Impact Dynamic Response of Spherical Net Shells: Finite Element-Based Computational Analysis Investigating the Influence of Dynamic Constitutive Models
Abstract
1. Introduction
- (1)
- Conducting the numerical analysis method for assessing the impact resistance of mesh shell structures [19,20]. The method involved the comparisons of different unit types, contact algorithms, and contact types to determine their effects. Subsequently, an open spherical shell parametric model was developed by applying Rhino 7 [21] software. In the meantime, an ABAQUS finite element analysis software was utilized to establish a K8 shell [22,23] numerical analysis model incorporating a purlin roof system. Finally, the proposed numerical simulation was employed to validate the accuracy of the numerical analysis method for ultimately assessing the impact resistance of the shell structure.
- (2)
- Studying the influence of dynamic constitutive models on the numerical simulation of impact resistance of spherical net shells [24,25,26,27]. The influence of dynamic constitutive models on shell impact resistance numerical simulation was analyzed, with the consideration of the Cowper-Symonds [28] (C-S), J-C [29], MJ-C [30], and MxJ-C failure mode distributions of the shell impact failure models. Moreover, the impact action, node vertical displacement, and vertical velocity were evaluated by applying different dynamic constitutive models for the numerical simulation of the shell impact resistance. Finally, suggestions were provided for the selection of suitable dynamic constitutive models to capture the material’s impact dynamic response accurately.
- (3)
- This paper mainly considered the ramifications of the monomeric high-speed impact on different materials, with the comparative analysis of the impact dynamic response of different materials, specifically focusing on the Kiewitt spherical net shell [31]. Through large-scale parametric analysis, we successfully obtained the impact failure mode distributions [32,33] of certain types of structural steel, including Q235B [34], Q355B, Q460D [35], as well as aluminum alloy 6061-T6 [36,37]. Furthermore, we summarized the change patterns of the failure modes of different structural steel [38] and compared the impact resistance of Q235B steel and 6061-T6 aluminum alloy, which eventually revealed the mechanism of impact dynamic response with typical examples, and provided a reference for the study of the shell structure under impacts.
2. Numerical Analysis Method for Assessing the Impact Resistance of Mesh and Shell Structures
2.1. Kiewitt Sphere Establishment [39,40]
- (1)
- Sphere creation.
- (2)
- Diameter rod generation: A circle was centered on the sphere, with the diameter representing the span of the net shell. Intersect the circle with the surface of the sphere to obtain the diameter rods of the net shell.
- (3)
- Ring rod projection: The equidiameter rods were projected downward to generate the ring rod projections.
- (4)
- Equal subsection surface division: On the projection plane, the sectors were equally divided with the segmentation of the ring rods. Subsequently, these segments were mapped back onto the sphere’s surface.
- (5)
- Connect of the rods: All the rods within the same section were connected.
- (6)
- Ring array formation: A ring array was utilized to generate a complete mesh shell.
