A Health Threat from Farm to Fork: Shiga Toxin-Producing Escherichia coli Co-Harboring blaNDM-1 and mcr-1 in Various Sources of the Food Supply Chain
Abstract
1. Introduction
2. Materials and Methods
2.1. Ethical Approval
2.2. Collection, Processing, and Transportation of Sample
2.3. Isolation and Purification of E. coli
2.4. MALDI-TOF
2.5. Detection of VAGs
2.6. Antibiotic Susceptibility Testing
2.7. Phenotypic Confirmation of Colistin Resistance
2.8. Carbapenemase Nordmann-Poirel CLSI (CarbaNP CLSI) Test
2.9. Molecular Characterization of ARGs
2.10. O Typing
2.11. Statistical Analysis
3. Results
3.1. Distribution of E. coli from Various Food Sources
3.2. Distribution of Non-O157 STEC among Various Sample Sources
3.3. Distribution of non-O157 STEC Co-Harboring blaNDM-1 and mcr-1 among Various Sample Sources
3.4. VAGs Detection
3.5. Resistance Profiling of the Isolates
3.6. ARGs
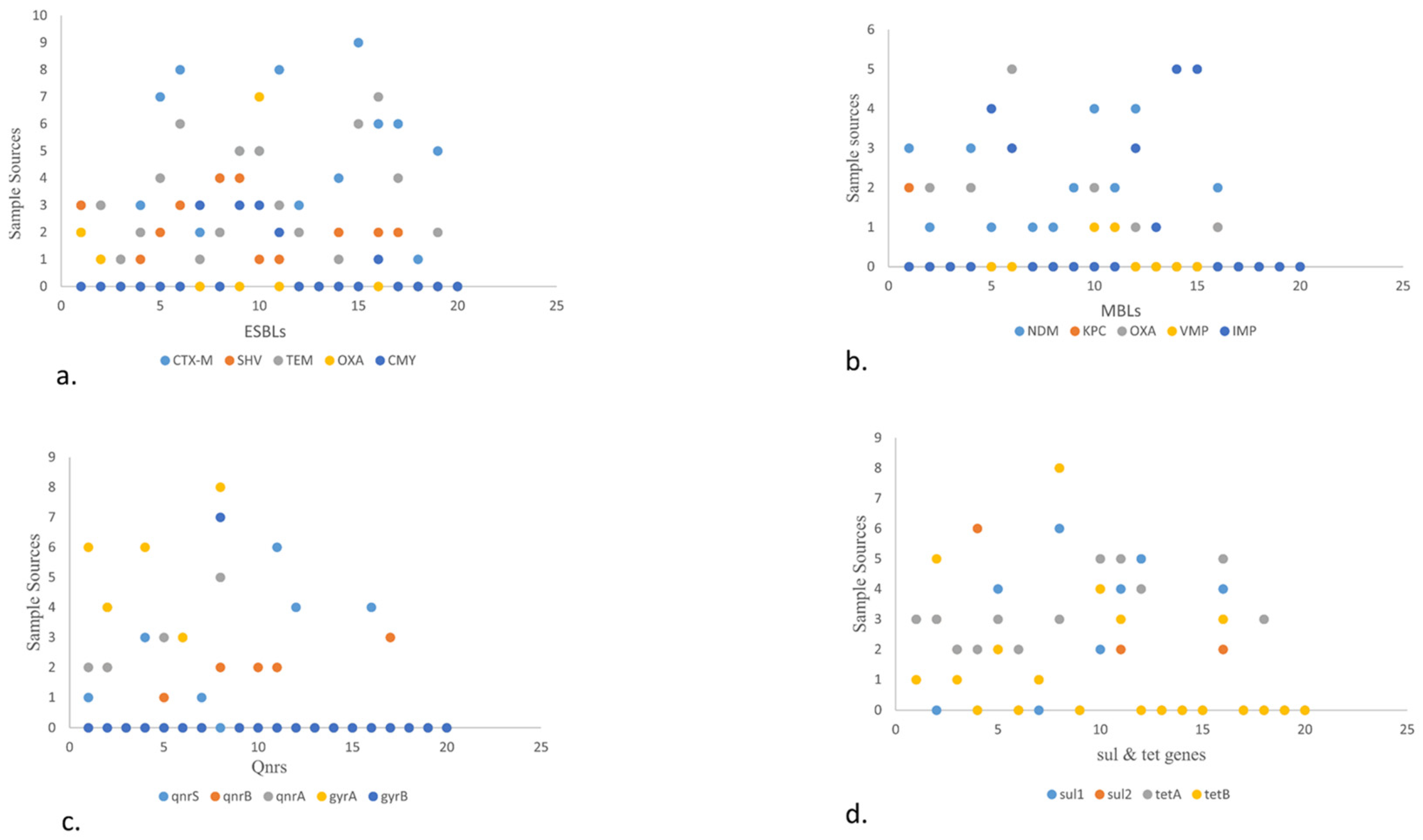
- (a)
- The scatter plot shows the presence of ESBL genes in various food sources. A high number of blaCTX-M was detected in fisheries via transport means whereas blaSHV is more in beef. Among blaTEM and blaOXA, blaCMY showed the highest prevalence in raw milk, poultry waste, and slaughterhouse samples, respectively.
