17 | 5 | 0 | 43.6 | ||
| 15 | 47.4 | 0.38 | −17 | 5 | 0 | 42.2 | ||
| 20 | 47.4 | 0.38 | −17 | 5 | 0 | 39.3 | ||
| 0 | 57.1 | 0.35 | −17 | 5 | 0 | 57.1 | ||
| 5 | 57.1 | 0.35 | −17 | 5 | 0 | 54.2 | ||
| 10 | 57.1 | 0.35 | −17 | 5 | 0 | 53.7 | ||
| 15 | 57.1 | 0.35 | −17 | 5 | 0 | 49.2 | ||
| 20 | 57.1 | 0.35 | −17 | 5 | 0 | 47.2 | ||
| 0 | 52.5 | 0.41 | −17 | 5 | 0 | 52.5 | ||
| 5 | 52.5 | 0.41 | −17 | 5 | 0 | 48.4 | ||
| 10 | 52.5 | 0.41 | −17 | 5 | 0 | 47.3 | ||
| 15 | 52.5 | 0.41 | −17 | 5 | 0 | 46.6 | ||
| 20 | 52.5 | 0.41 | −17 | 5 | 0 | 44.1 | ||
| Xu et al. [72] | - | 0 | 42.2 | 0.43 | −16 | 6 | 1 | 42.2 |
| 25 | 42.2 | 0.43 | −16 | 6 | 1 | 40.5 | ||
| 50 | 42.2 | 0.43 | −16 | 6 | 1 | 38.1 | ||
| 75 | 42.2 | 0.43 | −16 | 6 | 1 | 34.8 | ||
| 100 | 42.2 | 0.43 | −16 | 6 | 1 | 31.2 | ||
| 125 | 42.2 | 0.43 | −16 | 6 | 1 | 29.1 | ||
| 150 | 42.2 | 0.43 | −16 | 6 | 1 | 27.5 | ||
| 0 | 51.6 | 0.4 | −16 | 6 | 1 | 51.6 | ||
| 25 | 51.6 | 0.4 | −16 | 6 | 1 | 49.9 | ||
| 50 | 51.6 | 0.4 | −16 | 6 | 1 | 48 | ||
| 75 | 51.6 | 0.4 | −16 | 6 | 1 | 45.7 | ||
| 100 | 51.6 | 0.4 | −16 | 6 | 1 | 42.5 | ||
| 125 | 51.6 | 0.4 | −16 | 6 | 1 | 39.3 | ||
| 150 | 51.6 | 0.4 | −16 | 6 | 1 | 37.2 | ||
| 0 | 62.9 | 0.35 | −16 | 6 | 1 | 62.9 | ||
| 25 | 62.9 | 0.35 | −16 | 6 | 1 | 61.6 | ||
| 50 | 62.9 | 0.35 | −16 | 6 | 1 | 60 | ||
| 75 | 62.9 | 0.35 | −16 | 6 | 1 | 57.8 | ||
| 100 | 62.9 | 0.35 | −16 | 6 | 1 | 54.6 | ||
| 125 | 62.9 | 0.35 | −16 | 6 | 1 | 51.5 | ||
| 150 | 62.9 | 0.35 | −16 | 6 | 1 | 48.5 | ||
| Algin and Girginci [49] | ASTM C666-97 | 0 | 64 | 0.41 | −18 | 5 | 0 | 64 |
| 100 | 64 | 0.41 | −18 | 5 | 0 | 62.1 | ||
| 200 | 64 | 0.41 | −18 | 5 | 0 | 60.5 | ||
| 300 | 64 | 0.41 | −18 | 5 | 0 | 59.4 | ||
| Shang et al. [73] | GB/T 50082-2009 | 0 | 19.7 | 0.55 | −15 | 6 | 0 | 19.7 |
| 25 | 19.7 | 0.55 | −15 | 6 | 0 | 15.3 | ||
| 50 | 19.7 | 0.55 | −15 | 6 | 0 | 10 | ||
| Tian and Han [50] | - | 0 | 43.1 | 0.4 | −20 | 20 | 0 | 43.1 |
| 25 | 43.1 | 0.4 | −20 | 20 | 0 | 40.5 | ||
| 50 | 43.1 | 0.4 | −20 | 20 | 0 | 38.9 | ||
| 75 | 43.1 | 0.4 | −20 | 20 | 0 | 36.1 | ||
| 100 | 43.1 | 0.4 | −20 | 20 | 0 | 34.2 |
References
- Gong, F.; Sun, X.; Takahashi, Y.; Maekawa, K.; Jin, W. Computational modeling of combined frost damage and alkali–silica reaction on the durability and fatigue life of RC bridge decks. J. Intell. Constr. 2023, 1, 9180001. [Google Scholar] [CrossRef]
- Wang, Z.; Gong, F.; Maekawa, K. Multi-scale and multi-chemo–physics lifecycle evaluation of structural concrete under environmental and mechanical impacts. J. Intell. Constr. 2023, 1, 9180003. [Google Scholar] [CrossRef]
- Martın-Pérez, B.; Zibara, H.; Hooton, R.; Thomas, M. A study of the effect of chloride binding on service life predictions. Cem. Concr. Res. 2000, 30, 1215–1223. [Google Scholar] [CrossRef]
- Sohail, M.G.; Kahraman, R.; Al Nuaimi, N.; Gencturk, B.; Alnahhal, W. Durability characteristics of high and ultra-high performance concretes. J. Build. Eng. 2021, 33, 101669. [Google Scholar] [CrossRef]
- Wang, L.; Guo, F.; Yang, H.; Wang, Y.; Tang, S. Comparison of fly ash, PVA fiber, MgO and shrinkage-reducing admixture on the frost resistance of face slab concrete via pore structural and fractal analysis. Fractals 2021, 29, 2140002. [Google Scholar] [CrossRef]
