Cultivating Sustainable Construction: Stakeholder Insights Driving Circular Economy Innovation for Inclusive Resource Equity
Abstract
1. Introduction
2. Materials and Methods
2.1. CircularB COST Action CA21103 and Its Series of Workshops and Activities
2.2. Survey Instruments and Data Collection Methods
2.2.1. Online Survey for Opinion Collection on the Cost-Benefit Aspects of CE Practices
2.2.2. Semi-Guided In-Person Survey for CE Strategies’ Importance/Adoption Assessment
- Section 1 contained questions on the socio-demographic parameters of the population under study, such as experience, gender, education, and occupation.
- Section 2 listed nineteen implementation strategies and asked participants to rate their importance on a 5-point Likert scale ranging from 1—Not important at all, 2—Slightly important, 3—Neutral, 4—Important, and 5—Extremely important.
2.2.3. Round Table Discussions Using the Six Thinking Hats® Method
- (MQ1) Sector of belonging;
- (MQ2) Local policies and regulations on CE and the built environment;
- (MQ3) In your opinion, who should lead and promote the CE objectives?
- (MQ4) What initiatives related to this topic are being implemented in your city or country?—Open discussions with the Six Thinking Hats® activity;
- (MQ5) Opportunities, gaps, and barriers of the initiatives;
- (MQ6) Propose indicators—that is, new or existing ones;
- (MQ7) Conclusions and future steps.
- Selection of questions: The survey questions were meticulously selected to acquire comprehensive data on the CE aspects of construction and demolition waste (CDW). These questions were designed to investigate prevailing policies, initiatives in different countries, KPIs, perceptions of the adoption process, and next steps needed to achieve CE objectives in the urban built environment.
- Mentimeter survey integration: Mentimeter served as an interactive polling and presentation tool to guide the discussion, ensure participation, and gather real-time responses. This technology facilitated active participant engagement and provided immediate feedback to ensure an engaging and dynamic discourse.
- Six Thinking Hats®: This methodology [16,17] was adopted to structure the discussion and promote diverse viewpoints. By assigning different “hats” to participants, they were encouraged to consider each question from six distinct perspectives: information, emotions, benefits, risks, positive judgments, creative possibilities, and a synthesis of ideas. This approach allowed for a comprehensive exploration of the responses and promoted a holistic understanding of the subject.
- Discussion structure: The discussion was organised around three of the seven carefully curated questions, with each question serving as a focal point for discussion. The central enquiries were crafted to gather valuable insights on ongoing initiatives (MQ4), opportunities and barriers (MQ5), and key indicators (MQ6) related to the study of CE principles within the CDW sector. Following the online collection of responses (on screen), the most highly rated or most popular responses given by the participants were selected and discussed. This methodological approach required each participant to “put on” a specific “thinking hat” that best resonated with their viewpoint before sharing their insights.
- Data analysis: The responses obtained through Mentimeter were analysed to gain valuable insights and patterns. The Six Thinking Hats® approach also assisted in identifying nuances and contradictions in the data and enabled a deeper understanding of the complex issues around CDW aspects in the context of CE.
2.3. AI-Powered NLP
3. Results and Discussion
3.1. Stakeholders’ Opinions for Cost–Benefit Analysis Using NLP—Online Survey
3.1.1. Topic Modelling
- Topic 0—Barriers—The scope of this topic delves into the examination of ‘barriers’, encompassing the study of difficulties that impede progress towards the realisation of CE. The findings underscore the recognition by stakeholders of the challenges that arise when transitioning from a linear to a circular model. It is critical to acknowledge that these barriers are merely associated with ‘systems’ concerns—stakeholders have a prime concern regarding systemic barriers rather than operational and behavioural ones. The significance of the systemic perspective in CE development (and barriers analysis) can also be found in other academic work [23,24].
- Topic 1—Product—Effective alignment with sustainability goals in product design can be achieved by simplifying the disassembly process, employing standardised and interchangeable parts, and maintaining more consistent material streams [25]. Circular product design adopts a holistic approach, emphasising the preservation of product quality and functionality, progressing adaptive reuse, and developing innovative circular business strategies distinct from conventional linear frameworks [26]. The frequency bar chart underscores the significance of circular product design, considering aspects, such as ‘packaging’ and ‘plastic’ materials.
