Shear Elastic Buckling and Resistant Behavior of Single-Side-Stiffened Steel Corrugated Shear Walls
Abstract
1. Introduction
2. Background on SSCSWs
2.1. Structural Introduction of SSCSWs
2.2. Buckling Modes of SSCSWs
- (1)
- Each corrugation on the corrugated plate can be understood as a narrow plate with a height equal to the length of the corrugation and a width equal to the width of the corrugated plate. When the width-to-thickness ratio of the corrugated plate is too large, local buckling will occur within the narrow plate. In the local buckling mode, the corrugated plate has low material utilization and poor bearing capacity.
- (2)
- The vertical stiffeners produce a large out-of-plane deflection when the restraining effect of the vertical stiffeners is weak. The out-of-plane buckling wave of the corrugated plate spans across the vertical stiffeners, exhibiting an overall buckling mode of the entire plate.
- (3)
- When the restraining effect of the vertical stiffeners is sufficient, the out-of-plane buckling wave of the corrugated steel plate will be separated by the stiffeners within two sub-panels, exhibiting a sub-panel buckling mode.
2.3. Stiffness of Corrugated Plates
2.4. Shear Elastic Buckling Load on SCSWs
2.5. Equivalent Stiffness and Stiffness Ratio of the Stiffening System
3. Establishment of the FE Model
3.1. Details of the FE Model
