The Optimization of Waterproof and Drainage Design and an Evaluation of the Structural Safety of Tunnels in Weak Watery Strata
Abstract
:1. Introduction
2. Tunnel Field Monitoring
2.1. Project Overview
2.2. Monitoring Program
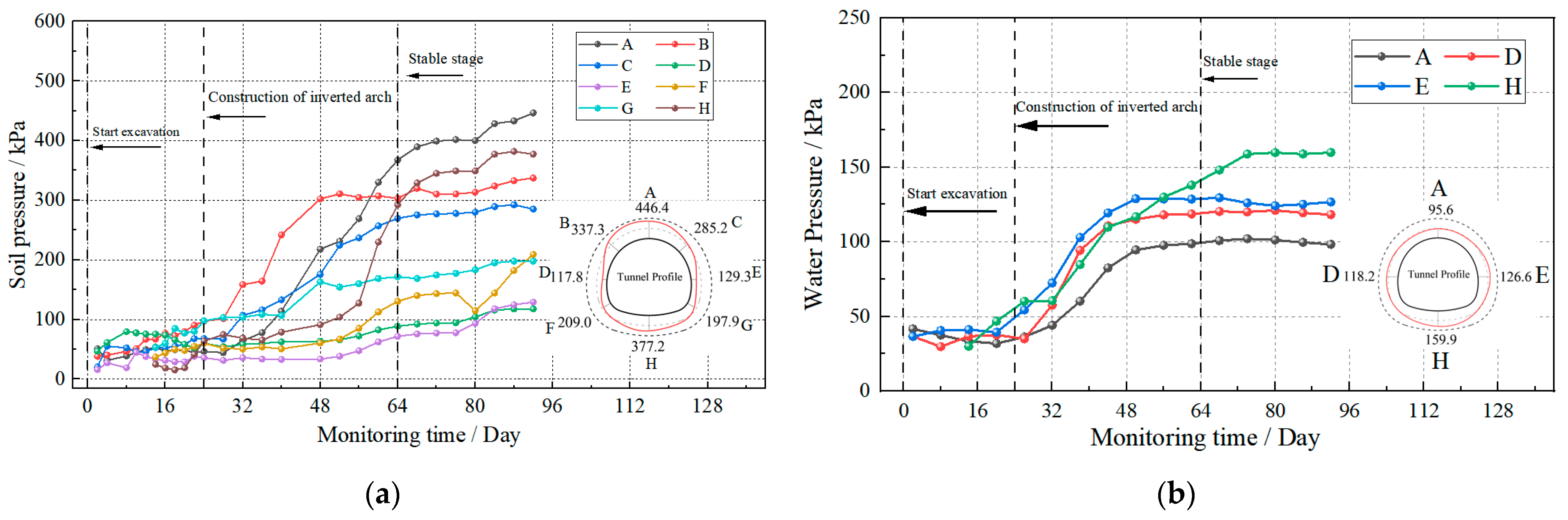
2.3. Monitoring Results and Analysis
2.4. Safety Evaluation of Lining Structure
3. Distribution Pattern of Lining Water Pressure and Waterproof and Drainage Design during Operation Period
3.1. Establishment of a Numerical Model for Drainage Blind Pipe Seepage
3.2. Water Pressure Distribution of Lining with Drainage Blind Pipe
3.3. Research on the Reasonable Spacing of Drainage Blind Pipes in Tunnel during Operation Period
3.3.1. Distribution of Lining Water Pressure under Different Spacing of Drainage Blind Pipes
3.3.2. The Influence of the Spacing between Drainage Blind Pipes on the Water Pressure of the Lining
3.3.3. Determination of the Optimal Spacing between Drainage Blind Pipes
4. Study on the Safety of the Optimal Blind Pipe Spacing Secondary Lining during Operation Period
4.1. Bending Moment–Curvature Calculation Method
4.2. Numerical Simulation of Secondary Lining Safety Based on Bending Moment–Curvature
4.2.1. Establishment of Bending Moment–Curvature Beam Model
4.2.2. Numerical Calculation Results and Analysis
5. Conclusions
- The structure of the Taidacun Tunnel bears significant soil and water pressure, especially in sections of water-rich and fine sand formations. The distribution pattern of soil pressure is characterized by a large arch crown and inverted arch compared to small side walls. The maximum earth pressure reaches 751.6 kPa. The water pressure gradually increases from the arch crown to the inverted arch, with the maximum water pressure reaching 359.2 kPa. The safety factor at the side wall of the tunnel lining in the water-rich and fine sand layer is relatively small, but the safety factors at all parts meet the specification requirements.
