Probiotic Effect of Streptococcus dentisani on Oral Pathogens: An In Vitro Study
Abstract
1. Introduction
2. Materials and Methods
2.1. Saliva Collection and Sterilization
2.2. Reference Strains and Growth Conditions
2.3. Macroscopic Characterization of the Reference Strains
2.4. Preparation of the Microbial Inoculum
2.5. In Vitro Evaluation of Monospecies Biofilm Formation of S. dentisani, S. mutans, S. mitis, and C. albicans
2.6. Quantification of S. dentisani, S. mutans, S. mitis, and C. albicans Biofilm Formation
2.7. Assessment of the Biofilm Formation Ability of S. dentisani, S. mutans, S. mitis, and C. albicans
2.8. Assessment of Reduction in Biofilms from S. mutans, S. mitis, and C. albicans
2.8.1. Competition Test
2.8.2. Exclusion Test
2.8.3. Displacement Test
2.9. Statistical Analysis
3. Results
3.1. Biofilm Formation Ability of S. dentisani, S. mutans, S. mitis, and C. albicans
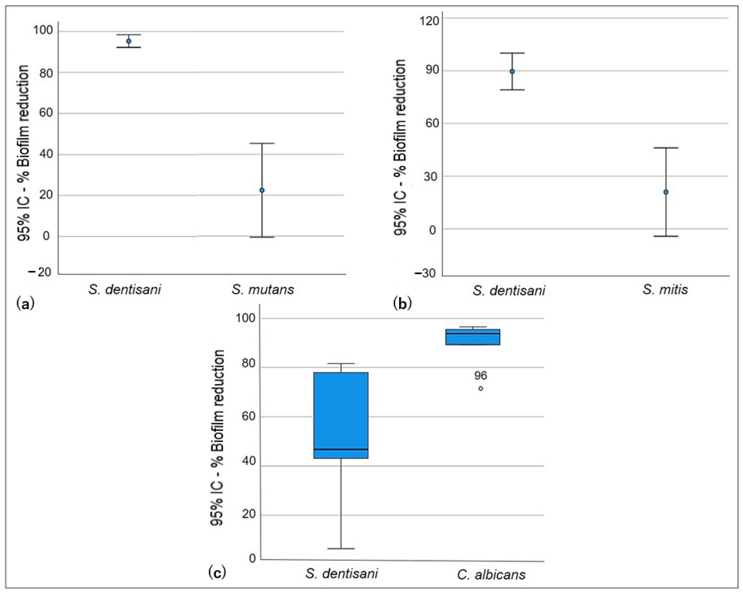
3.2. Biofilm Reduction of S. mutans, S. mitis, and C. albicans
3.2.1. Competition Test
3.2.2. Exclusion Test
3.2.3. Displacement Test
4. Discussion
5. Conclusions
Author Contributions
Funding
Institutional Review Board Statement
Informed Consent Statement
Data Availability Statement
Conflicts of Interest
References
- Baker, J.L.; Mark Welch, J.L.; Kauffman, K.M.; McLean, J.S.; He, X. The oral microbiome: Diversity, biogeography and human health. Nat. Rev. Microbiol. 2024, 22, 89–104. [Google Scholar] [CrossRef]
- Dewhirst, F.E.; Chen, T.; Izard, J.; Paster, B.J.; Tanner, A.C.R.; Yu, W.-H.; Lakshmanan, A.; Wade, W.G. The human oral microbiome. J. Bacteriol. 2010, 192, 5002–5017. [Google Scholar] [CrossRef]
- Deo, P.N.; Deshmukh, R. Oral microbiome: Unveiling the fundamentals. J. Oral Maxillofac. Pathol. 2019, 23, 122–128. [Google Scholar] [CrossRef] [PubMed]
- Willis, J.R.; Gabaldón, T. The human oral microbiome in health and disease: From sequences to ecosystems. Microorganisms 2020, 8, 308. [Google Scholar] [CrossRef]
- Carvalho, F.M.; Teixeira-Santos, R.; Mergulhão, F.J.M.; Gomes, L.C. Targeting Biofilms in Medical Devices using Probiotic Cells: A systematic review. AIMS Mater Sci. 2021, 8, 501–523. [Google Scholar] [CrossRef]
- Costerton, J.W.; Stewart, P.S.; Greenberg, E.P. Bacterial biofilms: A common cause of persistent infections. Science 1999, 284, 1318–1322. [Google Scholar] [CrossRef] [PubMed]
- Berger, D.; Rakhamimova, A.; Pollack, A.; Loewy, Z. Oral Biofilms: Development, Control, and Analysis. High Throughput 2018, 7, 24. [Google Scholar] [CrossRef]
- Hancock, V.; Dahl, M.; Klemm, P. Probiotic Escherichia coli strain Nissle 1917 outcompetes intestinal pathogens during biofilm formation. J. Med. Microbiol. 2010, 59, 392–399. [Google Scholar] [CrossRef]
- Walker, T.S.; Tomlin, K.L.; Worthen, G.S.; Poch, K.R.; Lieber, J.G.; Saavedra, M.T.; Fessler, M.B.; Malcolm, K.C.; Vasil, M.L.; Nick, J.A. Enhanced Pseudomonas aeruginosa biofilm development mediated by human neutrophils. Infect. Immun. 2005, 73, 3693–3701. [Google Scholar] [CrossRef]
