Motion Control of a Low-Cost Underwater Vehicle with Three-Position Cross Rudder
Abstract
1. Introduction
2. Modeling of Underwater Vehicle
2.1. Coordinate System Selection and Kinematic Modeling
2.2. Dynamic Modeling
2.3. Thrust Force Model and Design of a Three-Position Discrete Control Cross Rudder
3. Virtual Rudder Angle Controller Design
3.1. Theoretical Basis
3.1.1. Anti-Normalization Virtual Rudder
3.1.2. PWM Frequency Conversion
3.2. Controller Design
4. Simulation and Results
4.1. Coefficient Settings
4.2. Planar Turning Simulation Comparison
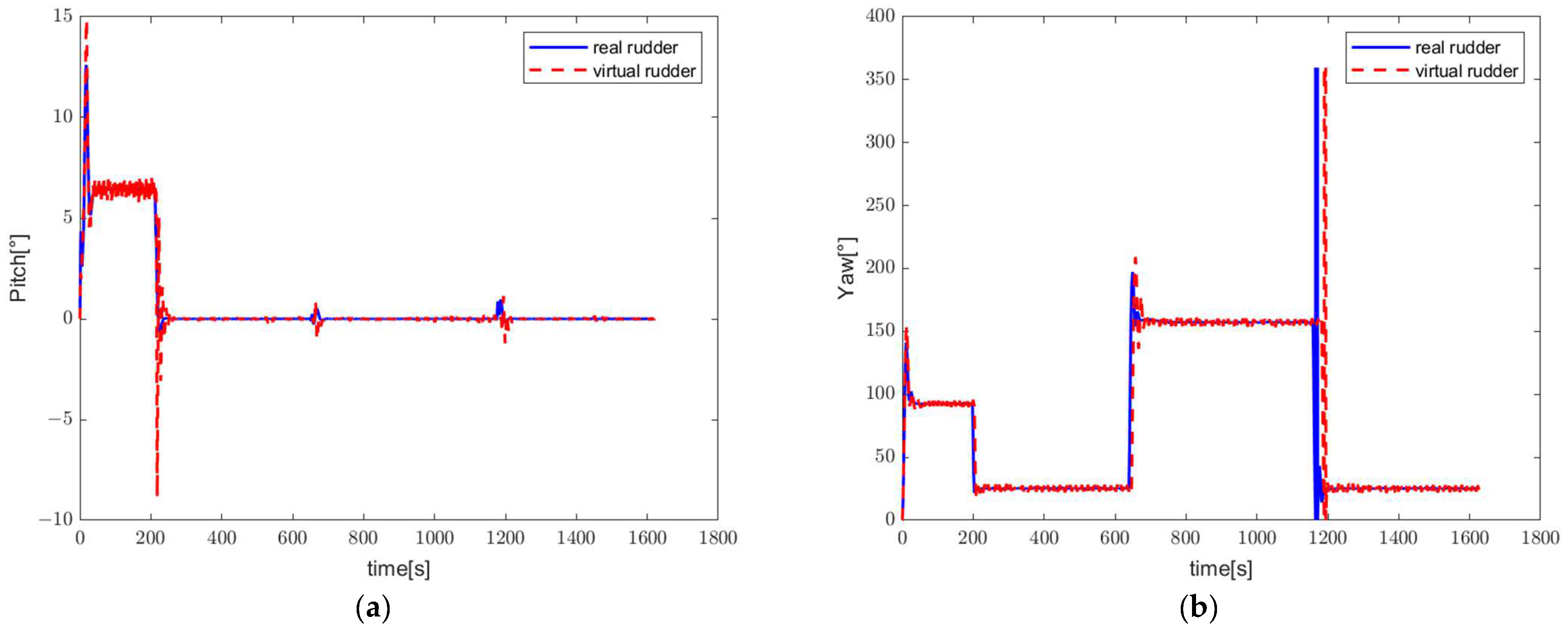
4.3. Space Path Motion Control
5. Conclusions
Author Contributions
Funding
Data Availability Statement
Conflicts of Interest
References
- Yang, C.; Wu, D.; Zhou, P.; Ma, S.; Zhou, R.; Zhang, X.; Zhang, Y.; Xia, Q.; Wu, Z. Research on ocean-current-prediction-based virtual mooring strategy for the portable underwater profilers. Appl. Ocean Res. 2024, 42, 103810. [Google Scholar] [CrossRef]
- Chen, F.; Li, B.; Wang, M. Research on Equipments Technologies and Applications of US Navy’s Military UUVs. Ship Sci. Technol. 2018, 40, 170–173. [Google Scholar]
- McPhail, S. Autosub6000: A Deep Diving Long Range AUV. J. Bionic Eng. 2009, 6, 55–62. [Google Scholar] [CrossRef]
- Kan, T.; Mai, R.; Mercier, P.P.; Mi, C.C. Design and Analysis of a Three-Phase Wireless Charging System for Lightweight Autonomous Underwater Vehicles. IEEE Trans. Power Electr. 2018, 33, 6622–6632. [Google Scholar] [CrossRef]
- Elmokadem, T.; Zribi, M.; Youcef-Toumi, K. Control for Dynamic Positioning and Way-point Tracking of Underactuated Autonomous Underwater Vehicles Using Sliding Mode Control. J. Intell. Robot. Syst. 2018, 95, 1113–1132. [Google Scholar] [CrossRef]
- Xu, H.; Zhang, G.; Sun, Y.; Pang, S.; Ran, X.; Wang, X. Design and Experiment of a Plateau Data-Gathering AUV. J. Mar. Sci. Eng. 2019, 7, 376. [Google Scholar] [CrossRef]
- Jambak, A.I.; Bayezit, I. Robust Optimal Control of a Nonlinear Surface Vessel Model with Parametric Uncertainties. Brodogradnja 2023, 74, 131–143. [Google Scholar] [CrossRef]