- Wang, L.; Huang, Y.; Zhao, F.; Huo, T.; Chen, E.; Tang, S. Comparison between the influence of finely ground phosphorous slag and fly ash on frost resistance, pore structures and fractal features of hydraulic concrete. Fractal Fract. 2022, 6, 598. [Google Scholar] [CrossRef]
- ASTM C666–03; Standard Test Method for Resistance of Concrete to Rapid Freezing and Thawing. American Society for Testing and Materials: West Conshohocken, PA, USA, 2003.
- GB/T50082-2009; Standard for Test Methods of Long-Term Performance and Durability of Ordinary Concrete. Chinese Standard Press: Beijing, China, 2009.
- A1148:2010; Method of Test for Resistance of Concrete to Freezing and Thawing. JIS Japan Industrial Standard: Tokyo, Japan, 2010.
- Setzer, M.; Heine, P.; Kasparek, S.; Palecki, S.; Auberg, R.; Feldrappe, V.; Siebel, E. Test methods of frost resistance of concrete: CIF-Test: Capillary suction, internal damage and freeze thaw test—Reference method and alternative methods A and B. Mater. Struct. 2004, 37, 743–753. [Google Scholar] [CrossRef]
- Shi, S. Effect of freezing-thawing cycles on mechanical properties of concrete. China Civ. Eng. J. 1997, 30, 35–42. [Google Scholar]
- Shang, H.S.; Song, Y. Experimental study of strength and deformation of plain concrete under biaxial compression after freezing and thawing cycles. Cem. Concr. Res. 2006, 36, 1857–1864. [Google Scholar] [CrossRef]
- Duan, A.; Jin, W.; Qian, J. Effect of freeze–thaw cycles on the stress–strain curves of unconfined and confined concrete. Mater. Struct. 2011, 44, 1309–1324. [Google Scholar] [CrossRef]
- Diao, B.; Sun, Y.; Cheng, S.; Ye, Y. Effects of mixed corrosion, freeze-thaw cycles, and persistent loads on behavior of reinforced concrete beams. J. Cold Reg. Eng. 2011, 25, 37–52. [Google Scholar] [CrossRef]
- Petersen, L.; Lohaus, L.; Polak, M.A. Influence of freezing-and-thawing damage on behavior of reinforced concrete elements. ACI Mater. J. 2007, 104, 369. [Google Scholar]
- Wang, Z.; Gong, F.; Zhang, D.; Wang, Y.; Ueda, T. RBSM based analysis on mechanical degradation of non-air entrained concrete under frost action–A general prediction with various water cement ratio, lowest temperatures and FTC numbers. Constr. Build. Mater. 2019, 211, 744–755. [Google Scholar] [CrossRef]
- Hasan, M.; Okuyama, H.; Sato, Y.; Ueda, T. Stress-strain model of concrete damaged by freezing and thawing cycles. J. Adv. Concr. Technol. 2004, 2, 89–99. [Google Scholar] [CrossRef]
- Hanjari, K.Z.; Kettil, P.; Lundgren, K. Modelling the structural behaviour of frost-damaged reinforced concrete structures. Struct. Infrastruct. Eng. 2013, 9, 416–431. [Google Scholar] [CrossRef]
- Gong, F.; Sicat, E.; Ueda, T.; Zhang, D. Meso-scale mechanical model for mortar deformation under freeze thaw cycles. J. Adv. Concr. Technol. 2013, 11, 49–60. [Google Scholar] [CrossRef]
- Gong, F.; Wang, Y.; Zhang, D.; Ueda, T. Mesoscale simulation of deformation for mortar and concrete under cyclic freezing and thawing stress. J. Adv. Concr. Technol. 2015, 13, 291–304. [Google Scholar] [CrossRef]
- Gong, F.; Zhang, D.; Sicat, E.; Ueda, T. Empirical estimation of pore size distribution in cement, mortar, and concrete. J. Mater. Civ. Eng. 2014, 26, 04014023. [Google Scholar] [CrossRef]
- Ueda, T.; Hasan, M.; Nagai, K.; Sato, Y.; Wang, L. Mesoscale simulation of influence of frost damage on mechanical properties of concrete. J. Mater. Civ. Eng. 2009, 21, 244–252. [Google Scholar] [CrossRef]