- The minimum value of water pressure calculated through numerical simulation appears on both sides of the circumferential and longitudinal drainage blind pipes. At water levels of 20 m, 40 m, and 60 m, the maximum pore water pressures on the outer side of the secondary lining are 164.85 kPa, 334.75 kPa, and 506.05 kPa, respectively, and the calculated water pressure is smaller than the groundwater level line above the arch, which explicates that the installation of drainage blind pipes can reduce the maximum water pressure borne by the lining structure.
- Through introducing the average pressure reduction coefficient index, the influence of the spacing of circumferential blind pipes on the water pressure borne by the lining was explored, and the optimal spacing of circumferential blind pipes in the water-rich area of the Taidacun Tunnel was determined to be 8 m. The pressure reduction coefficient at the arch crown is significantly greater than that at the inverted arch. The pressure reduction coefficient at the secondary lining arch crown is 0.29~0.37, and the pressure reduction coefficient at the inverted arch is 0.72~0.78.
- A more practical safety evaluation method for secondary lining is proposed based on the bending moment–curvature beam model. Under the optimal spacing of drainage blind pipes, the bending moment–curvature beam can better characterize the mechanical characteristics of the secondary lining during the tunnel operation period, and the calculated internal force is smaller than that of the elastic beam calculation results. The safety factors of the secondary lining calculated using both methods are greater than the specified minimum value of 2.4, and the minimum safety factor of the bending moment–curvature beam is 5.02, which is greater than 4.15 of the elastic beam element.
Author Contributions
Funding
Data Availability Statement
Conflicts of Interest
References
- Zhang, Z.; Chen, B.; Li, H.; Zhang, H. The performance of mechanical characteristics and failure mode for tunnel concrete lining structure in water-rich layer. Tunn. Undergr. Space Technol. 2022, 121, 104335. [Google Scholar] [CrossRef]
- Yang, G.; Wang, G.; Lu, W.; Yan, P.; Chen, M. Damage assessment and mitigation measures of underwater tunnel subjected to blast loads. Tunn. Undergr. Space Technol. 2019, 94, 103131. [Google Scholar] [CrossRef]
- Bi, J.; Jiang, H.; Ding, W. Analytical solution for calculating the flow rate in a lined tunnel with drainage systems. Tunn. Undergr. Space Technol. 2023, 138, 105132. [Google Scholar] [CrossRef]
- Eichinger, S.; Boch, R.; Leis, A.; Koraimann, G.; Grengg, C.; Domberger, G.; Nachtnebel, M.; Schwab, C.; Dietzel, M. Scale deposits in tunnel drainage systems—A study on fabrics and formation mechanisms. Sci. Total Environ. 2020, 718, 137140. [Google Scholar] [CrossRef] [PubMed]
- Bao, T.; Zhang, S.; Liu, C.; Xu, Q. Experimental study on the effect of hydraulic deterioration of different drainage systems on lining water pressure. Processes 2022, 10, 1975. [Google Scholar] [CrossRef]
- Duan, S.; Jiang, X.; Jiang, Q.; Xiong, J.; Li, C. Theoretical solution and failure analysis of water pressure on lining of deep-buried non-circular hydraulic tunnel based on the equivalent hydraulic radius method. Eng. Fail. Anal. 2023, 148, 107163. [Google Scholar] [CrossRef]
- Fan, H.; Zhu, Z.; Song, Y.; Zhang, S.; Zhu, Y.; Gao, X.; Hu, Z.; Guo, J.; Han, Z. Water pressure evolution and structural failure characteristics of tunnel lining under hydrodynamic pressure. Eng. Fail. Anal. 2021, 130, 105747. [Google Scholar] [CrossRef]
