Development of Ultra-High-Performance Silica Fume-Based Mortar Incorporating Graphene Nanoplatelets for 3-Dimensional Concrete Printing Application
Abstract
1. Introduction
2. Experimental and Theoretical Program Set-Up
2.1. Materials Preparation
2.2. Mix Proportions
2.3. Compressive Strength Test
2.4. Flexural Strength Test
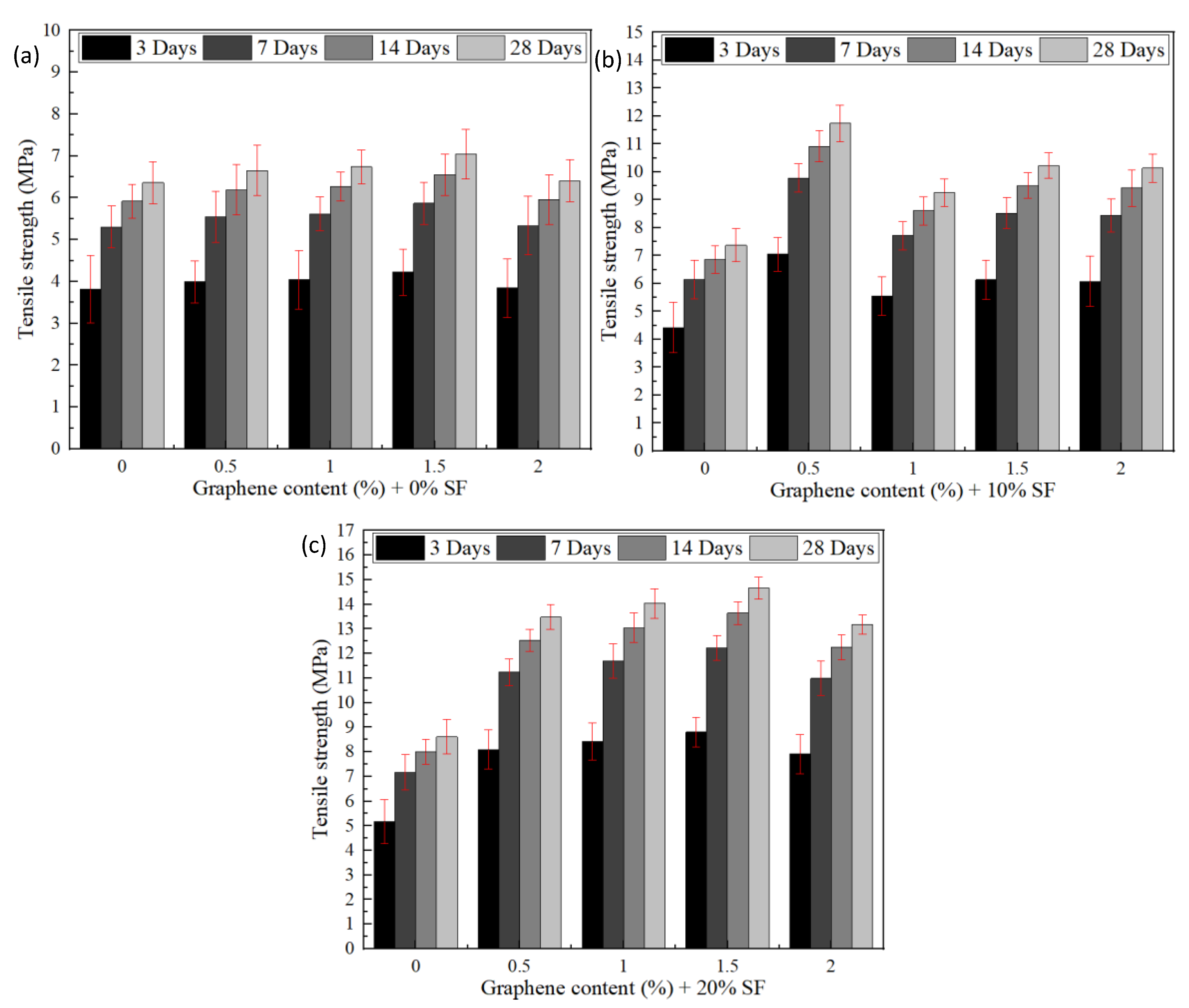
2.5. Tensile Strength Tests
2.6. Microstructure Test
2.7. Optimization Modeling Using RSM Model
3. Results and Discussion
