Efficacy of Repeated Applications of Bacteriophages on Salmonella enterica-Infected Alfalfa Sprouts during Germination
Abstract
1. Introduction
2. Materials and Methods
2.1. Bacteriophage Propagation and Titer Measurement
2.2. S. enterica Strains Storage Conditions and Preparation
2.3. S. enterica and Bacteriophage Inoculation and Enumeration on Alfalfa Sprout Seeds
2.4. Statistical Analyses
3. Results and Discussion
3.1. S. enteritidis S5-483 Was the Most Susceptible to Phage Cocktail Treatments
3.2. Repeated-Phage Applications Further Decreased S. Enteritidis S5-483, S. Muenchen S5-504, and S. Newport S5-639 Populations
3.3. Estimation of S. enterica Populations on XLD and TSA Medias Shared the Same Trend despite Differences in Bacterial Counts
3.4. Phage Cocktail SE14, SF5, and SF6 Decreased Aerobic Populations on Alfalfa Sprout Seeds on Days 0 and 7
4. Conclusions
Author Contributions
Funding
Institutional Review Board Statement
Informed Consent Statement
Data Availability Statement
Conflicts of Interest
References
- Scallan, E.; Hoekstra, R.M.; Angulo, F.J.; Tauxe, R.V.; Widdowson, M.-A.; Roy, S.L.; Jones, J.L.; Griffin, P.M. Foodborne Illness Acquired in the United States—Major Pathogens. Emerg. Infect. Dis. 2011, 17, 7–15. [Google Scholar] [CrossRef] [PubMed]
- Centers for Disease Control and Prevention List of Selected Multistate Foodborne Outbreak Investigations. Available online: https://www.cdc.gov/foodsafety/outbreaks/multistate-outbreaks/outbreaks-list.html (accessed on 20 May 2022).
- Taormina, P.J.; Beuchat, L.R.; Slutsker, L. Infections Associated with Eating Seed Sprouts: An International Concern. Emerg. Infect. Dis. 1999, 5, 626–634. [Google Scholar] [CrossRef] [PubMed]
- Rimhanen-Finne, R.; Niskanen, T.; Lienemann, T.; Johansson, T.; Sjöman, M.; Korhonen, T.; Guedes, S.; Kuronen, H.; Virtanen, M.J.; Mäkinen, J.; et al. A Nationwide Outbreak of Salmonella Bovismorbificans Associated with Sprouted Alfalfa Seeds in Finland, 2009. Zoonoses Public Health 2011, 58, 589–596. [Google Scholar] [CrossRef] [PubMed]
- Mahon, B.E.; Pönkä, A.; Hall, W.N.; Komatsu, K.; Dietrich, S.E.; Siitonen, A.; Cage, G.; Hayes, P.S.; Lambert-Fair, M.A.; Slutsker, L. An International Outbreak of Salmonella Infections Caused by Alfalfa Sprouts Grown from Contaminated Seeds. J. Infect. Dis. 1997, 175, 876–882. [Google Scholar] [CrossRef]
- Gill, C.J.; Keene, W.E.; Mohle-Boetani, J.C.; Farrar, J.A.; Waller, P.L.; Hahn, C.G.; Cieslak, P.R. Alfala Seed Decontamination in a Salmonella Outbreak. Emerg. Infect. Dis. 2003, 9, 474–479. [Google Scholar] [CrossRef]
- Mohle-Boetani, J.C.; Farrar, J.; Bradley, P.; Barak, J.D.; Miller, M.; Mandrell, R.; Mead, P.; Keene, W.E.; Cummings, K.; Abbott, S.; et al. Salmonella Infections Associated with Mung Bean Sprouts: Epidemiological and Environmental Investigations. Epidemiol. Infect. 2009, 137, 357–366. [Google Scholar] [CrossRef]
- Ban, G.-H.; Dai, Y.; Huan, T.; Ke, A.; Delaquis, P.; Wang, S. Endogenous Metabolites Released by Sanitized Sprouting Alfalfa Seed Inhibit the Growth of Salmonella Enterica. mSystems 2021, 6, e00898-20. [Google Scholar] [CrossRef]
- U.S. Food and Drug Administration. Guidance for Industry: Reducing Microbial Food Safety Hazards for Sprouted Seeds and Guidance for Industry: Sampling and Microbial Testing of Spent Irrigation Water during Sprout Production. Fed. Regist. 1999, 64, 57893–57902. [Google Scholar]
- U.S. Department of Health and Human Services; Food and Drug Administration; Center for Food Safety and Applied Nutrition. Compliance with and Recommendations for Implementation of the Standards for the Growing, Harvesting, Packing, and Holding of Produce for Human Consumption for Sprout Operations: Guidance for Industry. Fed. Regist. 2017, 82, 7751–7753. [Google Scholar]
- Canadian Food Inspection Agency Code of Practice for the Hygienic Production of Sprouted Seeds. Available online: https://inspection.canada.ca/food-safety-for-industry/archived-food-guidance/fresh-fruits-and-vegetables/food-safety/sprouted-seeds/eng/1413825271044/1413825272091#a5 (accessed on 15 August 2022).
