Pseudo-Static Tests on Top Joints of Hybrid Precast Utility Tunnel
Abstract
:1. Introduction
- (a)
- Hybrid precast tunnels are extensively used in urban municipal construction due to their benefits, including overall structural integrity and water resistance. However, seismic tests for hybrid precast tunnels have predominantly concentrated on the bottom joints. Despite this, the seismic performance of the top joint, a critical component for the hybrid precast tunnel’s suitability in multi-cabin applications, has not been explored thus far.
- (b)
- The commonly adopted top slab for hybrid MUTs are mostly solid slabs, making it challenging to accommodate the construction of multi-cabin utility tunnels.
- (c)
2. Specimen Design and Construction
2.1. Design Basis
- (a)
- Both PE and PI are constructed using composite concrete top slabs and double-skin sidewalls with reserved rebar. To enhance the cohesion between the CIP part and the composite concrete top slab, tie-beam connections are employed, along with a 4 mm deep roughening surface incorporated into the composite top slab.
- (b)
- The connection between the top slab and sidewall for PE specimen is established by overlapping the reinforcement bars, as shown in Figure 2a. The connection between the top slab and sidewall for PI specimen is established by rebar anchorage using the reserved rebars in the sidewall, as shown in Figure 2b.
- (c)
- During an earthquake, the top slab of the utility tunnel experiences slight stress, while the bottom slab experiences higher stress [14]. Therefore, haunches are not added to strengthen the top joints of the utility tunnel.
2.2. Construction Process
- (a)
- Reinforcement bars are tied according to Figure 2.
- (b)
- The double-skin composite sidewall and composite top slab are poured in the factory.
- (c)
- The double-skin composite sidewall is positioned and securely fixed. Following that, the composite top slab is lifted onto the top of the double-skin composite sidewall, and temporary bracing is erected concurrently.
- (d)
- The rebars in the CIP part of composite top slab are bent into the CIP section of the double-skin composite sidewall. Following this, formwork is installed, and fresh concrete is poured into these areas.
2.3. Material Properties
3. Experimental Method
4. Response of Specimens
- (a)
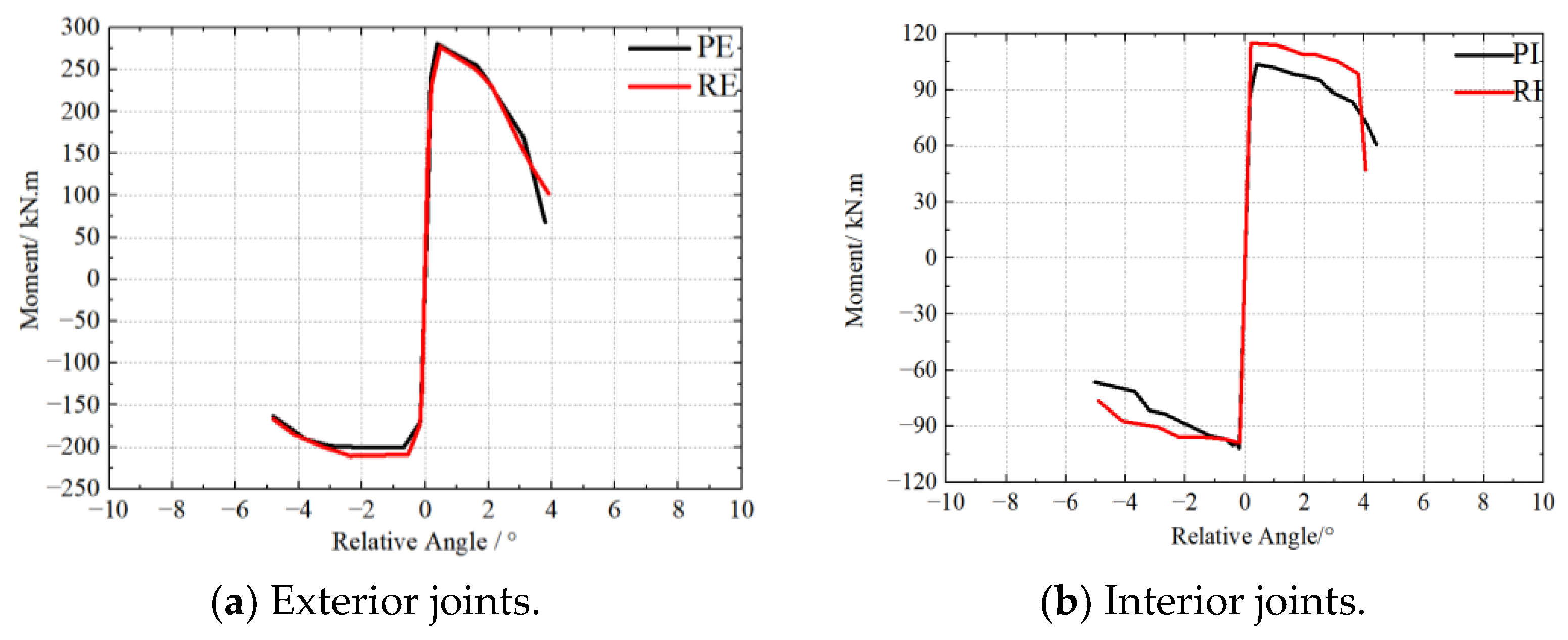
- In the PE specimen, the initial crack was detected at the bottom of the double-skin composite sidewall (at a distance of 400 mm from the bottom of the slab, as shown in Figure 8a of cracking stage) under positive and negative lateral loads of +35 kN and −30 kN, respectively. As the lateral loads increased to +136.15 kN and −113.00 kN, corresponding to drifts of +1.18% and −0.99%, the PE specimen yielded using the equivalent elastoplastic energy method proposed by Park [26]. At this stage, multiple cracks had developed, extending upwards to a distance of 900 mm from the bottom of the slab (Figure 8a of yielding stage). The peak