2.2. Consideration of Numerical Analysis Model for K8-Type Mesh Shell in a Purlin Roof System
3. Simulation Comparison of Impact Testing on Scale Model of Mesh Shell
3.1. Constitutive Model and Material Properties
3.1.1. C-S Constitutive Model
3.1.2. J-C Constitutive Model
3.1.3. MJ-C Constitutive Model
3.2. Distribution of Impact Failure Modes in Different Materials
3.2.1. Elastic Impact Test of Shrink Scale Model with Roof Panel Mesh Shell C-S, J-C, and MJ-C
3.2.2. Destructive Impact Test of Scale Model with Roof Panel
3.3. Comparative Analysis and Study of the Impact Dynamic Response of the Spherical Net Shell with Different Materials
Impact Failure Mode Distribution of Different Materials
4. Comparative Analysis of Impact Dynamic Response in Spherical Net Shells of Different Materials
4.1. Failure Criterion
4.2. Typical Examples: Comparative Analysis of Impact Dynamic Response of Q235B Steel and Q460D Steel Mesh Shells
4.2.1. Failure Mode
4.2.2. Impact Action
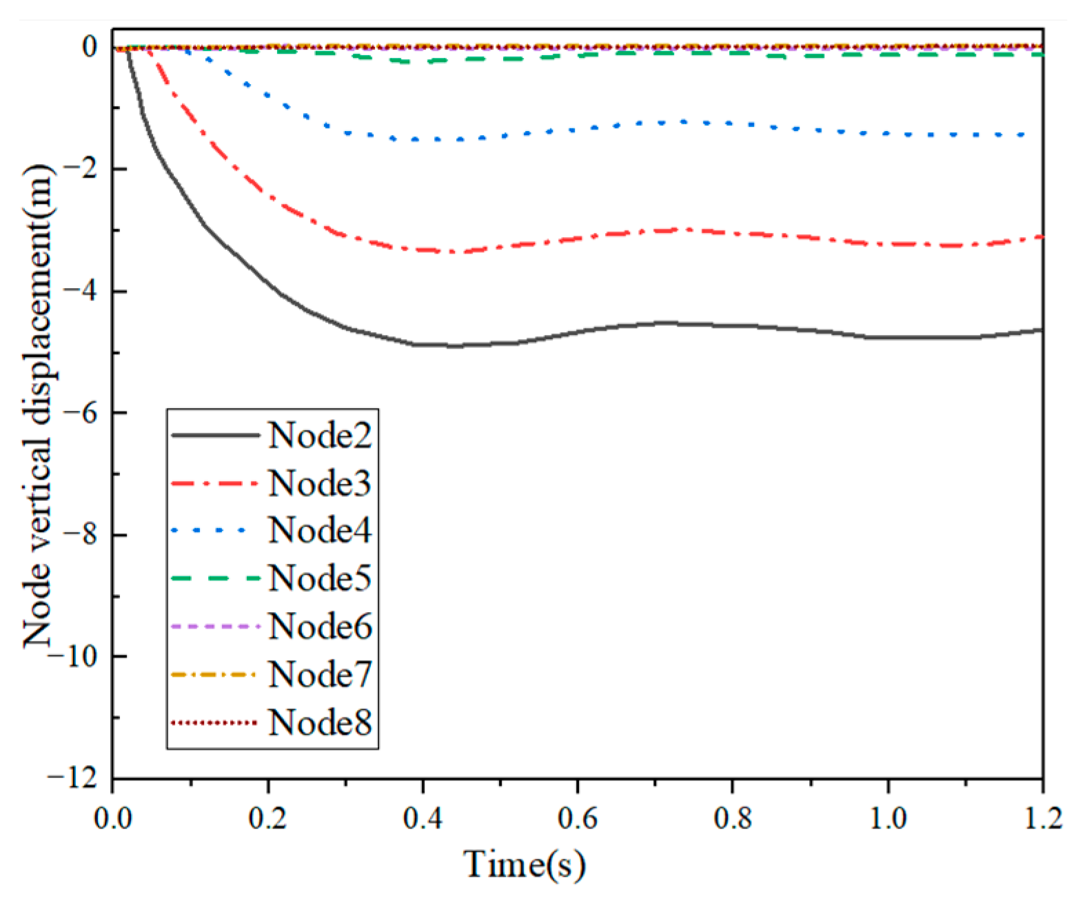
4.2.3. Vertical Node Displacement and Vertical Speed
4.2.4. Bearing Force of the Rod Parts
4.2.5. Energy Change of the Mesh and Shell Structure
4.3. Typical Examples: Comparative Analysis of Impact Dynamic Response of Steel and Aluminum Alloy Mesh Shells
4.3.1. Failure Mode
4.3.2. Impact Action
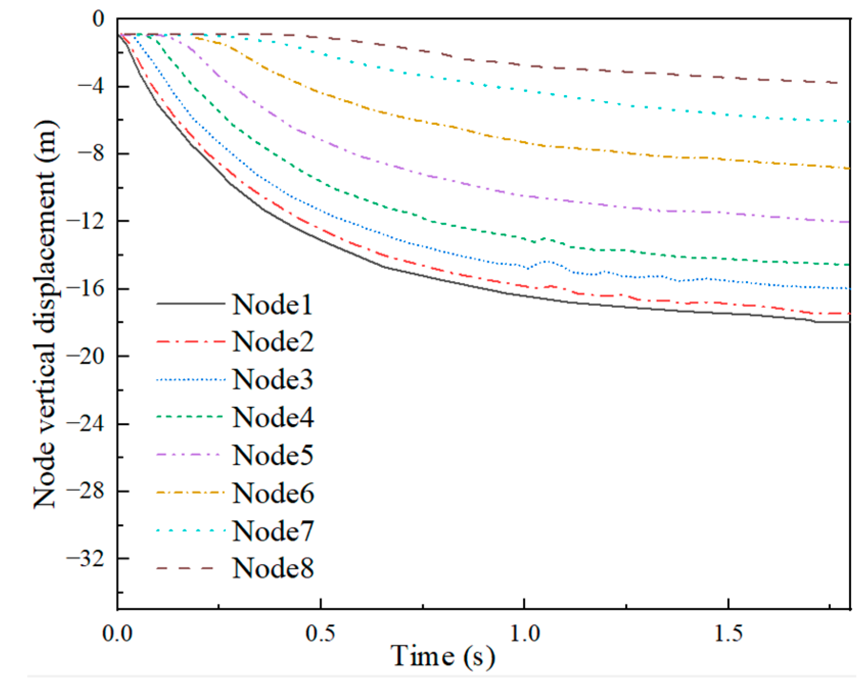
4.3.3. Vertical Node Displacement and Vertical Speed
4.3.4. Axial Force of the Rod and Parts
4.3.5. Energy Change of the Mesh and Shell Structures
5. Conclusions
- (1)
- A numerical analysis method for evaluating the impact resistance of shell structures was proposed, utilizing the ABAQUS software and considering the K8 shell numerical analysis model with the purlin roof system. The proposed method was applied to simulate shell impact tests numerically, and the accuracy of different constitutive models was evaluated. The results indicated that the MJ-C constitutive model exhibited the highest prediction accuracy, while the J-C and C-S constitutive models performed less accurately.