- Kim, C.; Hung, Y.-C.; Brackett, R.E.; Lin, C.-S. Efficacy of Electrolyzed Oxidizing Water in Inactivating Salmonella on Alfalfa Seeds and Sprouts. J. Food Prot. 2003, 66, 208–214. [Google Scholar] [CrossRef]
- Weissinger, W.R.; Beuchat, L.R. Comparison of Aqueous Chemical Treatments to Eliminate Salmonella on Alfalfa Seeds. J. Food Prot. 2000, 63, 1475–1482. [Google Scholar] [CrossRef] [PubMed]
- Buchholz, A.; Matthews, K.R. Reduction of Salmonella on Alfalfa Seeds Using Peroxyacetic Acid and a Commercial Seed Washer Is as Effective as Treatment with 20,000 ppm of Ca(OCl)2. Lett. Appl. Microbiol. 2010, 51, 462–468. [Google Scholar] [CrossRef]
- Taormina, P.J.; Beuchat, L.R. Behavior of Enterohemorrhagic Escherichia Coli O157:H7 on Alfalfa Sprouts during the Sprouting Process as Influenced by Treatments with Various Chemicals. J. Food Prot. 1999, 62, 850–856. [Google Scholar] [CrossRef] [PubMed]
- Weiss, A.; Hammes, W.P. Efficacy of Heat Treatment in the Reduction of Salmonellae and Escherichia Coli O157:H7 on Alfalfa, Mung Bean and Radish Seeds Used for Sprout Production. Eur. Food Res. Technol. 2005, 221, 187–191. [Google Scholar] [CrossRef]
- Waje, C.K.; Jun, S.Y.; Lee, Y.K.; Kim, B.N.; Han, D.H.; Jo, C.; Kwon, J.H. Microbial Quality Assessment and Pathogen Inactivation by Electron Beam and Gamma Irradiation of Commercial Seed Sprouts. Food Control 2009, 20, 200–204. [Google Scholar] [CrossRef]
- Peñas, E.; Gómez, R.; Frías, J.; Vidal-Valverde, C. Application of High-Pressure Treatment on Alfalfa (Medicago Sativa) and Mung Bean (Vigna Radiata) Seeds to Enhance the Microbiological Safety of Their Sprouts. Food Control 2008, 19, 698–705. [Google Scholar] [CrossRef]
- Hong, E.J.; Kang, D.H. Effect of Sequential Dry Heat and Hydrogen Peroxide Treatment on Inactivation of Salmonella Typhimurium on Alfalfa Seeds and Seeds Germination. Food Microbiol. 2016, 53, 9–14. [Google Scholar] [CrossRef]
- Song, W.J.; Kang, D.H. Inactivation of Salmonella Typhimurium, Escherichia Coli O157:H7 and Listeria Monocytogenes on Alfalfa Seeds by the Combination Treatment of Vacuumed Hydrogen Peroxide Vapour and Vacuumed Dry Heat. Lett. Appl. Microbiol. 2022, 74, 909–915. [Google Scholar] [CrossRef]
- Sillankorva, S.M.; Oliveira, H.; Azeredo, J. Bacteriophages and Their Role in Food Safety. Int. J. Microbiol. 2012, 2012, 1–13. [Google Scholar] [CrossRef]