- (b)
- The scatter plot in MBLs showcases the highest prevalence of blaNDM-1 and blaOXA in poultry droppings and the lowest in poultry farm waste while blaIMP in fisheries market waste.
- (c)
- The scatter plot shows qnrS. qnrS was highest in poultry farm waste, followed by qnrA which was found to more prevalent in open market waste, along with qnrB, which was found to be more prevalent in raw milk. Out of the different types of gyrs, gyrA is more prevalent than gyrB and was detected in higher quantities in open market waste.
- (d)
- The scatter plot also elaborates on the prevalence of sul and tet genes. Here, sul1 and sul2 are shown to be more prevalent in environmental waste samples. Meanwhile, tetA is higher in dairy waste. Consider this in comparison to tetB, which is found more in open market waste.
4. Discussion
5. Conclusions
Supplementary Materials
Author Contributions
Funding
Informed Consent Statement
Data Availability Statement
Acknowledgments
Conflicts of Interest
References
- Gompel, L.V.; Luiken, R.E.C.; Hansen, R.B.; Munk, P.; Bouwknegt, M.; Heres, L.; Greve, G.D.; Scherpenisse, P.; Jongerius-Gortemaker, B.G.M.; Tersteeg-Zijderveld, M.H.G.; et al. Description and determinants of the faecal resistome and microbiome of farmers and slaughterhouse workers: A metagenome-wide cross-sectional study. Environ.Int. 2020, 143, 105939. [Google Scholar] [CrossRef]
- Pokharel, S.; Priyanka, S.; Bipin, A. Antimicrobial use in food animals and human health: Time to implement ‘One Health’approach. Antimicrob. Resist. Infect. Control. 2020, 9, 181. [Google Scholar] [CrossRef] [PubMed]
- Hu, Y.; Wang, J.; Zhang, R.; Chen, L.; Zhang, H.; Qi, X.; Chen, J. Epidemiology of foodborne diseases caused by Salmonella in Zhejiang Province, China, between 2010 and 2021. Front. Public Health 2023, 11, 1127925. [Google Scholar]
- Gallo, M.; Ferrara, L.; Calogero, A.; Montesano, D.; Naviiglio, D. Relationships between food and diseases: What to know to ensure food safety. Food Res. Int. 2020, 137, 109414. [Google Scholar] [CrossRef]
- Pan, Y.; Hu, B.; Bai, X.; Yang, X.; Cao, L.; Liu, Q.; Sun, H.; Li, J.; Zhang, J.; Jin, D.; et al. Antimicrobial Resistance of Non-O157 Shiga Toxin Producing Escherichia coli Isolated from Humans and Domestic Animals. Antibiotics 2021, 10, 74. [Google Scholar] [CrossRef]
- Joseph, A.; Cointe, A.; Kurkdijan, P.M.; Rafat, C.; Hertig, A. Shiga Toxin-Associated Hemolytic Uremic Syndrome: A Narrative Review. Toxins 2020, 12, 67. [Google Scholar] [CrossRef]
- Tiseo, K.; Huber, L.; Gilbert, M.; Robinson, T.P.; Van Boeckel, T.P. Global trends in antimicrobial use in food animals from 2017 to 2030. Antibiotics 2020, 9, 918. [Google Scholar] [CrossRef] [PubMed]
- Galarce1, N.; Sánchez, F.; Fuenzalida, V.; Ramos, R.; Escobar, B.; Lisette Lapierre, L.; Paredes-Osses, E.; Arriagada, G.; Alegría-Morán1, R.; Lincopán, N.; et al. Phenotypic and Genotypic Antimicrobial Resistance in Non-O157 Shiga Toxin-Producing Escherichia coli Isolated From Cattle and Swine in Chile. Front. Veter- Sci. 2020, 7, 367. [Google Scholar] [CrossRef]
- Yang, G.; Zhang, S.; Huang, Y.; YE, Q.; Zhang, J.; WU, Q.; Wang, J.; Chen, M.; Xue, L. Isolation and Characterization of Non-O157 Shiga Toxin–Producing Escherichia coli in Foods Sold at Retail Markets in China. J. Food Prot. 2020, 83, 460–467. [Google Scholar] [CrossRef] [PubMed]
- Nawaz, Z.; Aslam, B.; Zahoor, M.A.; Siddique, A.B.; Rafique, A.; Aslam, R.; Qamar, M.U.; Ali, S.; Mubeen, M. Frequency of Extended Spectrum Beta Lactamase Producing Escherichia coli in Fresh and Frozen Meat. Pak. Vet. J. 2020, 41, 102–106. [Google Scholar] [CrossRef]
