Study of the Seismic Behavior of Simplified RCS Joints via Nonlinear Finite Element Analysis
Abstract
1. Introduction
2. Experimental Setup
3. Numerical Modeling
3.1. Model Setup
3.2. Model Validation
3.2.1. Hysteresis Curves
3.2.2. Skeleton Curves and Capacity
3.2.3. Crack Patterns
3.3. Steel Stress Development in RCS Joints
4. Parametric Studies
4.1. Effect of Axial Load Ratio
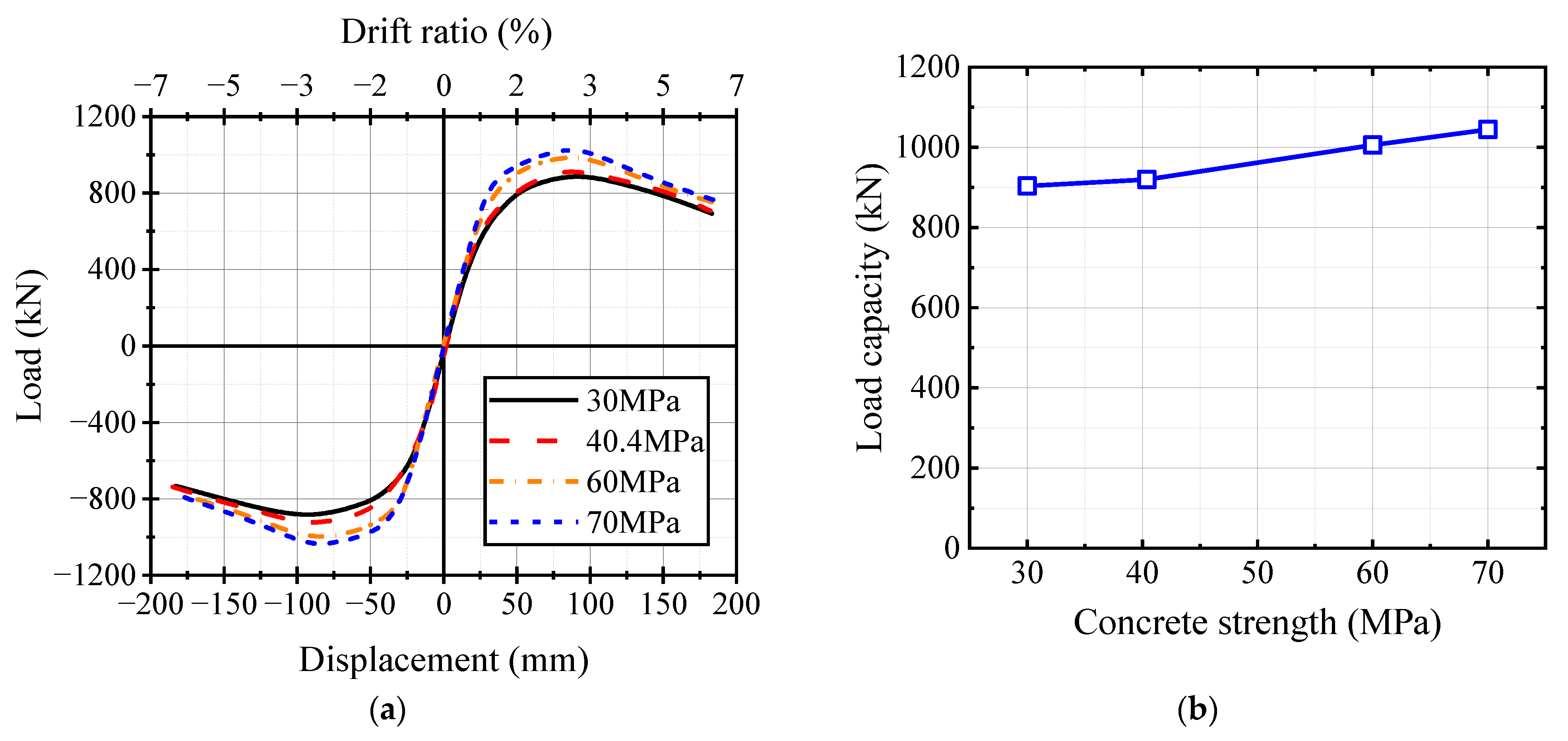
4.2. Effect of Concrete Strength
4.3. Effect of Steel Flange Strength
4.4. Effect of Steel Web Strength
4.5. Effect of Transverse Reinforcement Diameter
4.6. Effect of Longitudinal Reinforcement Diameter
5. Theoretical Capacity Estimation
6. Conclusions
- (1)
 - The comparison between finite element analysis and experimental results indicated that the finite element model could accurately reproduce the hysteresis characteristics and cracking modes of simplified RCS joints under earthquake conditions. The experimental and numerical results were used as the basis for a theoretical analysis, providing a theoretical basis for the subsequent seismic design of simplified RCS joints.