- Topic 2—Packaging—The word frequency plot visualises the significance of the packaging process for the development of circularity in the building sector. Consequently, the packaging process can be reconsidered to make it less waste-producing, for example, by incorporating biodegradable packaging [27]. Other scientific works also argue the importance of innovative packaging that contributes to CE development [28,29].
- Topic 3—Production—The frequency chart for Topic 3 shows stakeholders’ concerns about the surplus and overhaul of production, which needs to become more efficient within the framework of CE in the construction industry. Sustainable production (and consumption), as a methodology of practices diminishing waste through improved product design and the promotion of material reuse and recycling, is critical to CE, as highlighted in other studies [30,31,32].
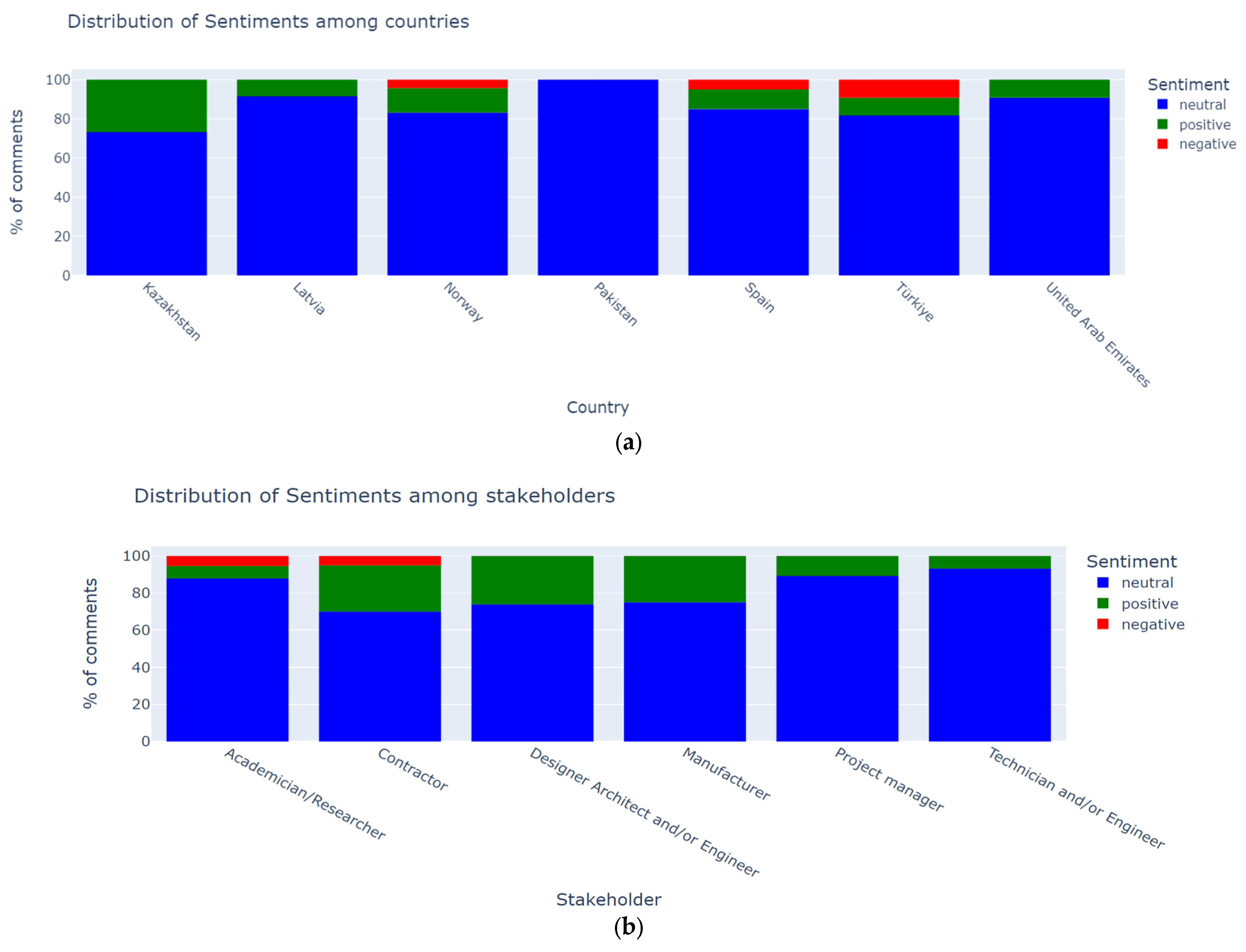
3.1.2. Sentiment Analysis for Countries
3.1.3. Sentiment Analysis for Stakeholders
3.2. Implementation Strategies for CE across Construction Life Cycle Stages: Importance and Adoption Analysis—Semi-Guided In-Person Survey
3.2.1. Respondents’ Profile
3.2.2. Stakeholders’ Opinions on CE Implication for Life Cycle Stages
3.2.3. Stakeholders’ Opinions on CE Implication Strategies
3.2.4. Stakeholders’ Opinions Based on Their Countries
3.3. Results of the Critical and Creative Thinking Round Table Discussion Using the Six Thinking Hats® Technique and the Online Mentimeter Tool
- MQ1: Sector of belonging
- MQ2: Local policies and regulations on CE and the built environment
- MQ3: Leading and promoting CE objectives
- MQ4: Implementing initiatives in European cities
- MQ5: Opportunities, gaps, and barriers of European and Spanish local initiatives
- MQ6: Proposing new circularity indicators and/or highlighting key existing ones
- Waste production rate;
- Society involved (%);
- Reused content of materials (%, re-utilisation);
- Reused components (%);
- Reuse of elements—from demolition;
- CDW ratio as tonnes produced vs. recycled;
- Recycled content, as the minimum recycled content in new products;
- Secondary materials, as the level of using them and % of use;
- CDW as disposal volume;
- Product utility;
- Policy adoption;
- Carbon net zero buildings (%);
- Planning of and for deconstruction;
- Recycled aggregate used in public construction.
- MQ7: Conclusions and future steps
4. Discussion and Conclusions
- While stakeholders acknowledged the importance of integrating CE strategies, gaps emerged in adoption at the end-of-life and planning and design stages, requiring multi-dimensional support.
- Obstacles to CE implementation include a lack of supportive legislation, high implementation costs, and an absence of clear guidelines and tools.
- Recommendations include increased engagement of policymakers, the adoption of digital tools, illustrative case studies, heightened awareness, and the establishment of standards and incentives.