- (2)
- The analysis revealed that the C-S constitutive model predicted a higher occurrence of an overall collapse of the net shell under vertex shock compared to the J-C, MJ-C, and MxJ-C constitutive models. Additionally, the C-S constitutive model provided a better prediction of the degree of net shell failure. The MJ-C and MxJ-C constitutive models accurately predicted the failure mode of the net shell, while the MxJ-C constitutive model indicated an earlier occurrence of instantaneous break-mode destruction than the J-C constitutive model. Based on the analysis of typical examples, it was observed that the C-S constitutive model predicted more significant impacts, higher shell energy, more considerable deformation, and a higher proportion of overall collapse. Therefore, the application of the C-S constitutive model is discouraged in scenarios with high impact intensity, while the MJ-C and MxJ-C constitutive models were recommended for numerical simulations of net shell impact resistance.
- (3)
- A comparison of the impact failure mode distributions of Q235B, Q355B, and Q460D steel revealed that, at lower impact momentums, when the structural steels Q235B and Q355B yielded percentages of 21.1% and 17.8%, respectively, the impact did not penetrate the net shell. The higher yield strength of the steel led to more significant damage. In the case of instantaneous burst shell, the respective proportions for Q235B, Q355B, and Q460D steels were 7.8%, 10%, and 12.2%. When the impact momentum was high, there was sufficient energy to penetrate the net shell instantaneously, and improving the yield strength of the steel did not reduce the degree of net shell damage.
