Properties and Mechanical Strength Analysis of Concrete Using Fly Ash, Ground Granulated Blast Furnace Slag and Various Superplasticizers
Abstract
1. Introduction
2. Methods
2.1. High Volume Fly Ash and Ground Granulated Blast-Furnace Slag Concrete Material Preparation
2.1.1. Cementitious Materials
2.1.2. Natural Aggregate
2.2. Mixing Proportionss and Specimen Preparation
2.3. Methods
3. Results and Discussion
3.1. HVFGC Workability
3.2. HVFGC Mechanical Behavior to Compressive Strength
3.3. HVFGC Mechanical Behavior to Flexural Strength
3.4. Nondestructive Experiments and Mechanical Behavior
3.5. Comprehensive Assessment of the Microscopic Analyses
4. Conclusions
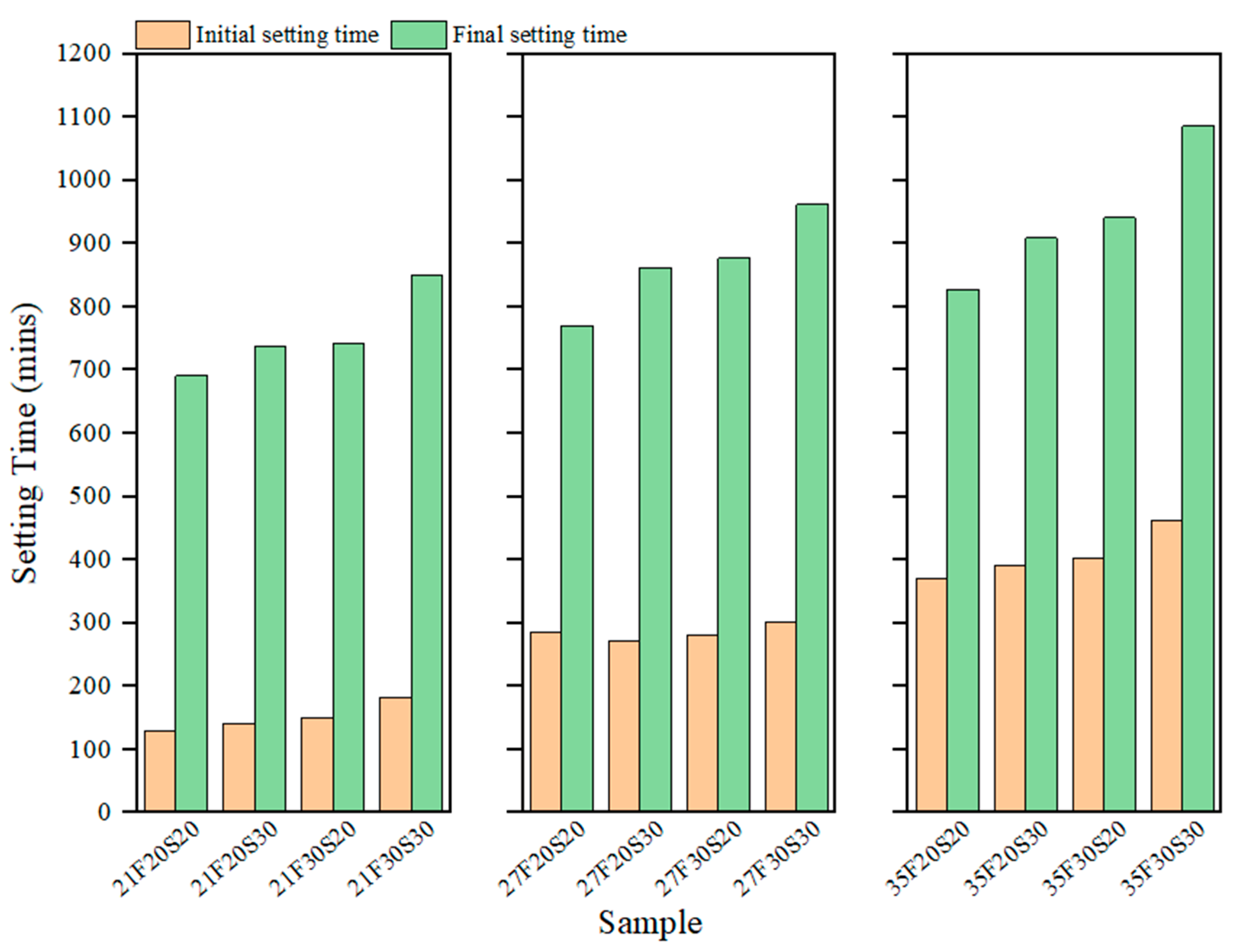
- As a result of setting time, the I/F value W/B = 0.21, the ratio of PCE to MLS is the same as 4.4~5, and the ratio of W/B = 0.27 and 0.35 is the same as the ratio of PCE to SNF, which is 3.3~3.6.
