Abstract
Feminist studies have increasingly highlighted the contributions of women from various backgrounds; however, a gap remains in the research on conservative religious women. This article presents findings on Casilda Iturrizar, a bourgeois and religiously conservative woman who significantly influenced 19th-century Bilbao. Three surveys with 442 participants and five communicative interviews with educators were conducted using a communicative methodology, which has pioneered the current criteria for social impact and cocreation in the Horizon Europe scientific program. The results revealed that most people in Bilbao were unaware of Casilda’s contributions, with feminists and institutions neglecting her achievements. The findings from the communicative interviews suggested that Casilda’s contributions have been overlooked, contradicting recent efforts in education to address the invisibility of notable women. Such findings potentially have social impact by opening feminism to all women, including those made invisible for having conservative religious thinking.
1. Introduction
1.1. Invisibilization of Certain Women by Some Feminist Movements
Many scholars have criticized certain feminist sectors for including specific groups of women, particularly those from middle and upper social classes, academic backgrounds, and specific political ideologies, thereby leading to the hiding of the experiences, struggles, rights, and achievements of many women from diverse backgrounds and minority groups (Borah et al. 2023; Collins 2022; Rodrigues and Assis 2018; Wilson 1996). Additionally, some of these feminists have sometimes linked feminism exclusively to left-wing political ideology, thereby excluding women with differing beliefs and ideologies who have also significantly contributed to feminism and the betterment of their communities.
An example can be found in Spain, where the parliament approved women’s suffrage in October 1931. Two of the three female members of the constitutional assembly for women’s suffrage opposed granting women the right to vote, arguing that most women would vote conservatively (Pierce 2010). Victoria Kent contended that extending the right to vote to women would endanger the republic, as many women would vote under the influence of the church (Preston and Lannon 1990). In contrast, other women from different ideologies contributed to the achievement of women’s right to vote. Many young women worked to make women’s suffrage a reality, with many of them handing out pamphlets at the congress door advocating for the voting rights of all women. These examples show the active role that women from different political backgrounds have played in the fight for women’s rights. However, Victoria Kent’s argument persists among some women academics who view nonacademic or minority women as not feminist, progressive, or intellectual enough to meaningfully participate and contribute (Hooks 2000; Puigvert 2001).
Women like Jane Addams, deeply connected to her Christian values, founded the Hull House in Chicago, from where she provided support to immigrant women and low-income families; fought for the improvement in working women’s living conditions, access to education, and social services; and promoted women’s participation in politics and community decision making (Addams 1910). Moreover, Marianne Weber, one of the exponents of the German feminist movement of the time, defended the importance of the family as the basis of society, provided insights into sociology, and wrote extensively on the situation of women in modern society, advocating for women’s access to education and increased opportunities (Santos 2024). Both women contributed to the improvement in the situation of women and society. Nonetheless, they have not been highlighted by certain feminist movements, which, on the contrary, have highlighted Simone de Beauvoir as a feminist reference, presenting her as an anti-Nazi democrat and fighter for sexual freedom, despite her collaboration with the Vichy government, her public defense of the decriminalization of pederasty, and her condemnation and removal from teaching because of her own case being evidenced (Valls-Carol et al. 2022).
1.2. Feminism Has Always Belonged to All Women
Feminism has always been plural, involving women and men from different cultural backgrounds, nationalities, sexual orientations, political ideologies, and religious beliefs, among others (Giorgi 2021). Although the contributions of many women have been silenced in the field of feminism, certain researchers focused on achieving social impact have presented empirical evidence regarding the substantial contributions of numerous women, whom these feminists have excluded, to the struggle and advancements in women’s rights (Aiello-Cabrera et al. 2024; García Yeste et al. 2011).
Challenging those who dictate what feminists should be like and who qualifies as a feminist, dialogic feminism (Puigvert 2001) emphasized the necessity of including all women’s voices, particularly those who have been most marginalized. Lidia Puigvert co-created the term ‘other women’ together with adult women from nonacademic backgrounds to describe those who have been left out of the discourses that many feminist scholars have created (García-Yeste 2014). Adult women from diverse backgrounds, cultures, beliefs, and ideologies, and who never attended college, have successfully led education actions, which have had several social impacts, including improved academic outcomes as well as health and wellbeing, not only for themselves but also for their families and communities (Garcia et al. 2012). For example, Moroccan and Roma migrant mothers have engaged in successful educational actions that have transformed their children’s schools to promote quality education for all children (de Botton et al. 2004) and create violence-free spaces (Serradell et al. 2020).
Some studies have demonstrated the contributions to feminism and society made by women from different religious backgrounds, for example, the work of some Catholic women within the church as well as their recognition as feminists outside the church (Pauly 2024), the integration of some Jewish women in medical activity during the interwar period in Poland contributing to gender equality (Zalashik and Davidovitch 2019), and some Islamic women leading the empowerment of women entrepreneurs in Muslim conflict zones (Althalathini et al. 2022). Moreover, women of diverse faiths have claimed their right to represent their cultures, rejecting the directives of people who, in the name of feminism, tell them how they must dress (de Botton et al. 2004; Sánchez García 2023).
Although advancements have been achieved in recognizing the experiences and contributions of women from all backgrounds to feminism and society, a pressing need remains for some feminist sectors and researchers to adopt a more dialogic and inclusive approach that recognizes women from different political and ideological beliefs.
1.3. Casilda Iturrizar’s Contributions to the Transformation of a City
We find Casilda Iturrizar within the framework of this demand for feminism that includes the voices of all women and makes visible those who have contributed to improving the lives of women and society, including all cultural options, beliefs, and political ideologies. Casilda, a conservative woman of religious beliefs, despite not having been highlighted by feminism, was the key person in laying the foundations of today’s Bilbao, a city located in the Basque Country in northern Spain.
Among the several projects Casilda developed, she was a pioneer and patron of the city’s Civil Hospital, Deusto University, the Bilbao Choral Society, Doña Casilda Iturrizar park, Arriaga theater, schools for low socioeconomic sectors, and homes for elderly people. Coming from a modest family, she married Tomás Epalza, a businessman and cofounder of the Bank of Bilbao, who became quite wealthy. Casilda Iturrizar did not choose a lavish lifestyle for herself with the money she gained from this marriage. Instead, she used the money to change Bilbao for the better, helping people from all walks of life, from the poor to the middle and high classes.