3.2. Validation of the FE Model
4. Shear Elastic Buckling Analysis
4.1. Equivalent Stiffness of Single-Side Stiffener for Elastic Buckling Analysis
4.2. Elastic Transition Stiffness Ratio η0,e of Single-Side Stiffener
4.3. Shear Elastic Buckling Mode
5. Elastoplastic Shear-Resistant Analysis
5.1. Equivalent Stiffness of Single-Side Stiffener for Elastoplastic Shear-Resistant Analysis
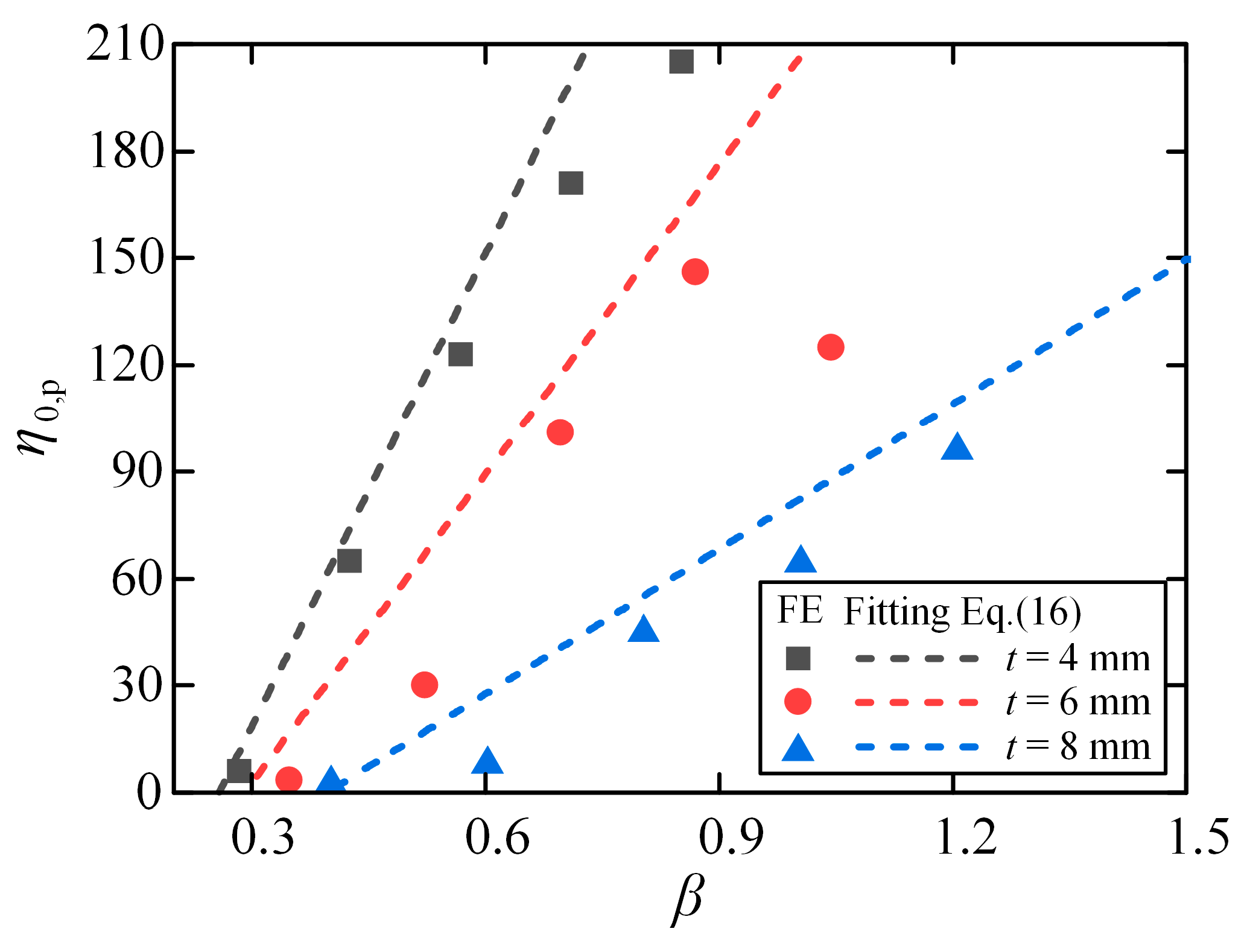
5.2. Elastoplastic Transition Stiffness Ratio of Single-Side Stiffener
5.3. Shear Resistance Design of Single-Side-Stiffened SCSW
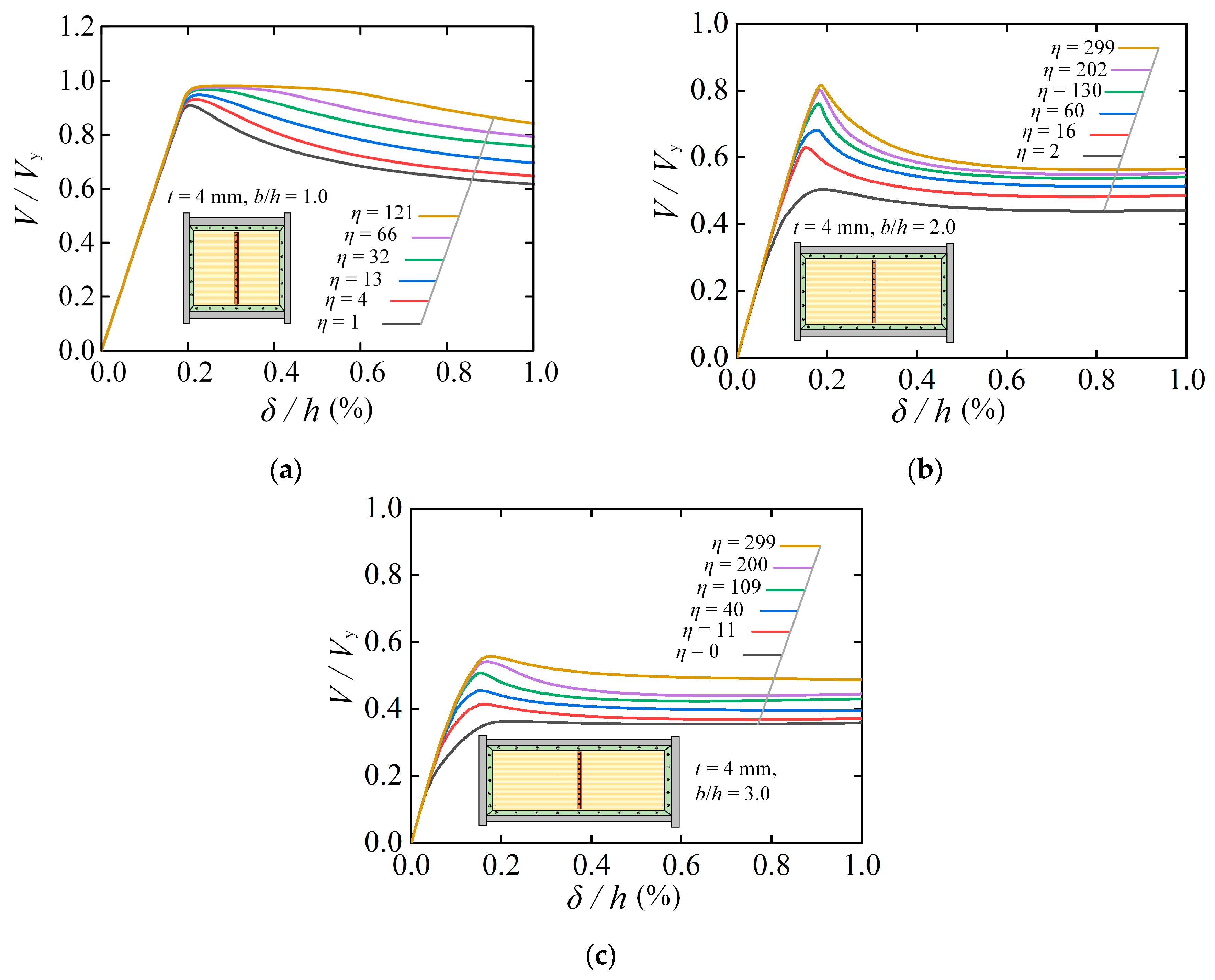
5.4. Shear-Resistant Behavior of SSCSWs
- (1)
- An increase in the size of the stiffeners effectively improved the ultimate load Vu, and the improvement was significant when the aspect ratio of the plate was high. For instance, when comparing Vu for the same 6 mm plate as the stiffener size varied from minimum to maximum, Vu increased by 2.4% when the aspect ratio was 1, whereas Vu increased by 18% when the aspect ratio reached 3. This indicated that buckling was severe at a higher aspect ratio, and in such cases, installing stronger stiffeners was recommended.
- (2)