loads were +156.00 kN (+1.56%) and −130.60 kN (−1.95%). Concrete at the left of the sidewall was peeled off, and only one additional crack had appeared. Following the peak loads, the specimens experienced a decrease in load-carrying capacity, resulting in final story drifts of +2.19% and −3.20%. At this stage, a new crack had developed at a distance of 1200 mm from the bottom of the slab. Following the decrease in bearing capacity to 85%, the loading was continued until the specimen’s load-carrying capacity reached 60%. At this point, significant concrete spalling occurred on the outer side of the pivot shaft.
- (b)
- In the RE specimen, the first crack emerged at the bottom of the sidewall (at a distance of 500 mm from the bottom of the slab, as shown in Figure 8b of cracking stage) under a positive lateral load of +40 kN. Conversely, under a negative lateral load of −30 kN, the crack was observed at the connection zone. As loads increased to +140.13 kN (+1.20%) and −106.82 kN (−1.10%), the RE specimen yielded. At this stage, multiple cracks had developed, extending upwards to a distance of 1200 mm from the bottom of the slab (Figure 8b of yielding stage). At peak load, the values recorded were +161.30 kN (+2.00%) and −122.90 kN (−1.92%). Simultaneously, the concrete on the exterior of the sidewall slab showed signs of peeling off, and two additional cracks had appeared at the section of sidewall slab. After the peak loads, the load-carrying capacity of the specimens dropped and the final story drifts were +2.09% and −3.50%. At this stage, a new crack had developed at a distance of 600 mm from the bottom of the slab. Following the decrease in bearing capacity to 85%, the loading was continued until the specimen’s load-carrying capacity reached 60%. At this point, significant concrete spalling occurred on the outer side of the core area.
- (c)
- The crack propagation pattern of both PI and RI specimens was the same. In the PI specimen, the initial crack emerged (Figure 8c) at the base of the sidewall when subjected to lateral loads of +30 kN and −25 kN, while in the RI specimen, cracks were observed (Figure 8(d)) at the bottom of the sidewall under lateral loads of +35 kN and −24 kN. PI and RI were yielded after lateral loads up to +64.38 kN (+0.65%), −49.50 kN (−0.55%) and +63.30 kN (+0.69%), −57.10 kN (−0.51%), respectively. Moreover, a growing number of cracks related to flexural action PI and RI were observed as loading progressed. The peak loads for both PI and RI specimens were reached at +71.70 kN (+1.02%) and +72.90 kN (+1.14%) in the positive direction. In the negative direction, the corresponding peak loads were 49.50 kN (−1.05%) and −57.20 kN (−1.10%). During this phase, concrete peeling occurred at the sidewall, and the longitudinal reinforcement yielded in both PI and RI specimens. Following the peak loads, the load-carrying capacity of the specimens decreased, resulting in final story drifts of +3.89% and −3.30% for PI, and +2.10% and −2.23% for RI.