- Zou, C.; Zhao, J.; Liang, F. Stress-strain relationship of concrete in freeze-thaw environment. Front. Archit. Civ. Eng. China 2008, 2, 184–188. [Google Scholar] [CrossRef]
- Cao, D.; Fu, L.; Yang, Z.; Qin, X. Study on constitutive relations of compresed concrete subjected to action of frezing-thawing cycles. J. Build. Eng. 2013, 16, 17–23. [Google Scholar]
- Gong, F.; Wang, Y.; Ueda, T.; Zhang, D. Modeling and mesoscale simulation of ice-strengthened mechanical properties of concrete at low temperatures. J. Eng. Mech. 2017, 143, 04017022. [Google Scholar] [CrossRef]
- Bagherzadeh, F.; Shafighfard, T.; Khan, R.M.A.; Szczuko, P.; Mieloszyk, M. Prediction of maximum tensile stress in plain-weave composite laminates with interacting holes via stacked machine learning algorithms: A comparative study. Mech. Syst. Signal Process. 2023, 195, 110315. [Google Scholar] [CrossRef]
- Kazemi, F.; Asgarkhani, N.; Jankowski, R. Machine learning-based seismic response and performance assessment of reinforced concrete buildings. Arch. Civ. Mech. Eng. 2023, 23, 94. [Google Scholar] [CrossRef]
- DeRousseau, M.; Laftchiev, E.; Kasprzyk, J.; Rajagopalan, B.; Srubar, W., III. A comparison of machine learning methods for predicting the compressive strength of field-placed concrete. Constr. Build. Mater. 2019, 228, 116661. [Google Scholar] [CrossRef]
- Zhang, X.; Akber, M.Z.; Poon, C.; Zheng, W. Predicting the 28-day compressive strength by mix proportions: Insights from a large number of observations of industrially produced concrete. Constr. Build. Mater. 2023, 400, 132754. [Google Scholar] [CrossRef]
- Li, Z.; Yoon, J.; Zhang, R.; Rajabipour, F.; Srubar, W.V., III; Dabo, I.; Radlińska, A. Machine learning in concrete science: Applications, challenges, and best practices. Npj Comput. Mater. 2022, 8, 127. [Google Scholar] [CrossRef]
- Young, B.A.; Hall, A.; Pilon, L.; Gupta, P.; Sant, G. Can the compressive strength of concrete be estimated from knowledge of the mixture proportions?: New insights from statistical analysis and machine learning methods. Cem. Concr. Res. 2019, 115, 379–388. [Google Scholar] [CrossRef]
- Zhang, X.; Akber, M.Z.; Zheng, W. Predicting the slump of industrially produced concrete using machine learning: A multiclass classification approach. J. Build. Eng. 2022, 58, 104997. [Google Scholar] [CrossRef]
- Liu, K.; Zou, C.; Zhang, X.; Yan, J. Innovative prediction models for the frost durability of recycled aggregate concrete using soft computing methods. J. Build. Eng. 2021, 34, 101822. [Google Scholar] [CrossRef]
- Wu, X.; Zheng, S.; Feng, Z.; Chen, B.; Qin, Y.; Xu, W.; Liu, Y. Prediction of the frost resistance of high-performance concrete based on RF-REF: A hybrid prediction approach. Constr. Build. Mater. 2022, 333, 127132. [Google Scholar] [CrossRef]
- Zhang, X.; Akber, M.Z.; Zheng, W. Prediction of seven-day compressive strength of field concrete. Constr. Build. Mater. 2021, 305, 124604. [Google Scholar] [CrossRef]
- Lee, S.-C. Prediction of concrete strength using artificial neural networks. Eng. Struct. 2003, 25, 849–857. [Google Scholar] [CrossRef]