- Fernández, L.; Gutiérrez, D.; Rodríguez, A.; García, P. Application of Bacteriophages in the Agro-Food Sector: A Long Way toward Approval. Front. Cell. Infect. Microbiol. 2018, 8, 296. [Google Scholar] [CrossRef]
- Moye, Z.D.; Woolston, J.; Sulakvelidze, A. Bacteriophage Applications for Food Production and Processing. Viruses 2018, 10, 205. [Google Scholar] [CrossRef] [PubMed]
- Endersen, L.; Coffey, A. The Use of Bacteriophages for Food Safety. Curr. Opin. Food Sci. 2020, 36, 1–8. [Google Scholar] [CrossRef]
- Thomas, J.L.; Palumbo, M.S.; Farrar, J.A.; Farver, T.B.; Cliver, D.O. Industry Practices and Compliance with U.S. Food and Drug Administration Guidelines among California Sprout Firms. J. Food Prot. 2003, 66, 1253–1259. [Google Scholar] [CrossRef] [PubMed]
- Pao, S.; Rolph, S.P.; Westbrook, E.W.; Shen, H. Use of Bacteriophages to Control Salmonella in Experimentally Contaminated Sprout Seeds. J. Food Sci. 2006, 69, M127–M130. [Google Scholar] [CrossRef]
- Kocharunchitt, C.; Ross, T.; McNeil, D.L. Use of Bacteriophages as Biocontrol Agents to Control Salmonella Associated with Seed Sprouts. Int. J. Food Microbiol. 2009, 128, 453–459. [Google Scholar] [CrossRef]
- Fong, K.; LaBossiere, B.; Switt, A.I.M.; Delaquis, P.; Goodridge, L.; Levesque, R.C.; Danyluk, M.D.; Wang, S. Characterization of Four Novel Bacteriophages Isolated from British Columbia for Control of Non-Typhoidal Salmonella in Vitro and on Sprouting Alfalfa Seeds. Front. Microbiol. 2017, 8, 1–14. [Google Scholar] [CrossRef]
- Ye, J.; Kostrzynska, M.; Dunfield, K.; Warriner, K. Control of Salmonella on Sprouting Mung Bean and Alfalfa Seeds by Using a Biocontrol Preparation Based on Antagonistic Bacteria and Lytic Bacteriophages. J. Food Prot. 2010, 73, 9–17. [Google Scholar] [CrossRef]
- Zhang, X.; Niu, Y.D.; Nan, Y.; Stanford, K.; Holley, R.; McAllister, T.; Narváez-Bravo, C. SalmoFreshTM Effectiveness in Controlling Salmonella on Romaine Lettuce, Mung Bean Sprouts and Seeds. Int. J. Food Microbiol. 2019, 305, 108250. [Google Scholar] [CrossRef]
- Fong, K.; Tremblay, D.M.; Delaquis, P.; Goodridge, L.; Levesque, R.C.; Moineau, S.; Suttle, C.A.; Wang, S. Diversity and Host Specificity Revealed by Biological Characterization and Whole Genome Sequencing of Bacteriophages Infecting Salmonella Enterica. Viruses 2019, 11, 854. [Google Scholar] [CrossRef]