 - (2)
 - An increase in the axial compression ratio enhanced the vertical constraint effect, suppressed tensile crack development, and improved the bearing capacity of concrete columns. At the same time, the deformation capacity was constrained, resulting in a significant decrease in ductility and energy consumption. When the axial compression ratio was 30%, the overall seismic performance of the specimen was good. However, when the axial compression ratio exceeded 30%, the increase in bearing capacity was limited, while the ductility and energy consumption were significantly reduced, which had a negative impact on seismic performance. High-strength concrete utilization can improve the load capacity and energy dissipation in RCS joints and reduce concrete damage, although the ductility will be adversely affected.
 - (3)
 - The use of high-strength concrete could significantly improve the bearing capacity and energy consumption of simplified RCS joints and reduce concrete damage. The bearing capacity and energy consumption increased by 15.6% and 16.39%, respectively.
 - (4)
 - Increases in web and flange steel strengths could strengthen the energy dissipation and load capacity under cyclic loads, but they reduced the ductility and aggravated concrete damage. When the yield strength exceeded 420 MPa, the concrete damage reached its limit, and crack propagation was no longer significant. The load capacity, energy dissipation, and concrete damage pattern could be effectively improved by increasing the diameters of either the longitudinal or transverse reinforcements. Utilizing a stirrup with a larger diameter is a good way to increase joint ductility.
 - (5)
 - By increasing longitudinal or transverse steel bar diameters, the steel bar restraining effect on concrete was enhanced, effectively improving the bearing capacity, energy dissipation, and concrete damage mode. Using a larger diameter stirrup was a good method to improve the joint’s ductility. However, from the perspective of strain development, the deformation capacity of larger steel bars was constrained and the strain increase was slower, resulting in a decrease in the ductility of the specimen.
 - (6)
 - In a comparison of various bearing capacity calculation methods, it was found that the calculation methods provided by ASCE, Kanno, and M-Kanno were relatively conservative due to the lack of consideration of the influence of transverse beams. The formula provided by CECS takes into account the additional strengthening effect of the web, and its calculated value was much greater than the simulated value. Through a comparative analysis, the modified calculation method proposed by Kanno showed a relative bearing capacity error of less than 5%, demonstrating it could better predict the bearing capacity of simplified RCS joints.