At the end of the 19th century, the old Bilbao, linked to naval traffic, had already been expanding with the Industrial Revolution, encompassing, among others, the municipalities located on both sides of the 10 km of the estuary leading to the sea. Most of the factories and mines were located on the ‘left bank’, where most people from the working class lived and were subjected to air pollution (Escudero and Pérez Castroviejo 2010). Most of the bourgeoisie left Bilbao to live in luxurious villas located at the end of the ‘right bank’ (Martínez and Mirás 2009).
Casilda Iturrizar wanted to prevent the upper classes from continuing to flee to the coast, which left the lower classes a Bilbao with façades that soon became dirty and with few services for its rapidly growing population. She managed to bring together other people from the bourgeoisie, the lower social classes, and the institutions around her various projects without the desire for prominence that some men had.
Research is needed on whether such invisibilization is precisely related to the fact that these women were from conservative backgrounds, which some feminists claim cannot be feminist. As such, whether Casilda Iturrizar, a Catholic woman considered conservative, whose contributions have had a remarkable influence on various improvements of the Basque society and Bilbao’s history, has been rendered invisible among diverse citizens, even from Bilbao, was examined in this study to advance the knowledge in this field and overcome these barriers.
2. Materials and Methods
This study was conducted following the communicative methodology (CM) approach due to its multiple scientific, political, and social impacts (Gómez et al. 2019). The CM is the pioneer of the concepts of cocreation and social impact that are now requirements in all research projects funded by the European Commission’s Horizon Europe (European Commission 2022). This methodological approach was followed in a mixed-methods design, using a combination of methods in different time periods: two oral surveys, an online questionnaire, and five communicative interviews.
The Doña Casilda Park was chosen as a reference for some of the questions, as well as the place where part of the data for this study was collected, because this park is one of the most emblematic and well-known places in the city of Bilbao as a contribution of Doña Casilda. This park provided access to more potential study participants than other places related to Doña Casilda due to its location.
2.1. Study Hypotheses
First, we hypothesized that the percentage of participants answering “yes” to questions Q1 (knowledge of the park’s name), Q2 (awareness of Casilda’s figure), Q3 (understanding of Casilda’s contributions), and Q4 (recognition of Casilda beyond the city of Bilbao) would be higher for younger respondents than for those answering “no” due to the increase in the incorporation of feminist figures or women referents in the educational system and an increasing social recognition of these figures over time (Giner et al. 2016). Second, we hypothesized that the percentage of participants answering “yes” to questions Q1, Q2, Q3, and Q4 would be higher for women than for men due to a possible knowledge of women referents (Salceda et al. 2020). Third, we hypothesized that a significant positive association would emerge between answering “yes” to questions Q1, Q2, Q3, and Q4 and the time spent in Bilbao, indicating an increased knowledge of the relevant figures and contributors to local culture for those who have had more contact with the city. Fourth, we hypothesized that the percentage of participants answering “yes” to questions Q1, Q2, Q3, and Q4 would be higher for those who answered “yes” to being born in Bilbao. Table 1 presents the four study hypotheses.
Table 1.
Study hypotheses.
2.2. Sample
A total of 442 individuals participated in this study. In 2017, 27 participants completed an oral survey; in 2024, 28 participants completed an oral survey, 386 completed an online questionnaire, and 5 completed a communicative interview (García-Yeste 2014). We used convenience sampling, which allowed for efficient and practical data collection as well as the selection of participants who were readily available at a specific location. The data collection methods widely varied in their approach and purpose between 2017 and 2024. In 2017, an oral survey was conducted with 27 participants, as the survey was not conducted for additional purposes at the time. In 2024, the data collection method also involved an online questionnaire. Due to the characteristics of this study, we do not provide a statistical representation of the sample. Diverse people participated in this study, as explained below. Finally, the five participants in the communicative interviews (Table 2) were selected as key informants due to their direct involvement or connection with Casilda’s activity at the 2017 congress in Bilbao. All participants were over 18 years of age, knew the city of Bilbao, and spoke Spanish, English, or Basque, which allowed the interview to be efficiently conducted.
Table 2.
Participants in the 2024 oral survey.
The 2017 oral survey involved 27 participants from diverse backgrounds who were chosen at random from the Doña Casilda Park. The inclusion criteria for the participants were as follows: (a) being over 18 years of age; (b) being present at Doña Casilda Park (Bilbao) at the time the survey was conducted; and (c) speaking Spanish or English to enable the survey to be conducted. Individuals who did not meet the inclusion criteria were excluded. No demographic data were collected on these participants since the survey was not conducted for further research purposes at the time.
The 2024 oral survey (Table 1) included a wide diversity of people who were chosen at random at Doña Casilda Park. The inclusion criteria for the participants were as follows: (a) being over 18 years of age; (b) being presented at Doña Casilda Park (Bilbao) at the time the survey was conducted; and (c) being able to speak Spanish or English to enable the survey to be conducted. Individuals who did not meet the inclusion criteria were excluded. This 2024 oral survey involved 29 participants (21 women, 7 men); their average age was 39 years, with ages ranging from 18 to 86, noting that one participant chose not to disclose their age. Of the 29, 14 stated they were from Bilbao, whereas the remainder were from various origins, primarily nearby cities such as Zaragoza, Asturias, or Castro. Two participants identified as Greek but had been residing in Bilbao for 7 years. Additionally, some participants who did not specify their origin mentioned they had been living in Bilbao for durations ranging from 2 months to 14 years. In the case of those who responded that they had always lived in Bilbao, their age was considered as the duration. Two respondents did not specify the time they had spent in Bilbao.
A wide diversity of people accessed the 2024 online questionnaire (Table 3). The inclusion criteria for participants included (a) being over 18 years of age; (b) being able to access the online questionnaire; and (c) being able to complete the questionnaire in Spanish or Basque, as these were the languages in which the questionnaire was available. Individuals who did not meet the inclusion criteria were excluded. A total of 386 participants responded to the survey: 268 (69%) were women, 112 were men (29%), and 6 (2%) preferred not to disclose their sex. The average age was 41.2 years, with participants ranging from 18 to 92 years of age. A total of 151 (39%) respondents were aged 35 years and under, and 235 (61%) were over 35. The age group of 65 years and older, which represented 5% of the sample, was independently analyzed to examine the age variable in more detail. A total of 192 and 194 respondents (50% each) were and were not from Bilbao, respectively. The individuals who did not identify as being from Bilbao were asked if they had lived in the city for some time. Of these, 52 people had never lived in Bilbao or had lived there for less than 5 months (13%). The responses were categorized as follows: 0 years (13%), 1 to 30 years (40%), 31 to 60 years (42%), and 61 to 92 years (5%).