- Wandro, S.; Ghatbale, P.; Attai, H.; Hendrickson, C.; Samillano, C.; Suh, J.; Dunham, S.J.B.; Pride, D.T.; Whiteson, K. Phage Cocktails Constrain the Growth of Enterococcus. mSystems 2022, 7, e00019-22. [Google Scholar] [CrossRef]
- Niu, Y.D.; Liu, H.; Du, H.; Meng, R.; Mahmoud, E.S.; Wang, G.; McAllister, T.A.; Standford, K. Efficacy of Individual Bacteriophages Does Not Predict Efficacy of Bacteriophage Cocktails for Control of Escherichia Coli O157. Front. Microbiol. 2021, 12, 616712. [Google Scholar] [CrossRef] [PubMed]
- Shin, H.; Lee, J.-H.; Kim, H.; Choi, Y.; Heu, S.; Ryu, S. Receptor Diversity and Host Interaction of Bacteriophages Infecting Salmonella Enterica Serovar Typhimurium. PLoS ONE 2012, 7, 1–11. [Google Scholar] [CrossRef] [PubMed]
- Parent, K.N.; Erb, M.L.; Cardone, G.; Nguyen, K.; Gilcrease, E.B.; Porcek, N.B.; Pogliano, J.; Baker, T.S.; Casjens, S.R. OmpA and OmpC Are Critical Host Factors for Bacteriophage Sf6 Entry in Shigella. Mol. Microbiol. 2014, 92, 47–60. [Google Scholar] [CrossRef] [PubMed]
- Marti, R.; Zurfluh, K.; Hagens, S.; Pianezzi, J.; Klumpp, J.; Loessner, M.J. Long Tail Fibres of the Novel Broad-Host-Range T-Even Bacteriophage S16 Specifically Recognize Salmonella OmpC. Mol. Microbiol. 2013, 87, 818–834. [Google Scholar] [CrossRef]
- Kortright, K.E.; Chan, B.K.; Turner, P.E. High-Throughput Discovery of Phage Receptors Using Transposon Insertion Sequencing of Bacteria. PNAS 2020, 117, 18670–18679. [Google Scholar] [CrossRef]
- Molina, F.; Menor-Flores, M.; Fernández, L.; Vega-Rodríguez, M.A.; García, P. Systematic Analysis of Putative Phage-Phage Interactions on Minimum-Sized Phage Cocktails. Sci. Rep. 2022, 12, 1–12. [Google Scholar] [CrossRef]
- Kim, H.J.; Woo Jun, J.; Giri, S.S.; Kim, S.G.; Kim, S.W.; Kwon, J.; Lee, S.B.; Chi, C.; Park, S.C. Bacteriophage Cocktail for the Prevention of Multiple-Antibiotic-Resistant and Mono-Phage-Resistant Vibrio Coralliilyticus Infection in Pacific Oyster (Crassostrea Gigas) Larvae. Pathogens 2020, 9, 831. [Google Scholar] [CrossRef]
- Li, X.; Gonzalez, F.; Esteves, N.; Scharf, B.E.; Chen, J. Formation of Phage Lysis Patterns and Implications on Co-Propagation of Phages and Motile Host Bacteria. PLOS Comput. Biol. 2020, 16, e1007236. [Google Scholar] [CrossRef]