- Usman, M.; Rasool, M.H.; Khurshid, M.; Aslam, B.; Baloch, Z. Co-Occurrence of mcr-1 and Carbapenem Resistance in Avian Pathogenic, E. coli Serogroups O78 ST95 from Colibacillosis-Infected Broiler Chickens. Antibiotics 2023, 12, 812. [Google Scholar] [CrossRef] [PubMed]
- Bording-Jorgensen, M.; Parsons, B.; Szelewicki, J.; Lioyd, C.; Chui, L. Molecular Detection of Non-O157 Shiga Toxin Producing Escherichia coli (STEC) Directly from Stool Using Multiplex qPCR Assays. Microorganism 2022, 10, 329. [Google Scholar] [CrossRef] [PubMed]
- Harada, T.; Iguchi, A.; Iyoda, S.; Seto, K.; Taguchi, M.; Kumeda, Y. Multiplex Real-Time PCR Assays for Screening of Shiga Toxin 1 and 2 Genes, Including All Known Subtypes, and Escherichia coli O26-, O111-, and O157-Specific Genes in Beef and Sprout Enrichment Cultures. J. Food Prot. 2015, 78, 1800–1811. [Google Scholar] [CrossRef] [PubMed]
- Subedi, M.; Luitel, H.; Devkota, B.; Bhattarai, R.K.; Phuyal, S.; Panthi, P.; Shrestha, A.; Chaudhary, D.K. Antibiotic resistance pattern and virulence genes content in avian pathogenic Escherichia coli (APEC) from broiler chickens in Chitwan, Nepal. BMC Vet. Res. 2018, 14, 113. [Google Scholar] [CrossRef] [PubMed]
- Islam, M.A.; Heuvelink, A.E.; De Boer, E.; Sturm, P.D.; Beumer, R.R.; Zwietering, M.H.; Faruque, A.S.G.; Haque, R.; Sack, D.A.; Talukder, K.A. Shiga toxin-producing Escherichia coli isolated from patients with diarrhoea in Bangladesh. J. Med. Microbiol. 2007, 56, 380–385. [Google Scholar] [CrossRef] [PubMed][Green Version]
- Heuvelink, A.E.; de Van, K.N.; Meis, J.; Monnens, L.A.H.; Melchers, W.J.G. Characterization of verocytotoxin-producing Escherichia coli O157 isolates from patients with hemolytic uremic syndrome in Western Europe. Epidemiol. Infect. 1995, 115, 1–3. [Google Scholar] [CrossRef] [PubMed]
- Oswald, E.; Schmidt, H.; Morabito, S.; Karch, H.; Marches, O.; and Caprioli, A. Typing of intimin genes in human and animal enterohemorrhagic and enteropathogenic Escherichia coli: Characterization of a new intimin variant. Infect. Immun. 2000, 68, 64–71. [Google Scholar] [CrossRef] [PubMed]
- Zhang, S.; Chen, S.; Rehman, M.U.; Yang, H.; Yang, Z.; Wang, M.; Jia, R.; Chen, S.; Liu, M.; Zhu, D.; et al. Distribution and association of antimicrobial resistance and virulence traits in Escherichia coli isolates from healthy waterfowls in Hainan, China. Ecotoxicol. Enviorn. Saf. 2021, 220, 112317. [Google Scholar] [CrossRef] [PubMed]
- Perez-Bou, L.; Gonzalez-Martinez, A.; Cabrera, J.; Juarez-Jimenez, B.; Rodelas, B.; Gonzalez-Lopez, J.; and David Correa-Galeote, D. Design and Validation of Primer Sets for the Detection and Quantification of Antibiotic Resistance Genes in Environmental Samples by Quantitative PCR. Microb. Ecol. 2024, 87, 1–12. [Google Scholar] [CrossRef]
- Vanstokstraeten, R.; Belasri, N.; Demuyser, T.; Crombé, F.; Barbé, K.; Piérard, D. A comparison of E. coli susceptibility for amoxicillin/clavulanic acid according to EUCAST and CLSI guidelines. Eur. J. Clin. Microbiol. 2021, 40, 2371–2377. [Google Scholar] [CrossRef]
- Silva, V.; Correia, S.; Pereira, J.E.; Igrejas, G.; Poeta, P. Surveillance and environmental risk assessment of antibiotics and amr/args related with mrsa: One health perspective. Antibiot. Antimicrob. Resist. Genes 2020, 2020, 271–295. [Google Scholar]
- Huang, H.Y.; Wang, C.H.; Lu, P.L.; Tseng, S.P.; Wang, Y.L.; Chen, T.C.; Chang, K.; Hung-Tu, P.; Lin, S.-Y. Clinical Impact of the Revised 2019 CLSI Levofloxacin Breakpoints in Patients with Enterobacterales Bacteremia. Antimicrob. Agents Chemother. 2021, 65, 10–1128. [Google Scholar] [CrossRef] [PubMed]