- The increase in the aspect ratio of the plate could enhance the ultimate load Vu. However, for the SS-SCSWs with small thickness and large width, the increase in width did not significantly improve Vu due to their proneness to buckling. For a 4 mm thick plate, the average Vu increased by 40% when the aspect ratio was increased from 1 to 2, whereas the average increase in Vu was only 5.6% when the aspect ratio was increased from 2 to 3.
- (3)
- The increase in plate thickness significantly enhanced the flexural stiffness of the SS-SCSWs, reflected by a marked increase in Vu. For instance, in plates with an aspect ratio of 2, when the plate thickness was increased from 4 mm to 6 mm and from 6 mm to 8 mm, Vu increased on average by 65% and 43%, respectively.
6. Conclusions
- (1)
- A stiffener arranged on the corrugated plate could well restrain the out-of-plane displacement, improve shear-resistance capacity, and enhance the ductility of SS-SCSWs. An equivalent method of stiffener stiffness for the shear resistance of SS-SCSWs was proposed. FE analyses were carried out to prove that the theory of BS-SCSW could accurately predict the shear elastic behavior of SS-SCSWs after modifying its expression for flexural stiffness.
- (2)
- In the shear elastic buckling analyses, the elastic equivalent flexural stiffness EIe with a coefficient of 0.45 in SS-SCSWs was proposed. It was proved to have high accuracy based on FE results. Similar elastic buckling modes and the same elastic transition stiffness ratio η0,e of 100 were obtained in SS-SCSWs and in BS-SCSWs.