- Kupczok, A.; Neve, H.; Huang, K.D.; Hoeppner, M.P.; Heller, K.J.; Franz, C.M.A.P.; Dagan, T. Rates of Mutation and Recombination in Siphoviridae Phage Genome Evolution over Three Decades. Mol. Biol. Evol. 2018, 35, 1147–1159. [Google Scholar] [CrossRef]
- Oechslin, F. Resistance Development to Bacteriophages Occurring during Bacteriophage Therapy. Viruses 2018, 10, 351. [Google Scholar] [CrossRef]
- Abdullah, A.S.; Moffat, C.S.; Lopez-Ruiz, F.J.; Gibberd, M.R.; Hamblin, J.; Zerihun, A. Host–Multi-Pathogen Warfare: Pathogen Interactions in Co-Infected Plants. Front. Plant. Sci. 2017, 8, 1806. [Google Scholar] [CrossRef] [PubMed]
- Uddin, M.J.; Easwaran, M.; Ahn, J. Characterization of Bacteriophages Specificity for Antibiotic-Resistant Salmonella Typhimurium. Ann. Microbiol. 2018, 68, 637–643. [Google Scholar] [CrossRef]
- Hamdi, S.; Rousseau, G.M.; Labrie, S.J.; Tremblay, D.M.; Kourda, R.S.; ben Slama, K.; Moineau, S. Characterization of Two Polyvalent Phages Infecting Enterobacteriaceae OPEN. Nat. Publ. Group 2017, 7, 40349. [Google Scholar] [CrossRef]
- Jang, M.J.; Kim, S.Y.; Ricke, S.C.; Rhee, M.S.; Kim, S.A. Microbial Ecology of Alfalfa, Radish, and Rapeseed Sprouts Based on Culture Methods and 16S RRNA Microbiome Sequencing. Food Res. Int. 2021, 144, 110316. [Google Scholar] [CrossRef] [PubMed]
- Janda, J.M.; Abbott, S.L. The Changing Face of the Family Enterobacteriaceae (Order: Enterobacterales): New Members, Taxonomic Issues, Geographic Expansion, and New Diseases and Disease Syndromes. Clin. Microbiol. Rev. 2021, 34, 1–45. [Google Scholar] [CrossRef] [PubMed]
- Zheng, J.; Reed, E.; Ramachandran, P.; Ottesen, A.; Brown, E.W.; Wang, Y. Taxonomic and Functional Shifts in the Sprout Spent Irrigation Water Microbiome in Response to Salmonella Contamination of Alfalfa Seeds. Appl. Environ. Microbiol. 2021, 87, e01811-20. [Google Scholar] [CrossRef]
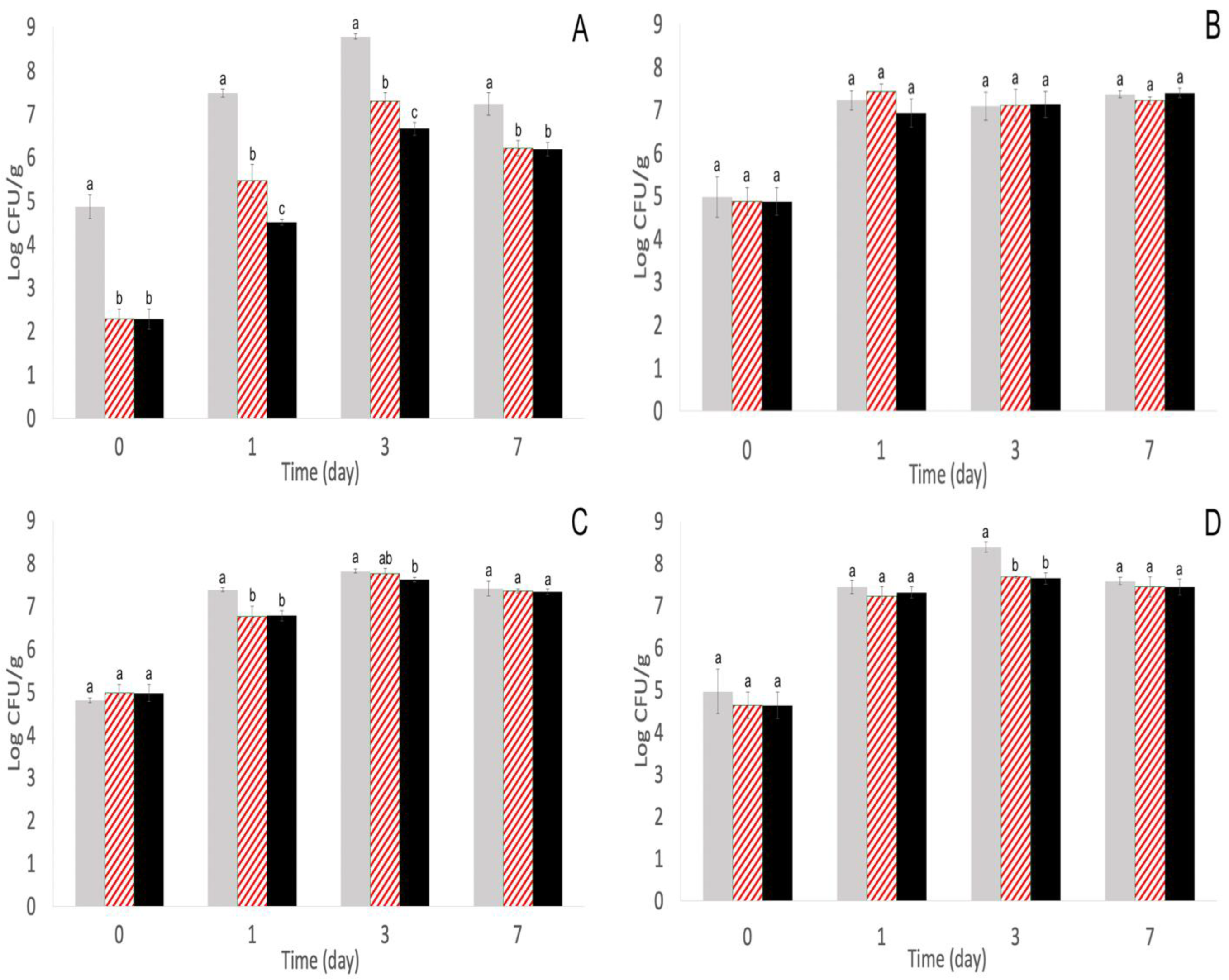
Control (no phage treatment, water soak and daily wash with sdH2O),
single-phage application (phage soak and daily wash with sdH2O), and
repeated-phage application (phage soak and daily phage washes). Different superscripts (a, b) each day indicate significant differences (p < 0.05) among treatments. Means and standard deviations were calculated using data from four biological replicates. Limit of detection > 0.2 log CFU/mL.