- Kanokudom, S.; Assawakongkarat, T.; Akeda, Y.; Ratthawongjirakul, P.; Chuanchuen, R.; Chaichanawongsaroj, N. Rapid detection of extended spectrum β-lactamase producing Escherichia coli isolated from fresh pork meat and pig cecum samples using multiplex recombinase polymerase amplification and lateral flow strip analysis. PLoS ONE 2021, 16, e0248536. [Google Scholar] [CrossRef]
- Ben Yahia, H.; Ben Sallem, R.; Tayh, G.; Klibi, N.; Ben Amor, I.; Gharsa, H.; Boudabbous, A.; Ben Slama, K. Detection of CTX-M-15 harboring Escherichia coli isolated from wild birds in Tunisia. BMC Microbiol. 2018, 18, 26. [Google Scholar] [CrossRef]
- Kim, Y.B.; Yoon, M.Y.; Ha, J.S.; Seo, K.W.; Noh, E.B.; Son, S.H.; Lee, Y.J. Molecular characterization of avian pathogenic Escherichia coli from broiler chickens with colibacillosis. Poult. Sci. 2020, 99, 1088–1095. [Google Scholar] [CrossRef] [PubMed]
- Jamil, A.; Zahoor, M.A.; Nawaz, Z.; Siddique, A.B.; Khurshid, M. Genetic Diversity of Escherichia coli Coharboring mcr-1 and Extended Spectrum Beta-Lactamases from Poultry. BioMed. Res. Int. 2022, 2022, 8224883. [Google Scholar] [CrossRef]
- Sarwar, F.; Rasool, M.H.; Khurshid, M.; Qamar, M.U.; Aslam, B. Escherichia coli Isolates Harboring bla(NDM) Variants and 16S Methylases Belonging to Clonal Complex 131 in Southern Punjab, Pakistan. Microb. Drug Resist. 2022, 28, 623–635. [Google Scholar] [CrossRef]
- Aslam, B.; Chaudhry, T.H.; Arshad, M.I.; Muzammil, S.; Siddique, A.B.; Yasmeen, N.; Khurshid, M.; Amir, A.; Salman, M.; Rasool, M.H.; et al. Distribution and genetic diversity of multi-drug-resistant Klebsiella pneumoniae at the human-animal-environment interface in Pakistan. Front. Microbiol. 2022, 13, 898248. [Google Scholar] [CrossRef]
- Chaudhry, T.H.; Aslam, B.; Arshad, M.I.; Alvi, R.F.; Muzammil, S.; Yasmeen, N.; Aslam, M.A.; Khurshid, M.; Rasool, M.H.; Baloch, Z. Emergence of bla (NDM-1) Harboring Klebsiella pneumoniae ST29 and ST11 in Veterinary Settings and Waste of Pakistan. Infect. Drug Resist. 2020, 13, 3033–3043. [Google Scholar] [CrossRef]
- Vuthy, Y.; Lay, K.S.; Seiha, H.; Kerleguer, A.; Aidara-Kane, A. Antibiotic susceptibility and molecular characterization of resistance genes among Escherichia coli and among Salmonella subsp. in chicken food chains. Asian. Pac. J. Trop. Biomed. 2017, 7, 670–674. [Google Scholar] [CrossRef]
- Sivakumar, M.; Abass, G.; Vivekanandhan, R.; Anukampa, S.D.K.; Bhilegaonkar, K.; Kumar, S.; Grace, M.R.; Dubal, Z. Extended-spectrum beta-lactamase (ESBL) producing and multidrug-resistant Escherichia coli in street foods: A public health concern. J. Food Sci. Technol. 2021, 58, 1247–1261. [Google Scholar] [CrossRef] [PubMed]
- Li, Y.; Liu, D.; Cao, B.; Han, W.; Liu, Y.; Liu, F.; Guo, X.; Bastin, D.A.; Feng, L.; Wang, L. Development of a serotype-specific DNA microarray for identification of some Shigella and pathogenic Escherichia coli strains. J. Clin. Microbiol. 2006, 44, 4376–4383. [Google Scholar] [CrossRef] [PubMed]
- Kinnula, S.; Hemminki, K.; Kotilainen, H.; Ruotsalainen, E.; Tarkka, E.; Salmenlinna, S.; Hallanvuo, S.; Leinonen, E.; Jukka, O.; Rimhanen-Finne, R.; et al. Outbreak of multiple strains of non-O157 Shiga toxin-producing and enteropathogenic Escherichia coli associated with rocket salad, Finland, autumn 2016. Eurosurveillance 2018, 23, 1700666. [Google Scholar] [CrossRef] [PubMed]
- Al-Mustapha, A.I.; Raufu, I.A.; Ogundijo, Q.A.; Brouwer, M.S.M.; Adetunji, V.; Heikinheimo, A. Antibiotic resistance genes, mobile elements, virulence genes, and phages in cultivated ESBL-producing Escherichia coli of poultry origin in Kwara State, North Central Nigeria. Int. J. Food. Microbiol. 2023, 389, 110086. [Google Scholar] [CrossRef]