 
Author Contributions
Funding
Informed Consent Statement
Data Availability Statement
Conflicts of Interest
References
- Benavent-Climent, A.; Cahís, X.; Zahran, R. Exterior wide beam–column connections in existing RC frames subjected to lateral earthquake loads. Eng. Struct. 2009, 31, 1414–1424. [Google Scholar] [CrossRef]
 - Masi, A.; Santarsiero, G.; Nigro, D. Cyclic tests on external RC beam-column joints: Role of seismic design level and axial load value on the ultimate capacity. J. Earthq. Eng. 2013, 17, 110–136. [Google Scholar] [CrossRef]
 - Zhao, Z.Z.; Qian, J.R.; Yang, X.B.; Zhu, W.Y. Experimental Study on Behavior of Reinforced Concrete Column-steel Beam Subassemblies. Build. Struct. 2006, 8, 69–73. [Google Scholar]
 - Guo, Z.X.; Zhu, Q.Y.; Liu, Y.; Huang, Q.X. Experimental study on seismic behavior of a new type of prefabricated RC column-steel beam frame connections. J. Build. Struct. 2012, 33, 69–73. [Google Scholar]
 - Li, Z.H.; Peng, Z.H.; Qi, Y.H.; Teng, J.; Ou, J.P. Full-scale experimental study on seismic behaviors of plasticity controllable steel joint of prefabricated RC beam column. J. Build. Struct. 2019, 40, 43–50. [Google Scholar]
 - Guo, Z.P.; Zhou, C.; Li, L.M. Research on Seismic Behavior of Composite Joint of Prefabricated Reinforced Concrete Column-steel Beam. Constr. Technol. 2020, 49, 19–22+51. [Google Scholar]
 - Ghods, S.; Kheyroddin, A.; Nazeryan, M.; Mirtaheri, M.; Gholhaki, M. Nonlinear behavior of connections in RCS frames with bracing and steel plate shear wall. Steel Compos. Struct. 2016, 22, 915–935. [Google Scholar] [CrossRef]
 - Eghbali, N.B.; Mirghaderi, S.R. Experimental investigation of steel beam to RC column connection via a through-plate. J. Constr. Steel Res. 2017, 133, 125–140. [Google Scholar] [CrossRef]
 - Azar, B.F.; Ghaffarzadeh, H.; Talebian, N. Seismic performance of composite RCS special moment frames. KSCE J. Civ. Eng. 2013, 17, 450–457. [Google Scholar] [CrossRef]
 - Karande, P.; Shiyekar, M.; Ghugal, Y. Study of the behaviour of RC and RCS frame. Int. J. Eng. Sci. Res. Technol. 2020, 9, 2277–9655. [Google Scholar]
 - Nabati, M.; Zirakian, T.; Shahmohammadi, A.; Hajsadeghi, M. Structural Performance Assessment of Through-Column-Type Beam-to-Column Joints. Am. J. Civ. Eng. Archit. 2018, 6, 158–167. [Google Scholar] [CrossRef][Green Version]
 - Le, D.D.; Nguyen, X.H.; Nguyen, Q.H. Cyclic Testing of a Composite Joint between a Reinforced Concrete Column and a Steel Beam. Appl. Sci. 2020, 10, 2385. [Google Scholar]
 - Herdiansah, Y.; Budiono, B.; Soemari, H.D.; Sidi, I.D. Behavior of RCS Connections with Void Web Under Cyclic Load Reversals. J. Eng. Sci. Technol. 2020, 52, 837–854. [Google Scholar] [CrossRef]
 - Doost, R.B.; Khaloo, A. Steel web panel influence on seismic behavior of proposed precast RCS connections. Structures 2021, 32, 87–95. [Google Scholar] [CrossRef]
 - Chen, H.; Guo, Z.X.; Basha, S.H.; Liu, Y. Seismic behavior of RCS frame joints applied with high-strength bolts-end plate connection. J. Build. Eng. 2023, 63, 105455. [Google Scholar] [CrossRef]
 - Cheng, C.T.; Chen, C.C. Seismic behavior of steel beam and reinforced concrete column connections. J. Constr. Steel Res. 2015, 61, 587–606. [Google Scholar] [CrossRef]