- (4)
- Analysis of the impact dynamic response parameters of Q235B, Q355B, and Q460D steel mesh shells revealed the following law attributed to the influence of the material on the impact failure mode of the mesh shell structure. The higher the yield strength of the mesh shell steel, the enhanced its capacity to withstand ultimate stress. When the impact material possessed sufficient energy to instantly penetrate the mesh shell, improving the yield strength of the mesh shell steel did not reduce the damage degree. Furthermore, based on the analysis of typical examples, it was observed that the higher yield strength of the mesh shell steel resulted in a longer penetration time, increased absorption of impact energy by the mesh shell, and a higher number of hollow rings in the net shell structure.
- (5)
- Under the action of vertex impact, the proportion of the overall collapse of the net case constructed with the 6061-T6 aluminum alloy was higher than that of the Q235B steel. Moreover, the net case constructed with the 6061-T6 aluminum alloy experienced an instant fracture and punching damage earlier than that of the Q235B steel. The analysis of typical examples unveiled that because the 6061-T6 aluminum alloy was brittle material, there was no evident yield stage and strengthening stage, with the strain rate effect being less pronounced than that of the Q235B steel. Under the same impact action, the 6061-T6 aluminum alloy mesh shell was more prone to fracture than the Q235B steel, and breaking-through type damage and punching damage manifesting at earlier stages.
Author Contributions
Funding
Data Availability Statement
Acknowledgments
Conflicts of Interest
References
- Shon, S.-D.; Lee, S.-J.; Lee, D.-W.; Kim, S.-D. Unstable Behaviour and Critical Buckling Load of Framed Large Spatial Structures in accordance with the Variation of Joint Rigidity. J. Korean Assoc. Spat. Struct. 2014, 14, 47–56. [Google Scholar] [CrossRef]
- Han, R.; Yin, T.Y.; Yang, X.D.; Zhang, Y.S.; Ju, J.S. Study on progressive collapse resistance of single-layer reticulated shells. J. Phys. Conf. Ser. 2021, 1777, 012037. [Google Scholar] [CrossRef]
- Ge, H.-B.; Wan, H.-P.; Zheng, Y.; Luo, Y. Experimental and numerical study on stability behavior of reticulated shell composed of plate members. J. Constr. Steel Res. 2020, 171, 106102. [Google Scholar] [CrossRef]
- Wu, C.; Wang, X.L.; Liang, Y.X.; Yin, Z.Z. Dynamic Response of Reticulated Domes under the Impact. Appl. Mech. Mater. 2014, 638–640, 58–61. [Google Scholar] [CrossRef]
- Zheng, L.; Chen, Z.H. Finite Element Analysis of a Single-Layer Reticulated Dome under Impact Loading. Adv. Mater. Res. 2010, 163–167, 327–331. [Google Scholar] [CrossRef]
- Zhou, Z.; Wang, Y.; Zhang, S.; Dimitri, R.; Tornabene, F.; Asemi, K. Numerical Study on the Buckling Behavior of FG Porous Spherical Caps Reinforced by Graphene Platelets. Nanomaterials 2023, 13, 1205. [Google Scholar] [CrossRef] [PubMed]
- Khatounabadi, M.; Jafari, M.; Asemi, K. Low-velocity impact analysis of functionally graded porous circular plate reinforced with graphene platelets. Waves Random Complex Media 2022, 1–27. [Google Scholar] [CrossRef]