- Further research is needed to broaden stakeholder representation, refine ranking methodologies, and develop multi-criteria models to evaluate building circularity performance.
- Circular practices encompass technical and process factors necessitating a systemic view and close collaboration between stakeholders.
- The recommendations also extend to augmenting sentiment analysis studies of CE-related terms in diverse contexts for a more comprehensive understanding.
Supplementary Materials
Author Contributions
Funding
Data Availability Statement
Conflicts of Interest
References
- Fathalizadeh, A.; Hosseini, M.R.; Silvius, A.J.G.; Rahimian, A.; Martek, I.; Edwards, D.J. Barriers impeding sustainable project management: A Social Network Analysis of the Iranian construction sector. J. Clean. Prod. 2021, 318, 128405. [Google Scholar] [CrossRef]
- Mollaei, A.; Byers, B.; Christovan, C.; Olumo, A.; De Wolf, C.; Bachmann, C.; Haas, C. A global perspective on building material recovery incorporating the impact of regional factors. J. Clean. Prod. 2023, 429, 139525. [Google Scholar] [CrossRef]
- Zutshi, A.; Creed, A. An international review of environmental initiatives in the construction sector. J. Clean. Prod. 2015, 98, 92–106. [Google Scholar] [CrossRef]
- Fu, C.; Liu, Y.; Shan, M. Drivers of low-carbon practices in green supply chain management in construction industry: An empirical study in China. J. Clean. Prod. 2023, 428, 139497. [Google Scholar] [CrossRef]
- Opoku, A.; Deng, J.; Elmualim, A.; Ekung, S.; Hussien, A.A.; Abdalla, S.B. Sustainable procurement in construction and the realisation of the sustainable development goal (SDG) 12. J. Clean. Prod. 2022, 376, 134294. [Google Scholar] [CrossRef]
- Guo, L.; Cao, Y.; Qu, Y.; Tseng, M.L. Developing sustainable business model innovation through stakeholder management and dynamic capability: A longitudinal case study. J. Clean. Prod. 2022, 372, 133626. [Google Scholar] [CrossRef]
- Fobbe, L.; Hilletofth, P. The role of stakeholder interaction in sustainable business models. A systematic literature review. J. Clean. Prod. 2021, 327, 129510. [Google Scholar] [CrossRef]
- Durdyev, S.; Koc, K.; Tleuken, A.; Budayan, C.; Ekmekcioğlu, Ö.; Karaca, F. Barriers to circular economy implementation in the construction industry: Causal assessment model. Environ. Dev. Sustain. 2023, 1–37. [Google Scholar] [CrossRef]
- Wuni, I.Y. Mapping the barriers to circular economy adoption in the construction industry: A systematic review, Pareto analysis, and mitigation strategy map. Build. Environ. 2022, 223, 109453. [Google Scholar] [CrossRef]
- Hart, J.; Adams, K.; Giesekam, J.; Densley Tingley, D.; Pomponi, F. Barriers and drivers in a circular economy: The case of the built environment. Procedia CIRP 2019, 80, 619–624. [Google Scholar] [CrossRef]
- Guerra, B.C.; Leite, F. Circular economy in the construction industry: An overview of United States stakeholders’ awareness, major challenges, and enablers. Resour. Conserv. Recycl. 2021, 170, 105617. [Google Scholar] [CrossRef]