- The optimal ratio was achieved by using PCE, a W/B ratio of 0.21, and FA and GGBFS replacement ratios of 20% and 20%, respectively.
- For the compressive strength of SP types, PCE and SNF can affect the strength development of concrete in 1–7 days, and the strength development after 7 days is more obvious to MLS.
- In the ultrasonic velocity and compressive strength prediction model, the correlation coefficient R value is >0.9, which is highly reliable, among which the R value of MLS is 0.97 is the best, and its mean squared error is 2.21.
Author Contributions
Funding
Institutional Review Board Statement
Informed Consent Statement
Data Availability Statement
Conflicts of Interest
References
- Swaroop, A.H.L.; Venkateswararao, K.; Kodandaramarao, P. Durability studies on concrete with fly ash & Ggbs. Int. J. Eng. Res. Appl. 2013, 3, 285–289. [Google Scholar]
- Gaur, E.A.S.; Kumar, E.S.; Verma, E.K.P. To Experimental work on concrete properties utilization of marble slurry and ground granulated blast furnace slag by partial replacement of fine aggregate and cement OPC (43-grade). Int. Res. J. Eng. Technol. 2017, 3, 1196–1201. [Google Scholar]
- Anant, K.; Krishna, D. Experimental investigation of concrete with cementitious waste material such as GGBS & fly ash over conventional concrete. Mater. Today Proc. 2023, 74, 953–961. [Google Scholar] [CrossRef]
- Magudeaswaran, P.; Vivek Kumar, C.; Vamsi Krishna, K.; Nagasaibaba, A.; Ravinder, R. Investigational studies on the impact of Supplementary Cementitious Materials (SCM) for identifying the strength and durability characteristics in self curing concrete. Mater. Today Proc. 2023, 21, 400. [Google Scholar] [CrossRef]
- Zhang, M.H. Microstructure, crack propagation, and mechanical properties of cement pastes containing high volumes of fly ashes. Cem. Concr. Res. 1995, 25, 165–1178. [Google Scholar] [CrossRef]
- De la Varga, I.; Spragg, R.P.; Di Bella, C.; Castro, J.; Bentz, D.P.; Weiss, J. Fluid transport in high volume fly ash mixtures with and without internal curing. Cem. Concr. Compos. 2014, 45, 102–110. [Google Scholar] [CrossRef]
- Yao, Z.T.; Ji, X.S.; Sarker, P.K.; Tang, J.H.; Ge, L.Q.; Xia, M.S.; Xi, Y.Q. A comprehensive review on the applications of coal fly ash. Earth-Sci. Rev. 2015, 141, 105–121. [Google Scholar] [CrossRef]
- Celik, K.; Meral, C.; Mancio, M.; Mehta, P.K.; Monteiro, P.J.M. A comparative study of self-consolidating concretes incorporating high-volume natural pozzolan or high-volume fly ash. Constr. Build. Mater. 2014, 67, 14–19. [Google Scholar] [CrossRef]
- Malhotra, V.M. High-Performance High-Volume Fly Ash Concrete. Concr. Int. 2002, 24, 30–34. [Google Scholar]
- Mehta, P.K. High-performance, high-volume fly ash concrete for sustainable development. In Proceedings of the International Workshop on Sustainable Development and Concrete Technology, Ames, IA, USA, 14 May 2004; pp. 3–14. [Google Scholar]
- Şahmaran, M.; Yaman, İ.Ö.; Tokyay, M. Transport and mechanical properties of self consolidating concrete with high volume fly ash. Cem. Concr. Compos. 2009, 31, 99–106. [Google Scholar] [CrossRef]
- Dinakar, P.; Babu, K.G.; Santhanam, M. Durability properties of high volume fly ash self compacting concretes. Cem. Concr. Compos. 2008, 30, 880–886. [Google Scholar] [CrossRef]
- Bouzoubaâ, N.; Bilodeau, A.; Tamtsia, B.; Foo, S. Carbonation of fly ash concrete: Laboratory and field data. Can. J. Civ. Eng. 2010, 37, 1535–1549. [Google Scholar] [CrossRef]
- Mardani-Aghabaglou, A.; Ramyar, K. Mechanical properties of high-volume fly ash roller compacted concrete designed by maximum density method. Constr. Build. Mater. 2013, 38, 356–364. [Google Scholar] [CrossRef]