- Hasona, I.F.; Helmy, S.M.; El Gamal, A.D. Prevalence, virulence factors, and antimicrobial resistance profiles of Shiga toxin-producing Escherichia coli isolated from broiler chickens in Egypt. Vet. Res. Forum. 2023, 14, 131–138. [Google Scholar]
- Anyanwu, M.U.; Jaj, F.I.; Okpala, C.O.; Njoga, E.O.; Okafor, N.A.; Oguttu, J.W. Mobile colistin resistance (mcr) gene-containing organisms in poultry sector in low-and middle-income countries: Epidemiology, characteristics, and one health control strategies. Antibiotics 2023, 12, 1117. [Google Scholar] [CrossRef]
- Sadek, J.; Rosa, J.M.O.; Maky, M.A.; Dandrawy, M.K.; Nordman, P.; Poirel, L. Genomic Features of MCR-1 and Extended-Spectrum β-Lactamase Producing Enterobacterales from Retail Raw Chicken in Egypt Mustafa. Microorganisms 2021, 9, 195. [Google Scholar] [CrossRef]
- Zhang, J.; Chen, L.; Wang, J.; Yassin, A.K.; Butaye, P.; Kelly, P.; Gong, J.; Guo, W.; Li, J.; Li, M.; et al. Molecular detection of colistin resistance genes (mcr-1, mcr-2 and mcr-3) in nasal/oropharyngeal and anal/cloacal swabs from pigs and poultry. Sci. Rep. 2018, 8, 3705. [Google Scholar] [CrossRef]
- Islam, M.A.; Mondol, A.S.; Azmi, I.J.; Boer, E.D.; Beumer, R.R.; Zwietering, M.H.; Heuvelink, A.E.; Talukder, K.A. Occurrence and Characterization of Shiga Toxin–Producing Escherichia coli in Raw Meat, Raw Milk, and Street Vended Juices in Bangladesh. Foodborne Pathog. Dis. 2010, 7, 1381–1385. [Google Scholar] [CrossRef]
- Ju, W.; Shen, J.; Li, Y.; Toro, M.A.; Zahoo, S.; Ayers, S.; Najjar, M.B.; Meng, J. Non-O157 Shiga toxin-producing Escherichia coli in retail ground beef and pork in the Washington, D. C. area. Food Microbiol. 2012, 32, 371–377. [Google Scholar] [CrossRef]
- Yang, X.; Sun, H.; Fan, R.; Fu, S.; Zhang, J.; Matussek, A.; Xiong, Y.; Bai, X. Genetic diversity of the intimin gene (eae) in non-O157 Shiga toxin-producing Escherichia coli strains in China. Sci. Rep. 2020, 10, 3275. [Google Scholar] [CrossRef] [PubMed]
- Lee, J.B. Pathogenic and phylogenetic characteristics of non-O157 Shiga toxin-producing Escherichia coli isolates from retail meats in South Korea. J. Vet. Sci. 2018, 19, 251–259. [Google Scholar] [CrossRef] [PubMed]
- Byrne, L.; Adams, N.; Jenkins, C. Association between Shiga Toxin–Producing Escherichia coli O157:H7 stx Gene Subtype and Disease Severity, England, 2009–2019. Emerg. Infect. Dis. 2020, 26, 2394. [Google Scholar] [CrossRef] [PubMed]
- Li, Y.; Huang, T.Y.; Ye, C.; Chen, L.; Liang, Y.; Wang, K.; Liu, J. Formation and Control of the Viable but Non-culturable State of Foodborne Pathogen Escherichia coli O157:H7. Front. Microbiol. 2020, 11, 1202. [Google Scholar] [CrossRef] [PubMed]
- Shah, I.H. Molecular Characterization and Virulence Gene Profile of Entero-Pathogenic and Shiga-Toxin Producing Escherichia coli from Food of Animal Origin and Environmental Sources. Ph.D. Thesis, SKUAST Kashmir, Shalimar, India, 2023. [Google Scholar]
- Alotaibi, K.; and Khan, A.A. Prevalence and Molecular Characterization of Shiga Toxin Producing Escherichia coli from Food and Clinical Samples. Pathogens 2023, 12, 1302. [Google Scholar] [CrossRef] [PubMed]
- Nüesch-Inderbinen, M.; Treier, A.; Stevens, M.J.A.; Stephen, R. Whole genome sequence-based characterisation of Shiga toxin-producing Escherichia coli isolated from game meat originating from several European countries. Sci. Rep. 2023, 13, 3247. [Google Scholar] [CrossRef] [PubMed]
- Shakerian, A.; Rahimi, E.; Emad, P. Vegetables and Restaurant Salads as a Reservoir for Shiga Toxigenic Escherichia coli: Distribution of Virulence Factors, O-Serogroups, and Antibiotic Resistance Properties. J. Food Prot. 2016, 79, 1154–1160. [Google Scholar] [CrossRef]
