Analysis of the Spatial Constraints of Urban Underpass Channels Based on BIM
Abstract
1. Introduction
2. Theory of Spatial Constraint Analyses Theory of Spatial Constraint
2.1. Analysis Spatial Constraint Indicator Analyses
- (1)
- Horizontal and vertical alignment indicators of underpass.
- (2)
- Road construction limits through the underpass.
- (3)
- The bearing and distance relationship between the underpass and the adjacent structure.
- The uneven settlement difference between adjacent piers of existing highway bridges should not be greater than 0.1% of the pier spacing, and the horizontal displacement of the pile top should not be more than 3 mm.
- The maximum settlement of the existing highway subgrade is not more than 20 mm, and it is not more than 10% of the length of the affected highway (i.e., 1.5 times the buried depth of the tunnel).
- The allowable differential settlement amount of socket interface, mechanical cast iron pipe, and flexible joint pipe is not greater than the length of the pipe section/1000.
2.2. Creation of the Underpass Space Constraint Rule Base
3. Calculation Method of Spatial Constraint Indicator
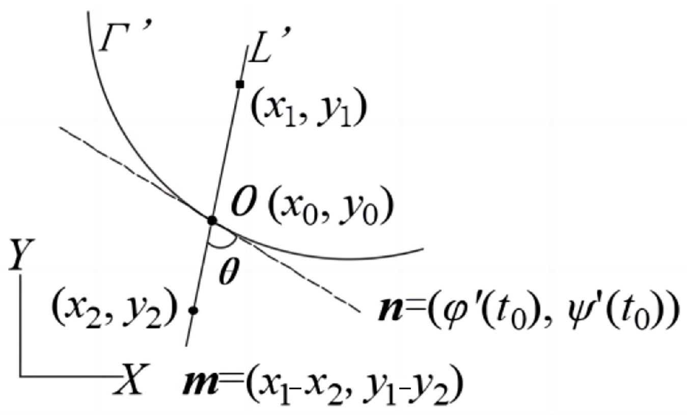
3.1. Horizontal Cross Angle
3.2. Minimum Distance Calculation Method
3.2.1. Minimum Distance Calculation Method for Parallel Components
- Point p is the vertex of the convex polygon P, and point q is the vertex of the convex polygon Q, as shown in Figure 7a.
- Point p is the vertex of the convex polygon P, and point q is on the edge of the convex polygon Q, as shown in Figure 7b.
- Point p is on the side of the convex polygon P, and point q is on the side of the convex polygon Q, as shown in Figure 7c.
- Find the vertex with the largest x coordinate value on the convex polygon P and denote it as point pxmax and the vertex with the smallest x coordinate value on the convex polygon Q, denoted as qxmin.
- Construct two parallel tangents LP and LQ at pxmax and qxmin for the convex polygons P and Q so that their corresponding convex polygons are on their right side. At this point, LP and LQ point differently, and pxmax and qxmin are points p and q, which determine the minimum distance between convex polygons, and their coordinates are p (xp, yp) and q (xq, yq).
- The distance between points pxmax and qxmin is calculated according to , and it is recorded as the minimum value of the convex polygon distance.
- Rotate LP and LQ clockwise simultaneously until one of them coincides with the edge of the convex polygon in which it is located.
- If only one line coincides with the edge, corresponding to the first and second cases, calculate the distance between the point and the point or the point and the edge, compare the result with the current minimum value, and replace it if it is less than the current minimum value. If both tangents coincide with the edge, the distance between the edge and the edge is calculated for the third case. The result is compared to the current minimum, and if less than the current minimum, the calculation result is replaced with the minimum value.
- Repeat steps (4) and (5) until no new minimum value can be found.
- Output the current minimum value as the minimum distance between convex polygons.
3.2.2. Minimum Distance Calculation Method for Spatial Overlapping Members
- (1)
- Triangulation of the surface of the component model.
- First, build a convex closure containing all the vertices in the model, some vertices as the vertices of the convex closure, and the other vertices as discrete points inside the convex closure.
- Then, randomly take out a discrete vertex inside the convex closure, connect the vertex with the convex closure vertex to form a certain number of initial triangles, and distribute other discrete vertices near the initial triangle.
- These vertices are then connected with the 3 vertices of the adjacent initial triangle to form 3 new triangles.
- Then, optimize with LOP, delete the initial triangle, and make the generated triangulated network fit the surface of the model.
- Repeat steps 2–4 to add all vertices of the model surface to the triangulation network to build a Delaunay triangulation network that meets the requirements, as shown in Figure 9.

- (2)
- Determine the area where the space overlaps.