- Colombo, A.P.V.; do Souto, R.M.; da Silva-Boghossian, C.M.; Miranda, R.; Lourenço, T.G.B. Microbiology of Oral Biofilm-Dependent Diseases: Have We Made Significant Progress to Understand and Treat These Diseases? Curr. Oral Health Rep. 2015, 2, 37–47. [Google Scholar] [CrossRef]
- Castro-Rodríguez, Y. Ciencias clínicas y patológicas artículo de revisión La higiene oral y los efectos de la terapia periodontal mecánica. Rev. Habanera Cienc. Med. 2021, 20, e3127. [Google Scholar]
- Haque, M.; Sartelli, M.; Haque, S.Z. Dental infection and resistance-global health consequences. Dent. J. 2019, 7, 22. [Google Scholar] [CrossRef] [PubMed]
- Allaker, R.P.; Stephen, A.S. Use of Probiotics and Oral Health. Curr. Oral Health Rep. 2017, 4, 309–318. [Google Scholar] [CrossRef] [PubMed]
- Seminario-Amez, M.; López-López, J.; Estrugo-Devesa, A.; Ayuso-Montero, R.; Jané-Salas, E. Probiotics and oral health: A system-atic review. Med. Oral Patol. Oral Cir. Bucal 2017, 22, e282–e288. [Google Scholar] [CrossRef] [PubMed]
- Food and Agriculture Organization of the United Nations; World Health Organization. Probiotics in Food: Health and Nutritional Properties and Guidelines for Evaluation; Food and Agriculture Organization of the United Nations: Rome, Italy, 2006; 50p. [Google Scholar]
- Amargianitakis, M.; Antoniadou, M.; Rahiotis, C.; Varzakas, T. Probiotics, prebiotics, synbiotics and dental caries. New perspec-tives, suggestions, and patient coaching approach for a cavity-free mouth. Appl. Sci. 2021, 11, 5472. [Google Scholar] [CrossRef]
- Luo, S.C.; Wei, S.M.; Luo, X.T.; Yang, Q.Q.; Wong, K.H.; Cheung, P.C.K.; Zhang, B.B. How probiotics, prebiotics, synbiotics, and postbiotics prevent dental caries: An oral microbiota perspective. NPJ Biofilms Microbiomes 2024, 10, 14. [Google Scholar] [CrossRef] [PubMed]
- Camelo-Castillo, A.; Benítez-Páez, A.; Belda-Ferre, P.; Cabrera-Rubio, R.; Mira, A. Streptococcus dentisani sp. nov., a novel member of the mitis group. Int. J. Syst. Evol. Microbiol. 2014, 64, 60–65. [Google Scholar] [CrossRef] [PubMed]
- López-López, A.; Camelo-Castillo, A.; Ferrer, M.D.; Simon-Soro, A.; Mira, A. Health-associated niche inhabitants as oral probiotics: The case of Streptococcus dentisani. Front. Microbiol. 2017, 8, 379. [Google Scholar] [CrossRef]
- Llena, C.; Almarche, A.; Mira, A.; López, M.A. Antimicrobial efficacy of the supernatant of streptococcus dentisani against microorganisms implicated in root canal infections. J. Oral Sci. 2019, 61, 184–194. [Google Scholar] [CrossRef] [PubMed]
- Esteban-Fernández, A.; Zorraquín-Peña, I.; Ferrer, M.D.; Mira, A.; Bartolomé, B.; González de Llano, D.; Moreno-Arribas, M.V. Inhibition of oral pathogens adhesion to human gingival fibroblasts by wine polyphenols alone and in combination with an oral probiotic. J. Agric. Food Chem. 2018, 66, 2071–2082. [Google Scholar] [CrossRef]
- Huang, X.; Palmer, S.R.; Ahn, S.; Richards, V.P.; Williams, M.L.; Nascimento, M.M.; Burne, R.A. A Highly Arginolytic Streptococcus Species That Potently Antagonizes Streptococcus mutans. Appl. Environ. Microbiol. 2016, 82, 2187–2201. [Google Scholar] [CrossRef] [PubMed]