- Adibimanesh, B.; Polesek-Karczewska, S.; Bagherzadeh, F.; Szczuko, P.; Shafighfard, T. Energy consumption optimization in wastewater treatment plants: Machine learning for monitoring incineration of sewage sludge. Sustain. Energy Technol. Assess. 2023, 56, 103040. [Google Scholar] [CrossRef]
- Mansour, M.Y.; Dicleli, M.; Lee, J.-Y.; Zhang, J. Predicting the shear strength of reinforced concrete beams using artificial neural networks. Eng. Struct. 2004, 26, 781–799. [Google Scholar] [CrossRef]
- Breiman, L. Random forests. Mach. Learn. 2001, 45, 5–32. [Google Scholar] [CrossRef]
- Li, Y.; Zou, C.; Berecibar, M.; Nanini-Maury, E.; Chan, J.C.-W.; Van den Bossche, P.; Van Mierlo, J.; Omar, N. Random forest regression for online capacity estimation of lithium-ion batteries. Appl. Energy 2018, 232, 197–210. [Google Scholar] [CrossRef]
- Zhang, J.; Ma, G.; Huang, Y.; Aslani, F.; Nener, B. Modelling uniaxial compressive strength of lightweight self-compacting concrete using random forest regression. Constr. Build. Mater. 2019, 210, 713–719. [Google Scholar] [CrossRef]
- Vapnik, V.N. An overview of statistical learning theory. IEEE Trans. Neural Netw. 1999, 10, 988–999. [Google Scholar] [CrossRef]
- Smola, A.J.; Schölkopf, B. A tutorial on support vector regression. Stat. Comput. 2004, 14, 199–222. [Google Scholar] [CrossRef]
- Jueyendah, S.; Lezgy-Nazargah, M.; Eskandari-Naddaf, H.; Emamian, S. Predicting the mechanical properties of cement mortar using the support vector machine approach. Constr. Build. Mater. 2021, 291, 123396. [Google Scholar]
- Zheng, X.; Wang, Y.; Zhang, S.; Xu, F.; Zhu, X.; Jiang, X.; Zhou, L.; Shen, Y.; Chen, Q.; Yan, Z. Research progress of the thermophysical and mechanical properties of concrete subjected to freeze-thaw cycles. Constr. Build. Mater. 2022, 330, 127254. [Google Scholar]
- Gong, F.; Wang, Z.; Ning, Y.; Yang, L.; Zeng, Q. Investigation on the impact of Thermo-Drying towards Freeze-Thaw cycle processing for recycled coarse aggregate. Constr. Build. Mater. 2023, 392, 131914. [Google Scholar] [CrossRef]
- Hachem, Y.; Ezzedine El Dandachy, M.; Khatib, J.M. Physical, Mechanical and Transfer Properties at the Steel-Concrete Interface: A Review. Buildings 2023, 13, 886. [Google Scholar] [CrossRef]
- Sun, X.; Wang, S.; Jin, J.; Wang, Z.; Gong, F. Computational methods of mass transport in concrete under stress and crack conditions: A review. J. Intell. Constr. 2023, 1, 9180015. [Google Scholar] [CrossRef]
- Algin, Z.; Gerginci, S. Freeze-thaw resistance and water permeability properties of roller compacted concrete produced with macro synthetic fibre. Constr. Build. Mater. 2020, 234, 117382. [Google Scholar] [CrossRef]
- Tian, W.; Han, N. Evaluation of damage in concrete suffered freeze-thaw cycles by CT technique. J. Adv. Concr. Technol. 2016, 14, 679–690. [Google Scholar] [CrossRef]
- Fu, X.; Liu, X.; Sun, Y.; Huang, P.; Li, Y.; Shah, R. Experimental study of mechanical properties of concrete after freeze-thaw exposures. Adv. Mat. Res. 2014, 912–914, 131–135. [Google Scholar] [CrossRef]
- Gong, F.; Zhi, D.; Jia, J.; Wang, Z.; Ning, Y.; Zhang, B.; Ueda, T. Data-Based Statistical Analysis of Laboratory Experiments on Concrete Frost Damage and Its Implications on Service Life Prediction. Materials 2022, 15, 6282. [Google Scholar] [CrossRef]
- Asteris, P.G.; Mokos, V.G. Concrete compressive strength using artificial neural networks. Neural Comput. Appl. 2020, 32, 11807–11826. [Google Scholar] [CrossRef]