- (3)
- Space triangle distance calculation
- Calculation of the minimum distance corresponding to “vertex-triangle”
- Calculation of the minimum distance corresponding to “edge-edge”
4. Development of Spatial Constraint Analysis System
4.1. BIM Model Parameter Information Extraction
4.2. Development of Spatial Constraint Analysis System for Urban Underpass
4.2.1. Functional Requirements Analysis
- Read the component parameters in the Revit platform
- Input and calculation of spatial constraint indicators
- Data exchange in external databases
- Display and export of calculation results
- Visual display of analysis results
4.2.2. System Module Design
- Database connection
- Verification of horizontal and horizontal indicators
- Cross-angle verification
- Minimum distance verification
5. Instance Verification
5.1. Verification of Fat and Horizontal Design Indicators of the Underpass
5.2. Check the Intersection Angle of the Lower Passage and the Adjacent Structure
5.3. Verification of the Clear Distance between the Underpass and the Adjacent Structure
6. Conclusions
- According to the type of analysis object, the main spatial constraint indicators are divided into the flat and longitudinal linear index of the underpass itself, the road-building limit (cross-sectional composition), the azimuth and distance relationship with the adjacent structure, etc. Through the collection of norms and existing research, the specific indicators and rules of spatial constraints are determined. The framework structure of the database was determined from three aspects, namely database demand analysis, conceptual structure design, and logical structure design, and the creation of the spatial constraint rule base of the urban underpass was completed.
- Combined with the actual situation of the underpass project, the calculation method of the spatial constraint index of the underpass was determined. The topological state between the underpass channel and the adjacent structure is divided into parallel and spatial overlap, and the horizontal intersection angle of the spatially overlapping object is calculated according to the vector method. The parallel components are projected onto the horizontal plane to form two convex polygons, and the minimum distance between the convex polygons is calculated using the rotation jam algorithm. The spatial overlapping components are triangulated to obtain massive spatial triangles, the model is projected to the horizontal plane to determine the spatial overlapping area, and the spatial triangle algorithm is used to calculate the minimum vertical distance of the overlap.
- According to the different geometric expression methods, two BIM object position information acquisition processes are proposed, and the BIM model parameter extraction method is determined. Using the C# programming language and Visual Studio platform, the system operation interface is designed, the Revit API is used to realize the function of the system, the development of the spatial constraint analysis system of the underpass is completed, and the functions of database connection, horizontal design index verification, road building limit verification, horizontal intersection angle and minimum distance verification with neighboring structures, and feasible domain query are realized, and the project is used as a case of verification.
- In the next steps, we will supplement and improve the spatial constraint rule base of other municipal road infrastructure such as U-grooves, upper overpasses, interchanges, etc., and conduct spatial constraint analysis during scheme design so as to promote the application of the system to the entire municipal infrastructure system and enrich the system functions.
Author Contributions
Funding
Data Availability Statement
Conflicts of Interest
References
- Jasim, I.A.; Hasan, H.M.; Farhan, S.L.; Bahat, K.H. Evaluating the urban structure of Al-Kut city according to sustainability. IOP Conf. Ser. Earth Environ. Sci. 2021, 779, 12–21. [Google Scholar] [CrossRef]
- Doležalová, M. Tunnel complex unloaded by a deep excavation. Comput. Geotech. 2001, 28, 469–493. [Google Scholar] [CrossRef]
- Sharma, J.S.; Hefny, A.M.; Zhao, J.; Chan, C.W. Effect of large excavation on deformation of adjacent MRT tunnels. Tunn. Undergr. Space Technol. 2001, 16, 93–98. [Google Scholar] [CrossRef]
- Clemens, K. Building protection for the inner city tunnel excavation for the Metro in Rome/Bauwerksschutz für den innerstädtischen Tunnelbau am Beispiel der Metro in Rom. Geomech. Tunn. 2013, 6, 464–470. [Google Scholar]
- Wang, B.; Zhang, S.; He, C. Research on Reasonable Construction Methods for New Tunnels Crossing under Existing Structures under Bias Pressure Conditions. Railw. Stand. Des. 2010, 12, 70–75. [Google Scholar]
- Li, Y.; Yang, J.; Deng, Z.; Ma, Y. Analysis of Surface Subsidence of Shield Tunnel Passing through Underground Structures. J. Disaster Prev. Mitig. Eng. 2013, 33, 705–711. [Google Scholar]
- Zhou, C.; Zhou, S.; Lin, T.; Liu, H. Study of Surface Settlement Control Caused by Construction with Shallow Tunnel by Excavation in Metro Tunnel. Constr. Technol. 2011, 40, 70–74. [Google Scholar]
- Chen, L.; Shi, P.; Tang, Q.; Liu, W.; Wu, Q. Development and application of a specification-compliant highway tunnel facility management system based on BIM. Tunn. Undergr. Space Technol. 2020, 97, 103262. [Google Scholar] [CrossRef]