- Sakthikarthikeyan, S.; Sivakumar, M.; Manikandan, R.; Senthkumar, P.; Sureskumar, V.; Malmarugan, S.; Prabhu, M.; Ramakrishnan, V. Prevalence and Molecular Characterization of Multidrug-resistant ESBL-producing E. coli in Commercial Poultry. Indian J. Anim. Res. 2024, 1, 6. [Google Scholar] [CrossRef]
- Tiedje, J.M.; Fu, Y.; Mei, Z.; Schaffer, A.; Dou, Q.; Amelung, W.; Elsner, M.; Adu-Gyamfi, J.; Heng, L.; Virta, M.; et al. Antibiotic resistance genes in food production systems support One Health opinions. Curr. Opin. Environ. Sci. Health. 2023, 43, 100492. [Google Scholar] [CrossRef]
- Hinthong, W.; Thaotumpitak, V.; Sripradite, J.; Indrrawttana, N.; Srisook, T.; Kongngoen, T.; Atwill, E.R.; Jeamsripong, S. Antimicrobial resistance, virulence profile, and genetic analysis of ESBL-producing Escherichia coli isolated from Nile tilapia in fresh markets and supermarkets in Thailand. PLoS ONE 2024, 19, e0296857. [Google Scholar] [CrossRef]
- Zhang, S.; Huang, Y.; Yang, G.; Wu, Q.; Zhang, J.; Wang, J.; Ding, Y.; Ye, Q.; Wu, S.; Gu, Q.; et al. High prevalence of multidrug-resistant Escherichia coli in retail aquatic products in China and the first report of mcr-1-positive extended-spectrum β-lactamase-producing E. coli ST2705 and ST10 in fish. Int. J. Food Microbiol. 2024, 408, 110449. [Google Scholar] [CrossRef]
- Ilham, D.; Souad, L.; Asmae, L.H.; Kawtar, N.; Mohammed, T.; Nabila, S. Prevalence, antibiotic resistance profile, MBLs encoding genes, and biofilm formation among clinical carbapenem-resistant enterobacterales isolated from patients in Mohammed VI University Hospital Centre, Morocco. Lett. Appl. Microbiol. 2023, 76, ovad107. [Google Scholar] [CrossRef] [PubMed]
- Nwike, I.E.; Ugwu, M.C.; Ejikeugwu, P.C.; Ujam, N.T.; Iroha, I.R.; Esimone, C.O. Phenotypic and molecular characterization of enteropathogenic Escherichia coli and Salmonella spp. causing childhood diarrhoea in Awka, South-Eastern Nigeria. Bull. Natl. Res. Cent. 2023, 47, 97. [Google Scholar] [CrossRef]
- Karim, M.R.; Zakaria, Z.; Hassan, L.; Faiz, N.K.; Ahmad, N.I. Antimicrobial Resistance Profiles and Co-Existence of Multiple Antimicrobial Resistance Genes in mcr-Harbouring Colistin-Resistant Enterobacteriaceae Isolates Recovered from Poultry and Poultry Meats in Malaysia. Antibiotics 2023, 12, 1060. [Google Scholar] [CrossRef] [PubMed]
- Ali, M.W.; Utsho, K.S.; Karmakar, S.; Hoque, M.N.; Rahman, M.T.; Hassan, J. First report on the molecular characteristics of mcr-1 colistin resistant E. coli isolated from retail broiler meat in Bangladesh. Int. J. Food Microbiol. 2023, 388, 110065. [Google Scholar] [CrossRef] [PubMed]
- Sismova, P.; Sukar, I.; Kolidentsev, N.; Chytilova, I.; Bardon, J.; Dolejska, M.; Nesporova, K. Plasmid-mediated colistin resistance from fresh meat and slaughtered animals in the Czech Republic: Nation-wide surveillance 2020–2021. Microbiol. Spectr. 2023, 11, e00609–e00623. [Google Scholar] [CrossRef] [PubMed]
- Ullah, M.; Rasool, F.; Khan, N.; Ali, S.; Sheikh, A.A. Antibiotic resistance and its gene profile in Escherichia coli isolated from diseased farmraised carps in Punjab, Pakistan. Pak. Vet. J. 2023, 41, 1–7. [Google Scholar]
- Guo, C.H.; Liu, Y.Q.; Duan, X.X.; Yang, T.Y.; Li, F.Y.; Zou, M.; Liu, B.T. High prevalence and genomic characteristics of carbapenem-resistant Enterobacteriaceae and colistin-resistant Enterobacteriaceae from large-scale rivers in China. Environ. Pollut. 2023, 331, 121869. [Google Scholar] [CrossRef]





| Sr. No. | Specimen Category | Sources of Samples | Number of Collected Samples | Total Samples |
|---|---|---|---|---|
| 1 | Livestock products | Beef | 25 | 75 |
| Mutton | 25 | |||
| Veal | 25 | |||
| 2 | Poultry | Chicken | 25 | 75 |
| Cloacal/anal swabs | 25 | |||
| Droppings | 25 | |||