- Zhang, C.; Liu, N.; Chen, K.; Ren, F. Study on drainage mode and anti-clogging performance of new waterproofing and drainage system in a tunnel. Sci. Rep. 2023, 13, 5354. [Google Scholar] [CrossRef]
- Zhao, D.; Fan, H.; Jia, L.; Song, Y. Research on waterproofing and drainage optimization scheme for karst tunnel lining in water-rich areas. Environ. Earth Sci. 2021, 80, 150. [Google Scholar] [CrossRef]
- Zhang, Z.; Huang, M.; Huang, J. Discussion on the design of water blocking and drainage limit of water-rich mountain tunnel in ecologically fragile area. IOP Conf. Ser. Earth Environ. Sci. 2020, 510, 052059. [Google Scholar] [CrossRef]
- Li, P.; Liu, H.; Zhao, Y.; Li, Z. A bottom-to-up drainage and water pressure reduction system for railway tunnels. Tunn. Undergr. Space Technol. 2018, 81, 296–305. [Google Scholar] [CrossRef]
- Wang, X.; Liu, L.; Fu, R.; Sun, X. Newly developed pressure adaptable concrete lining for high pressure hydraulic tunnels. Tunn. Undergr. Space Technol. 2020, 105, 103570. [Google Scholar] [CrossRef]
- He, B.; Xue, R.; Zhang, Z.; Feng, X.; Wu, C. A novel method of imposing external water pressure to explore the failure behavior of railway tunnel linings. Tunn. Undergr. Space Technol. 2023, 133, 104942. [Google Scholar] [CrossRef]
- Chen, Z.; Li, Z.; He, C.; Ma, C.; Li, X.; Chen, K.; Zhang, H.; Liu, M. Investigation on seepage field distribution and structural safety performance of small interval tunnel in water-rich region. Tunn. Undergr. Space Technol. 2023, 138, 105172. [Google Scholar] [CrossRef]
- Wu, Y.; Zhuang, G.; Liang, W.; Huang, L. Safety analysis of secondary lining of Yulinzi Tunnel based on field monitoring. Appl. Sci. 2023, 13, 8328. [Google Scholar] [CrossRef]
- Liu, S.; Shi, Y.; Sun, R.; Yang, J. Damage behavior and maintenance design of tunnel lining based on numerical evaluation. Eng. Fail. Anal. 2020, 109, 104209. [Google Scholar] [CrossRef]
- Song, W.; Lai, H.; Liu, Y.; Yang, W.; Zhu, Z. Field and laboratory study of cracking and safety of secondary lining for an existing highway tunnel in loess ground. Tunn. Undergr. Space Technol. 2019, 88, 35–46. [Google Scholar] [CrossRef]
- Guo, R.; Zhang, M.; Xie, H.; He, C.; Fang, Y.; Wang, S. Model test study of the mechanical characteristics of the lining structure for an urban deep drainage shield tunnel. Tunn. Undergr. Space Technol. 2019, 91, 103014. [Google Scholar] [CrossRef]
- Ding, Y.; Zhang, X.; Zhang, B. Preliminary study on double lining support design for water plugging of highway tunnel under high water pressure in mountain area based on limited drainage. Appl. Sci. 2022, 12, 7905. [Google Scholar] [CrossRef]
- Huang, M.; Yao, X.; Tan, Z.; Li, J. Research on Water Pressure Distribution Characteristics and Lining Safety Evaluation of Deep Shaft in Water-Rich, Large, Fractured Granite Stratum. Appl. Sci. 2022, 12, 7415. [Google Scholar] [CrossRef]
- China Academy of Architectural Engineering Co., Ltd. Code for Design of Concrete Structures; Construction Industry Press: Beijing, China, 2010. (In Chinese) [Google Scholar]
- Chen, J.; Liu, X.; Zhang, W.; Zhang, J. Investigation and Statistical Analysis of Water Leakage in Highway Tunnels in Guizhou Province. Mod. Tunn. Technol. 2011, 48, 7–11. (In Chinese) [Google Scholar]
- Fu, H.; An, P.; Li, K.; Cheng, G.; Li, J.; Yu, X. Grouting design of rich water tunnels and the calculation of distance between annular blind pipes. Adv. Civ. Eng. 2020, 2020, 8873971. [Google Scholar] [CrossRef]