Table 3.
Summary of 2024 online questionnaire participants.
Finally, regarding the communicative interviews (Table 3), participants were selected based on specific criteria. Three of the five interviewees were people who had attended the VI CIMIE Conference held in Bilbao in 2017, where the debates on the visibility of Casilda Iturrizar’s contributions among Basque feminists were initiated. The other two people who were not at the conference have connections with the city of Bilbao including either frequent visits to the city, are from there, or have lived there for a certain period of time. These participants were considered key to understanding the current debates and perspectives around the recognition of Iturrizar’s legacy. The intention was to capture their direct participation in the discussions at this conference, where it became evident that the visibility of certain figures, including Casilda Iturrizar, was controversial within feminist circles. The requirements for their selection were the same as for the other participants.
The five participants (one man and four women) had an average age of 50 years, with the youngest being 38 and the oldest being 63. Although none were natives to Bilbao, all described their varying degrees of connection to the city. Some had lived there for up to 30 years, whereas others resided in different cities and had a more symbolic link. However, all had visited Bilbao and the Doña Casilda Park. The occupation of the participants in the communicative interviews was also collected: two were school teachers, two were university professors, and one was an education advisor. Thus, this sample is composed of individuals with close ties to education, chosen for their involvement in the discourse surrounding women’s contributions to society.
Table 2, Table 3 and Table 4 summarize the main characteristics of the participants involved in all data collection techniques.
Table 4.
Participants in communicative interviews.
2.3. Data Collection
2.3.1. Surveys
The first oral survey was conducted in June 2017 at Doña Casilda Park to explore participants’ awareness and perceptions regarding Doña Casilda’s contributions to Bilbao’s society. The survey was composed of four questions, with the first two in a binary response (‘yes/no’) format and the last two in an open-ended format: (1) Do you know the name of this park? (2) Do you know who Doña Casilda was? (3) Do you know any of the things Doña Casilda did? (4) Do you know the other places in Bilbao where the figure of Doña Casilda is present? Question 3 included an open-ended sub-question: the participants could describe her contributions if they knew them. At the end of these four questions, the survey included demographic questions related to the sex, age, origin (whether they were from Bilbao or not), and how long they had been living in or coming to Bilbao.
The oral survey was replicated and implemented again following the same structure in May 2024, also at Doña Casilda Park, asking the same questions. The purpose of administering the oral survey at two separate time points was to compare whether many citizens’ awareness of Doña Casilda’s contributions to Bilbao had changed during that period. We noted participants’ responses to the 2017 oral survey and audio-recorded the 2024 interviews.
Finally, the oral survey was adapted to an online form, having the same structure as the oral surveys with closed- and open-ended questions. This online version was distributed through various social media platforms, such as WhatsApp, Instagram, Facebook, and X. Our purpose was to compare the oral, in-person, and online responses. The online questionnaire facilitated remote participation, enabling respondents to contribute their opinions regardless of location and yielding a higher volume of responses due to dissemination across various social networks; however, the orally administered surveys provided a unique context, conducted within the park.
2.3.2. Interviews
In addition to the surveys, five communicative interviews were conducted with key participants to delve deeper into whether they perceived an increase in the recognition of Doña Casilda over time, whether they were aware of the other women who had substantially contributed within Bilbao, whether these contributions had been acknowledged, and whether they could identify the relationship between this selective visibility and the feminist movement.
The following topics were addressed with the five participants, although the communicative orientation of the interviews avoided a rigid structure: where they first learned about Doña Casilda, whether they considered her a well-known figure in or outside Bilbao, whether they believed she was better known at the time than in the past or among a certain age group, whether she is discussed or taught about in schools, and whether they think she has been made invisible and why.
2.4. Data Analysis
We compared the results of the three surveys to identify similarities and differences in time, place, and modality. In addition, the results of the analysis of the communicative interviews provided rich information that helped contextualize the survey analyses, as well as to deepen our understanding on how four different individuals perceived and understood Casilda’s invisibilization. We conducted quantitative analysis using the SPSS program, from which we identified the trends in the data obtained from the surveys.
First, the data were cleaned, identifying and correcting errors to verify the consistency of the collected data to guarantee the reliability and validity of the obtained results. Second, we computed descriptive statistics for the demographic and study variables to describe the sample. Third, the chi-squared test was employed to test H3. The chi-squared test was used for H1, H2, and H4 to determine the existence of a correlation between the variables. We verified the validity of the hypotheses due to their specific nature through contingency table analysis and the graphical representation of the data. The graphical representations allowed for the visualization of the relationships described in the hypotheses, which facilitated the interpretation of the results.
2.5. Ethics
This study was conducted following international ethical guidelines, including the ethical standards included in the Declaration of Helsinki. Informed consent was obtained from all participants, orally for the oral surveys and interviews as well as in writing for the questionnaire distributed online. Consent to record was also obtained for oral questionnaire and interview participants. For those who refused to be recorded, their testimonies were meticulously documented in writing and transcribed verbatim for analysis. Fourteen online questionnaire responses were excluded because either the respondents did not consent to the publication of their answers or their answers to the open-ended questions were considered invalid.
3. Results
First, we present the results obtained through each of the data collection techniques used to present the responses obtained in detail. The data from the online questionnaire were summarized, including the responses to both closed- and open-ended questions as well as an overview of the various contributions. Second, the oral survey results both from 2017 and 2024 are presented and later compared to identify trends and changes over time. The oral survey conducted in 2017 is used to compare the results obtained in the 2024 oral survey, as both surveys share the same methodology and provide a basis for evaluating temporal changes. This comparison is presented independently of demographic variables, as the 2017 dataset does not include demographic information. Third, the results from the communicative interviews were discussed, highlighting how this technique enabled a deeper exploration of certain topics, providing more profound insights into the subject.
Finally, the results were organized in relation to their related hypotheses. In analyses that involve cross-referencing the results with demographic data, required to test specific hypotheses, the 2017 oral survey results are excluded due to the absence of participant demographic information. Therefore, while the 2017 data are included for comparisons solely between survey outcomes, they are excluded in analyses that incorporate demographic variables or combine techniques requiring such data.