- Munaro, M.R.; Tavares, S.F. A review on barriers, drivers, and stakeholders towards the circular economy: The construction sector perspective. Clean. Responsible Consum. 2023, 8, 100107. [Google Scholar] [CrossRef]
- Giorgi, S.; Lavagna, M.; Wang, K.; Osmani, M.; Liu, G.; Campioli, A. Drivers and barriers towards circular economy in the building sector: Stakeholder interviews and analysis of five European countries policies and practices. J. Clean. Prod. 2022, 336, 130395. [Google Scholar] [CrossRef]
- Erdogan, B.; Anumba, C.J.; Bouchlaghem, D.; Nielsen, Y. Collaboration Environments for Construction: Implementation Case Studies. J. Manag. Eng. 2008, 24, 234. [Google Scholar] [CrossRef]
- Chen, D.; Liu, F.; Hu, Y.; Du, X.; Bai, Y.; Ren, Z.; Lan, L.; Yu, M. Service design from the perspective of “six thinking hats”: A comparison of storytelling strategies of experts and novices. Think. Ski. Creat. 2023, 47, 101219. [Google Scholar] [CrossRef]
- Göçmen, Ö.; Coşkun, H. The effects of the six thinking hats and speed on creativity in brainstorming. Think. Ski. Creat. 2019, 31, 284–295. [Google Scholar] [CrossRef]
- De Bono, E. Six Thinking Hats; Little, Brown and Company: Cambridge, UK, 1956. [Google Scholar]
- Grootendorst, M. BERTopic: Neural topic modelling with a class-based TF-IDF procedure. arXiv 2022, arXiv:2203.05794. [Google Scholar]
- Wang, W.; Wei, F.; Dong, L.; Bao, H.; Yang, N.; Zhou, M. MiniLM: Deep Self-Attention Distillation for Task-Agnostic Compression of Pre-Trained Transformers. arXiv 2020, arXiv:2002.10957. [Google Scholar]
- McInnes, L.; Healy, J.; Melville, J. UMAP: Uniform Manifold Approximation and Projection for Dimension Reduction. arXiv 2020, arXiv:1802.03426. [Google Scholar]
- Malzer, C.; Baum, M. A Hybrid Approach to Hierarchical Density-based Cluster Selection. In Proceedings of the 2020 IEEE International Conference on Multisensor Fusion and Integration for Intelligent Systems (MFI), Karlsruhe, Germany, 14–16 September 2020. [Google Scholar] [CrossRef]
- Tleuken, A.; Orel, D.; Iskakova, A.; Varol, H.A.; Karaca, F. Exploring Stakeholders’ Opinions on Circular Economy in Construction Sector: A Natural Language Processing Analysis of Social Media Discourse. J. Ind. Ecol. 2024. accepted for publication, ID 23-JIE-8081.R1. [Google Scholar]
- Coenen, T.B.J.; Visscher, K.; Volker, L. A systemic perspective on transition barriers to a circular infrastructure sector. Constr. Manag. Econ. 2023, 41, 22–43. [Google Scholar] [CrossRef]
- Sparrevik, M.; de Boer, L.; Michelsen, O.; Skaar, C.; Knudson, H.; Fet, A.M. Circular economy in the construction sector: Advancing environmental performance through systemic and holistic thinking. Environ. Syst. Decis. 2021, 41, 392–400. [Google Scholar] [CrossRef]
- Van den Berg, M.R.; Bakker, C.A. A product design framework for a circular economy. In Proceedings of the PLATE Conference, Nottingham, UK, 17–19 June 2015; CADBE, Nottingham Trent University: Nottingham, UK, 2015; pp. 365–380. Available online: http://resolver.tudelft.nl/uuid:307f8b21-f24b-4ce1-ae45-85bdf1d4f471 (accessed on 13 August 2023).