3.1. Mechanical Properties Analysis
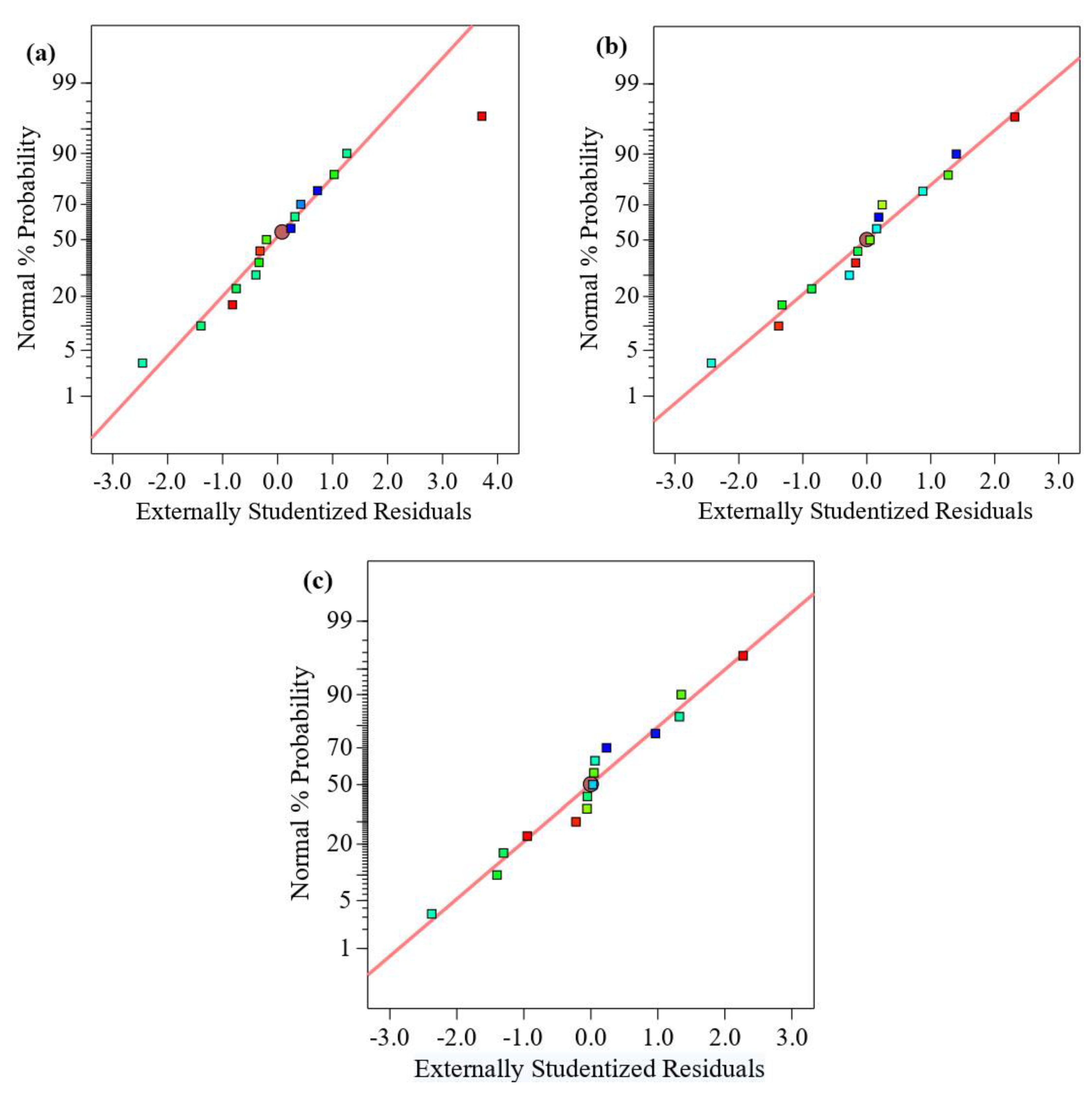
3.2. Prediction Using the RSM Model
3.3. Microstructure Analysis
3.4. Numerical Optimization Using the RSM Model
4. Conclusions
- The results of the flow table showed a significant decrease in the flow of concrete slurry with the increase in the concentration of GNP. The results confirmed the vital role of nanoparticles in binding the mixture and reducing the amount of water in the mixture.