- Xu, T.; Lin, L.; Zhi, X.; Fan, F. Experimental study on the impact resistance of single-layer spherical reticulated shell roof panels. Structures 2022, 45, 23–38. [Google Scholar] [CrossRef]
- Ruan, H.; Gao, Z.; Yu, T. Crushing of thin-walled spheres and sphere arrays. Int. J. Mech. Sci. 2005, 48, 117–133. [Google Scholar] [CrossRef]
- Yu, Z.; Liu, K.; Zhou, X.; Jing, L. Low-velocity impact response of aluminum alloy corrugated sandwich beams used for high-speed trains. Thin-Walled Struct. 2023, 183, 110375. [Google Scholar] [CrossRef]
- Ding, X.; Xiao, M.; Liu, W.; Liu, X.; Chen, Y.; Zhou, H.; Zhao, C.; Yang, L.; Song, Y. Macro–Micro–Nonuniform Deformation Behavior of 7B52 Laminated Aluminum Alloy under High-Speed Impact. J. Mater. Eng. Perform. 2022, 32, 1508–1514. [Google Scholar] [CrossRef]
- Xiao, X.; Zhang, W.; Wei, G.; Mu, Z.; Guo, Z. Experimental and numerical investigation on the deformation and failure behavior in the Taylor test. Mater. Des. 2011, 32, 2663–2674. [Google Scholar] [CrossRef]
- Xiao, X.; Zhang, W.; Wei, G.; Mu, Z. Effect of projectile hardness on deformation and fracture behavior in the Taylor impact test. Mater. Des. 2010, 31, 4913–4920. [Google Scholar] [CrossRef]
- Wang, Y.; Chen, X.; Xiao, X.; Vershinin, V.V.; Ge, R.; Li, D.-S. Effect of Lode angle incorporation into a fracture criterion in predicting the ballistic resistance of 2024-T351 aluminum alloy plates struck by cylindrical projectiles with different nose shapes. Int. J. Impact Eng. 2020, 139, 103498. [Google Scholar] [CrossRef]
- Asemi, K.; Salami, S.J. A study on low velocity impact response of FGM rectangular plates with 3D elasticity based graded finite element modeling. J. Theor. Appl. Mech. 2015, 53, 859–872. [Google Scholar] [CrossRef]
- Zafarmand, H.; Salehi, M.; Asemi, K. Three dimensional Free Vibration and Transient Analysis of Two Directional Functionally Graded Thick Cylindrical Panels Under Impact Loading. Lat. Am. J. Solids Struct. 2015, 12, 205–225. [Google Scholar] [CrossRef]
- Deng, Y.; Zhang, Y.; Xiao, X.; Hu, A.; Wu, H.; Xiong, J. Experimental and numerical study on the ballistic impact behavior of 6061-T651 aluminum alloy thick plates against blunt-nosed projectiles. Int. J. Impact Eng. 2020, 144, 103659. [Google Scholar] [CrossRef]
- Lin, L.; Huang, B.; Sun, Y.; Zhu, Y.; Wang, D. Dynamic Response of a Single-Layer Reticulated Dome during Aircraft Impact Based on S-J Modeling Method. Shock Vib. 2019, 2019, 9056810. [Google Scholar] [CrossRef]
- Gupta, N.; Sheriff, N.M.; Velmurugan, R. Experimental and numerical investigations into collapse behaviour of thin spherical shells under drop hammer impact. Int. J. Solids Struct. 2007, 44, 3136–3155. [Google Scholar] [CrossRef]
- Gupta, N.; Sheriff, N.M.; Velmurugan, R. Analysis of collapse behaviour of combined geometry metallic shells under axial impact. Int. J. Impact Eng. 2008, 35, 731–741. [Google Scholar] [CrossRef]