3.1. Results from Each Data Collection Technique
3.1.1. Online Questionnaire Results
These results were mainly sourced from the answers to the closed-ended questions of the online questionnaire (Table 5), where 78% of the participants answered that they knew the name of the park. However, 40% of the participants knew who Doña Casilda was. Furthermore, 34% knew of any of Casilda’s contributions. Finally, 22% knew of other places in Bilbao where the figure of Doña Casilda was present.
Table 5.
Results of online questionnaire.
The responses to the open-ended question 3.1 (‘If you answered yes, what do you know about Doña Casilda?’ Table 6) were grouped into the following thematic categories: charitable and philanthropic organizations, Basurto (civil) Hospital and Casa de Misericordia, education, parks and other public places, and others.
Table 6.
Contributions of Casilda Iturrizar and recognition of these contributions by participants.
Her work related to charity and philanthropy stood out, mentioned on 29 occasions, when analyzing the responses categorized by subject. These responses consistently highlighted her generosity and commitment to improving the society in Bilbao. Respondents detailed her involvement in various charitable initiatives, including the funding of hospitals, schools, orphanages, and scholarships for disadvantaged children. Furthermore, respondents underscored her important role as a benefactor of the city, using her wealth to support a wide range of social programs and assist those most in need.
The Tivoli Schools were mentioned on 28 occasions in the education category. Her support of education, exemplified by the financing of institutions such as the Tivoli Street School Group, was emphasized as a method of uplifting the lives of underprivileged youth. Next, the recognition of Doña Casilda’s contribution to the Basurto (civil) Hospital and the Casa de Misericordia (House of Mercy) stood out, mentioned in 24 replies. These remarks specifically acknowledged her role in the construction and financing of these institutions, highlighting her advocacy for mercy and support for public health initiatives.
Seven mentions highlighted her contribution to the improvement in the urban environment through the creation of public spaces, such as parks. These responses detailed her donation of land for the establishment of parks and green spaces in Bilbao. The ‘other’ category included the responses that mentioned broad or nonspecific aspects of Casilda Iturrizar without focusing on a particular aspect or institution. These responses tended to describe her overall impact or her role as a benefactor without providing specific details about her contributions.
Among the contributions mentioned least frequently in the responses were donations for scholarships, cited four times, and the contributions to the establishment of Deusto University and the Museum of Fine Arts, each mentioned only once.
3.1.2. Oral Survey Results: 2017 and 2024
The oral survey conducted in 2017 at Doña Casilda Park involved 27 participants (Table 7). Among them, 96.3% recognized the name of the park, while 3.7% did not. A total of 62.9% of respondents claimed to know who Doña Casilda was, whereas 37% indicated they did not. When asked if they were aware of any specific contributions by Doña Casilda, 25.9% provided an affirmative response, primarily mentioning the park associated with her name. Lastly, only 18.5% of participants were aware of other locations in Bilbao where Doña Casilda’s figure was present.
Table 7.
Survey results orally administered in 2017 and 2024.
The 2024 oral survey at Doña Casilda Park included 29 participants (Table 7). Of these, 69% stated they knew the name of the park, while 31% did not. Regarding Doña Casilda’s identity, 37.9% claimed to recognize her, while 62.1% indicated otherwise. A total of 37.9% of respondents knew about her contributions, referencing the park she is associated with, and one participant mentioned the funding of scholarships. Finally, only 6.8% of respondents were able to identify other locations in Bilbao where Doña Casilda’s figure is present.
Comparative Analysis of the 2017 and 2024 Oral Survey Results
The findings demonstrated minimal variation between 2017 and 2024 in the responses to the survey questions orally administered to participants at Doña Casilda Park, involving a sample of 27 people for the 2017 survey and 29 for the one in 2024. The findings demonstrate minimal variation compared to those of 2017. However, we noted decreased knowledge in the 2024 survey (Table 7).
The data revealed the following trends: 31% of the respondents in the 2024 oral survey were unable to recall the precise name of the park, an increase from the 3.7% recorded in 2017. The recognition of Doña Casilda’s persona substantially declined from 62.9% to 37.9%. Conversely, the proportion of respondents identifying her contributions increased from 25.9% to 37.9%. Notably, all respondents acknowledging her contributions exclusively cited the establishment of the park bearing her name, either through direct nomenclature or acknowledgment of her land donation for its establishment, and only one participant mentioned the funding of scholarships. Finally, affirmative responses regarding the presence of her figure elsewhere in Bilbao decreased from 18.5% to 6.8%.
3.1.3. Communicative Interview Results
Regarding the communicative interviews conducted, four of the five participants recognized Casilda Iturrizar’s name from the park and other city landmarks named after her but were unaware of her contributions. These three learned about her contributions after attending the 2017 CIMIE conference in Bilbao. Some expressed surprise at how little known she is upon discovering her impact on Bilbao. Several participants suggested that the lack of awareness of Casilda Iturrizar is due to her upper-class status. One participant noted that women figures who are more visible tend to belong to other profiles, such as Dolores Ibárruri, a Basque woman widely recognized within left-wing or progressive circles, whereas figures like Doña Casilda are often reduced to their charitable acts:
They come from different backgrounds, […] I mean, I think Dolores Ibarruri and others like her are more typical of the left-wing, progressive world because she was a revolutionary symbol. […] I suppose that since this one is from the high bourgeoisie of Bilbao, people of her kind might give names to things but aren’t socially valued. In the world I move in, the image I have is that they are seen as people who donate money, who do things, but as charity, if that makes sense. […] For example, Clara Campoamor is recognised in the feminist world. This one isn’t.(MB56)
However, other participants stated that other bourgeois figures, such as Simone Weil or Simonne de Beauvoir, have been recognized and identified as feminists, implying that the lack of recognition is not solely due to class but also to Casilda’s conservative and religious values. In this context, a participant recalled overhearing a conversation among women with conservative or right-wing values who mentioned that people had no interest in bringing attention to women such as Casilda Iturrizar:
I remember that with some Basque women writers with conservative or right-wing values, I heard the debate that since they were of those values there were people who had no interest in these women being known.(HD70)
One participant highlighted the contrast between Casilda’s contributions and those of other highly recognized women in feminist circles, such as Simone de Beauvoir. The participant noted the inconsistency in feminist values in celebrating these figures, who, unlike Casilda, had not markedly contributed to overcoming inequalities.