| 3 | Environmental samples | Slaughterhouse | 25 | 125 |
| Open market waste | 25 | |||
| Transport Means | 25 | |||
| Dairy farm waste | 25 | |||
| Poultry farm waste | 25 | |||
| 4 | Fisheries | Fish | 25 | 100 |
| Shrimps | 25 | |||
| Market waste | 25 | |||
| Transport means | 25 | |||
| 5 | Dairy | Raw milk | 25 | 125 |
| Yogurt | 25 | |||
| Dairy cream | 25 | |||
| Cheese | 25 | |||
| Outlet waste | 25 | |||
| Grand Total | 500 |
| Specimen Category | Sources | Collected Samples | Positive Sample | Distribution of E. coli Positive Samples | Distribution of E. coli from Selected Categories | p-Value |
|---|---|---|---|---|---|---|
| Livestock products | Beef | 25 | 8 | 32% | 19/75 (25.34%) | 0.001 * |
| Mutton | 25 | 7 | 28% | |||
| Veal | 25 | 4 | 16% | |||
| Poultry | Chicken meat | 25 | 11 | 44% | 29/75 (38.67%) | |
| Cloacal/anal swabs | 25 | 10 | 40% | |||
| Droppings | 25 | 8 | 32% | |||
| Environmental samples | Slaughterhouse | 25 | 4 | 16% | 37/125 (29.6%) | |
| Open market waste | 25 | 10 | 40% | |||
| Transport means | 25 | 6 | 24% | |||
| Dairy farm waste | 25 | 8 | 32% | |||
| Poultry farm waste | 25 | 9 | 36% | |||
| Fisheries | Fish | 25 | 6 | 24% | 32/100 (32%) | |
| Shrimps | 25 | 2 | 8% | |||
| Market waste | 25 | 7 | 28% | |||
| Transport means | 25 | 17 | 68% | |||
| Dairy | Raw milk | 25 | 12 | 48% | 37/125 (29.6%) | |
| Yogurt | 25 | 9 | 36% | |||
| Dairy cream | 25 | 4 | 16% | |||
| Cheese | 25 | 7 | 28% | |||
| Outlet waste | 25 | 5 | 20% | |||
| Grand Total | 500 | 154 | 154/500 (30.8%) |
| Specimen Category | VAGs Based Confirmed E. coli | STEC % out of E. coli | Non-O17STEC Co-Harboring blaNDM-1 & mcr-1 | O Type | Statistical Analysis |
|---|---|---|---|---|---|
| Beef | 8(32%) | 6/8(75%) | 2/6(33.33%) | O26, O103 & O121 | <0.05 * |
| Mutton | 7(28%) | 3/7(42.85%) | 1/3(33.33%) | O26, O103 & O111 | |
| Veal | 4(16%) | 1/4(25%) | 1/1(100%) | O121 | |
| Chicken meat | 11(44%) | 3/11(27.27%) | 3/3(100%) | O26 & O145 | |
| Cloacal/anal swabs | 10(40%) | 4/10(40%) | 2/4(50%) | O26, O111 & O145 | |
| Droppings | 8(32%) | 2/8(25%) | 2/2(100%) | O26 | |
| Slaughterhouse | 4(16%) | 2/4(50%) | 1/1(100%) | O103& O12 | |
| Overall | 52(29.71%) | 21/52(40.38%) | 12/21(57.14%) |
| Sources | STEC | Non-O157 O Types | Co-Existence of ARGs | p Value | ||||
|---|---|---|---|---|---|---|---|---|
| O26 | O103 | O111 | O121 | O145 | ||||
| Beef | 6 | 4 | 1 | -- | 1 | -- | blaNDM,mcr-1, blaTEM, blaOXA, blaKPC, blaqnrA, | <0.05 * |
| Mutton | 3 | 1 | 1 | 1 | -- | blaNDM,mcr-1, blaSHV, blaOXA, | ||
| Veal | 1 | -- | -- | -- | 1 | -- | blaNDM,mcr-1, blaCTX-M, blaTEM, blatetB | |
| Chicken meat | 3 | 2 | -- | -- | -- | 1 | blaNDM,mcr-1, blaCTX-M,blaqnrS, | |
| Cloacal/anal swabs | 4 | 2 | -- | 1 | -- | 1 | blaNDM,mcr-1, blaqnrB, | |
| Droppings | 2 | 2 | -- | -- | -- | -- | blaNDM,mcr-1, blatetA | |
| Slaughterhouse | 2 | -- | 1 | -- | 1 | -- | blaNDM,mcr-1, blaTEM,blaqnrS,blatetA,blaSul2,blatetB | |
| Total | 21 | 11 | 3 | 2 | 3 | 2 | ||
| Sample Source | Positive VAGs in E. coli | NDM | mcr-1 | Stx | Pap | p Value | |||||||||
|---|---|---|---|---|---|---|---|---|---|---|---|---|---|---|---|
| stx1 | stx2 | Eae | hylA | Iss | papA | papC | fimH | TraT | OmpT | AmpC | |||||
| Beef | 8 | 3 37.5% | 2 25% | 1 12.5% | 6 75% | ND | 2 25% | 3 37.50% | 1 12.5% | ND | 6 75% | 2 25% | ND | ND | 0.001 * |
| Mutton | 7 | 1 14.28% | 1 14.28% | 3 42.85% | 1 14.28% | 1 14.28% | 3 42.85% | ND | ND | ND | ND | ND | ND | 1 14.28% | |
| Veal | 4 | ND | 1 25% | 1 25% | ND | 1 25% | ND | ND | ND | ND | ND | 2 50% | 2 50% | ND | |
| Chicken Meat | 11 | 3 27.27% | 8 72.72% | 2 18.18% | 1 9.09% | ND | 8 88.89% | 9 81.81% | ND | 4 36.36% | 7 63.63% | 9 81.81% | 7 63.63% | ND | |