- Naderpour, H.; Mirrashid, M.; Parsa, P. Failure mode prediction of reinforced concrete columns using machine learning methods. Eng. Struct. 2021, 248, 113263. [Google Scholar] [CrossRef]
- Jabeur, S.B.; Mefteh-Wali, S.; Viviani, J.-L. Forecasting gold price with the XGBoost algorithm and SHAP interaction values. Ann. Oper. Res. 2021, 1–21. [Google Scholar] [CrossRef]
- Wu, Y.; Zhou, Y. Hybrid machine learning model and Shapley additive explanations for compressive strength of sustainable concrete. Constr. Build. Mater. 2022, 330, 127298. [Google Scholar] [CrossRef]
- Marani, A.; Nehdi, M.L. Machine learning prediction of compressive strength for phase change materials integrated cementitious composites. Constr. Build. Mater. 2020, 265, 120286. [Google Scholar] [CrossRef]
- Kahraman, E.; Ozdemir, A.C. The prediction of durability to freeze–thaw of limestone aggregates using machine-learning techniques. Constr. Build. Mater. 2022, 324, 126678. [Google Scholar] [CrossRef]
- Abd, A.M.; Abd, S.M. Modelling the strength of lightweight foamed concrete using support vector machine (SVM). Case Stud. Constr. Mater. 2017, 6, 8–15. [Google Scholar] [CrossRef]
- Lundberg, S.M.; Lee, S.-I. A unified approach to interpreting model predictions. Adv. Neural Inf. Process. Syst. 2017, 30. [Google Scholar] [CrossRef]
- Zhang, Y.; Yang, D.; Liu, Z.; Chen, C.; Ge, M.; Li, X.; Luo, T.; Wu, Z.; Shi, C.; Wang, B. An explainable supervised machine learning predictor of acute kidney injury after adult deceased donor liver transplantation. J. Transl. Med. 2021, 19, 321. [Google Scholar] [CrossRef]
- Fan, Y.; Zhang, S.; Wang, Q.; Shah, S.P. Effects of nano-kaolinite clay on the freeze–thaw resistance of concrete. Cem. Concr. Compos. 2015, 62, 1–12. [Google Scholar] [CrossRef]
- Guan, X.; Qiu, J.; Song, H.; Qin, Q.; Zhang, C. Stress–strain behaviour and acoustic emission characteristic of gangue concrete under axial compression in frost environment. Constr. Build. Mater. 2019, 220, 476–488. [Google Scholar] [CrossRef]
- Hao, L.; Liu, Y.; Wang, W.; Zhang, J.; Zhang, Y. Effect of salty freeze-thaw cycles on durability of thermal insulation concrete with recycled aggregates. Constr. Build. Mater. 2018, 189, 478–486. [Google Scholar] [CrossRef]
- Ma, Z.; Zhao, T.; Yang, J. Fracture behavior of concrete exposed to the freeze-thaw environment. J. Mater. Civ. Eng. 2017, 29, 04017071. [Google Scholar] [CrossRef]
- Zhang, P.; Wittmann, F.H.; Vogel, M.; Müller, H.S.; Zhao, T. Influence of freeze-thaw cycles on capillary absorption and chloride penetration into concrete. Cem. Concr. Res. 2017, 100, 60–67. [Google Scholar] [CrossRef]
- Shang, H.; Song, Y.; Ou, J. Behavior of air-entrained concrete after freeze-thaw cycles. Acta Mech. Solida Sin. 2009, 22, 261–266. [Google Scholar] [CrossRef]
- Shang, H. Experimental Study on Strength of Air-Entrained Concrete under Multiaxial Loads after Freeze-Thaw Cycles. Ph.D. Thesis, Dalian University of Technology, Dalian, China, 2006. [Google Scholar]
- Xiao, Q.; Niu, D.; Zhu, W. Experimental study on fly-ash air-entraining concrete after freezing and thawing cycles. Wuhan Ligong Daxue Xuebao 2010, 32, 35–38. [Google Scholar]
- Yang, B.; Wang, B. Comparative analysis of the mechanical properties of different concretes after freeze-thaw cycles. China Sci. Technol. Inf. 2009, 3, 73–74. [Google Scholar]