The tension surrounding Casilda’s legacy within some Basque feminist circles is clearly reflected in the discussions reported by one of the participants. She recounted the intense debate that arose with differing perspectives during the VI CIMIE Conference, held in Bilbao in 2017, in response to a presentation on Casilda Iturrizar. According to her, the discussion began with two feminist researchers strongly arguing that Casilda’s ideology, being right-wing and religious, was incompatible with feminism. This argument was challenged by other feminist researchers, who emphasized that feminism should advocate for the visibility of all women, regardless of their beliefs, rather than determining who deserves recognition based on ideological alignment. Following this exchange, and setting aside dogmatic approaches, both sides engaged in a constructive dialogue focused on presenting arguments and evidence rather than discrediting opposing views.
Casilda’s contributions to Bilbao can be contrasted with those of other women, such as Simone de Beauvoir, who have been highly valued in certain feminist circles. The evidence shows that Simone de Beauvoir, for example, signed a treaty in favor of decriminalizing pederasty. Some sectors of feminism have not been coherent with the values they have defended, leading to the women who have been coherent and who have defended the overcoming of inequalities in their communities not being valued.
One participant noted that older people tended to know more about Casilda Iturrizar and attributed this to the education, culture, and oral knowledge transmission that older generations received. In contrast, younger people have lost much of this knowledge as well as the recognition and appreciation of historical figures.
3.2. Results of Hypotheses
The results obtained from all data collection techniques were compared. The comparison of the trends between the oral and online questionnaires is limited to the year 2024 as demographic data were not available for 2017.
Table 8 compares the data from the in-person and online questionnaires for questions Q1, Q2, Q3, and Q4. We cross-checked the data with the variables of sex, origin, and age. The comparison of the trends between the oral and online questionnaires was limited to the year 2024. The last variable was grouped into three categories: respondents aged 35 years and under, 36 and over, and 65 and over.
Table 8.
Comparison of the results of the survey in oral and online format in 2024.
The results of the 2024 oral and online questionnaire revealed distinct patterns in the knowledge about Doña Casilda and her contributions as influenced by age, origin, and the amount of time spent in Bilbao. These surveys highlighted how demographic factors have shaped the awareness of this historical figure and the park named after her (Table 9). This comparison allowed for the results to be organized in response to the hypotheses posed in this study.
Table 9.
Demographic analysis of 2024 oral and online questionnaire results.
In summary, the results of the 2024 oral and online questionnaires revealed that knowledge about Doña Casilda and her contributions varied based on age, origin, and the amount of time spent in Bilbao. These answers are organized according to each of the hypotheses.
3.2.1. H1: The Younger the Age of Participants, the Higher the Likelihood of Answering Yes to Questions Q1, Q2, Q3, and Q4 than Those Answering No
The findings highlight the lack of recognition of Doña Casilda and her contributions to Bilbao society among the respondents. The results of the analyses showed that H1 was refuted, as the opposite was true: the older the participants, the more likely they were to provide affirmative responses to Q1, Q2, Q3, and Q4, indicating increased awareness of Casilda Iturrizar and her contributions.
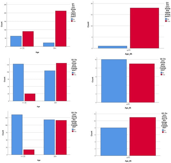
Table 8 and Figure 1 show a correlation between older age and a higher probability of answering ‘yes’ to Q1, Q2, Q3, and Q4. Older people had more knowledge about the name of the park, who Doña Casilda was, her contributions to the city, and the other areas in Bilbao in which her figure is present. Her involvement in important and groundbreaking initiatives, such as conceptualizing the University of Deusto or establishing scholarships for students, remains largely unknown. Therefore, this limited knowledge about Doña Casilda among the youngest participants could be explained because of the role played in perpetuating this invisibility by Basque feminists and the educational system.

Figure 1.
Age–response relationship for Q1–Q4.
3.2.2. H2: Women Are More Likely to Answer Yes to Questions Q1, Q2, Q3, and Q4 Compared to Men
H2 was not supported, as no notable difference in sex was found in this regard, as shown in Figure 2.
Figure 2.
Sex–response relationship in Q1–Q4.
3.2.3. H3: A Significant Positive Correlation Exists Between Answering Yes to Questions Q1, Q2, Q3, and Q4 and the Duration of Time Spent in Bilbao
H3 was supported (Figure 3 and Figure 4): the knowledge of Casilda Iturrizar was more likely among individuals from Bilbao; for those not born in Bilbao, the longer they had lived in the city, the more likely they were to be aware of Casilda Iturrizar and her contributions. Those who had spent fewer years in Bilbao, from 1 to 30 years, had less knowledge about Casilda Iturrizar, as shown in Table 8 and Figure 3.
Figure 3.
Duration of time spent in Bilbao–response relationship in Q1–Q4.
Figure 4.
Born in Bilbao–response relationship for Q1–Q4.
3.2.4. H4: Participants Who Affirm Being Born in Bilbao Will Have a Higher Likelihood of Answering Yes to Questions Q1, Q2, Q3, and Q4
These general trends remained consistent, despite some differences in specific knowledge between the oral and online questionnaires, highlighting the influence of demographic factors on the awareness of Doña Casilda and her contributions to Bilbao.
4. Discussion
This section is divided into a subsection on the knowledge and recognition of the work of Doña Casilda Iturrizar and a subsection showing how Basque feminists and the educational system have made her invisible.
4.1. Knowledge and Recognition of the Work of Doña Casilda Iturrizar
Previous research highlights that women from diverse backgrounds, cultures, religious beliefs, and political ideologies have played transformative roles in improving society (Mellor 2011; Pauly 2024; Zalashik and Davidovitch 2019), though they often do not receive the recognition they deserve. This study addresses the knowledge surrounding Casilda Iturrizar, a conservative and religious woman who markedly contributed to the city of Bilbao, illustrating the uneven recognition of her contributions as reflected in the findings from the 2017 and 2024 oral surveys and the 2024 online questionnaire of this study.
While many Bilbao residents recognize the park bearing her name, but refer to it as ‘Parque de los Patos’, the depth and breadth of her legacy are not as widely acknowledged. A substantial percentage of respondents had no recollection of any of her contributions beyond the park, indicating that the broader scope of her influence remains largely underappreciated. This is one of her commonly recognized contributions; older people often know that she also donated the land to the municipality to create a park for all citizens without distinction among social classes. This result confirmed that older participants were more aware of this fact than younger participants. This phenomenon cannot be solely explained by the temporal distance since her death in 1900. Although older generations might have a closer connection to the historical context of her time, the transmission of this knowledge has often been insufficient. A more likely explanation is the oral transmission of popular culture being hindered both by its non-incorporation into the educational system and by an insufficient appreciation on the part of young people of the knowledge of their elders.