- Qi, H.; Wang, X.R.; Huang, Z.Y.; Dai, X.Y.; Zhuang, J.Z. Parametric modeling program of single-layer spherical reticulated shell structure and prediction program of global stability ultimate bearing capacity. J. Phys. Conf. Ser. 2021, 1777, 012034. [Google Scholar] [CrossRef]
- Zhai, X.; Wang, Y.; Sun, Z. Damage model and damage assessment for single-layer reticulated domes under exterior blast load. Mech. Based Des. Struct. Mach. 2019, 47, 319–338. [Google Scholar] [CrossRef]
- Du, W.F.; Yu, F.D.; Zhou, Z.Y. Dynamic Stability Analysis of K8 Single-Layer Latticed Shell Structures Suffered from Earthquakes. Appl. Mech. Mater. 2011, 94–96, 52–56. [Google Scholar] [CrossRef]
- Liu, H.; Li, F.; Yuan, H.; Ai, D.; Xu, C. A Spiral Single-Layer Reticulated Shell Structure: Imperfection and Damage Tolerance Analysis and Stability Capacity Formulation for Conceptual Design. Buildings 2021, 11, 280. [Google Scholar] [CrossRef]
- Liu, X.; Zhang, P.; Jia, Z.; Chen, Y.; Li, S.; Wang, R. High-Speed Videogrammetry for Seismic Performance of the Spherical Reticulated Shell Structure on the Shaking Table. Buildings 2023, 13, 553. [Google Scholar] [CrossRef]
- He, S.; Huang, X.; Yu, P.; Yun, W. The Investigation on Static Stability Analysis for Reticulated Shell with Initial Defect Value Using Stochastic Defect Mode Method. Buildings 2022, 12, 615. [Google Scholar] [CrossRef]
- Alves, M. Material Constitutive Law for Large Strains and Strain Rates. J. Eng. Mech. 2000, 126, 215–218. [Google Scholar] [CrossRef]
- Huang, Z.; Gao, L.; Wang, Y.; Wang, F. Determination of the Johnson-Cook Constitutive Model Parameters of Materials by Cluster Global Optimization Algorithm. J. Mater. Eng. Perform. 2016, 25, 4099–4107. [Google Scholar] [CrossRef]
- Lin, L.; Sun, Y.H.; Huang, M.Y.; Li, J.; Song, X.Q.; Duan, Z.X.; Huang, X.F. FE model of reticulated dome under impact based on the MJ-C. In Proceedings of the 2016 5th International Conference on Civil, Architectural and Hydraulic Engineering (ICCAHE 2016), Zhuhai, China, 30–31 July 2016; Atlantis Press: Amsterdam, The Netherlands, 2016. [Google Scholar]
- Hu, J.; Lu, G.; Yang, H.; Yu, T.; Xu, J. Dynamic response of internally nested hemispherical shell system to impact loading. Thin-Walled Struct. 2017, 120, 29–37. [Google Scholar] [CrossRef]
- Fan, F.; Wang, D.; Zhi, X.; Shen, S. Failure modes of reticulated domes subjected to impact and the judgment. Thin-Walled Struct. 2010, 48, 143–149. [Google Scholar] [CrossRef]
- Wang, D.; Zhi, X.; Fan, F.; Lin, L. The energy-based failure mechanism of reticulated domes subjected to impact. Thin-Walled Struct. 2017, 119, 356–370. [Google Scholar] [CrossRef]
- Wang, S.; Li, W.; Wang, X.; Ai, R.; Yang, Q.; Shan, Z. Impact tensile cracking behavior of oxide scale in Q235 strip iron. MATEC Web Conf. 2018, 189, 08002. [Google Scholar] [CrossRef]
- Wang, Y.; Lin, Y.; Shi, Y. Research on Impact Toughness of Q460C High-Strength Steel at Low Temperature. In Proceedings of the Twelfth International Symposium on Structural Engineering, Beijing, China, 17 November 2012; Zhu, H., Huang, B., Ru, J., Eds.; Science Press: Beijing, China, 2012; Volume I, pp. 316–320. [Google Scholar]