- Adding both GNPs and SF to the mortar, with a water-to-cement ratio of 0.23 and a cement-to-sand ratio of 1:1, enhanced the compressive strength to an incredible 133.3 MPa, producing a long-lasting impact as well as excellent improvement.
- Beyond a threshold of 1.5% GNPs, mechanical properties began to deteriorate, indicating a possible impairment of hydration and pozzolanic activity due to excessive GNP contents (clustering). As a result, the ideal values of 1.5% GNPs and 20% SF indicated by the desirability function proved to be crucial for the mortar to develop its full potential.
- The tensile and flexural strengths increased by more than 50% when using an optimally measured mixture of 1.5% GNPs and 20% SF due to the exceptional densification of the slurry microstructure and the sealing of irreparable cracks.
- The study focused on decreasing the porousness of the concrete to achieve ultra-high-performance mortar, where the FE-SEM images demonstrated that GNPs could fill the pores in the mortar and connect the cracks to each other.
- The strong confluence of the RSM model and experimental data results demonstrates their remarkable resemblance alongside the error percentages of CS, TS, and FS, all falling below 5%. The above indicates the enormous potential of the suggested three nonlinear equations for accurately predicting the mechanical characteristics of mortar.
- A strong correlation, exceeding 0.97, between anticipated and observed outcomes attests to the model’s unchanging credibility and resilience. The difference between the anticipated and adjusted R2 is 0.2 percent or less, demonstrating the RSM model’s enormous promise for future research. Moreover, statistical error parameters with anticipated and adjusted values less than 0.03 and 0.09, respectively, reinforce the model’s efficiency and correctness, leaving no opportunity for controversy.
Author Contributions
Funding
Data Availability Statement
Acknowledgments
Conflicts of Interest
References
- Yang, Y.; Wu, C.; Liu, Z.; Wang, H.; Ren, Q. Mechanical anisotropy of ultra-high performance fibre-reinforced concrete for 3D printing. Cem. Concr. Compos. 2021, 125, 104310. [Google Scholar] [CrossRef]
- Zhang, J.; Wang, J.; Dong, S.; Yu, X.; Han, B. A review of the current progress and application of 3D printed concrete. Compos. Part A Appl. Sci. Manuf. 2019, 125, 105533. [Google Scholar] [CrossRef]
- Buswell, R.A.; De Silva, W.R.L.; Jones, S.Z.; Dirrenberger, J. 3D printing using concrete extrusion: A roadmap for research. Cem. Concr. Res. 2018, 112, 37–49. [Google Scholar] [CrossRef]
- Lee, H.; Kim, J.-H.J.; Moon, J.-H.; Kim, W.-W.; Seo, E.-A. Evaluation of the Mechanical Properties of a 3D-Printed Mortar. Materials 2019, 12, 4104. [Google Scholar] [CrossRef]
- Lin, A.; Tan, Y.K.; Wang, C.-H.; Kua, H.W.; Taylor, H. Utilization of waste materials in a novel mortar–polymer laminar composite to be applied in construction 3D-printing. Compos. Struct. 2020, 253, 112764. [Google Scholar] [CrossRef]