- (3)
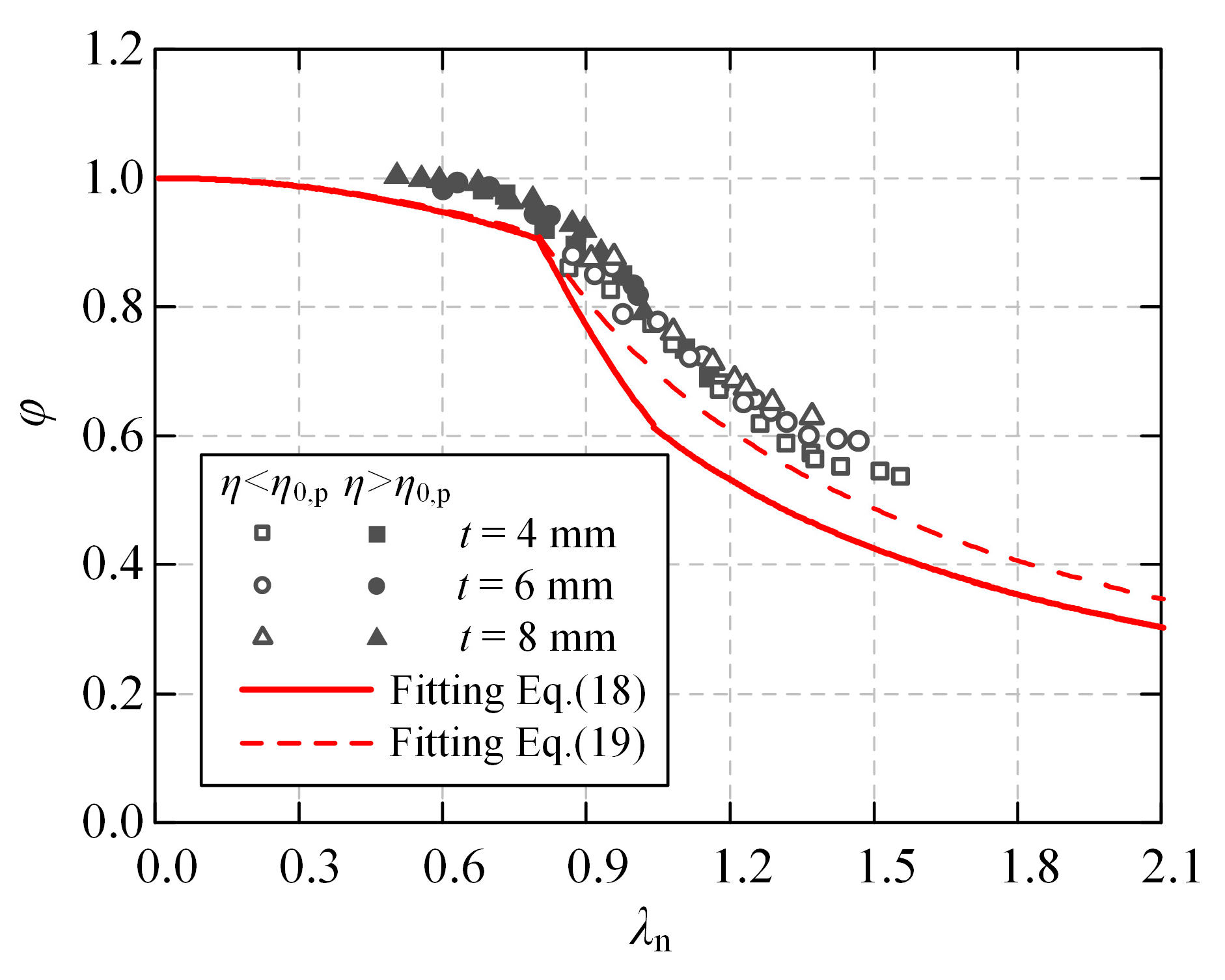
- In the elastoplastic shear resistance analyses, the elastoplastic equivalent flexural stiffness EIp with a coefficient of 0.7 was proposed of SS-SCSWs. The same fitting formulas of the elastoplastic transition stiffness ratios η0,p and the reduction factor φ could be utilized for SS-SCSWs and BS-SCSWs. The shear elastoplastic buckling modes were also similar compared to BS-SCSWs, further confirming the rationality of the equivalent method.
- (4)
- A parametric study was performed on the shear-resistant behavior of SSCSWs. The ultimate bearing capacity of the SS-SCSWs could be enhanced with an increase in stiffener size, aspect ratio, and plate thickness, while an interval arrangement of bolts would hardly weaken the bearing capacity.
- (5)
- This work focused on an equivalent method for the bending stiffness of single-side stiffeners, and subsequent work could further consider the torsional impact of stiffeners on SS-SCSWs. Moreover, a further exploration of the connection forms between stiffeners and corrugated plates could be undertaken.