5. Hysteretic Performance
5.1. Hysteresis Curve
5.2. Skeleton Curve
5.3. Ductility and Deformability
- (a)
- The two-direction displacement ductility values of PE were 2.19, and 2.81, which increased by 13.7%, and 1.8% in comparison to those of RE. The positive ductility of PE was significantly higher than that of RE. This can be attributed to the fact that the additional reinforcement in the precast structure was located within the cast-in-place layer of the composite sidewall, ensuring effective anchorage of the reinforcement throughout. In contrast, the additional reinforcement in the CIP structure may gradually become exposed as the concrete spalls. The average ductility coefficients of PE and RE were 2.50 and 2.33, respectively, with a difference of 7.75%. This indicates that the deformability of PE and RE was similar.
- (b)
- The PI specimen exhibited positive and negative ductility coefficients of 5.67 and 5.21, respectively. These values represent a slight increase of −2.82% and 2.11% when compared to the corresponding values for RI. This indicates that the precast joint’s plastic deformation ability was basically same as the CIP joint under reversed cyclic loading.
- (c)
- Another notable characteristic of the ductility coefficient among the four specimens was that the exterior joints exhibited smaller values compared to the interior joints. This can be attributed to the fact that the interior joint specimen included an additional bottom slab, which contributes to a higher level of deformation.
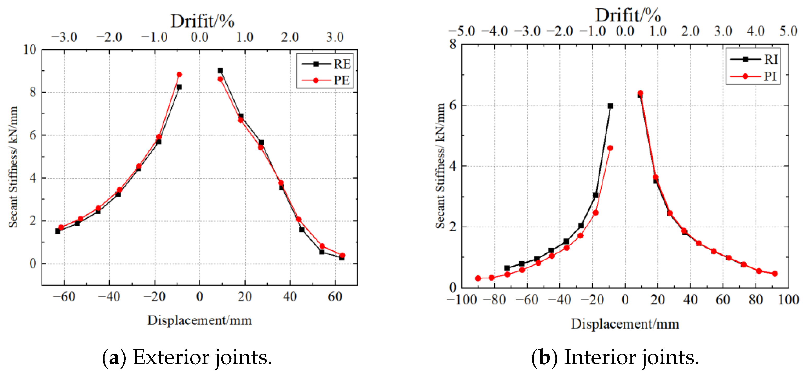
5.4. Stiffness Degradation and Energy Dissipation Capacity
6. Discussion
7. Conclusions
- (1)
- The failure modes observed in all four specimens are characterized by flexural failure, with a plastic hinge forming at the termination point of the sidewall.
- (2)
- The hysteresis curves of precast joints and CIP joints are similar in shape and the number of hysteresis loops. For the exterior joints, both specimens exhibited plump hysteresis curves in the early stage, followed by pinching after peak loading. For the interior joints, both specimens exhibited plump hysteresis curves in the early stage, with slight pinching after peak loading.
- (3)
- The load-carrying capacity of the precast joints was found to be comparable to that of the CIP joints. The average load-carrying capacities of PE and RE were 141.25 kN and 143.5 kN, respectively, exhibiting a difference of less than 1.6%. Similarly, PI and RI demonstrated load-carrying capacities of 60.5 kN and 62.75 kN, respectively, with a difference of less than 3.6%.
- (4)
- The precast joints exhibited greater displacement ductility compared to the CIP joints. For the exterior joints, the average ductility in the positive and negative directions of PE and RE were 2.50 and 2.33, respectively. For the interior joints, the average ductility in the positive and negative directions of PE and RE were 5.44 and 5.47, respectively.
- (5)
- Based on its capability to achieve comparable hysteretic performance and structure integrity to CIP structures, the precast joints, comprising composite concrete top slab and double-skin composite concrete sidewall with reserved rebar, can be designed and analyzed following the principles and models employed for CIP structures.