- Bakker, C.; Hollander, M.; van Hinte, E.; Zijlstra, Y. Products That Last-Product Design for Circular Business Models; TU Delft Library: Delft, The Netherlands, 2014. [Google Scholar]
- Violano, A.; Cannaviello, M.; Del Prete, S. BIO-Based circular materials: Innovative packaging and construction products. Int. J. Archit. Art Des. 2021, 9, 244–253. [Google Scholar] [CrossRef]
- Ajwani-Ramchandani, R.; Figueira, S.; Torres de Oliveira, R.; Jha, S.; Ramchandani, A.; Schuricht, L. Towards a circular economy for packaging waste by using new technologies: The case of large multinationals in emerging economies. J. Clean. Prod. 2021, 281, 125139. [Google Scholar] [CrossRef]
- Van Eygen, E.; Laner, D.; Fellner, J. Circular economy of plastic packaging: Current practice and perspectives in Austria. Waste Manag. 2018, 72, 55–64. [Google Scholar] [CrossRef] [PubMed]
- Suzanne, E.; Absi, N.; Borodin, V. Towards circular economy in production planning: Challenges and opportunities. Eur. J. Oper. Res. 2020, 287, 168–190. [Google Scholar] [CrossRef]
- Marrucci, L.; Daddi, T.; Iraldo, F. The integration of circular economy with sustainable consumption and production tools: Systematic review and future research agenda. J. Clean. Prod. 2019, 240, 118268. [Google Scholar] [CrossRef]
- Turner, C.; Moreno, M.; Mondini, L.; Salonitis, K.; Charnley, F.; Tiwari, A.; Hutabarat, W. Sustainable Production in a Circular Economy: A Business Model for Re-Distributed Manufacturing. Sustainability 2019, 11, 4291. [Google Scholar] [CrossRef]
- Benachio, G.L.F.; Freitas, M.d.C.D.; Tavares, S.F. Circular economy in the construction industry: A systematic literature review. J. Clean. Prod. 2020, 260, 121046. [Google Scholar] [CrossRef]
- Eberhardt, L.C.M.; Birgisdottir, H.; Birkved, M. Potential of circular economy in sustainable buildings. IOP Conf. Ser. Mater. Sci. Eng. 2019, 471, 92051. [Google Scholar] [CrossRef]
- Adams, K.T.; Osmani, M.; Thorpe, T.; Thornback, J. Circular economy in construction: Current awareness, challenges and enablers. Waste Resour. Manag. 2017, 170, 15–24. [Google Scholar] [CrossRef]
- De Lima, P.R.B.; Rodrigues, C.D.S.; Post, J.M. Integration of BIM and design for deconstruction to improve circular economy of buildings. J. Build. Eng. 2023, 80, 108015. [Google Scholar] [CrossRef]
- Cody, E.M.; Reagan, A.J.; Mitchell, L.; Dodds, P.S.; Danforth, C.M. Climate change sentiment on Twitter: An unsolicited public opinion poll. PLoS ONE 2015, 10, e0136092. [Google Scholar] [CrossRef] [PubMed]
- Marco-Fondevila, M.; Llena-Macarulla, F.; Callao-Gastón, S.; Jarne-Jarne, J.I. Are circular economy policies actually reaching organizations? Evidence from the largest Spanish companies. J. Clean. Prod. 2021, 285, 124858. [Google Scholar] [CrossRef]