- Long, W.-J.; Tao, J.-L.; Lin, C.; Gu, Y.-C.; Mei, L.; Duan, H.-B.; Xing, F. Rheology and buildability of sustainable cement-based composites containing micro-crystalline cellulose for 3D-printing. J. Clean. Prod. 2019, 239, 118054. [Google Scholar] [CrossRef]
- Martens, P.; Mathot, M.; Bos, F.; Coenders, J. Optimising 3D printed concrete structures using topology optimisation. In High Tech Concrete: Where Technology and Engineering Meet: Proceedings of the 2017 fib Symposium, held in Maastricht, The Netherlands, 12–14 June 2017; Springer: Berlin/Heidelberg, Germany, 2018; pp. 301–309. [Google Scholar] [CrossRef]
- Asprone, D.; Auricchio, F.; Menna, C.; Mercuri, V. 3D printing of reinforced concrete elements: Technology and design approach. Constr. Build. Mater. 2018, 165, 218–231. [Google Scholar] [CrossRef]
- Agustí-Juan, I.; Müller, F.; Hack, N.; Wangler, T.; Habert, G. Potential benefits of digital fabrication for complex structures: Environmental assessment of a robotically fabricated concrete wall. J. Clean. Prod. 2017, 154, 330–340. [Google Scholar] [CrossRef]
- Vantyghem, G.; De Corte, W.; Shakour, E.; Amir, O. 3D printing of a post-tensioned concrete girder designed by topology optimization. Autom. Constr. 2020, 112, 103084. [Google Scholar] [CrossRef]
- Jiang, T.; Cui, K.; Chang, J. Development of low-carbon cement: Carbonation of compounded C2S by β-C2S and γ-C2S. Cem. Concr. Compos. 2023, 139, 105071. [Google Scholar] [CrossRef]
- Cuesta, A.; Ayuela, A.; Aranda, M.A.G. Belite cements and their activation. Cem. Concr. Res. 2021, 140, 106319. [Google Scholar] [CrossRef]
- Wang, L.; Chen, L.; Provis, J.L.; Tsang, D.C.W.; Poon, C.S. Accelerated carbonation of reactive MgO and Portland cement blends under flowing CO2 gas. Cem. Concr. Compos. 2020, 106, 103489. [Google Scholar] [CrossRef]
- Geng, Y.; Wang, Z.; Shen, L.; Zhao, J. Calculating of CO2 emission factors for Chinese cement production based on inorganic carbon and organic carbon. J. Clean. Prod. 2019, 217, 503–509. [Google Scholar] [CrossRef]
- Monteiro, P.J.M.; Miller, S.; Horvath, A. Towards sustainable concrete. Nat. Mater. 2017, 16, 698–699. [Google Scholar] [CrossRef] [PubMed]
- Chen, K.; Xia, J.; Wu, R.; Shen, X.; Chen, J.; Zhao, Y.; Jin, W. An overview on the influence of various parameters on the fabrication and engineering properties of CO2-cured cement-based composites. J. Clean. Prod. 2022, 366, 13296. [Google Scholar] [CrossRef]
- Wang, X.; Zhang, Z.; Li, J.; Wang, W.; Mao, Y.; Song, Z. Quantification of CO2 emission from the preparation and utilization of solid waste-based sulphoaluminate cementitious materials. J. Clean. Prod. 2022, 376, 134054. [Google Scholar] [CrossRef]
- Xu, J.; Li, Y.; Lu, L.; Cheng, X.; Li, L. Strength and durability of marine cement-based mortar modified by colloidal nano-silica with epoxy silane for low CO2 emission. J. Clean. Prod. 2023, 382, 135281. [Google Scholar] [CrossRef]
- Cui, K.; Lu, D.; Jiang, T.; Zhang, J.; Jiang, Z.; Zhang, G.; Chang, J.; Lau, D. Understanding the role of carbon nanotubes in low carbon sulfoaluminate cement-based composite. J. Clean. Prod. 2023, 416, 13260. [Google Scholar] [CrossRef]