- Singh, R.K.; Guraja, S.; Ajide, O.; Owolabi, G.; Kumar, N. Investigation of initial metallurgical factors on the dynamic impact response and adiabatic shear bands formation of the 6061 Al alloy. Mater. Sci. Eng. A 2023, 865, 144636. [Google Scholar] [CrossRef]
- Kosedag, E.; Ekici, R. Low-velocity impact performance of B4C particle-reinforced Al 6061 metal matrix composites. Mater. Res. Express 2019, 6, 126556. [Google Scholar] [CrossRef]
- Fan, F.; Wang, D.; Zhi, X.; Shen, S. Failure modes for single-layer reticulated domes under impact loads. Trans. Tianjin Univ. 2008, 14, 545–550. [Google Scholar] [CrossRef]
- Wu, C.; Yang, Y.; Gou, B.; Wu, J. Research on a multi-point impact test of single-layer spherical reticulated shell. J. Constr. Steel Res. 2021, 186, 106897. [Google Scholar] [CrossRef]
- Lin, L.; Fan, F.; Zhi, X.; Yin, H. Size Effect and Material Property Effect of the Impactor on the Damage Modes of the Single-Layer Kiewitt-8 Reticulated Dome. Sci. World J. 2013, 2013, 848347. [Google Scholar] [CrossRef]
- Paul, S.K. Predicting the flow behavior of metals under different strain rate and temperature through phenomenological modeling. Comput. Mater. Sci. 2012, 65, 91–99. [Google Scholar] [CrossRef]



































| Material Name | Q235B | Q355B | Q460D | 6061-T6 |
|---|---|---|---|---|
| 7800 | 7850 | 7850 | 2700 | |
| )/GPa | 200 | 206 | 210 | 64 |
| ) | 0.3 | 0.28 | 0.3 | 0.33 |
| ) | 469 | 460 | 469 | 890 |
| 8.33 × 10−4 | 1.33 × 10−3 | 8.33 × 10−4 | 1.33 × 10−3 | |
| )/K | 293 | 293 | 293 | 293 |
| )/K | 1795 | 1800 | 1800 | 925 |
| Inelastic heat share | 0.9 | 0.9 | 0.9 | 0.9 |
| /MPa | 244.8 | 339.45 | 430.3 | 278.2 |
| /MPa | 400 | 620 | 590.57 | 245.2 |
| 0.36 | 0.403 | 0.531 | 0.817 | |
| 0.0391 | 0.02 | 0.0404 | 0.0273 | |
| 1.989 | 1.85 | 1.77 | 2.745 | |
| 0.1515 | 1.33 | 1.23 | 2.387 |
| Contrast Indicators | End of Test | The C-S Constitutive Simulation Results | The J-C Constitutive Simulation Results | The MJ-C Constitutive Simulation Results | |||
|---|---|---|---|---|---|---|---|
| Numeric Value | Error % | Numeric Value | Error % | Numeric Value | Error % | ||
| At the first impact hold (ms) | 20.73 | 28.02 | 35.10 | 26.01 | 25.36 | 26.01 | 25.36 |
| H1 stress amplitude (MPa) | −68.02 | −72.31 | 6.31 | −67.07 | 1.39 | −67.07 | 1.39 |
| H3 stress amplitude (MPa) | −27.80 | −31.07 | 11.76 | −28.93 | 4.06 | −28.93 | 4.06 |
| H4 stress amplitude (MPa) | 45.08 | 47.29 | 4.90 | 42.45 | 5.83 | 42.45 | 5.83 |
| Contrast Indicators | End of Test | The C-S Constitutive Simulation Results | The J-C Constitutive Simulation Results | The MJ-C Constitutive Simulation Results | |||
|---|---|---|---|---|---|---|---|
| Numeric Value | Error % | Numeric Value | Error % | Numeric Value | Error % | ||
| At the first impact hold (ms) | 30.75 | 30.75 | 35.03 | 29.82 | 30.86 | 29.82 | 30.86 |
| H1 stress amplitude (MPa) | −82.71 | −82.06 | 9.00 | −78.23 | 3.10 | −78.23 | 3.10 |
| H3 stress amplitude (MPa) | −33.90 | −31.32 | 16.02 | −31.38 | 7.39 | −31.38 | 7.39 |
| H4 stress amplitude (MPa) | 47.60 | 42.44 | 12.17 | 43.00 | 11.01 | 43.00 | 11.01 |