What stands out in the data is that, while more elderly participants were aware of her charitable and social contributions, such as her work with disadvantaged populations and donations to La Misericordia and the Civil Hospital, younger respondents showed little awareness of these aspects. Moreover, major contributions like her involvement with the Arriaga Theater (1890) and the University of Deusto (1886) remained largely unknown by the study sample.
Casilda was a major shareholder of the Sociedad Anónima, which was created for the construction of the Arriaga Theater. This was the main theater in the city and where operas were performed since the creation of ABAO in 1956 until being moved to the Euskalduna Palace. Six million pesetas1 was needed to construct the Basurto Hospital, the main hospital in Bilbao, and Casilda Iturrizar contributed the largest amount, 500,000 pesetas.
While recent efforts, such as the historical video produced by the University of Deusto in 2012, have somewhat increased awareness of her role in founding the university, this improvement seems isolated to certain academic spheres. A document of the University of the Basque Country says the following:
The Sociedad Anónima ‘La Enseñanza Católica’ created in Bilbao in 1883 by thirteen people from Biscay to undertake the establishment of a Center of Higher Studies in Bilbao and which had been inspired in particular by Father Manuel Isasi. Teaching would begin at the College in 1886 and would eventually give rise to what is now the University of Deusto.2
The University of Deusto was established from an anonymous society created in 1883 but claims that 13 people from Biscay were involved in its creation. However, the biography of the Royal Academy of History specifies that the society was created in 1883 with the contribution of 500,000 pesetas by Casilda Iturrizar with the purpose of establishing a university in the town of Bilbao. Both Casilda and her brother José were members of the Board of Trustees (Real Academia de la Historia 2018). However, in the Wikipedia entry dedicated to Casilda Iturrizar (as of 9 May 2024), Casilda Iturrizar’s contribution to the creation of the University of Deusto was not mentioned.
The fact that Casilda’s involvement in the founding of the university is absent from general sources, like her Wikipedia entry, reflects an ongoing erasure in the broader public narrative. This highlights a need for a more inclusive and comprehensive approach to public historical education, which could address these historical oversights and celebrate figures like Doña Casilda more adequately. The responses to the survey’s open-ended questions and the interviews showed that recognition of Casilda Iturrizar was insufficient and was decreasing in the younger generations. The limited contemporary knowledge of Casilda Iturrizar can be attributed to two primary factors. First, certain feminist sectors tend to overlook figures with conservative or religious values, prioritizing the recognition of those aligned with leftist ideologies. Second, the current educational system has played a role in perpetuating this lack of awareness. The underlying reasons for both factors are detailed below.
4.2. Most of the Basque Feminists and the Educational System Have Made Her Invisible
A significant aspect of this study lies in understanding how historically relevant women like Doña Casilda Iturrizar have been rendered invisible due to ideological and some feminist biases. The invisibilization of women of certain profiles, such as those with conservative religious values (Zimmerman 2015), has been driven by efforts to assign a singular ideological identity to feminism, excluding diverse perspectives. This approach has often promoted instead women who, despite not contributing that meaningfully to social improvement, align with specific ideological characteristics (Valls-Carol et al. 2022), which undervalues the contributions of women who, despite not adhering to leftist or ostensibly progressive ideologies, were actively improving the situation of women in diverse contexts (Addams 1910; Serradell et al. 2020). The findings of this study reveal how this marginalization has led to the erasure of important female figures, like Doña Casilda, whose efforts to improve society transcended ideological divides.
The tension surrounding Casilda Iturrizar’s legacy within Basque feminist circles, as discussed in the Results section, centers on her political and religious beliefs, leading to disagreements over the recognition of her contributions. One interviewee described the intense debate that arose among Basque feminists, especially regarding the compatibility of Casilda’s right-wing religious ideology with feminist principles.
The generational divide observed in the results, with older participants showing much more knowledge about Doña Casilda than younger ones, further complicates the picture. Surprisingly, younger generations, who are generally more academically educated, seem to be less aware of the contributions of women like Doña Casilda, despite living in a democratic Spain for several decades (with an almost always nationalist majority in the Basque government). A growing number of institutions have been increasing the visibility of these women’s contributions since we started this line of research in 2001, in dialogue with numerous and diverse people. However, the knowledge of most of these women still continues to be transmitted orally and/or disseminated in partial references.
The lack of recognition of these women in school curricula and historical texts demonstrates how official narratives, often partial, have omitted key figures in both local and national history. More explicitly and equitably incorporating figures such as Casilda into educational content could help correct these omissions and provide a more comprehensive and plural view of Basque history.
These findings align with the literature that highlights the invisibilization of women as feminist reference models who are not commonly included as such in textbooks, as evidenced by the cases of Jane Addams (Addams 1910) and Marianne Weber (Santos 2024). A considerable body of literature addresses the invisibilization of women in history textbooks (Castrillo et al. 2024; García-Sinausía and Lacalle 2021). However, this study expands the literature by exploring why certain figures who have contributed to the advancement of society have not been recognized or, in some cases, have been invisibilized. It points to how religious or conservative backgrounds have led some feminist groups and educational institutions to exclude these women instead of celebrating them as integral parts of society’s transformation. Greater inclusivity in the representation of such figures in an educational content could help rectify historical omissions and offer a more inclusive understanding of history.
5. Conclusions
This study evidenced the invisibilization of a woman who designed and promoted the transformation of Bilbao, making it more habitable for its citizens of different classes and social groups. We also identified elements that need to be explored further in future research, specifically, the role of her invisibilization through attributing a religious and conservative ideology to her. If true, this is crucial, especially considering the excellent work of feminism in making invisible women visible. If prominent feminists who hold power and resources decide to exclude a woman from this process, it becomes highly unlikely that she will gain recognition in other ways. The educational system draws the inputs and knowledge from these excellent works of visibility that are then transmitted to children and adolescents. On the contrary, if a woman is excluded, she disappears from this educational framework and is no longer considered in the broader popular culture. Historically, this knowledge would have been passed on orally.
Similar to efforts in other domains, scientific evidence is presented as an essential tool for amplifying the recognition of Casilda Iturrizar and other women whose contributions to social progress have been overshadowed by movements with ideologies that have failed to acknowledge their relevance. These findings underscore the significant contribution of this study to opening up feminism to encompass all women, irrespective of their diverse social classes, educational backgrounds, political affiliations, or religious beliefs. We emphasize the importance of not allowing the contributions of any individual to society to be silenced or overlooked.