- Kazan, H.; Ünal, A. Circular value chains: Circular strategies and managerial perceptions of supply chain professionals from Turkey. In Circular Economy Strategies and the UN Sustainable Development Goals; Erdiaw-Kwasie, M.O., Alam, G.M.M., Eds.; Palgrave Macmillan: London, UK, 2023; pp. 459–488. [Google Scholar]
- Torgautov, B.; Zhanabayev, A.; Tleuken, A.; Turkyilmaz, A.; Mustafa, M.; Karaca, F. Circular Economy: Challenges and Opportunities in the Construction Sector of Kazakhstan. Buildings 2021, 11, 501. [Google Scholar] [CrossRef]
- Figueiredo Nascimento, S.; Cuccillato, E.; Schade, S.; Guimarães Pereira, A. Citizen Engagement in Science and Policy-Making (EUR 28328 EN); Publications Office of the European Union: Luxembourg, 2016. [Google Scholar] [CrossRef]
- Awan, U.; Sroufe, R. Sustainability in the Circular Economy: Insights and Dynamics of Designing Circular Business Models. Appl. Sci. 2022, 12, 1521. [Google Scholar] [CrossRef]
- Cantú, A.; Aguiñaga, E.; Scheel, C. Learning from Failure and Success: The Challenges for Circular Economy Implementation in SMEs in an Emerging Economy. Sustainability 2021, 13, 1529. [Google Scholar] [CrossRef]
- Yu, F.; Han, F.; Cui, Z. Evolution of industrial symbiosis in an eco-industrial park in China. J. Clean. Prod. 2015, 87, 339–347. [Google Scholar] [CrossRef]
- Hadiwattege, C.; Senaratne, S. A literature synthesis: Is construction industry low responsive to change and development? In Proceedings of the World Construction Conference 2012–Global Challenges in Construction Industry, Colombo, Sri Lanka, 28–30 June 2012; p. 152. [Google Scholar]
- Charef, R.; Lu, W. Factor dynamics to facilitate circular economy adoption in construction. J. Clean. Prod. 2021, 319, 128639. [Google Scholar] [CrossRef]
- Arora, M.; Raspall, F.; Cheah, L.; Silva, A. Residential building material stocks and component-level circularity: The case of Singapore. J. Clean. Prod. 2019, 216, 239–248. [Google Scholar] [CrossRef]
- De Silva, B.; Samindi, S.M.; Samarakoon, M.K.; Hqa, M.A.A. Use of circular economy practices during the renovation of old buildings in developing countries. Sustain. Futures 2023, 6, 100135. [Google Scholar] [CrossRef]
- Ma, W.; Liu, T.; Hao, J.L.; Wu, W.; Gu, X. Towards a circular economy for construction and demolition waste management in China: Critical success factors. Sustain. Chem. Pharm. 2023, 35, 101226. [Google Scholar] [CrossRef]
- van Eijk, F.; Turtoi, A.; Moustafa, A.; Hamada, K.; Leffers, J.; Oberhuber, S.; Cutaia, L.; Altamura, P.; Cellurale, M.; Lemaitre, C.; et al. Circular Buildings and Infrastructure–State of Play Report ECESP Leadership Group on Buildings and Infrastructure 2021. European Circular Economy Stakeholder Platform. 2022. Available online: https://circulareconomy.europa.eu/platform/sites/default/files/circular_buildings_and_infrastructure_brochure.pdf (accessed on 19 November 2023).