Author Contributions
Funding
Data Availability Statement
Acknowledgments
Conflicts of Interest
References
- Luo, Y.; Alaghbandrad, A.; Genger, T.K.; Hammond, A. History and recent development of multi-purpose utility tunnels. Tunn. Undergr. Space Technol. 2020, 103, 103511. [Google Scholar] [CrossRef]
- Gagnon, M.; Gaudreault, V.; Overton, D. Age of Public Infrastructure: A Provincial Perspective. Statistics Canada: Ottawa, ON, Canada, 2008; pp. 10–27. [Google Scholar]
- Laistner, A.; Laistner, H. Utility Tunnels–Proven Sustainability Above and Below Ground. In Proceedings of the 17th International Conference on Urban Planning and Regional Development in the Information Society, Multiversum Schwechat, Austria, 14–16 May 2012. [Google Scholar]
- Wang, X.; Chen, S.B. Several considerations on the planning and design of utility tunnel in China. Chin. Undergr. Space Eng. 2006, 4, 523–527. [Google Scholar]
- Ministry of Housing and Urban-Rural Development of the People’s Republic of China, 2021 Statistical Yearbook of Urban and Rural Development. 2022. Available online: https://www.mohurd.gov.cn/gongkai/fdzdgknr/sjfb/tjxx/jstjnj/index.html (accessed on 1 September 2022).
- Ramírez Chasco, F.A.; Meneses, A.S.; Cobo, E.P. Lezkairu Utilities Tunnel. Pract. Period. Struct. Des. Constr. 2011, 16, 73–81. [Google Scholar] [CrossRef]
- Yang, C.; Peng, F.L. Discussion on the development of underground utility tunnels in China. Procedia Eng. 2016, 165, 540–548. [Google Scholar] [CrossRef]
- Chen, S.; Hu, T. Research on the Influence of Haunch on the Hysteretic Performance of Hybrid Multi-purpose Utility Tunnel. In International Symposium of the International Federation for Structural Concrete; Springer Nature Switzerland: Cham, Switzerland, 2023; pp. 1207–1216. [Google Scholar]
- Xue, W.C.; Wang, H.D.X.H. Status and Prospect of Precast Assembly Utility Tunnel Structure System in China. Constr. Technol. 2018, 12. [Google Scholar]
- Heilongjiang Daily. Construction of the second phase of the underground multiutility tunnel starts in Harbin City. People’s Daily Online, 1 December 2017.
- Tomoyoshi, T. Study of performance evaluation around a strong earthquake of important reinfoced concrete structure at a nuclear power plant. In Proceedings of the 7th International Conference on Nuclear Engineering, Tokyo, Japan, 19–23 April 1999. [Google Scholar]
- Nakanura, G.; Kawashima, K.; Watanabe, G. Evaluation on seismic retrofit measures for common utility tunnels based on cyclic loading tests. Proceeding Civ. Eng. Inst. 2006, 62, 489–508. [Google Scholar]
- Wei, K.; Wang, Y.; Wang, Y.; Yuhang, U. Experiment study on seismic performance of joints in prefabricated sandwich structures of utility tunnels. J. Build. Struct. 2019, 40, 246–254. [Google Scholar]
- Yang, Y.; Tian, X.; Liu, Q.; Zhi, J.; Wang, B. Anti-seismic behavior of composite precast utility tunnels based on pseudo-static tests. Earthq. Struct. 2019, 17, 233–244. [Google Scholar]
- Xue, W. Test Report on Structural Performance of Prefabricated Utility Tunnels; Tongji University: Shanghai, China, 2020. [Google Scholar]
- Japan Road Association. Design Guidelines of Common Tunnel; Tokyo Press: Tokyo, Japan, 1991. [Google Scholar]
- ASTM C1577-17; Standard Specification for Precast Reinforced Concrete Box Sections for Culverts, Storm Drains, and Sowers Designed According to AASHTO LRFD. American Society for Testing and Materials: West Conshohocken, PA, USA, 2017.
- ACI 318–19; Building Code Requirements for Structural Concrete and Commentary. American Concrete Institute: Farmington Hills, MI, USA, 2019.
- EN-1992-1-1; Eurocode 2, Design of Concrete Structures—Part 1-1: General Rules and Rules for Buildings. CEN European Committee for Standardization: Brussels, Belgium, 2004.
- GB 50011-2010; Code for Seismic Design of Buildings. China Building Industry Press: Beijing, China, 2010.
- GB 50838-2015; Technical Code for Urban Utility Tunnel Engineering. China Building Industry Press: Beijing, China, 2015.