- Poorni, S.; Srinivasan, M.R.; Nivedhitha, M.S. Probiotic Streptococcus strains in caries prevention: A systematic review. J. Conserv. Dent. 2019, 22, 123–128. [Google Scholar] [CrossRef] [PubMed]
- Tagg, J.R.; Harold, L.K.; Jain, R.; Hale, J.D.F. Beneficial modulation of human health in the oral cavity and beyond using bacteriocin-like inhibitory substance-producing streptococcal probiotics. Front. Microbiol. 2023, 14, 1161155. [Google Scholar] [CrossRef] [PubMed]
- Elexson, N.; Sabrina, H.; Dalene, L.; Eddy, B.; Nurul, F.R.; Nasra, P.; Grace, B.; Nick, L.; Amirah, Z.J.; Nur, D.Z.; et al. Assessment of Pseudomonas aeruginosa biofilm-forming capacities from drinking water in water vending machine. Food Res. 2022, 6, 76–83. [Google Scholar] [CrossRef] [PubMed]
- Kırmusaoğlu, S. The Methods for detection of biofilm and screening antibiofilm activity of agents. In Antimicrobials, Antibiotic Resistance, Antibiofilm Strategies and Activity Methods; IntechOpen: London, UK, 2019. [Google Scholar] [CrossRef]
- Woo, J.; Ahn, J. Probiotic-mediated competition, exclusion and displacement in biofilm formation by food-borne pathogens. Lett. Appl. Microbiol. 2013, 56, 307–313. [Google Scholar] [CrossRef] [PubMed]
- Schwendicke, F.; Korte, F.; Dörfer, C.E.; Kneist, S.; Fawzy El-Sayed, K.; Paris, S. Inhibition of Streptococcus mutans growth and biofilm formation by probiotics in vitro. Caries Res. 2017, 51, 87–95. [Google Scholar] [CrossRef]
- Ruiz, M.J.; García, M.D.; Padola, N.L.; Etcheverría, A.I. Capacidad de Lactiplantibacillus plantarum de reducir biofilms de bacterias patógenas transmitidas por alimentos. Rev. Vet. 2022, 33, 48–52. [Google Scholar] [CrossRef]
- Bernabè, G.; Pauletto, A.; Zamuner, A.; Cassari, L.; Castagliuolo, I.; Brun, P.; Dettin, M. Exploiting conserved quorum sensing signals in Streptococcus mutans and Streptococcus pneumoniae. Microorganisms 2022, 10, 2386. [Google Scholar] [CrossRef]
- Metwalli, K.H.; Khan, S.A.; Krom, B.P.; Jabra-Rizk, M.A. Streptococcus mutans, Candida albicans, and the human mouth: A sticky situation. PLoS Pathog. 2013, 9, 10. [Google Scholar] [CrossRef]
- Marcinkiewicz, J.; Strus, M.; Pasich, E. Antibiotic resistance: A «dark side» of biofilm-associated chronic infections. Pol. Arch. Med. Wewn. 2013, 123, 309–313. [Google Scholar] [CrossRef]
- Whitmore, S.E.; Lamont, R.J. The pathogenic persona of community-associated oral streptococci. Mol. Microbiol. 2011, 81, 305–314. [Google Scholar] [CrossRef] [PubMed]
- Li, Y.H.; Hanna, M.N.; Svensäter, G.; Ellen, R.P.; Cvitkovitch, D.G. Cell density modulates acid adaptation in Streptococcus mutans: Implications for survival in biofilms. J. Bacteriol. 2001, 183, 6875–6884. [Google Scholar] [CrossRef] [PubMed]
- Zayed, S.M.; Aboulwafa, M.M.; Hashem, A.M.; Saleh, S.E. Biofilm formation by Streptococcus mutans and its inhibition by green tea extracts. AMB Express. 2021, 11, 73. [Google Scholar] [CrossRef] [PubMed]