Control (no phage treatment, water soak and daily wash with sdH2O),
single-phage application (phage soak and daily wash with sdH2O), and
repeated-phage application (phage soak and daily phage washes). Different superscripts (a, b) each day indicate significant differences (p < 0.05) among treatments. Means and standard deviations were calculated using data from four biological replicates. Limit of detection > 0.2 log CFU/mL.
Control (no phage treatment, water soak and daily wash with sdH2O),
single-phage application (phage soak and daily water washes), and
repeated-phage application (phage soak and daily phage washes). Different superscripts (a, b) for each day indicate significant differences (p < 0.05) among treatments. Means and standard deviations were calculated using data from four biological replicates. Limit of detection > 0.2 log CFU/mL.
Control (no phage treatment, water soak and daily wash with sdH2O),
single-phage application (phage soak and daily water washes), and
repeated-phage application (phage soak and daily phage washes). Different superscripts (a, b) for each day indicate significant differences (p < 0.05) among treatments. Means and standard deviations were calculated using data from four biological replicates. Limit of detection > 0.2 log CFU/mL.
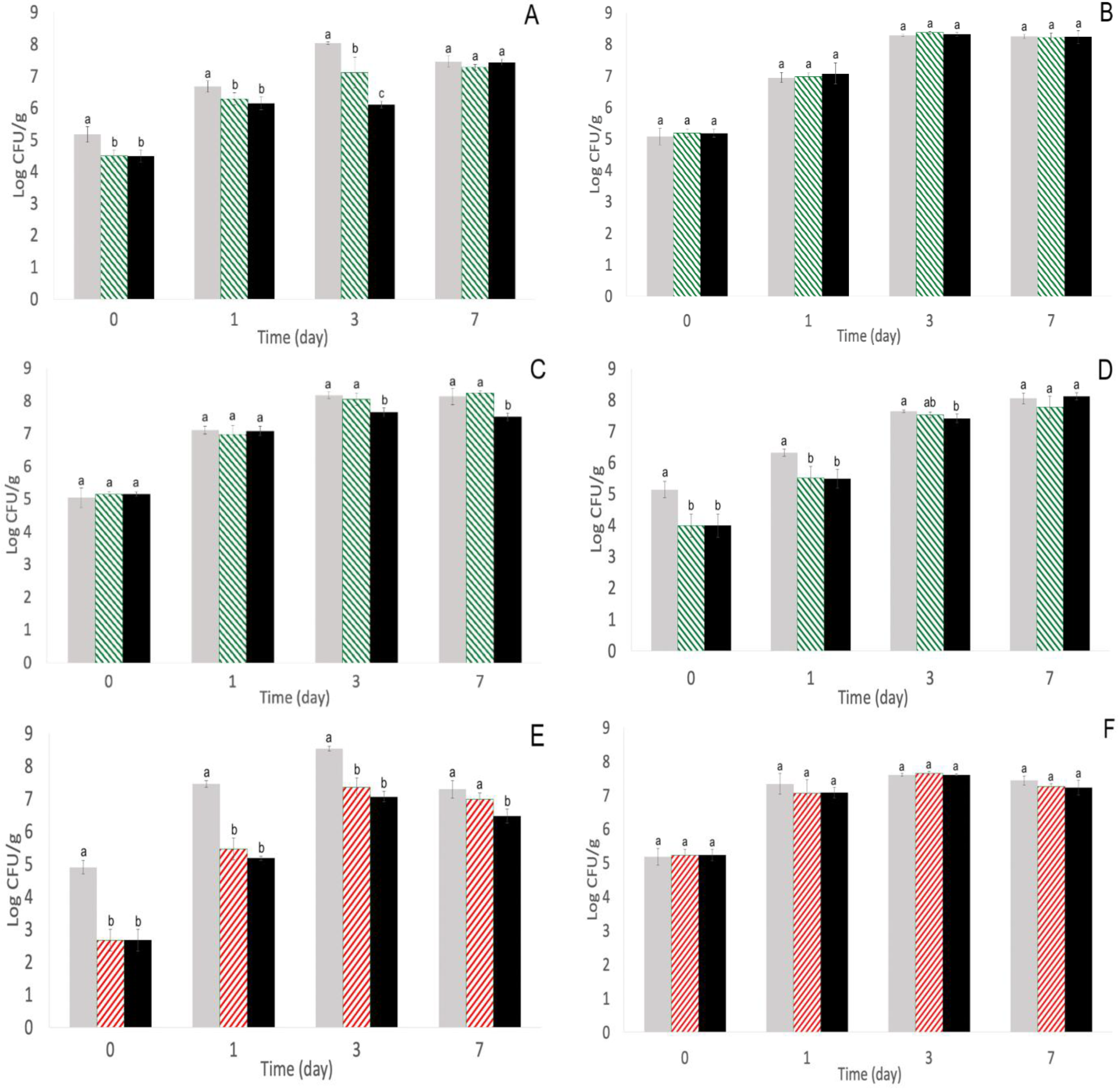
Control (no phage treatment, water soak and daily wash with sdH2O),
single-phage application (phage soak and daily wash with sdH2O), and
repeated-phage application (phage soak and daily phage washes). Treatments with phage cocktail 2:
Control (no phage treatment, water soak and daily wash with sdH2O),
single-phage application (phage soak and daily water washes), and
repeated-phage application (phage soak and daily phage washes). Different superscripts (a–c) each day indicate significant differences (p < 0.05) among treatments. Means and standard deviations were calculated using data from four biological replicates. Limit of detection > 0.2 log CFU/mL.