- Du, X.; Shen, G.Q. The seismic behaviour of precast concrete interior joints with different connection methods in assembled monolithic subway station. Eng. Struct. 2021, 232, 111799. [Google Scholar]
- Zhao, G.; Zhu, L.; Wu, S.; Liu, W.; Duan, S. Experimental and numerical investigation on the cross-sectional mechanical behavior of prefabricated multi-cabin RC utility tunnel. Structures 2022, 42, 466–479. [Google Scholar] [CrossRef]
- Wang, J.N. Seismic Design of Tunnels: A Simple State-of-Art Design Approach; Parsons Brinckerhoff Quade & Douglas Inc.: New York, NY, USA, 1993. [Google Scholar]
- Liu, X.; Bai, Y.; Yuan, Y.; Mang, H.A. Experimental investigation of the ultimate bearing capacity of continuously jointed segmental tunnel linings. Struct. Infrastruct. Eng. 2016, 12, 1364–1379. [Google Scholar] [CrossRef]
- Park, R. Evaluation of ductility of structures and structural assemblages from laboratory testing. Bull. N. Zeal. Soc. Earthq. Eng. 1989, 22, 55–166. [Google Scholar] [CrossRef]
- Xue, W.; Hu, X.; Ren, D.; Hu, X. Seismic behavior of precast 100 MPa grade HSC frames under reversed cyclic loading. Eng. Struct. 2021, 243, 112662. [Google Scholar] [CrossRef]
- Cao, X.Y.; Feng, D.C.; Wang, C.L.; Shen, D.; Wu, G. A stochastic CSM-based displacement-oriented design strategy for the novel precast SRC-UHPC composite braced-frame in the externally attached seismic retrofitting. Compos. Struct. 2023, 321, 117308. [Google Scholar] [CrossRef]
- Hawkins, N.M.; Ghosh, S.K. Acceptance criteria for special precast concrete structural walls based on validation testing. PCI J. 2004, 49, 78–92. [Google Scholar] [CrossRef]
- GB 50010-2010; Code for Design of Concrete Structures. China Building Industry Press: Beijing, China, 2010.
















| Specimen Type | fcu/MPa | fc/MPa | Ec/×104 MPa | |
|---|---|---|---|---|
| RE | CIP | 63.25 | 48.07 | 3.56 |
| PE | Outside double-skin sidewall | 57.13 | 43.42 | 3.62 |
| Inside double-skin sidewall | 49.30 | 37.47 | 3.41 | |
| Precast composite top slab | 63.25 | 48.07 | 3.56 | |
| CIP part | 63.29 | 48.10 | 3.47 | |
| RI | CIP | 63.25 | 48.07 | 3.56 |
| RI | Outside double-skin sidewall | 57.13 | 43.42 | 3.62 |
| Inside double-skin sidewall | 49.30 | 37.47 | 3.41 | |
| Precast composite top slab | 63.25 | 48.07 | 3.56 | |
| CIP part | 63.29 | 48.10 | 3.47 | |
| Diameter (mm) | fy (N/mm2) | fu (N/mm2) | Es/×105 MPa | Elongation (%) |
|---|---|---|---|---|
| 22 | 487.1 | 627.1 | 2.02 | 23.34% |
| 18 | 494.1 | 623.1 | 1.98 | 21.77% |
| 16 | 512.2 | 642.4 | 2.02 | 18.89% |
| 14 | 529.2 | 662.8 | 1.96 | 18.30% |
| 10 | 531.1 | 735.6 | 2.17 | 15.91% |
| 8 | 537.3 | 764.0 | 2.14 | 17.39% |
| 6.5 | 464.7 | 645.0 | 2.05 | 9.86% |
| Specimen | Pc/kN | Py/kN | Pmax/kN | Pu/kN | |
|---|---|---|---|---|---|
| PE | Pos | 35.00 | 146.49 | 165.00 | 140.25 |
| Neg | −35.00 | −106.90 | −118.00 | −100.3 | |
| RE | Pos | 40.00 | 145.20 | 163.00 | 138.72 |
| Neg | −35.00 | −105.60 | −124.00 | −105.4 | |