Given these findings, feminist movements and educational institutions can take concrete steps to integrate figures such as Casilda Iturrizar into their frameworks. Feminist movements should actively engage in revisiting historical narratives, seeking out and highlighting the contributions of women who have been marginalized due to political or religious biases. Educational institutions can incorporate the stories of such women into their curricula, not only in history and social studies, but also in subjects such as urban development and social progress. Additionally, museums, archives, and public spaces should feature exhibitions and information about these overlooked figures to ensure their stories are shared with wider audiences. We contribute to a more inclusive and accurate understanding of history that honors the diverse contributions of all individuals by ensuring that women such as Casilda Iturrizar are recognized in both academic and popular spheres.
This study does, however, have certain limitations. The interviews conducted in this study were intentionally limited in scope and not representative of the broader population. As detailed in various sections of this article, despite utilizing a diverse range of methodologies, the sample of interviewees was small, comprising only five individuals. This limitation is particularly relevant in the qualitative segment of this research, where the sample lacks diversity and representation. The primary aim of including these interviews was not to generalize findings, but to expand the exploration of the results and add depth to the study. However, it is important to note that this small sample was not intended to be representative of the broader population. The selection criteria for these participants were aligned with the overall objective of the research, which was to investigate the particular debates and viewpoints within feminist circles on the topic of Casilda Iturrizar.
In light of the small and non-representative nature of the sample, we recognize the potential value in expanding the sample size for future iterations of this research. A larger, more diverse sample, potentially incorporating participants from the oral survey, would offer a broader perspective and enhance the representativeness of the findings.
Regarding the quantitative data, despite conducting more than 384 surveys, this study is not statistical, as 95% confidence intervals and ≤errors were not calculated because of the difficulty we encountered obtaining a number of responses during the sample selection to ensure a normal Gaussian distribution. We introduced our results as a qualitative or quantitative study without adequate statistical representation of the population. In the future, we hope that our team or other teams can obtain more resources to obtain a sufficiently large and statistically representative sample.
Another limitation is the impossibility of proving the possible causal relationship between the invisibilization of Casilda Iturrizar in feminism and her conservative and religious ideology. Causal relationships cannot be identified from a qualitative investigation; in addition, the qualitative methodological resources used could have been concealed, sometimes unconsciously. Much larger and statistically representative samples as well as questionnaires that help to overcome this concealment followed by dialogues with the same purpose are needed to support the inference of causal relationships.
Author Contributions
Conceptualization, R.F., L.P. and M.S.-G.; methodology, R.F., A.C.-L. and G.L.d.A.; validation, L.B., P.C. and A.O.; formal analysis, L.B., G.Á.-G. and A.A.; investigation, A.O., A.C.-L., P.C. and G.Á.-G.; resources, M.S.-G.; data curation, L.P. and G.L.d.A.; writing—original draft preparation, A.C.-L., A.A. and G.L.d.A.; writing—review and editing, P.C. and L.B.; visualization, A.A. and G.Á.-G.; supervision, R.F. and M.S.-G.; project administration, L.P.; funding acquisition, M.S.-G. All authors have read and agreed to the published version of the manuscript.
Funding
SASIR. Successful Actions on Social Impact Research (grant SGR 01091). AGAUR. Agencia de Gestión de Ayudas Universitarias y de Investigación. Generalitat de Catalunya.
Institutional Review Board Statement
Ethical review and approval were waived for this study due to the Ethics Committee of CREA providing the exemption and certifying that the present study does not require ethics committee approval according to current Spanish legislation for noninterventional studies.
Informed Consent Statement
Informed consent was obtained from all subjects involved in the study.
Data Availability Statement
Data are unavailable due to privacy.
Acknowledgments
This article draws on the knowledge created by the coordinator team of the I + D + i All Women, The empowerment of all women through adult education for a sustainable development, PID2020-113137RA-I00, funded by MICIU/AEI/10.13039/501100011033.
Conflicts of Interest
The authors declare no conflicts of interest.
Notes
| 1 | Peseta was the official currency of Spain until the adoption of the Euro in 2002, with an exchange rate of 166.386 pesetas to the Euro. |
| 2 | https://www.ehu.eus/es/aurrekari-historikoak (accessed on 17 March 2024). |
References
- Addams, Jane. 1910. Twenty Years at Hull-House: With Autobiographical Notes. New York: Macmillan. [Google Scholar]
- Aiello-Cabrera, Emilia, Andrea Khalfaoui, Ariadna Munté-Pascual, and Teresa Sordé-Martí. 2024. A dialogue with grassroots Romani women leaders in Spain about their views on Roma feminism. Affilia 39: 463–80. [Google Scholar] [CrossRef]
- Althalathini, Doaa, Haya Al-Dajani, and Nikolaos Apostolopoulos. 2022. The impact of Islamic feminism in empowering women’s entrepreneurship in conflict zones: Evidence from Afghanistan, Iraq, and Palestine. Journal of Business Ethics 178: 39–55. [Google Scholar] [CrossRef]
- Borah, Porismita, Shreenita Ghosh, Jiyoun Suk, Darshana S. Mini, and Luhang Sun. 2023. Feminism not for all? The discourse around White feminism across five social media platforms. Social Media + Society 9: 20563051231186862. [Google Scholar] [CrossRef]
- Castrillo, Janire, Dorleta Apaolaza-Llorente, and Nahia Idoiaga-Mondragon. 2024. ‘History cannot be understood without women’: Feminist teachers’ representations of women’s history in primary and secondary education in Spain. European Journal of Women’s Studies 31: 475–91. [Google Scholar] [CrossRef]