- Tahmasebinia, F.; Niemelä, M.; Sepasgozar, S.M.E.; Lai, T.Y.; Su, W.; Reddy, K.R.; Shirowzhan, S.; Sepasgozar, S.; Marroquin, F.A. Three-Dimensional Printing Using Recycled High-Density Polyethylene: Technological Challenges and Future Directions for Construction. Buildings 2018, 8, 165. [Google Scholar] [CrossRef]
- Khan, S.A.; Koç, M.; Al-Ghamdi, S.G. Sustainability assessment, potentials and challenges of 3D printed concrete structures: A systematic review for built environmental applications. J. Clean. Prod. 2021, 303, 127027. [Google Scholar] [CrossRef]
- Wolfs, R.J.M.; Bos, F.P.; Salet, T.A.M. Hardened properties of 3D printed concrete: The influence of process parameters on interlayer adhesion. Cem. Concr. Res. 2019, 119, 132–140. [Google Scholar] [CrossRef]
- Ding, T.; Xiao, J.; Qin, F.; Duan, Z. Mechanical behavior of 3D printed mortar with recycled sand at early ages. Constr. Build. Mater. 2020, 248, 118654. [Google Scholar] [CrossRef]
- Nerella, V.N.; Hempel, S.; Mechtcherine, V. Effects of layer-interface properties on mechanical performance of concrete elements produced by extrusion-based 3D-printing. Constr. Build. Mater. 2019, 205, 586–601. [Google Scholar] [CrossRef]
- Arunothayan, A.R.; Nematollahi, B.; Ranade, R.; Bong, S.H.; Sanjayan, J.G.; Khayat, K.H. Fiber orientation effects on ultra-high performance concrete formed by 3D printing. Cem. Concr. Res. 2021, 143, 106384. [Google Scholar] [CrossRef]
- Shakor, P.; Nejadi, S.; Sutjipto, S.; Paul, G.; Gowripalan, N. Effects of deposition velocity in the presence/absence of E6-glass fibre on extrusion-based 3D printed mortar. Addit. Manuf. 2020, 32, 101069. [Google Scholar] [CrossRef]
- Panda, B.; Lim, J.H.; Tan, M.J. Mechanical properties and deformation behaviour of early age concrete in the context of digital construction. Compos. Part B Eng. 2019, 165, 563–571. [Google Scholar] [CrossRef]
- Sikora, P.; Chung, S.-Y.; Liard, M.; Lootens, D.; Dorn, T.; Kamm, P.H.; Stephan, D.; Elrahman, M.A. The effects of nanosilica on the fresh and hardened properties of 3D printable mortars. Constr. Build. Mater. 2021, 281, 122574. [Google Scholar] [CrossRef]
- An, J.; McInnis, M.; Chung, W.; Nam, B.H. Feasibility of Using Graphene Oxide Nanoflake (GONF) as Additive of Cement Composite. Appl. Sci. 2018, 8, 419. [Google Scholar] [CrossRef]
- Qureshi, T.S.; Panesar, D.K. Nano reinforced cement paste composite with functionalized graphene and pristine graphene nanoplatelets. Compos. Part B Eng. 2020, 197, 108063. [Google Scholar] [CrossRef]
- Cui, K.; Chang, J. Hydration, reinforcing mechanism, and macro performance of multi-layer graphene-modified cement composites. J. Build. Eng. 2022, 57, 104880. [Google Scholar] [CrossRef]
- Priya, T.S.; Mehra, A.; Jain, S.; Kakria, K. Effect of graphene oxide on high-strength concrete induced with rice husk ash: Mechanical and durability performance. Innov. Infrastruct. Solutions 2020, 6, 1–16. [Google Scholar] [CrossRef]