Control (no phage treatment, water soak and daily wash with sdH2O),
single-phage application (phage soak and daily wash with sdH2O), and
repeated-phage application (phage soak and daily phage washes). Treatments with phage cocktail 2:
Control (no phage treatment, water soak and daily wash with sdH2O),
single-phage application (phage soak and daily water washes), and
repeated-phage application (phage soak and daily phage washes). Different superscripts (a–c) each day indicate significant differences (p < 0.05) among treatments. Means and standard deviations were calculated using data from four biological replicates. Limit of detection > 0.2 log CFU/mL.

Control (no phage treatment, water soak and daily wash with sdH2O),
single-phage application (phage soak and daily wash with sdH2O), and
repeated-phage application (phage soak and daily phage washes). Treatments with phage cocktail 2:
Control (no phage treatment, water soak and daily wash with sdH2O),
single-phage application (phage soak and daily water washes), and
repeated-phage application (phage soak and daily phage washes). Different superscripts (a, b) each day indicate significant differences (p < 0.05) among treatments. Means and standard deviations were calculated using data from four biological replicates. Limit of detection > 0.2 log CFU/mL.
Control (no phage treatment, water soak and daily wash with sdH2O),
single-phage application (phage soak and daily wash with sdH2O), and
repeated-phage application (phage soak and daily phage washes). Treatments with phage cocktail 2:
Control (no phage treatment, water soak and daily wash with sdH2O),
single-phage application (phage soak and daily water washes), and
repeated-phage application (phage soak and daily phage washes). Different superscripts (a, b) each day indicate significant differences (p < 0.05) among treatments. Means and standard deviations were calculated using data from four biological replicates. Limit of detection > 0.2 log CFU/mL.
Publisher’s Note: MDPI stays neutral with regard to jurisdictional claims in published maps and institutional affiliations. |
© 2022 by the authors. Licensee MDPI, Basel, Switzerland. This article is an open access article distributed under the terms and conditions of the Creative Commons Attribution (CC BY) license (https://creativecommons.org/licenses/by/4.0/).
Share and Cite
Wong, C.W.Y.; Wang, S. Efficacy of Repeated Applications of Bacteriophages on Salmonella enterica-Infected Alfalfa Sprouts during Germination. Pathogens 2022, 11, 1156. https://doi.org/10.3390/pathogens11101156
Wong CWY, Wang S. Efficacy of Repeated Applications of Bacteriophages on Salmonella enterica-Infected Alfalfa Sprouts during Germination. Pathogens. 2022; 11(10):1156. https://doi.org/10.3390/pathogens11101156
Chicago/Turabian StyleWong, Catherine W. Y., and Siyun Wang. 2022. "Efficacy of Repeated Applications of Bacteriophages on Salmonella enterica-Infected Alfalfa Sprouts during Germination" Pathogens 11, no. 10: 1156. https://doi.org/10.3390/pathogens11101156
APA StyleWong, C. W. Y., & Wang, S. (2022). Efficacy of Repeated Applications of Bacteriophages on Salmonella enterica-Infected Alfalfa Sprouts during Germination. Pathogens, 11(10), 1156. https://doi.org/10.3390/pathogens11101156