- Chen, H.J.; Shih, N.H.; Wu, C.H.; Lin, S.K. Effects of the Loss on Ignition of Fly Ash on the Properties of High-Volume Fly Ash Concrete. Sustainability 2019, 11, 2704. [Google Scholar] [CrossRef]
- Müllauer, W.; Beddoe, R.E.; Heinz, D. Leaching behaviour of major and trace elements from concrete: Effect of fly ash and GGBS. Cem. Concr. Compos. 2015, 58, 129–139. [Google Scholar] [CrossRef]
- Wang, L.; Huang, Y.J.; Zhao, F.; Huo, T.T.; Chen, E.; Tang, S.W. Comparison between the influence of finely ground phosphorous slag and fly ash on frost resistance, pore structures and fractal features of hydraulic concrete. Fractal Fract. 2022, 6, 598. [Google Scholar] [CrossRef]
- Wang, L.; Zhou, S.H.; Shi, Y.; Huang, Y.J.; Zhao, F.; Huo, T.T.; Tang, S.W. The influence of fly ash dosages on the permeability, pore structure and fractal features of face slab concrete. Fractal Fract. 2022, 6, 476. [Google Scholar] [CrossRef]
- Crossin, E. The greenhouse gas implications of using ground granulated blast furnace slag as a cement substitute. J. Clean. Prod. 2015, 95, 101–108. [Google Scholar] [CrossRef]
- Suda, V.B.R.; Srinivasa Rao, P. Experimental investigation on optimum usage of Micro silica and GGBS for the strength characteristics of concrete. Mater. Proc. 2020, 27, 805–811. [Google Scholar] [CrossRef]
- Boubekeur, T.; Boulekbache, B.; Aoudjane, K.; Ezziane, K.; Kadri, E.H. Prediction of the durability performance of ternary cement containing limestone powder and ground granulated blast furnace slag. Constr. Build. Mater. 2019, 209, 215–221. [Google Scholar] [CrossRef]
- Jeong, Y.; Park, H.; Jun, Y.; Jeong, J.H.; Oh, J.E. Microstructural verification of the strength performance of ternary blended cement systems with high volumes of fly ash and GGBFS. Constr. Build. Mater. 2015, 95, 96–107. [Google Scholar] [CrossRef]
- Lim, J.S.; Cheah, C.B.; Ramli, M.B. The setting behavior, mechanical properties and drying shrinkage of ternary blended concrete containing granite quarry dust and processed steel slag aggregate. Constr. Build. Mater. 2019, 215, 447–461. [Google Scholar] [CrossRef]
- Shubbar, A.A.; Jafer, H.; Dulaimi, A.; Hashim, K.; Atherton, W.; Sadique, M. The development of a low carbon binder produced from the ternary blending of cement, ground granulated blast furnace slag and high calcium fly ash: An experimental and statistical approach. Constr. Build. Mater. 2018, 187, 1051–1060. [Google Scholar] [CrossRef]
- Cheah, C.B.; Liew, J.J.; Kevin, K.L.P.; Rafat, S.; Weerachart, T. Properties of ternary blended cement containing ground granulated blast furnace slag and ground coal bottom ash. Constr. Build. Mater. 2022, 315, 125249. [Google Scholar] [CrossRef]
- Shamass, R.; Rispoli, O.; Limbachiya, V.; Kovacs, R. Mechanical and GWP Assessment of Concrete Using Blast Furnace Slag, Silica Fume and Recycled Aggregate. Case Stud. Constr. Mater. 2023, 24, e02164. [Google Scholar] [CrossRef]
- Weise, K.; Ukrainczyk, N.; Duncan, A. Eduardus Koenders, Enhanced Metakaolin Reactivity in Blended Cement with Additional Calcium Hydroxide. Materials 2022, 15, 367. [Google Scholar] [CrossRef]
- Izadifar, M.; Thissen, P.; Steudel, A.; Kleeberg, R.; Kaufhold, S.; Kaltenbach, J.; Schuhmann, R.; Dehn, F.; Emmerich, K. Comprehensive examivation of dehydroxylation of kaolinite, disordered kaolinite, and dickite: Eaperimental studies and density functional theory. Clays Clay Miner. 2020, 68, 319–333. [Google Scholar] [CrossRef]
- ASTM C150; Standard Specification for Portland Cement. ASTM International: West Conshohocken, PA, USA, 2022.