- Denapaite, D.; Brückner, R.; Nuhn, M.; Reichmann, P.; Henrich, B.; Maurer, P.; Schähle, Y.; Selbmann, P.; Zimmermann, W.; Wambutt, R.; et al. The genome of Streptococcus mitis B6--what is a commensal? PLoS ONE 2010, 5, e9426. [Google Scholar] [CrossRef] [PubMed]
- Palmieri, C.; Magi, G.; Orsini, G.; Putignano, A.; Facinelli, B. Antibiofilm activity of zinc-carbonate hydroxyapatite nanocrystals against Streptococcus mutans and mitis group streptococci. Curr. Microbiol. 2013, 67, 679–681. [Google Scholar] [CrossRef] [PubMed]
- Mitchell, J. Streptococcus mitis: Walking the line between commensalism and pathogenesis. Mol. Oral Microbiol. 2011, 26, 89–98. [Google Scholar] [CrossRef] [PubMed]
- Watanabe, A.; Kawada-Matsuo, M.; Le, M.N.; Hisatsune, J.; Oogai, Y.; Nakano, Y.; Nakata, M.; Miyawaki, S.; Sugai, M.; Komatsuzawa, H. Comprehensive analysis of bacteriocins in Streptococcus mutans. Sci. Rep. 2021, 11, 12963. [Google Scholar] [CrossRef] [PubMed]
- Junges, R.; Sturød, K.; Salvadori, G.; Åmdal, H.A.; Chen, T.; Petersen, F.C. Characterization of a signaling system in Streptococcus mitis that mediates interspecies communication with Streptococcus pneumoniae. Appl. Environ. Microbiol. 2019, 85, e02297-18. [Google Scholar] [CrossRef] [PubMed]
- Senadheera, D.; Cvitkovitch, D.G. Quorum sensing and biofilm formation by Streptococcus mutans. Adv. Exp. Med. Biol. 2008, 631, 178–188. [Google Scholar] [CrossRef]
- Cvitkovitch, D.G.; Li, Y.H.; Ellen, R.P. Quorum sensing and biofilm formation in Streptococcal infections. J. Clin. Investig. 2003, 112, 1626–1632. [Google Scholar] [CrossRef]
- Conrads, G.; Westenberger, J.; Lürkens, M.; Abdelbary, M.M.H. Isolation and bacteriocin-related typing of Streptococcus dentisani. Front. Cell Infect. Microbiol. 2019, 9, 110. [Google Scholar] [CrossRef] [PubMed]
- Matsubara, V.H.; Wang, Y.; Bandara, H.M.H.N.; Mayer, M.P.A.; Samaranayake, L.P. Probiotic lactobacilli inhibit early stages of Candida albicans biofilm development by reducing their growth, cell adhesion, and filamentation. Appl. Microbiol. Biotechnol. 2016, 100, 6415–6426. [Google Scholar] [CrossRef] [PubMed]
- Banas, J.A.; Zhu, M.; Dawson, D.V.; Blanchette, D.R.; Drake, D.R.; Gu, H.; Frost, R.; McCaulley, G.; Levy, S.M. Acidogenicity and acid tolerance of Streptococcus oralis and Streptococcus mitis isolated from plaque of healthy and incipient caries teeth. J. Oral Microbiol. 2016, 8, 1. [Google Scholar] [CrossRef] [PubMed]




| Result of Calculation | Category |
|---|---|
| ODcref ≤ ODc | Non-forming |
| ODc < ODcref ≤ 2 × ODc | Weak |
| 2 × ODc < ODcref ≤ 4 × ODc | Moderate |
| 4 × ODc < ODcref | Strong |
| Strain | ODcref | Odc Value | Result of Calculation | Category |
|---|---|---|---|---|
| (Mean ± SD) | ||||
| S. dentisani | 0.506 ± 0.12 | 0.179 | 0.358 < 0.506 ≤ 0.719 | Moderate |
| S. mutans | 0.552 ± 0.07 | 0.358 < 0.552 ≤ 0.719 | Moderate | |
| S. mitis | 0.702 ± 0.23 | 0.358 < 0.702 ≤ 0.719 | Moderate | |
| C. albicans | 0.446 ± 0.02 | 0.358 < 0.446 ≤ 0.719 | Moderate |
| Competition | Log Red | p-Value | % Biofilm Reduction | p-Value | |