- Fabozzi, S.; Biancardo, S.A.; Veropalumbo, R.; Bilotta, E. I-BIM based approach for geotechnical and numerical modelling of a conventional tunnel excavation. Tunn. Undergr. Space Technol. 2021, 108, 103723. [Google Scholar] [CrossRef]
- Hegemann, F.; Stascheit, J.; Maidl, U. As-built documentation of segmental lining rings in the BIM representation of tunnels. Tunn. Undergr. Space Technol. 2020, 106, 103582. [Google Scholar] [CrossRef]
- Sampaio Alcinia, Z.; Edgar, B. Collaborative BIM environment as a support to conflict analysis in building design. In Proceedings of the 2017 4th Experiment International Conference (exp.at’17), Faro, Portugal, 6–8 June 2017; pp. 77–82. [Google Scholar]
- Providakis, S.; Rogers, C.D.; Chapman, D.N. Predictions of settlement risk induced by tunnelling using BIM and 3D visualization tools. Tunn. Undergr. Space Technol. 2019, 92, 103049. [Google Scholar] [CrossRef]
- Ahmed, S.I.; Islam, M.A.; Hasan, M. Cutting a Cornered Convex Polygon out of a Circle. J. Comput. 2010, 5, 4. [Google Scholar] [CrossRef]
- Benz, U.C.; Hofmann, P.; Willhauck, G.; Lingenfelder, I.; Heynen, M. Multi-resolution, object-oriented fuzzy analysis of remote sensing data for GIS-ready information. ISPRS J. Photogramm. Remote Sens. 2004, 58, 239–258. [Google Scholar] [CrossRef]
- Hu, J. Research and Application of Collision Detection for Virtual Simulation; Zhejiang University: Hangzhou, China, 2019. [Google Scholar]
- Csaba, D.T.; Joseph, O.; Jacob, E.G. Handbook of Discrete and Computational Geometry; CRC Press: Boca Raton, FL, USA, 2017. [Google Scholar]
- Zhao, X.; Tang, S.; Liu, M.; Zhu, Q. Semantics-Constrained Conversion Approach of RVT Model to CityGML Model. J. Spatiotemporal Inf. 2015, 22, 15–20. [Google Scholar]
- Chasapi, M.; Klinkel, S. Geometrically nonlinear analysis of solids using an isogeometric formulation in boundary representation. Comput. Mech. 2020, 65, 355–373. [Google Scholar] [CrossRef]

























| Order Number | Analytic Target | Space Constraint Type | Specific Indicators |
|---|---|---|---|
| 1 | Tunnel space location | Flat longitudinal linear index | Minimum radius of circular curve, minimum length of flat curve, minimum length of circular curve, minimum length of moderate curve, maximum ultra-high transverse slope, parking visual distance, maximum longitudinal slope of motor vehicle road, minimum slope length, maximum slope length, minimum radius of vertical curve, minimum length of vertical curve, and synthetic slope |
| 2 | Tunnel cross-section and composition | tunnel construction clearance | Road width of roadway, overhaul lane width, lateral clear width, minimum net height of motor vehicle roadway, width of top Angle |
| 3 | Tunnel with adjacent structures | The orientation and distance relationship of the two objects | The minimum horizontal distance between parallel structures, the horizontal crossing angle between crossing structures, and the minimum vertical distance guarantee the minimum distance where the deformation is less than the allowable value |
| Order Number | Access to the Way | Suitable Object | Specific Methods |
|---|---|---|---|
| 1 | Revit.Location | Point-based family instance (common boundary representation creation) | pass through lp. Point To obtain the positional coordinates of the insertion point, lp. Rotation The rotation angle around the insertion point of this instance is obtained. The value is radian, with counterclockwise rotation to positive |
| 2 | Line-based Family Instance (common scan entity method creation) | pass through lc. Curve You can return to the baseline (line or arc) to obtain specific location information such as the starting and end coordinates | |
| 3 | Element.Geometry | Complex objects (created by common structural solid geometry) | Was this with Element. Geometry To obtain the geometric information of the actual body (points, lines, planes and other coordinates) to calculate its spatial position information |
Disclaimer/Publisher’s Note: The statements, opinions and data contained in all publications are solely those of the individual author(s) and contributor(s) and not of MDPI and/or the editor(s). MDPI and/or the editor(s) disclaim responsibility for any injury to people or property resulting from any ideas, methods, instructions or products referred to in the content. |
© 2024 by the authors. Licensee MDPI, Basel, Switzerland. This article is an open access article distributed under the terms and conditions of the Creative Commons Attribution (CC BY) license (https://creativecommons.org/licenses/by/4.0/).
Share and Cite
Wang, A.; Li, W.; Liu, K.; Jia, X.; Guo, J.; Wang, K. Analysis of the Spatial Constraints of Urban Underpass Channels Based on BIM. Buildings 2024, 14, 3350. https://doi.org/10.3390/buildings14113350
Wang A, Li W, Liu K, Jia X, Guo J, Wang K. Analysis of the Spatial Constraints of Urban Underpass Channels Based on BIM. Buildings. 2024; 14(11):3350. https://doi.org/10.3390/buildings14113350
Chicago/Turabian StyleWang, Anmeng, Wei Li, Kai Liu, Xingli Jia, Junheng Guo, and Kangjie Wang. 2024. "Analysis of the Spatial Constraints of Urban Underpass Channels Based on BIM" Buildings 14, no. 11: 3350. https://doi.org/10.3390/buildings14113350
APA StyleWang, A., Li, W., Liu, K., Jia, X., Guo, J., & Wang, K. (2024). Analysis of the Spatial Constraints of Urban Underpass Channels Based on BIM. Buildings, 14(11), 3350. https://doi.org/10.3390/buildings14113350