 - Nguyen, X.H.; Le, D.D.; Nguyen, Q.H.; Nguyen, H.Q. Seismic performance of RCS beam-column joints using fiber reinforced concrete. Earthq. Struct. 2020, 18, 599–607. [Google Scholar]
 - Li, W.; Li, Q.N.; Jiang, W.S. Parameter study on composite frames consisting of steel beams and reinforced concrete columns. J. Constr. Steel Res. 2012, 77, 145–162. [Google Scholar] [CrossRef]
 - Naserifard, M.; Vetr, M.G. Parametric study on behavior of steel beam to reinforced concrete column connections in moment frames. Int. J. Steel Struct. 2019, 19, 1511–1520. [Google Scholar] [CrossRef]
 - Ling, Y.H.; Xu, J.H.; Guo, Z.H.; Wen, X.G. A study on Static behavior of New Reinforced concrete column-steel beam Composite Joints. J. Asian Archit. Build. Eng. 2021, 20, 44–60. [Google Scholar] [CrossRef]
 - Alizadeh, S.; Attari, N.K.A.; Kazemi, M.T. The seismic performance of new detailing for RCS connections. J. Constr. Steel Res. 2013, 91, 76–88. [Google Scholar] [CrossRef]
 - Jafari, R.; Attari, N.K.A.; Nikkhoo, A.; Alozadeh, S. Simplified method for modeling reinforced concrete column-steel beam connections with tube plate. Adv. Struct. Eng. 2020, 23, 2292–2304. [Google Scholar] [CrossRef]
 - Li, W.; Ye, H.; Liu, H.J.; Chen, B.X. Development and experimenting of demountable RC column-to-steel beam connections under cyclic loading. Soil Dyn. Earthq. Eng. 2022, 159, 107342. [Google Scholar] [CrossRef]
 - Li, W.; Ye, H.; Wang, Q.; Liu, H.J.; Ding, T.; Liu, B. Experimental study on the seismic performance of demountable RCS joints. J. Build. Eng. 2022, 49, 104082. [Google Scholar] [CrossRef]
 - Lee, H.J.; Park, H.G.; Hwang, H.J.; Kim, C.S. Cyclic Lateral Load Test for RC Column-Steel Beam Joints with Simplified Connection Details. J. Struct. Eng. 2019, 145, 04019075.1–04019075.12. [Google Scholar] [CrossRef]
 - AISC. Seismic Provisions for Structural Steel Buildings; ANSI/AISC 341; AISC: Chicago, IL, USA, 2010. [Google Scholar]
 - GB 50010-2010; Ministry of Construction of the People’s Republic of China. Code for Design of Concrete Structures. China Architecture Publishing: Beijing, China, 2010.
 - Liu, W. Research on the Working Mechanism of Concrete Filled Steel Tube under Local Compression. Doctoral Dissertation, Fuzhou University, Fuzhou, China, 2005. [Google Scholar]
 - Khaloo, A.; Doost, R.B. Seismic performance of precast RC column to steel beam connections with variable joint configurations. Eng. Struct. 2018, 160, 408–418. [Google Scholar] [CrossRef]
 - Pauletta, M.; Di Marco, C.; Frappa, G.; Somma, G.; Pitacco, I.; Miani, M.; Das, S.; Russo, G. Semi-empirical model for shear strength of RC interior beam-column joints subjected to cyclic loads. Eng. Struct. 2020, 224, 111223. [Google Scholar] [CrossRef]
 - ASCE Task Committee on Design Criteria for Composite Structures in Steel and Concrete. Guidelines for design of joints between steel beams and reinforced concrete columns. J. Struct. Eng. 1994, 120, 2330–2357. [Google Scholar] [CrossRef]
 - China Association for Engineering Construction. Technical Specification for Frame Structure of Confined RC Columns and Composite Beams; CECS 347: 2013; China Architecture and Building Press: Beijing, China, 2013. [Google Scholar]
 - Architectural Institute of Japan. Stress Transferring Mechanism and Resistance Mechanism of Steel-Reinforced; Architectural Institute of Japan: Tokyo, Japan, 2011. [Google Scholar]