| Contrast Item | Apex | One Link Point | Second Ring Node | |
|---|---|---|---|---|
| End of test | Numeric value (m) | −0.121 | −0.039 | −0.004 |
| The C-S constitutive simulation results | Numeric value (m) | −0.101 | −0.032 | −0.0056 |
| Error (%) | −15.83 | −17.95 | 40.00 | |
| The J-C constitutive simulation results | Numeric value (m) | −0.109 | −0.036 | −0.005 |
| Error (%) | 9.17 | 7.43 | 25.00 | |
| The MJ-C constitutive simulation results | Numeric value (m) | −0.111 | −0.0366 | −0.0048 |
| Error (%) | 7.50 | 6.15 | 20.00 | |
| Failure Mode Type | 6061-T6 | Q235B | Q355B | Q460D |
|---|---|---|---|---|
| The overall collapse | 22.2 | 21.1 | 17.8 | 16.7 |
| Large-scale depression | 24.4 | 24.4 | 25.6 | 36.7 |
| Continuous contact type and a wide range of depression | 12.2 | 16.7 | 15.6 | 14.4 |
| Instant break through the type of a large range of depression | 12.2 | 7.8 | 10.0 | 12.2 |
| The Peak Velocities (m/s) | Node 1 | Node 2 | Node 3 | Node 4 | Node 5 | Node 6 | Node 7 | Node 8 |
|---|---|---|---|---|---|---|---|---|
| Example 4-3 | 61.75 | 40.88 | 22.61 | 14.21 | 7.68 | 2.01 | 1.19 | 0.99 |
| Example 4-4 | 83.06 | 54.22 | 38.96 | 33.57 | 22.36 | 15.02 | 7.55 | 6.90 |
| Rods | Purlins | Column | Rivets | Roof Panels | |
|---|---|---|---|---|---|
| Final internal energy value | 6.16 | 3.16 | 1.16 | 0.20 | 4.14 |
| Internal energy ratio of each component | 30.16 | 15.45 | 5.70 | 1 | 20.27 |
Disclaimer/Publisher’s Note: The statements, opinions and data contained in all publications are solely those of the individual author(s) and contributor(s) and not of MDPI and/or the editor(s). MDPI and/or the editor(s) disclaim responsibility for any injury to people or property resulting from any ideas, methods, instructions or products referred to in the content. |
© 2023 by the authors. Licensee MDPI, Basel, Switzerland. This article is an open access article distributed under the terms and conditions of the Creative Commons Attribution (CC BY) license (https://creativecommons.org/licenses/by/4.0/).
Share and Cite
Shen, Y.; Lin, L.; Tang, P.; Xu, T. Impact Dynamic Response of Spherical Net Shells: Finite Element-Based Computational Analysis Investigating the Influence of Dynamic Constitutive Models. Buildings 2023, 13, 1849. https://doi.org/10.3390/buildings13071849
Shen Y, Lin L, Tang P, Xu T. Impact Dynamic Response of Spherical Net Shells: Finite Element-Based Computational Analysis Investigating the Influence of Dynamic Constitutive Models. Buildings. 2023; 13(7):1849. https://doi.org/10.3390/buildings13071849
Chicago/Turabian StyleShen, Yuhang, Li Lin, Pengxiao Tang, and Tianli Xu. 2023. "Impact Dynamic Response of Spherical Net Shells: Finite Element-Based Computational Analysis Investigating the Influence of Dynamic Constitutive Models" Buildings 13, no. 7: 1849. https://doi.org/10.3390/buildings13071849
APA StyleShen, Y., Lin, L., Tang, P., & Xu, T. (2023). Impact Dynamic Response of Spherical Net Shells: Finite Element-Based Computational Analysis Investigating the Influence of Dynamic Constitutive Models. Buildings, 13(7), 1849. https://doi.org/10.3390/buildings13071849