- Amini, K.; Amiri, S.S.; Ghasemi, A.; Mirvalad, S.; Korayem, A.H. Evaluation of the dispersion of metakaolin–graphene oxide hybrid in water and cement pore solution: Can metakaolin really improve the dispersion of graphene oxide in the calcium-rich environment of hydrating cement matrix? RSC Adv. 2021, 11, 18623–18636. [Google Scholar] [CrossRef]
- Zhai, S.; Pang, B.; Liu, G.; Zhang, Y.; Xu, K.; She, W.; Zhang, Y. Investigation on preparation and multifunctionality of reduced graphene oxide cement mortar. Constr. Build. Mater. 2021, 275, 122119. [Google Scholar] [CrossRef]
- Kiamahalleh, M.V.; Gholampour, A.; Tran, D.N.; Ozbakkaloglu, T.; Losic, D. Physiochemical and mechanical properties of reduced graphene oxide–cement mortar composites: Effect of reduced graphene oxide particle size. Constr. Build. Mater. 2020, 250, 118832. [Google Scholar] [CrossRef]
- Sajjad, U.; Sheikh, M.N.; Hadi, M.N. Experimental study of the effect of graphene on properties of ambient-cured slag and fly ash-based geopolymer paste and mortar. Constr. Build. Mater. 2021, 313, 125403. [Google Scholar] [CrossRef]
- Jiang, Z.; Sevim, O.; Ozbulut, O.E. Mechanical properties of graphene nanoplatelets-reinforced concrete prepared with different dispersion techniques. Constr. Build. Mater. 2021, 303, 124472. [Google Scholar] [CrossRef]
- Wang, B.; Jiang, R.; Wu, Z. Investigation of the Mechanical Properties and Microstructure of Graphene Nanoplatelet-Cement Composite. Nanomaterials 2016, 6, 200. [Google Scholar] [CrossRef] [PubMed]
- Du, H.; Gao, H.J.; Pang, S.D. Improvement in concrete resistance against water and chloride ingress by adding graphene nanoplatelet. Cem. Concr. Res. 2016, 83, 114–123. [Google Scholar] [CrossRef]
- Du, H.; Pang, S.D. Enhancement of barrier properties of cement mortar with graphene nanoplatelet. Cem. Concr. Res. 2015, 76, 10–19. [Google Scholar] [CrossRef]
- Jiang, Z.; Sherif, M.M.; Xing, G.; Ozbulut, O.E. Tensile characterization of graphene nanoplatelets (GNP) mortar using acoustic emissions. Mater. Today Commun. 2020, 25, 101433. [Google Scholar] [CrossRef]
- ASTM C33-18; Standard Specification for Concrete Aggregates. ASTM International: West Conshohocken, PA, USA, 2018. Available online: https://www.astm.org/Standards/C33.htm (accessed on 10 March 2023).
- ASTM C230-17; Standard Specification for Flow Table for Use in Tests of Hydraulic Cement. ASTM International: West Conshohocken, PA, USA, 2017. Available online: https://www.astm.org/Standards/C230.htm (accessed on 10 March 2023).
- ASTM C109-09a; Standard Test Method for Compressive Strength of Hydraulic Cement Mortars (Using 2-in. or [50-mm] Cube Specimens). ASTM International: West Conshohocken, PA, USA, 2009. Available online: https://www.astm.org/Standards/C109.htm (accessed on 10 March 2023).
- ASTM C348-21; Standard Test Method for Flexural Strength of Hydraulic-Cement Mortars. ASTM International: West Conshohocken, PA, USA, 2021. Available online: https://www.astm.org/Standards/C348.htm (accessed on 10 March 2023).
- ASTM C496/C496M-21; Standard Test Method for Splitting Tensile Strength of Cylindrical Concrete Specimens. ASTM International: West Conshohocken, PA, USA, 2021. Available online: https://www.astm.org/Standards/C496.htm (accessed on 11 March 2023).