| Cloacal /anal Swabs | 10 | 1 10% | 2 20% | 2 20% | 4 40% | 5 50% | ND | ND | ND | ND | ND | ND | ND | 1 10% | |
| Droppings | 8 | 5 62.5% | 2 25% | 2 25% | 2 25% | 2 25% | ND | ND | ND | ND | 1 12.5% | ND | ND | ND | |
| Slaughter House | 4 | 1 25% | 1 25% | ND | 2 50% | ND | 2 50% | 1 25% | ND | ND | ND | ND | 2 50% | ND | |
| Total | 52 | 14 | 17 | 11 | 16 | 9 | 15 | 13 | 1 | 4 | 14 | 13 | 11 | 2 | |
| Antibiotics | Conc. | CLSI EUCAST/FDA Resistance Breakpoint | Beef Samples (n = 2) | Mutton Sample (n = 1) | Veal Sample (n = 1) | Chicken (n = 3) | Poultry Cloacal /Anal Swabs (n = 2) | Poultry Droppings (n = 2) | Slaughterhouse (n = 1) | |||||
|---|---|---|---|---|---|---|---|---|---|---|---|---|---|---|
| Ampicillin | 10 µg | ≥32 | 128 | 256 | 512 | 256 | 256 | 512 | 256 | 512 | 512 | 256 | 128 | 128 |
| Cefepime | 30 µg | ≥16 | 256 | 128 | 256 | 256 | 128 | 128 | 32 | 32 | 16 | 128 | 64 | 256 |
| Ciprofloxacin | 5 µg | ≥4 | 64 | 32 | 64 | 128 | 64 | 128 | 128 | 64 | 64 | 128 | 64 | 32 |
| Levofloxacin | 5 µg | ≥4 | 64 | 64 | 32 | 32 | 32 | 64 | 64 | 64 | 128 | 32 | 128 | 64 |
| Chloramphenicol | 30 µg | ≥32 | 128 | 64 | 128 | 64 | 32 | 32 | 512 | 32 | 32 | 64 | 128 | 64 |
| Trimethoprim | 5 µg | ≥16 | 32 | 32 | 64 | 32 | 128 | 256 | 128 | 64 | 32 | 128 | 64 | 32 |
| Imipenem | 10 µg | ≥4 | 32 | 32 | 32 | 32 | 256 | 128 | 256 | 128 | 64 | 32 | 64 | 32 |
| Meropenem | 10 µg | ≥4 | 64 | 32 | 64 | 64 | 128 | 64 | 128 | 8 | 8 | 32 | 32 | 32 |
| Colistin | 10 µg | ≥8 | 128 | 128 | 128 | 32 | 4 | 4 | 4 | 4 | 4 | 64 | 32 | 4 |
| Tetracycline | 30 µg | ≥16 | 64 | 32 | 64 | 64 | 128 | 128 | 128 | 32 | 64 | 32 | 32 | 32 |
| Tigecycline | 15 µg | ≥8 | 4 | 4 | 8 | 8 | 4 | 4 | 8 | 4 | 8 | 4 | 4 | 4 |
| Fisfomycin | 200 μg | ≥64 | 512 | 256 | 128 | 128 | 128 | 256 | 512 | 128 | 256 | 128 | 128 | 128 |
Disclaimer/Publisher’s Note: The statements, opinions and data contained in all publications are solely those of the individual author(s) and contributor(s) and not of MDPI and/or the editor(s). MDPI and/or the editor(s) disclaim responsibility for any injury to people or property resulting from any ideas, methods, instructions or products referred to in the content. |
© 2024 by the authors. Licensee MDPI, Basel, Switzerland. This article is an open access article distributed under the terms and conditions of the Creative Commons Attribution (CC BY) license (https://creativecommons.org/licenses/by/4.0/).
Share and Cite
Sarwar, A.; Aslam, B.; Rasool, M.H.; Bekhit, M.M.S.; Sasanya, J. A Health Threat from Farm to Fork: Shiga Toxin-Producing Escherichia coli Co-Harboring blaNDM-1 and mcr-1 in Various Sources of the Food Supply Chain. Pathogens 2024, 13, 659. https://doi.org/10.3390/pathogens13080659
Sarwar A, Aslam B, Rasool MH, Bekhit MMS, Sasanya J. A Health Threat from Farm to Fork: Shiga Toxin-Producing Escherichia coli Co-Harboring blaNDM-1 and mcr-1 in Various Sources of the Food Supply Chain. Pathogens. 2024; 13(8):659. https://doi.org/10.3390/pathogens13080659
Chicago/Turabian StyleSarwar, Ayesha, Bilal Aslam, Muhammad Hidayat Rasool, Mounir M. Salem Bekhit, and James Sasanya. 2024. "A Health Threat from Farm to Fork: Shiga Toxin-Producing Escherichia coli Co-Harboring blaNDM-1 and mcr-1 in Various Sources of the Food Supply Chain" Pathogens 13, no. 8: 659. https://doi.org/10.3390/pathogens13080659
APA StyleSarwar, A., Aslam, B., Rasool, M. H., Bekhit, M. M. S., & Sasanya, J. (2024). A Health Threat from Farm to Fork: Shiga Toxin-Producing Escherichia coli Co-Harboring blaNDM-1 and mcr-1 in Various Sources of the Food Supply Chain. Pathogens, 13(8), 659. https://doi.org/10.3390/pathogens13080659