Author Contributions
Funding
Data Availability Statement
Conflicts of Interest
References
- Roberts, T.M. Seismic resistance of steel plate shear walls. Eng. Struct. 1995, 17, 344–351. [Google Scholar] [CrossRef]
- Guan, J.; Wang, L.; Huang, Y.; Ma, G.; Tao, Y. Evaluation of the performance of reinforced concrete beams with 3d-printed permanent formwork. J. Intell. Constr. 2024, 2, 9180030. [Google Scholar] [CrossRef]
- Yu, C.; Tong, J.; Zhang, J.; Tong, G.; Chen, M.; Xu, S.; Gao, W. Axial compressive behavior of multi-celled corrugated-plate cfst walls : Tests and numerical simulations. Eng. Struct. 2025, 322, 119033. [Google Scholar] [CrossRef]
- Tong, J.; Zhang, J.; Yu, C.; Tong, G.; Li, Q.; Xu, S. Seismic experiments and shear resistance prediction of multi-celled corrugated-plate cfst walls. Earthq. Eng. Struct. Dyn. 2024, 53, 1681–1704. [Google Scholar] [CrossRef]
- Chen, Y.; Tong, J.; Li, Q.; Xu, S.; Shen, L. Application of high-performance cementitious composites in steel–concrete composite bridge deck systems: A review. J. Intell. Constr. 2024, 2, 9180012. [Google Scholar] [CrossRef]
- Yu, C.; Tong, J.; Zhou, S.; Zhang, J.; Shen, J.; Zhang, L.; Tong, G.; Li, Q.; Xu, S. State-of-the-art review on steel-concrete composite walls. Sustain. Struct. 2024, 4, 35. [Google Scholar] [CrossRef]
- Berman, J.W.; Bruneau, M. Experimental investigation of light-gauge steel plate shear walls. J. Struct. Eng. 2005, 131, 259–267. [Google Scholar] [CrossRef]
- Berman, J.W.; Celik, O.C.; Bruneau, M. Comparing hysteretic behavior of light-gauge, steel plate shear walls and braced frames. Eng. Struct. 2005, 27, 475–485. [Google Scholar] [CrossRef]
- Wang, L.; Teng, D.; Jin, R.; Guo, X.; Meng, X.; Liu, G.; Luo, X.; Sun, C.; Su, Z. The development of prefabricated buildings and intelligent construction based on digital twin. J. Intell. Constr. 2024. [Google Scholar] [CrossRef]
- Zhang, X.; Guo, Y. Behavior of steel plate shear walls with pre-compression adjacent frame columns. Thin-Walled Struct. 2014, 77, 17–25. [Google Scholar] [CrossRef]
- Gorji, M.S.; Cheng, J.J.R. Seismic behavior of coupled steel plate shear walls with simple boundary frame connections. Earthq. Eng. Struct. Dyn. 2019, 48, 507–527. [Google Scholar] [CrossRef]
- Yu, Y.; Ma, X.; Zhang, A.; Wang, Z. Research summary on seismic performance of prefabricated steel plate shear wall structure. Build. Struct. 2021, 51, 16–24. [Google Scholar]
- Dou, C.; Ru, Y.; Jiang, Z.; Wang, Y. Lateral resistant behavior of grid-reinforced steel corrugated shear walls. J. Struct. Eng. 2024, 150, 4024047. [Google Scholar] [CrossRef]
- Dou, C.; Xie, C.; Wang, Y.; Yang, N. Cyclic loading test and lateral resistant behavior of flat-corrugated steel plate shear walls. J. Build. Eng. 2023, 66, 105831. [Google Scholar] [CrossRef]
- Xie, C.; Dou, C.; Ru, Y. Cyclic test and lateral resistant design of corrugated plate shear walls. Structures 2023, 49, 748–764. [Google Scholar] [CrossRef]
- Qiu, J.; Zhao, Q.; Wang, Z.; Yu, C. Lateral behavior of trapezoidally corrugated wall plates in steel plate shear walls, part 1: Elastic buckling. Thin-Walled Struct. 2022, 174, 109104. [Google Scholar] [CrossRef]