 - Kanno, R. Strength, Deformation, and Seismic Resistance of Joints between Steel Beams and Reinforced Concrete Columns. Ph.D. Thesis, Cornell University, Ithaca, NY, USA, 1993. Volumes I and II. [Google Scholar]
 - Kanno, R. Evaluation of existing strength models for RCS joints and consideration toward improved modeling: A study on strength evaluation of RCS joints part 1. J. Struct. Constr. Eng. 2002, 553, 135–142. [Google Scholar] [CrossRef]
 - Nishiyama, I.; Kuramoto, H.; Noguchi, H. Guidelines: Seismic design of composite reinforced concrete and steel buildings. J. Struct. Eng. 2004, 130, 336–342. [Google Scholar] [CrossRef]
 



































| Purpose | Types | Strength Grade | Yield Strength (MPa)  | Tensile Strength (MPa)  | Elongation (%)  | 
|---|---|---|---|---|---|
| FBP | Thickness of 6 mm | SM490 | 443 | 586 | 30.6 | 
| Thickness of 16 mm | SM490 | 369 | 545 | 33.9 | |
| Beam | Web | SM490 | 386 | 553 | 34.4 | 
| Flange | SM490 | 336 | 548 | 20.0 | |
| Steel bar | Longitudinal | SD500 | 539 | 697 | - | 
| Stirrup | SD400 | 507 | 635 | - | 
| Capacity | Specimen | |||
|---|---|---|---|---|
| TF6 | TF16 | SF6 | F16 | |
| Experimental value (kN) | 923.00 | 951.72 | 868.18 | 804.17 | 
| Numerical value (kN) | 919.97 | 979.31 | 844.93 | 816.67 | 
| Relative error (%) | 0.33 | 2.90 | −2.68 | 1.55 | 
| Parameters | Specimen No. | Concrete Strength (MPa) | Axial Load Ratio (%)  | Yield Strength (MPa) | Reinforcement Diameter (mm) | ||
|---|---|---|---|---|---|---|---|
| Flange | Web | Transverse | Longitudinal | ||||
| Benchmark | RCS0 | 40.4 | 0 | 336 | 386 | 13 | 29 | 
| Axial load ratio | RCS1 | 40.4 | 10 | 336 | 386 | 13 | 29 | 
| RCS2 | 40.4 | 20 | 336 | 386 | 13 | 29 | |
| RCS3 | 40.4 | 30 | 336 | 386 | 13 | 29 | |
| RCS4 | 40.4 | 40 | 336 | 386 | 13 | 29 | |
| RCS5 | 40.4 | 50 | 336 | 386 | 13 | 29 | |
| Concrete strength | RCS6 | 30 | 0 | 336 | 386 | 13 | 29 | 
| RCS7 | 60 | 0 | 336 | 386 | 13 | 29 | |
| RCS8 | 70 | 0 | 336 | 386 | 13 | 29 | |
| Steel flange strength | RCS9 | 40.4 | 0 | 235 | 386 | 13 | 29 | 
| RCS10 | 40.4 | 0 | 420 | 386 | 13 | 29 | |
| RCS11 | 40.4 | 0 | 460 | 386 | 13 | 29 | |
| Steel web strength | RCS12 | 40.4 | 0 | 336 | 235 | 13 | 29 | 
| RCS13 | 40.4 | 0 | 336 | 420 | 13 | 29 | |
| RCS14 | 40.4 | 0 | 336 | 460 | 13 | 29 | |
| Transverse reinforcement diameter | RCS15 | 40.4 | 0 | 336 | 386 | 4 | 29 | 
| RCS16 | 40.4 | 0 | 336 | 386 | 8 | 29 | |
| RCS17 | 40.4 | 0 | 336 | 386 | 18 | 29 | |
| Longitudinal reinforcement diameter | RCS18 | 40.4 | 0 | 336 | 386 | 13 | 12 | 
| RCS19 | 40.4 | 0 | 336 | 386 | 13 | 16 | |
| RCS20 | 40.4 | 0 | 336 | 386 | 13 | 20 | |
| No. | Capacity Evaluation Method | Equation | 
|---|---|---|
| 1 | USA Code: ASCE [31] | where  | 
| 2 | Chinese Code: CECS [32] | |
| 3 | Japanese Code: AIJ [33] | |
| 4 | Kanno [34] | where  | 
| 5 | Modified-Kanno (M-Kanno) [35]  | where  | 
| 6 | Nishiyama et al. [36] | where  | 
| Symbols: | ||
| : horizontal shear force in the steel panel | : shear strength of transverse reinforcement | |
| : internal concrete shear strength | : external shear strength | |
| : flange shear strength | : external concrete shear strength | |
| : vertical calculation length of beam | : horizontal calculation length of the column | |