|---|---|---|---|---|---|
| S. dentisani | Median (IQR) | 1.730 (1.67–1.97) | 0.004 *a | 98.1 (97.8–98.9) | 0.004 *a |
| S. mutans | 0.005 (−0.29–0.13) | 1.6 (0.0–25.5) | |||
| S. dentisani | Mean ± SD | 0.728 ± 0.314 | 0.005 *b | 77.5 ± 13.42 | 0.001 *b |
| S. mitis | 0.154 ± 0.137 | 26.9 ± 22.24 | |||
| S. dentisani | Mean ± SD | 0.170 ± 0.269 | 0.006 *b | 30.6 ± 33.57 | 0.02 *b |
| C. albicans | 0.645 ± 0.163 | 76.1 ± 8.84 | |||
| Exclusion | Log Red | p-Value | % Biofilm Reduction | p-Value | |
| S. dentisani | Median (IQR) | 1.660 (1.46–2.22) | 0.005 *a | 97.8 (96.6–99.4) | 0.005 *a |
| S. mutans | −0.210 (−0.30–−0.10) | 0.0 (0.0–0.0) | |||
| S. dentisani | Median (IQR) | 1.916 (1.74–2.22) | 0.006 *a | 98.8 (98.2–99.4) | 0.005 *a |
| S. mitis | −0.098 (−0.11–−0.09) | 0.0 (0.0–0.0) | |||
| S. dentisani | Median (IQR) | 0.217 (0.14–0.26) | 0.629 a | 39.4 (27.3–45.6) | 0.629 a |
| C. albicans | 0.195 (0.12–0.45) | 35.1 (24.3–64.9) | |||
| Displacement | Log Red | p-Value | % Biofilm Reduction | p-Value | |
| S. dentisani | Mean ± SD | 1.398 ± 0.274 | <0.005 *b | 95.3 ± 2.9 | <0.005 *b |
| S. mutans | 0.126 ± 0.144 | 22.4 ± 21.8 | |||
| S. dentisani | Mean ± SD | 1.190 ± 0.492 | 0.002 *b | 89.6 ± 10.0 | <0.005 *b |
| S. mitis | 0.120 ± 0.154 | 21.0 ± 24.0 | |||
| S. dentisani | Median (IQR) | 0.275 (0.25–0.66) | 0.009 *a | 46.8 (43.1–78.0) | 0.009 *a |
| C. albicans | 1.210 (0.97–1.35) | 93.8 (89.3–95.5) | |||
Disclaimer/Publisher’s Note: The statements, opinions and data contained in all publications are solely those of the individual author(s) and contributor(s) and not of MDPI and/or the editor(s). MDPI and/or the editor(s) disclaim responsibility for any injury to people or property resulting from any ideas, methods, instructions or products referred to in the content. |
© 2024 by the authors. Licensee MDPI, Basel, Switzerland. This article is an open access article distributed under the terms and conditions of the Creative Commons Attribution (CC BY) license (https://creativecommons.org/licenses/by/4.0/).
Share and Cite
Bedoya-Correa, C.M.; Betancur-Giraldo, S.; Franco, J.; Arango-Santander, S. Probiotic Effect of Streptococcus dentisani on Oral Pathogens: An In Vitro Study. Pathogens 2024, 13, 351. https://doi.org/10.3390/pathogens13050351
Bedoya-Correa CM, Betancur-Giraldo S, Franco J, Arango-Santander S. Probiotic Effect of Streptococcus dentisani on Oral Pathogens: An In Vitro Study. Pathogens. 2024; 13(5):351. https://doi.org/10.3390/pathogens13050351
Chicago/Turabian StyleBedoya-Correa, Claudia María, Santiago Betancur-Giraldo, John Franco, and Santiago Arango-Santander. 2024. "Probiotic Effect of Streptococcus dentisani on Oral Pathogens: An In Vitro Study" Pathogens 13, no. 5: 351. https://doi.org/10.3390/pathogens13050351
APA StyleBedoya-Correa, C. M., Betancur-Giraldo, S., Franco, J., & Arango-Santander, S. (2024). Probiotic Effect of Streptococcus dentisani on Oral Pathogens: An In Vitro Study. Pathogens, 13(5), 351. https://doi.org/10.3390/pathogens13050351