- ASTM C618; Standard Specification for Coal Fly Ash and Raw or Calcined Natural Pozzolan for Use in Concrete. ASTM International: West Conshohocken, PA, USA, 2022.
- ASTM C989; Standard Specification for Ground Granulated Blast-Furnace Slag for Use in Concrete and Mortars. ASTM International: West Conshohocken, PA, USA, 2010.
- ASTM C33; Standard Specification for Concrete Aggregates. ASTM International: West Conshohocken, PA, USA, 2012.
- ASTM C305; Standard Practice for Mechanical Mixing of Hydraulic Cement Pastes and Mortars of Plastic Consistency. ASTM International: West Conshohocken, PA, USA, 2020.
- ASTM C807; Standard Test Method for Time of Setting of Hydraulic Cement Mortar by Modified Vicat Needle. ASTM International: West Conshohocken, PA, USA, 2021.
- ASTM C109; Standard Test Method for Compressive Strength of Hydraulic Cement Mortars (Using 2-in. or [50 mm] Cube Specimens). ASTM International: West Conshohocken, PA, USA, 2021.
- ASTM C348; Standard Test Method for Flexural Strength of Hydraulic-Cement Mortars. ASTM International: West Conshohocken, PA, USA, 2021.
- ASTM C597; Standard Test Method for Pulse Velocity Through Concrete. ASTM International: West Conshohocken, PA, USA, 2016.
- ASTM C1585; Standard Test Method for Measurement of Rate of Absorption of Water by Hydraulic-Cement Concretes. ASTM International: West Conshohocken, PA, USA, 2020.
- Ke, G.J.; Zhang, X.; Zhang, J. Hydration characteristics of calcium sulfoaluminate-fly ash mixed with different alkalies. Case Stud. Constr. Mater. 2022, 17, e01478. [Google Scholar] [CrossRef]
- Juang, C.U.; Kuo, W.T. Engineering Properties of Green and Ecofriendly Grouting Materials with Different Sand Filling Ratios. Materials 2023, 16, 837. [Google Scholar] [CrossRef]
- Manojsuburam, R.; Sakthivel, E.; Jayanthimani, E. A study on the mechanical properties of alkali activated ground granulated blast furnace slag and fly ash concrete. Mater. Proc. 2022, 62, 1761–1764. [Google Scholar] [CrossRef]
- Shi, Y.X.; Xue, C.H.; Jia, Y.L.; Guo, W.C.; Zhang, Y.Y.; Qiu, Y.X.; Zhao, Q.X. Preparation and curing method of red mud-calcium carbide slag synergistically activated fly ash-ground granulated blast furnace slag based eco-friendly geopolymer. Cem. Concr. Compos. 2023, 23, 104999. [Google Scholar] [CrossRef]
- Jiao, Z.Z.; Li, X.Y.; Yu, Q.L.; Yao, Q.Q.; Hu, P. Sulfate resistance of class C/class F fly ash geopolymers. J. Mater. Res. Technol. 2023, 23, 1767–1780. [Google Scholar] [CrossRef]
- Joanna, P.S.; Parvati, T.S.; Rooby, J.; Preetha, R. A study on the flexural behavior of sustainable concrete beams with high volume fly ash. Mater. Proc. 2020, 33, 1149–1157. [Google Scholar] [CrossRef]
- Dragaš, J.; Marinković, S.; Ignjatović, I.; Tošić, N.; Koković, V. Flexural behaviour and ultimate bending capacity of high-volume fly ash reinforced concrete beams. Eng. Struct. 2023, 277, 115446. [Google Scholar] [CrossRef]