- Al-Fasih, M.Y.; Huseien, G.F.; bin Ibrahim, I.S.; Sam, A.R.; Algaifi, H.A.; Alyousef, R. Synthesis of rubberized alkali-activated concrete: Experimental and numerical evaluation. Constr. Build. Mater. 2021, 303, 124526. [Google Scholar] [CrossRef]
- Mokhtar, N.; Johari, M.A.M.; Tajarudin, H.A.; Al-Gheethi, A.A.; Algaifi, H.A. A sustainable enhancement of bio-cement using immobilised Bacillus sphaericus: Optimization, microstructural properties, and techno-economic analysis for a cleaner production of bio-cementitious mortars. J. Clean. Prod. 2021, 318, 128470. [Google Scholar] [CrossRef]
- Tay, Y.W.D.; Qian, Y.; Tan, M.J. Printability region for 3D concrete printing using slump and slump flow test. Compos. Part B Eng. 2019, 174, 106968. [Google Scholar] [CrossRef]
- Diamond, S.; Sahu, S. Densified silica fume: Particle sizes and dispersion in concrete. Mater. Struct. 2006, 39, 849–859. [Google Scholar] [CrossRef]
- Zhang, Z.; Zhang, B.; Yan, P. Comparative study of effect of raw and densified silica fume in the paste, mortar and concrete. Constr. Build. Mater. 2016, 105, 82–93. [Google Scholar] [CrossRef]
- Tong, T.; Fan, Z.; Liu, Q.; Wang, S.; Tan, S.; Yu, Q. Investigation of the effects of graphene and graphene oxide nanoplatelets on the micro- and macro-properties of cementitious materials. Constr. Build. Mater. 2015, 106, 102–114. [Google Scholar] [CrossRef]
- Algaifi, H.A.; Bakar, S.A.; Alyousef, R.; Sam, A.R.; Alqarni, A.S.; Ibrahim, M.; Shahidan, S.; Ibrahim, M.; Salami, B.A. Machine learning and RSM models for prediction of compressive strength of smart bio-concrete. Smart Struct. Syst. 2021, 28, 535–551. [Google Scholar]
- Othman, R.; Chong, B.W.; Jaya, R.P.; Hasan, M.R.M.; Abdullah, M.M.A.B.; Ibrahim, M.H.W. Evaluation on the rheological and mechanical properties of concrete incorporating eggshell with tire powder. J. Mater. Res. Technol. 2021, 14, 439–451. [Google Scholar] [CrossRef]
- Hammoudi, A.; Moussaceb, K.; Belebchouche, C.; Dahmoune, F. Comparison of artificial neural network (ANN) and response surface methodology (RSM) prediction in compressive strength of recycled concrete aggregates. Constr. Build. Mater. 2019, 209, 425–436. [Google Scholar] [CrossRef]
- Ren, Z.; Liu, Y.; Yuan, L.; Luan, C.; Wang, J.; Cheng, X.; Zhou, Z. Optimizing the content of nano-SiO2, nano-TiO2 and nano-CaCO3 in Portland cement paste by response surface methodology. J. Build. Eng. 2021, 35, 102073. [Google Scholar] [CrossRef]
- Algaifi, H.A.; Mohamed, A.M.; Alsuhaibani, E.; Shahidan, S.; Alrshoudi, F.; Huseien, G.F.; Abu Bakar, S. Optimisation of GBFS, Fly Ash, and Nano-Silica Contents in Alkali-Activated Mortars. Polymers 2021, 13, 2750. [Google Scholar] [CrossRef] [PubMed]
- Salah, H.A.; Mutalib, A.A.; Algaifi, H.A.; Bin Yahya, I.; Yusof, M.A.I.; Sakib, N.; Elsayed, M. Assessment of the Mechanical Properties of High Strength Mortar Incorporating Silica Fume and Graphene Nanoplatelets: Experimental and Mathematical Modeling. Sustainability 2023, 15, 8054. [Google Scholar] [CrossRef]
- Dung, N.T.; Su, M.; Watson, M.; Wang, Y. Effects of using aqueous graphene on behavior and mechanical performance of cement-based composites. Constr. Build. Mater. 2023, 368, 130466. [Google Scholar] [CrossRef]
- Wang, X.; Dong, S.; Ashour, A.; Zhang, W.; Han, B. Effect and mechanisms of nanomaterials on interface between aggregates and cement mortars. Constr. Build. Mater. 2019, 240, 117942. [Google Scholar] [CrossRef]