- Li, W.; Wang, Y.; Feng, X. Frost resistance analysis of different air-content concrete based on freeze-thaw cycle test. Hebei Nongye Daxue Xuebao 2019, 42, 131–135. [Google Scholar] [CrossRef]
- Xu, B. Analysis of Freeze-Thaw Failure Mechanism of Concrete Mixed with Diatomite. Master’s Thesis, Jilin University, Changchun, China, 2019. [Google Scholar]
- Shang, H.-S.; Yi, T.-H.; Song, Y.-P. Behavior of plain concrete of a high water-cement ratio after freeze-thaw cycles. Materials 2012, 5, 1698–1707. [Google Scholar] [CrossRef]












| Name | Function Definition |
|---|---|
| Linear | |
| Polynomial | |
| RBF | |
| Sigmoid |
| Parameters | Unit | Count | Mean | Median | Min | Max | SD |
|---|---|---|---|---|---|---|---|
| FTC | No. | 155 | 78.09 | 50 | 0 | 300 | 80.44 |
| CS | MPa | 155 | 43.44 | 42.2 | 19.7 | 64 | 11.18 |
| W/C | - | 155 | 0.44 | 0.43 | 0.35 | 0.6 | 0.07 |
| Min T | °C | 155 | −17 | −17 | −20 | −15 | 1.34 |
| Max T | °C | 155 | 7.4 | 6 | 4 | 20 | 3.84 |
| AE | No. | 155 | 0.43 | 0 | 0 | 1 | 0.50 |
| DCS | MPa | 155 | 37.87 | 37 | 10 | 64 | 11.91 |
| Linear | Polynomial | RBF | Sigmoid | |||||||
|---|---|---|---|---|---|---|---|---|---|---|
| C | ε | C | ε | d | C | ε | γ | C | ε | γ |
| 1 | 0.1 | 4.32 | 0.1 | 3 | 7.16 | 0.06 | 1.15 | 3.45 | 0.01 | 0.14 |
| Model | All Data | Training Data | Test Data | ||||||
|---|---|---|---|---|---|---|---|---|---|
| MAE | RMSE | R2 | MAE | RMSE | R2 | MAE | RMSE | R2 | |
| ANN | 0.025 | 0.040 | 0.967 | 0.021 | 0.029 | 0.981 | 0.042 | 0.067 | 0.924 |
| RF | 0.017 | 0.024 | 0.987 | 0.018 | 0.025 | 0.985 | 0.048 | 0.072 | 0.910 |
| SVM | 0.040 | 0.049 | 0.950 | 0.037 | 0.043 | 0.959 | 0.049 | 0.068 | 0.921 |
Disclaimer/Publisher’s Note: The statements, opinions and data contained in all publications are solely those of the individual author(s) and contributor(s) and not of MDPI and/or the editor(s). MDPI and/or the editor(s) disclaim responsibility for any injury to people or property resulting from any ideas, methods, instructions or products referred to in the content. |
© 2023 by the authors. Licensee MDPI, Basel, Switzerland. This article is an open access article distributed under the terms and conditions of the Creative Commons Attribution (CC BY) license (https://creativecommons.org/licenses/by/4.0/).
Share and Cite
Atasham ul haq, M.; Xu, W.; Abid, M.; Gong, F. Prediction of Progressive Frost Damage Development of Concrete Using Machine-Learning Algorithms. Buildings 2023, 13, 2451. https://doi.org/10.3390/buildings13102451
Atasham ul haq M, Xu W, Abid M, Gong F. Prediction of Progressive Frost Damage Development of Concrete Using Machine-Learning Algorithms. Buildings. 2023; 13(10):2451. https://doi.org/10.3390/buildings13102451
Chicago/Turabian StyleAtasham ul haq, Muhammad, Wencheng Xu, Muhammad Abid, and Fuyuan Gong. 2023. "Prediction of Progressive Frost Damage Development of Concrete Using Machine-Learning Algorithms" Buildings 13, no. 10: 2451. https://doi.org/10.3390/buildings13102451
APA StyleAtasham ul haq, M., Xu, W., Abid, M., & Gong, F. (2023). Prediction of Progressive Frost Damage Development of Concrete Using Machine-Learning Algorithms. Buildings, 13(10), 2451. https://doi.org/10.3390/buildings13102451