| PI | Pos | 30.00 | 53.23 | 61.00 | 60.95 |
| Neg | −15.00 | −52.92 | −60.00 | −42.08 | |
| RI | Pos | 35.00 | 61.23 | 67.50 | 57.38 |
| Neg | −20.00 | −57.10 | −58.00 | −49.3 | |
| Specimen | Δy/mm | Δmax/mm | Δu/mm | μ = Δu/Δy | ||
|---|---|---|---|---|---|---|
| Pos/Neg | Ave | |||||
| PE | Pos | 20.58 | 26.70 | 39.59 | 2.19 | 2.50 |
| Neg | −21.68 | −35.22 | −60.7 | 2.81 | ||
| RE | Pos | 21.07 | 27.50 | 38.08 | 1.89 | 2.33 |
| Neg | −19.94 | 27.51 | 55.03 | 2.76 | ||
| RI | Pos | 10.05 | 19.88 | 56.98 | 5.67 | 5.44 |
| Neg | −10.18 | −18.26 | −53.04 | 5.21 | ||
| PI | Pos | 10.81 | 18.38 | 63.02 | 5.83 | 5.47 |
| Neg | −11.73 | −19.97 | −59.82 | 5.10 | ||
| Category | RE | PE | RI | PI | Acceptance Criteria | |
|---|---|---|---|---|---|---|
| Pmax/Ent | Pos. | 1.11 | 1.05 | 1.01 | 0.98 | 0.90~1.20 |
| Neg. | 1.17 | 1.09 | 1.01 | 0.95 | ||
| Relative Energy dissipation ratio λ | 0.25 | 0.27 | 0.37 | 0.38 | ≥0.125 | |
| Kf/Kinitial | Pos. | 0.25 | 0.24 | 0.34 | 0.35 | ≥0.1 |
| Neg. | 0.21 | 0.31 | 0.37 | 0.35 | ||
| Specimen | Experimental Value (kN) | Calculated Values (Design Strength of Materials) | Calculated Values (Actual Material Strength) | |||
|---|---|---|---|---|---|---|
| Value (kN) | Ratio | Value (kN) | Ratio | |||
| PE | Pos | 165.00 | 126.3 | 1.30 | 176.5 | 0.94 |
| Neg | −118.00 | −114.6 | 1.03 | −60.7 | 0.91 | |
| RE | Pos | 163.00 | 126.3 | 1.29 | 164.2 | 0.99 |
| Neg | −124.00 | −114.6 | 1.08 | 150.2 | 1.28 | |
| RI | Pos | 61.00 | 56.1 | 1.09 | 63.8 | 0.96 |
| Neg | −60.00 | −56.1 | 1.07 | −63.8 | 0.94 | |
| PI | Pos | 67.50 | 45.4 | 1.49 | 74.1 | 0.91 |
| Neg | −58.00 | 45.4 | 1.28 | −74.1 | 0.78 | |
Disclaimer/Publisher’s Note: The statements, opinions and data contained in all publications are solely those of the individual author(s) and contributor(s) and not of MDPI and/or the editor(s). MDPI and/or the editor(s) disclaim responsibility for any injury to people or property resulting from any ideas, methods, instructions or products referred to in the content. |
© 2023 by the authors. Licensee MDPI, Basel, Switzerland. This article is an open access article distributed under the terms and conditions of the Creative Commons Attribution (CC BY) license (https://creativecommons.org/licenses/by/4.0/).
Share and Cite
Xue, W.; Chen, S.; Bai, H. Pseudo-Static Tests on Top Joints of Hybrid Precast Utility Tunnel. Buildings 2023, 13, 2567. https://doi.org/10.3390/buildings13102567
Xue W, Chen S, Bai H. Pseudo-Static Tests on Top Joints of Hybrid Precast Utility Tunnel. Buildings. 2023; 13(10):2567. https://doi.org/10.3390/buildings13102567
Chicago/Turabian StyleXue, Weichen, Shengyang Chen, and Haoyang Bai. 2023. "Pseudo-Static Tests on Top Joints of Hybrid Precast Utility Tunnel" Buildings 13, no. 10: 2567. https://doi.org/10.3390/buildings13102567
APA StyleXue, W., Chen, S., & Bai, H. (2023). Pseudo-Static Tests on Top Joints of Hybrid Precast Utility Tunnel. Buildings, 13(10), 2567. https://doi.org/10.3390/buildings13102567