- An, P.; Fu, H.; Chen, L.; Li, J. Analysis of water gushing after blockage of a drainage system in a deeply buried tunnel. Hydrogeol. J. 2022, 30, 2153–2162. [Google Scholar] [CrossRef]





























| Category | Elastic Modulus, E (GPa) | Poisson’s Ratio, μ | Cohesion, c (MPa) | Friction, φ (°) | Density, ρ (kg/m3) | Permeability Coefficient, K (cm/s) |
|---|---|---|---|---|---|---|
| Mudstone | 0.19 | 0.3 | 25 | 18 | 2000 | — |
| Silty fine sand | 0.07 | 0.35 | 0.0037 | 31 | 1837 | 8.76 × 10−3 |
| Initial support | 3.4 | 0.2 | — | — | 2300 | 1 × 10−6 |
| Secondary lining | 31.5 | 0.2 | — | — | 2500 | — |
| Grouting area | 0.8 | 0.31 | 0.12 | 35 | 2200 | 5 × 10−4 |
| Working Condition | Distance between Circular Drainage Blind Pipes | Overburden Water Level on the Arch |
|---|---|---|
| 1 | 3 m | 20 m 40 m 60 m |
| 2 | 5 m | |
| 3 | 8 m | |
| 4 | 12 m | |
| 5 | 15 m |
| Axial Force (kN) | 1500 | 2000 | 2500 | 3000 | 3500 |
|---|---|---|---|---|---|
| Ultimate Curvature (10−2) | 3.74 | 2.84 | 2.25 | 1.90 | 1.63 |
| Ultimate strain of bottom plate (10−3) | 4.37 | 4.38 | 4.38 | 4.89 | 4.06 |
| Depth of compression zone (m) | 0.1159 | 0.1541 | 0.1923 | 0.2578 | 0.2492 |
| Category | Elastic Modulus E (GPa) | Poisson’s Ratio μ | Cohesion C (MPa) | Friction φ (°) | Density ρ (kg/m3) | Unit Type |
|---|---|---|---|---|---|---|
| Rock | 0.07 | 0.35 | 0.0037 | 31 | 1837 | Plane-strain Unit |
| Curtain grouting area | 0.8 | 0.31 | 0.12 | 35 | 2200 | Plane-strain Unit |
| Initial support | 28 | 0.2 | - | - | 2300 | Plane-strain Unit |
| Secondary lining | 31.5 | 0.2 | - | - | 2500 | Elastic Unit |
| Secondary lining | - | - | - | - | - | Bending moment–Curvature Unit |
Disclaimer/Publisher’s Note: The statements, opinions and data contained in all publications are solely those of the individual author(s) and contributor(s) and not of MDPI and/or the editor(s). MDPI and/or the editor(s) disclaim responsibility for any injury to people or property resulting from any ideas, methods, instructions or products referred to in the content. |
© 2023 by the authors. Licensee MDPI, Basel, Switzerland. This article is an open access article distributed under the terms and conditions of the Creative Commons Attribution (CC BY) license (https://creativecommons.org/licenses/by/4.0/).
Share and Cite
Zhou, Z.; Zhu, X.; Zheng, C.; Zhang, Z.; Zhang, H. The Optimization of Waterproof and Drainage Design and an Evaluation of the Structural Safety of Tunnels in Weak Watery Strata. Buildings 2023, 13, 2499. https://doi.org/10.3390/buildings13102499
Zhou Z, Zhu X, Zheng C, Zhang Z, Zhang H. The Optimization of Waterproof and Drainage Design and an Evaluation of the Structural Safety of Tunnels in Weak Watery Strata. Buildings. 2023; 13(10):2499. https://doi.org/10.3390/buildings13102499
Chicago/Turabian StyleZhou, Zelin, Xingyu Zhu, Chuantian Zheng, Zhiqiang Zhang, and Heng Zhang. 2023. "The Optimization of Waterproof and Drainage Design and an Evaluation of the Structural Safety of Tunnels in Weak Watery Strata" Buildings 13, no. 10: 2499. https://doi.org/10.3390/buildings13102499
APA StyleZhou, Z., Zhu, X., Zheng, C., Zhang, Z., & Zhang, H. (2023). The Optimization of Waterproof and Drainage Design and an Evaluation of the Structural Safety of Tunnels in Weak Watery Strata. Buildings, 13(10), 2499. https://doi.org/10.3390/buildings13102499