- Qiu, J.; Zhao, Q.; Yu, C.; Wang, Z. Lateral behavior of trapezoidally corrugated wall plates in steel plate shear walls, part 2: Shear strength and post-peak behavior. Thin-Walled Struct. 2022, 174, 109103. [Google Scholar] [CrossRef]
- Wang, W.; Ding, X.; Su, S.; Liang, Y.; Huang, Y. Quasi-static test and numerical simulation of corrugated steel plate shear wall. Chin. J. Appl. Mech. 2021, 38, 1782–1791. [Google Scholar]
- Zheng, L.; Wang, W.; Ge, H.; Guo, H.; Gao, Y.; Han, Y. Seismic performance of steel corrugated plate structural walls with different corrugation inclinations. J. Constr. Steel Res. 2022, 192, 107248. [Google Scholar] [CrossRef]
- Zhao, Z.; Liu, J.; Zhao, B.; Jin, Z.; Jian, X.; Zhang, N. Shear capacity of corrugated steel plates with a random corrosion damage. Thin-Walled Struct. 2023, 193, 111264. [Google Scholar] [CrossRef]
- Tong, J.; Wang, L.; Wu, R.; Hou, J.; Li, Q.; Xu, S. Cyclic test and analysis of uhtcc-enhanced buckling-restrained steel plate shear walls. Earthq. Eng. Struct. Dyn. 2024, 53, 4006–4031. [Google Scholar] [CrossRef]
- Jiang, Z.; Niu, Z.; Zhang, A.; Liu, X. Design method of axial compression stability for cross-section corrugated plate steel special-shaped column. Thin-Walled Struct. 2024, 194, 111243. [Google Scholar] [CrossRef]
- Wang, W.; Wang, J.; Guo, L. Mechanical behavior analysis of lem-infilled cold-formed steel walls. Sustain. Struct. 2022, 2, 13. [Google Scholar] [CrossRef]
- Tong, J.; Chen, Y.; Li, Q.; Dai, J.; Wang, G.; Shen, J.; Gao, W.; Xu, S. Flexural performance and crack width prediction of steel-uhtcc composite bridge decks with wet joints. Eng. Struct. 2025, 323, 119264. [Google Scholar] [CrossRef]
- Hosseinzadeh, L.; Kontoni, D.N.; Babaei, B. Investigation of the behavior of steel plate shear walls considering double corrugated low-yield-point steel infill plate. Int. J. Civ. Eng. 2023, 21, 1631–1642. [Google Scholar] [CrossRef]
- Zhao, Q.; Qiu, J.; Li, Y.; Yu, C. Lateral behavior and pfi model of sinusoidal corrugated steel plate shear walls. J. Constr. Steel Res. 2023, 203, 107812. [Google Scholar] [CrossRef]
- Tong, J.; Guo, Y. Elastic buckling behavior of steel trapezoidal corrugated shear walls with vertical stiffeners. Thin-Walled Struct. 2015, 95, 31–39. [Google Scholar] [CrossRef]
- Feng, L.; Sun, T.; Ou, J. Elastic buckling analysis of steel-strip-stiffened trapezoidal corrugated steel plate shear walls. J. Constr. Steel Res. 2021, 184, 106833. [Google Scholar] [CrossRef]
- Tong, J.; Guo, Y. Shear resistance of stiffened steel corrugated shear walls. Thin-Walled Struct. 2018, 127, 76–89. [Google Scholar] [CrossRef]
- Feng, L.; Sun, T.; Ou, J. Method of determining the minimum number of stiffeners for stiffened corrugated steel walls. Structures 2021, 34, 3487–3500. [Google Scholar] [CrossRef]
- Tong, J.; Wu, R.; Wang, L. Experimental and numerical investigations on seismic behavior of stiffened corrugated steel plate shear walls. Earthq. Eng. Struct. Dyn. 2023, 52, 3551–3574. [Google Scholar] [CrossRef]