- Zhang, C.; Hu, M.; Maio, F.D.; Sprecher, B.; Yang, X.; Tukker, A. An overview of the waste hierarchy framework for analyzing the circularity in construction and demolition waste management in Europe. Sci. Total Environ. 2022, 803, 149892. [Google Scholar] [CrossRef] [PubMed]
- Setyaningtyas, E.; Radia, E. Six Thinking Hats Method for Developing Critical Thinking Skills. J. Educ. Sci. Technol. (EST) 2019, 5, 82. [Google Scholar] [CrossRef]
- Bahadorestani, A.; Karlsen, J.T.; Farimani, N.M. A Comprehensive Stakeholder-Typology Model Based on Salience Attributes in Construction Projects. J. Constr. Eng. Manag. 2019, 145, 9. [Google Scholar] [CrossRef]
- Mok, M.K.Y.; Shen, G.Q. A network-theory Based Model for Stakeholder Analysis in Major Construction Projects. Procedia Eng. 2016, 164, 292–298. [Google Scholar] [CrossRef]
- Storvang, S.; Clarke, A.H. How to create a space for stakeholders’ involvement in construction. Constr. Manag. Econ. 2013, 32, 1166–1182. [Google Scholar] [CrossRef]
- Gan, X.L.; Li, S.R. The study of dynamic stakeholder management in sustainable construction project. Manag. Eng. 2012, 8, 156–159. [Google Scholar]
- Adhi, A.B.; Muslim, F. Development of Stakeholder Engagement Strategies to Improve Sustainable Construction Implementation Based on Lean Construction Principles in Indonesia. Sustainability 2023, 15, 6053. [Google Scholar] [CrossRef]
- Ebekozien, A.; Aigbavboa, C.O.; Ramotshela, M. A qualitative approach to investigate stakeholders’ engagement in construction projects. Benchmarking Int. J. 2023. ahead-of-print. [Google Scholar] [CrossRef]
- Gan, X.L.; Li, S.R. Research on the Role of Project Stakeholder in Sustainable Construction of Chinese Mainland. Appl. Mech. Mater. 2012, 174–177, 2763–2767. [Google Scholar] [CrossRef]
- Lin, X.; McKenna, B.; Ho, C.M.F.; Shen, G.O.P. Stakeholders’ influence strategies on social responsibility implementation in construction projects. J. Clean. Prod. 2019, 235, 348–358. [Google Scholar] [CrossRef]
- Köhler, J.; Sönnichsen, S.D.; Beske-Jansen, P. Towards a collaboration framework for circular economy: The role of dynamic capabilities and open innovation. Bus. Strategy Environ. 2022, 31, 2700–2713. [Google Scholar] [CrossRef]
- Leising, E.; Quist, J.; Bocken, N. Circular Economy in the building sector: Three cases and a collaboration tool. J. Clean. Prod. 2018, 176, 976–989. [Google Scholar] [CrossRef]
- Molwus, J.J.; Erdogan, B.; Ogunlana, S. Using structural equation modelling (SEM) to understand the relationships among critical success factors (CSFs) for stakeholder management in construction. Eng. Constr. Archit. Manag. 2017, 24, 426–450. [Google Scholar] [CrossRef]
- Molwus, J.J. Stakeholder Management in Construction Projects: A Life Cycle Based Framework. Doctoral Dissertation, Heriot-Watt University, Edinburgh, UK, 2014. [Google Scholar]
- Oluleye, B.I.; Chan, D.W.M.; Olawumi, T.O. Barriers to circular economy adoption and concomitant implementation strategies in building construction and demolition waste management: A PRISMA and interpretive structural modeling approach. Habitat Int. 2022, 126, 102615. [Google Scholar] [CrossRef]
- AlJaber, A.; Martinez-Vazquez, P.; Baniotopoulos, C. Barriers and Enablers to the Adoption of Circular Economy Concept in the Building Sector: A Systematic Literature Review. Buildings 2023, 13, 2778. [Google Scholar] [CrossRef]
- Dodd, N.; Donatello, S.; Cordella, M. Level(s) Indicator 2.2: Construction and Demolition Waste and Materials User Manual: Overview, Guidance and Instructions (Publication Version 1.0); JRC Technical Reports; European Commission: Seville, Spain, 2020. [Google Scholar]
- Bampanis, I.; Vasilatos, C. Recycling Concrete to Aggregates. Implications on CO2 Footprint. Mater. Proc. 2023, 15, 28. [Google Scholar] [CrossRef]
- Nußholz, J.L.K.; Rasmussen, F.N.; Milios, L. Circular building materials: Carbon saving potential and the role of business model innovation and public policy. Resour. Conserv. Recycl. 2019, 141, 308–316. [Google Scholar] [CrossRef]
- Le, A.; Rodrigo, N.; Domingo, N.; Senaratne, S. Policy Mapping for Net-Zero-Carbon Buildings: Insights from Leading Countries. Buildings 2023, 13, 2766. [Google Scholar] [CrossRef]