- Yoo, S.W.; Ryu, G.S.; Choo, J.F. Evaluation of the effects of high-volume fly ash on the flexural behavior of reinforced concrete beams. Constr. Build. Mater. 2015, 93, 1132–1144. [Google Scholar] [CrossRef]
- Narendra, B.K.; Mahadeviah, T.M. Flexural behavior of reinforced fly ash concrete in comparison to reinforced normal concrete beams in terms of cracking load and ultimate load carrying capacity. Int. J. Eng. Adv. Technol. 2014, 4, 7–40. [Google Scholar]
- Hashmi, A.F.; Shariq, M.; Baqi, A. Flexural performance of high volume fly ash reinforced concrete beams and slabs. Structures 2020, 25, 868–880. [Google Scholar] [CrossRef]



















| Chemical Composition (%) | Cement | FA | GGBFS | |
|---|---|---|---|---|
| SiO2 | 21.23 | 67.9 | 34.4 | |
| Al2O3 | 5.57 | 21.5 | 14.8 | |
| Fe2O3 | 3.57 | 3.63 | 0.41 | |
| CaO | 62.15 | 2.1 | 41.7 | |
| MgO | 2.51 | 1.2 | 6.6 | |
| SO3 | 1.99 | 0.26 | 0.12 | |
| Na2O | 0.1 | 0.68 | 0.28 | |
| K2O | 0.54 | 0.84 | 0.37 | |
| Physical property | Fineness (m2/kg) | 321 | 381.8 | 400 |
| Specific gravity | 3.15 | 2.16 | 2.90 | |
| Alkali content (%) | - | 1.23 | 0.52 | |
| LOI | 2.65 | 2.8 | - | |
| Variable | Value |
|---|---|
| W/B | 0.21, 0.27, 0.35 |
| FA (%) | 20, 30 |
| GGBFS (%) | 20, 30 |
| Code | For example: 21F20S30, then W/B = 0.21, FA substitution amount is 20%, GGBFS substitution amount is 30%. |
Disclaimer/Publisher’s Note: The statements, opinions and data contained in all publications are solely those of the individual author(s) and contributor(s) and not of MDPI and/or the editor(s). MDPI and/or the editor(s) disclaim responsibility for any injury to people or property resulting from any ideas, methods, instructions or products referred to in the content. |
© 2023 by the authors. Licensee MDPI, Basel, Switzerland. This article is an open access article distributed under the terms and conditions of the Creative Commons Attribution (CC BY) license (https://creativecommons.org/licenses/by/4.0/).
Share and Cite
Juang, C.-U.; Kuo, W.-T. Properties and Mechanical Strength Analysis of Concrete Using Fly Ash, Ground Granulated Blast Furnace Slag and Various Superplasticizers. Buildings 2023, 13, 1644. https://doi.org/10.3390/buildings13071644
Juang C-U, Kuo W-T. Properties and Mechanical Strength Analysis of Concrete Using Fly Ash, Ground Granulated Blast Furnace Slag and Various Superplasticizers. Buildings. 2023; 13(7):1644. https://doi.org/10.3390/buildings13071644
Chicago/Turabian StyleJuang, Chuen-Ul, and Wen-Ten Kuo. 2023. "Properties and Mechanical Strength Analysis of Concrete Using Fly Ash, Ground Granulated Blast Furnace Slag and Various Superplasticizers" Buildings 13, no. 7: 1644. https://doi.org/10.3390/buildings13071644
APA StyleJuang, C.-U., & Kuo, W.-T. (2023). Properties and Mechanical Strength Analysis of Concrete Using Fly Ash, Ground Granulated Blast Furnace Slag and Various Superplasticizers. Buildings, 13(7), 1644. https://doi.org/10.3390/buildings13071644