- Wu, R.; Yu, C.; Wang, L.; Tong, J. Shear elastic buckling of corrugated steel plate shear walls with stiffeners considering torsional rigidity. Thin-Walled Struct. 2025, 206, 112646. [Google Scholar] [CrossRef]
- Easley, J.T. Buckling formulas for corrugated metal shear diaphragms. J. Struct. Div. -Asce 1975, 101, 1403–1417. [Google Scholar] [CrossRef]
- Easley, J.T.; Mcfarland, D.E. Buckling of light-gage corrugated metal shear diaphragms. J. Struct. Div. 1969, 95, 1497–1516. [Google Scholar] [CrossRef]
- Guo, T.; Sause, R. Analysis of local elastic shear buckling of trapezoidal corrugated steel webs. J. Constr. Steel Res. 2014, 102, 59–71. [Google Scholar] [CrossRef]
- Dou, C.; Jiang, Z.; Pi, Y.; Guo, Y. Elastic shear buckling of sinusoidally corrugated steel plate shear wall. Eng. Struct. 2016, 121, 136–146. [Google Scholar] [CrossRef]
- Hosseinzadeh, L.; Mofid, M.; Aziminejad, A.; Emami, F. Elastic interactive buckling strength of corrugated steel shear wall under pure shear force. Struct. Des. Tall Spec. Build. 2017, 26, e1357. [Google Scholar] [CrossRef]




















| Vu/kN | b/h = 1.0 | b/h = 2.0 | b/h = 3.0 | ||||||
|---|---|---|---|---|---|---|---|---|---|
| Stiffener Size (mm) | t = 4 mm | t = 6 mm | t = 8 mm | t = 4 mm | t = 6 mm | t = 8 mm | t = 4 mm | t = 6 mm | t = 8 mm |
| 40 × 40 × 4 | 1104.4 | 1664.9 | 2232.0 | 1415.0 | 2312.1 | 3321.6 | 1466.9 | 2553.3 | 3977.8 |
| 60 × 60 × 6 | 1119.8 | 1684.8 | 2254.2 | 1551.3 | 2565.0 | 3697.3 | 1655.9 | 2779.4 | 4274.6 |
| 80 × 80 × 8 | 1129.8 | 1705.1 | 2282.2 | 1729.4 | 2874.6 | 4010.8 | 1839.5 | 3006.4 | 4588.1 |
Disclaimer/Publisher’s Note: The statements, opinions and data contained in all publications are solely those of the individual author(s) and contributor(s) and not of MDPI and/or the editor(s). MDPI and/or the editor(s) disclaim responsibility for any injury to people or property resulting from any ideas, methods, instructions or products referred to in the content. |
© 2024 by the authors. Licensee MDPI, Basel, Switzerland. This article is an open access article distributed under the terms and conditions of the Creative Commons Attribution (CC BY) license (https://creativecommons.org/licenses/by/4.0/).
Share and Cite
Zhang, R.-Z.; Wu, R.-M.; Wang, L.-Q.; Fu, P.-P.; Tong, J.-Z. Shear Elastic Buckling and Resistant Behavior of Single-Side-Stiffened Steel Corrugated Shear Walls. Buildings 2024, 14, 3925. https://doi.org/10.3390/buildings14123925
Zhang R-Z, Wu R-M, Wang L-Q, Fu P-P, Tong J-Z. Shear Elastic Buckling and Resistant Behavior of Single-Side-Stiffened Steel Corrugated Shear Walls. Buildings. 2024; 14(12):3925. https://doi.org/10.3390/buildings14123925
Chicago/Turabian StyleZhang, Rui-Ze, Ruo-Min Wu, Ling-Qi Wang, Peng-Peng Fu, and Jing-Zhong Tong. 2024. "Shear Elastic Buckling and Resistant Behavior of Single-Side-Stiffened Steel Corrugated Shear Walls" Buildings 14, no. 12: 3925. https://doi.org/10.3390/buildings14123925
APA StyleZhang, R.-Z., Wu, R.-M., Wang, L.-Q., Fu, P.-P., & Tong, J.-Z. (2024). Shear Elastic Buckling and Resistant Behavior of Single-Side-Stiffened Steel Corrugated Shear Walls. Buildings, 14(12), 3925. https://doi.org/10.3390/buildings14123925