- Han, B.; Ding, S.; Wang, J.; Ou, J. Nano-Engineered Cementitious Composites: Principles and Practices; Springer: Berlin/Heidelberg, Germany, 2019. [Google Scholar]














| Elements | Mass Percentage % | |
|---|---|---|
| Cement | SF | |
| CaO | 69.79 | 0.26 |
| SiO2 | 15.91 | 96.1 |
| Al2O3 | 3.44 | 0.75 |
| SO3 | 4.33 | 0.18 |
| MgO | 0.99 | 0.4 |
| Fe2O3 | 3.94 | 0.11 |
| Na2O | 0.0771 | 0.26 |
| K2O | 0.92 | 0.83 |
| Mix Code NO. | GNPs (%) | SF (%) | Cement (kg/m3) | Water (kg/m3) | Fine Aggregate (kg/m3) | Superplasticizer 1% (kg/m3) |
|---|---|---|---|---|---|---|
| M1 | 0 | 0 | 916 | 229 | 916 | 9.16 |
| M2 | 0.5 | 0 | 916 | 229 | 916 | 9.16 |
| M3 | 1 | 0 | 916 | 229 | 916 | 9.16 |
| M4 | 1.5 | 0 | 916 | 229 | 916 | 9.16 |
| M5 | 2 | 0 | 916 | 229 | 916 | 9.16 |
| M6 | 0 | 10 | 916 | 229 | 916 | 9.16 |
| M7 | 0.5 | 10 | 916 | 229 | 916 | 9.16 |
| M8 | 1 | 10 | 916 | 229 | 916 | 9.16 |
| M9 | 1.5 | 10 | 916 | 229 | 916 | 9.16 |
| M10 | 2 | 10 | 916 | 229 | 916 | 9.16 |
| M11 | 0 | 20 | 916 | 229 | 916 | 9.16 |
| M12 | 0.5 | 20 | 916 | 229 | 916 | 9.16 |
| M13 | 1 | 20 | 916 | 229 | 916 | 9.16 |
| M14 | 1.5 | 20 | 916 | 229 | 916 | 9.16 |
| M15 | 2 | 20 | 916 | 229 | 916 | 9.16 |
| Independent Variables | Unit | Code | Level (High) | Level (Low) |
|---|---|---|---|---|
| Graphene | % | X1 | 2 | 0.5 |
| Silica Fume | % | X2 | 20 | 0 |
| Curing duration | days | X3 | 28 | 3 |
Disclaimer/Publisher’s Note: The statements, opinions and data contained in all publications are solely those of the individual author(s) and contributor(s) and not of MDPI and/or the editor(s). MDPI and/or the editor(s) disclaim responsibility for any injury to people or property resulting from any ideas, methods, instructions or products referred to in the content. |
© 2023 by the authors. Licensee MDPI, Basel, Switzerland. This article is an open access article distributed under the terms and conditions of the Creative Commons Attribution (CC BY) license (https://creativecommons.org/licenses/by/4.0/).
Share and Cite
Salah, H.A.; Mutalib, A.A.; Kaish, A.B.M.A.; Syamsir, A.; Algaifi, H.A. Development of Ultra-High-Performance Silica Fume-Based Mortar Incorporating Graphene Nanoplatelets for 3-Dimensional Concrete Printing Application. Buildings 2023, 13, 1949. https://doi.org/10.3390/buildings13081949
Salah HA, Mutalib AA, Kaish ABMA, Syamsir A, Algaifi HA. Development of Ultra-High-Performance Silica Fume-Based Mortar Incorporating Graphene Nanoplatelets for 3-Dimensional Concrete Printing Application. Buildings. 2023; 13(8):1949. https://doi.org/10.3390/buildings13081949
Chicago/Turabian StyleSalah, Husam A., Azrul A. Mutalib, A. B. M. A. Kaish, Agusril Syamsir, and Hassan Amer Algaifi. 2023. "Development of Ultra-High-Performance Silica Fume-Based Mortar Incorporating Graphene Nanoplatelets for 3-Dimensional Concrete Printing Application" Buildings 13, no. 8: 1949. https://doi.org/10.3390/buildings13081949
APA StyleSalah, H. A., Mutalib, A. A., Kaish, A. B. M. A., Syamsir, A., & Algaifi, H. A. (2023). Development of Ultra-High-Performance Silica Fume-Based Mortar Incorporating Graphene Nanoplatelets for 3-Dimensional Concrete Printing Application. Buildings, 13(8), 1949. https://doi.org/10.3390/buildings13081949