- Collins, Patricia H. 2022. Black Feminist Thought, 30th Anniversary Edition: Knowledge, Consciousness, and the Politics of Empowerment. Abingdon: Taylor and Francis. [Google Scholar] [CrossRef]
- de Botton, Lena, Lídia Puigvert, and Fátima Taleb. 2004. El Velo Elegido. Barcelona: El Roure. [Google Scholar]
- Escudero, Antonio, and Pedro M. Pérez Castroviejo. 2010. The living standard of miners in Biscay (1876–1936): Wages, the human development index and height. Revista de Historia Económica/Journal of Iberian and Latin American Economic History 28: 503–34. [Google Scholar] [CrossRef]
- European Commission. 2022. Horizon Europe (HORIZON) Programme Guide (V1.5). Brussels: European Commission. [Google Scholar]
- Garcia, Carme, Rosa Larena, and Isabel Miró. 2012. Overcoming gender stereotypes and improving learning through the participation of the “other women” in schools. Multidisciplinary Journal of Educational Research 2: 37–55. [Google Scholar] [CrossRef]
- García-Sinausía, Sandra, and Ana V. Lacalle. 2021. Ni “mujer de”, ni epígrafe. Creadoras plásticas relevantes en el patrimonio cultural y el currículo educativo. Aula De Encuentro 23: 241–61. [Google Scholar] [CrossRef]
- García-Yeste, Carme. 2014. Overcoming stereotypes through the other women’s communicative daily life stories. Qualitative Inquiry 20: 923–27. [Google Scholar] [CrossRef]
- García Yeste, Carme, Donatilla Ferrada, and Laura Ruiz. 2011. Other women in research: Overcoming social inequalities and improving scientific knowledge through the inclusion of all voices. Qualitative Inquiry 17: 284–94. [Google Scholar] [CrossRef]
- Giner, Elisenda, Laura Ruiz, MªÁngeles Serrano, and Rosa Valls. 2016. Free Women’s contributions to working class women’s sexual education during the Spanish Civil War (1936–1939) and beyond. Teachers College Record 118: 1–38. [Google Scholar] [CrossRef]
- Giorgi, Alberta. 2021. Religious feminists and the intersectional feminist movements: Insights from a case study. European Journal of Women’s Studies 28: 244–59. [Google Scholar] [CrossRef]
- Gómez, Aitor, María Padrós, Oriol Ríos, Liviu C. Mara, and Tepora Pukepuke. 2019. Reaching social impact through communicative methodology: Researching with rather than on vulnerable populations: The Roma case. Frontiers in Education 4: 9. [Google Scholar] [CrossRef]
- Hooks, Bell. 2000. Feminism Is for Everybody: Passionate Politics. London: Pluto Press. [Google Scholar]
- Martínez, Alberte, and Jesús Mirás. 2009. Review essay: The second industrial revolution and urban growth: The impact of transport in Spanish cities. Journal of Urban History 35: 298–305. [Google Scholar] [CrossRef]
- Mellor, Jody. 2011. “I really couldn’t think of being married, having a family with nothing behind me”: Empowerment, education, and British Pakistani women. In Pakistan and Its Diaspora: Multidisciplinary Approaches. Edited by Marta Bolognani and Stephen M. Lyon. New York: Palgrave Macmillan US, pp. 217–37. [Google Scholar] [CrossRef]
- Pauly, Jessica A. 2024. “Sister spirit”: A case study on feminist religious organizing. Western Journal of Communication 88: 352–73. [Google Scholar] [CrossRef]
- Pierce, Samuel. 2010. The political mobilization of Catholic women in Spain’s Second Republic: The CEDA, 1931–6. Journal of Contemporary History 45: 74–94. [Google Scholar] [CrossRef]
- Preston, Paul, and Frances Lannon, eds. 1990. Elites and Power in Twentieth-Century Spain: Essays in Honour of Sir Raymond Carr. Oxford: Oxford University Press. [Google Scholar]
- Puigvert, Lídia. 2001. Las Otras Mujeres. Barcelona: El Roure. [Google Scholar]
- Real Academia de la Historia. 2018. Casilda de Iturrizar y Urquijo. Available online: https://dbe.rah.es/biografias/44787/casilda-de-iturrizar-y-urquijo (accessed on 17 March 2024).
- Rodrigues, Cristiano, and Mariana P. Assis. 2018. Academic feminism and exclusion in Brazil: Bringing back some of the missing voices. In Gender Studies and the New Academic Governance. Wiesbaden: Springer Fachmedien Wiesbaden, pp. 153–75. [Google Scholar] [CrossRef]
- Salceda, Marifa, Ana Vidu, Adriana Aubert, and Esther Roca. 2020. Dialogic feminist gatherings: Impact of the preventive socialization of gender-based violence on adolescent girls in out-of-home care. Social Sciences 9: 138. [Google Scholar] [CrossRef]
- Santos, Patricia da Silva. 2024. Other genders, other modernities: Marianne Weber’s contributions to a gendered classical social theory. Sociologia and Antropologia 14: e230035. [Google Scholar] [CrossRef]
- Sánchez García, Francisco J. 2023. Las huellas borradas. Estudio lexicométrico de cuatro autoras del 27: Rosa Chacel, Ernestina de Champourcín, Josefina de la Torre y Concha Méndez. Hispanófila 197: 27–35. [Google Scholar] [CrossRef]
- Serradell, Olga, Mimar Ramis, Lena de Botton, and Carlota Solé. 2020. Spaces free of violence: The key role of Moroccan women in conflict prevention in schools. A case study. Journal of Gender Studies 29: 161–73. [Google Scholar] [CrossRef]
- Valls-Carol, Rosa, Lídia Puigvert-Mallart, Ana Vidu, and Garazi López de Aquileta. 2022. Presenting Beauvoir as a feminist neglecting her defense and accusations of pedophilia. Social and Education History 11: 106–28. [Google Scholar] [CrossRef]
- Wilson, Tikka J. 1996. Feminism and institutionalized racism: Inclusion and exclusion at an Australian feminist refuge. Feminist Review 52: 1–26. [Google Scholar] [CrossRef]
- Zalashik, Rakefet, and Nadav Davidovitch. 2019. The course of professionalization: Jewish nursing in Poland in the interwar period. Science in Context 32: 93–109. [Google Scholar] [CrossRef]
- Zimmerman, Danielle D. 2015. Young Arab Muslim women’s agency challenging Western feminism. Affilia 30: 145–57. [Google Scholar] [CrossRef]
Disclaimer/Publisher’s Note: The statements, opinions and data contained in all publications are solely those of the individual author(s) and contributor(s) and not of MDPI and/or the editor(s). MDPI and/or the editor(s) disclaim responsibility for any injury to people or property resulting from any ideas, methods, instructions or products referred to in the content. |
© 2025 by the authors. Licensee MDPI, Basel, Switzerland. This article is an open access article distributed under the terms and conditions of the Creative Commons Attribution (CC BY) license (https://creativecommons.org/licenses/by/4.0/).