- Khadim, N.; Agliata, R.; Thaheem, M.J.; Mollo, L. Whole building circularity indicator: A circular economy assessment framework for promoting circularity and sustainability in buildings and construction. Build. Environ. 2023, 241, 110498. [Google Scholar] [CrossRef]
- Collinge, W. Stakeholder Engagement in Construction: Exploring Corporate Social Responsibility, Ethical Behaviors, and Practices. J. Constr. Eng. Manag. 2020, 146, 3. [Google Scholar] [CrossRef]
- Velychko, V.; Prunenko, D.; Grytskov, E. Corporate social responsibility in the system of interaction between stakeholders of construction enterprises. Balt. J. Econ. Stud. 2020, 6, 64–72. [Google Scholar] [CrossRef]
- Zhao, Z.Y.; Zhao, X.Y.; Davidson, K.; Zuo, J. A corporate social responsibility indicator system for construction enterprises. J. Clean. Prod. 2012, 29–30, 277–289. [Google Scholar] [CrossRef]
- Senaratne, S.; Rodrigo, N.; Almeida, L.M.M.C.E.; Perera, S.; Jin, X. Systematic review on stakeholder collaboration for a circular built environment: Current research trends, gaps and future directions. Resour. Conserv. Recycl. Adv. 2023, 19, 200169. [Google Scholar] [CrossRef]
- Çetin, S.; Gruis, V.; Straub, A. Digitalization for a circular economy in the building industry: Multiple-case study of Dutch social housing organizations. Resour. Conserv. Recycl. Adv. 2022, 15, 200110. [Google Scholar] [CrossRef]
- Zadeh, A.A.; Peng, Y.; Puffer, S.M.; Garvey, M.D. Sustainable Sand Substitutes in the Construction Industry in the United States and Canada: Assessing Stakeholder Awareness. Sustainability 2022, 14, 7674. [Google Scholar] [CrossRef]
- Xue, J.; Shen, G.Q.; Yang, R.J.; Wu, H.; Li, X.; Lin, X.; Xue, F. Mapping the knowledge domain of stakeholder perspective studies in construction projects: A bibliometric approach. Int. J. Proj. Manag. 2020, 38, 313–326. [Google Scholar] [CrossRef]








| Question (MQs) † | MQ1 | MQ2 | MQ3 | MQ4 | MQ5 | MQ6 | MQ7 |
|---|---|---|---|---|---|---|---|
| Participation rate | 88% | 50% | 83% | 83% | 75% | 58% | 42% |
| Responses received | 32 | 17 | 47 | 29 | 46 | 19 | 10 |
Disclaimer/Publisher’s Note: The statements, opinions and data contained in all publications are solely those of the individual author(s) and contributor(s) and not of MDPI and/or the editor(s). MDPI and/or the editor(s) disclaim responsibility for any injury to people or property resulting from any ideas, methods, instructions or products referred to in the content. |
© 2024 by the authors. Licensee MDPI, Basel, Switzerland. This article is an open access article distributed under the terms and conditions of the Creative Commons Attribution (CC BY) license (https://creativecommons.org/licenses/by/4.0/).
Share and Cite
Karaca, F.; Tleuken, A.; Pineda-Martos, R.; Ros Cardoso, S.; Orel, D.; Askar, R.; Agibayeva, A.; Güemez, E.G.; Salles, A.; Varol, H.A.; et al. Cultivating Sustainable Construction: Stakeholder Insights Driving Circular Economy Innovation for Inclusive Resource Equity. Buildings 2024, 14, 935. https://doi.org/10.3390/buildings14040935
Karaca F, Tleuken A, Pineda-Martos R, Ros Cardoso S, Orel D, Askar R, Agibayeva A, Güemez EG, Salles A, Varol HA, et al. Cultivating Sustainable Construction: Stakeholder Insights Driving Circular Economy Innovation for Inclusive Resource Equity. Buildings. 2024; 14(4):935. https://doi.org/10.3390/buildings14040935
Chicago/Turabian StyleKaraca, Ferhat, Aidana Tleuken, Rocío Pineda-Martos, Sara Ros Cardoso, Daniil Orel, Rand Askar, Akmaral Agibayeva, Elena Goicolea Güemez, Adriana Salles, Huseyin Atakan Varol, and et al. 2024. "Cultivating Sustainable Construction: Stakeholder Insights Driving Circular Economy Innovation for Inclusive Resource Equity" Buildings 14, no. 4: 935. https://doi.org/10.3390/buildings14040935
APA StyleKaraca, F., Tleuken, A., Pineda-Martos, R., Ros Cardoso, S., Orel, D., Askar, R., Agibayeva, A., Güemez, E. G., Salles, A., Varol, H. A., & Braganca, L. (2024). Cultivating Sustainable Construction: Stakeholder Insights Driving Circular Economy Innovation for Inclusive Resource Equity. Buildings, 14(4), 935. https://doi.org/10.3390/buildings14040935