| : height of the web | : distance between beam flange centerlines | |
| : effective connection height | : depth of the steel beam | |
| : thickness of beam flanges | : thickness of the beam web | |
| : effective width of the outer concrete panel | : width of the FBP | |
| : width of the flange | : width of the inner concrete panel | |
| : yield strength of the beam web | : yield strength of the beam flange | |
| : yield strength of column ties | : transverse reinforcement ratio | |
| : shape factor of beam-column joints | : effective width of the beam web | |
| : characteristic compressive strength of concrete | : full plastic moment of the steel beam | |
| : design value of concrete compressive strength | : center-to-center spacing of stirrup | |
| : cross-sectional area of the reinforcement parallel to the beam | ||
| : additional effective joint depth provided by attachments to beam flanges | ||
| : maximum distance between tensile and compressive steel bars | ||
| : influence coefficient of joint position (1.0 for the middle joint) | ||
| : joint effective coefficient (0.9 for the case without cover plates) | ||
| : joint construction factor (0.9 for the case with an FBP) | ||
| joint construction factor (1.0 for the case with an FBP) | ||
| joint construction factor (1.0 for the case with a transverse beam) | ||
| : joint enhancement coefficient (1.0 for the base case) | ||
| : joint enhancement coefficient (1.0 for the case with the transverse beam going through the column) | ||
| b: width of concrete column measured perpendicular to the beam | ||
| : depth of concrete column measured parallel to the beam | ||
| : seismic capacity adjustment coefficient, 0.85 | ||
| Schematical diagram: | ||
![]()  | ![]()  | |
Disclaimer/Publisher’s Note: The statements, opinions and data contained in all publications are solely those of the individual author(s) and contributor(s) and not of MDPI and/or the editor(s). MDPI and/or the editor(s) disclaim responsibility for any injury to people or property resulting from any ideas, methods, instructions or products referred to in the content.  | 
© 2023 by the authors. Licensee MDPI, Basel, Switzerland. This article is an open access article distributed under the terms and conditions of the Creative Commons Attribution (CC BY) license (https://creativecommons.org/licenses/by/4.0/).
Share and Cite
Li, W.; Wang, Z.; Lin, X.; Chen, L.; Chen, B. Study of the Seismic Behavior of Simplified RCS Joints via Nonlinear Finite Element Analysis. Buildings 2023, 13, 2718. https://doi.org/10.3390/buildings13112718
Li W, Wang Z, Lin X, Chen L, Chen B. Study of the Seismic Behavior of Simplified RCS Joints via Nonlinear Finite Element Analysis. Buildings. 2023; 13(11):2718. https://doi.org/10.3390/buildings13112718
Chicago/Turabian StyleLi, Wei, Zhexiong Wang, Xuchuan Lin, Lianmeng Chen, and Baixi Chen. 2023. "Study of the Seismic Behavior of Simplified RCS Joints via Nonlinear Finite Element Analysis" Buildings 13, no. 11: 2718. https://doi.org/10.3390/buildings13112718
APA StyleLi, W., Wang, Z., Lin, X., Chen, L., & Chen, B. (2023). Study of the Seismic Behavior of Simplified RCS Joints via Nonlinear Finite Element Analysis. Buildings, 13(11), 2718. https://doi.org/10.3390/buildings13112718
        

       