- Wang, Z.; Wei, Z.; Yu, C.; Cao, J.; Yao, B.; Lian, L. Dynamic modeling and optimal control of a positive buoyancy diving autonomous vehicle. Brodogradnja 2023, 74, 19–40. [Google Scholar] [CrossRef]
- Smith, S.M.; Rae, G.J.S.; Anderson, D.T.; Shein, A.M. Fuzzy Logic Control of an Autonomous Underwater Vehicle. IFAC Proc. Vol. 1993, 26, 318–323. [Google Scholar] [CrossRef]
- Khodayari, M.H.; Balochian, S. Modeling and Control of Autonomous Underwater Vehicle (AUV) in Heading and Depth Attitude via Self-Adaptive Fuzzy PID Controller. J. Mar. Sci. Technol. 2015, 20, 559–578. [Google Scholar] [CrossRef]
- Li, T. Torpedo Manoeuvrability; National Defence Industry Press: Beijing, China, 2007. [Google Scholar]
- Wang, W.; Xia, Y.; Chen, Y.; Xu, G.; Chen, Z.; Xu, K. Motion Control Methods for X-Rudder Underwater Vehicles: Model-Based Sliding Mode and Non-Model-Based Iterative Sliding Mode. Ocean Eng. 2020, 216, 108054. [Google Scholar] [CrossRef]
- Liu, J.; Liu, Z. Finite-Time Block Backstepping Control for Rudder Roll Stabilization with Input Constraints. Ocean Eng. 2024, 295, 116989. [Google Scholar] [CrossRef]
- Xu, J.; Wang, M.; Qiao, L. Dynamical Sliding Mode Control for the Trajectory Tracking of Underactuated Unmanned Underwater Vehicles. Ocean Eng. 2015, 105, 54–63. [Google Scholar] [CrossRef]
- Cui, R.; Zhang, X.; Cui, D. Adaptive Sliding-Mode Attitude Control for Autonomous Underwater Vehicles with Input Nonlinearities. Ocean Eng. 2016, 123, 45–54. [Google Scholar] [CrossRef]
- Xiong, Y.; Zhu, H.; Pan, L.; Wang, J. Research on Intelligent Trajectory Control Method of Water Quality Testing Unmanned Surface Vessel. J. Mar. Sci. Eng. 2022, 10, 1252. [Google Scholar] [CrossRef]
- Prestero, T. Verification of a Six-Degree of Freedom Simulation Model for the REMUS Autonomous Underwater Vehicle. Master’s Thesis, Massachusetts Institute of Technology, Cambridge, UK, 2001. [Google Scholar]
- Fossen, T. Handbook of Marine Craft Hydrodynamics and Motion Control; John Wiley & Sons Ltd.: Chichester, UK, 2011. [Google Scholar]
- Zhang, Y.; Li, Y.; Sun, Y.; Zeng, J.; Wan, L. Design and Simulation of X-Rudder AUV’s Motion Control. Ocean Eng. 2017, 137, 204–214. [Google Scholar] [CrossRef]
- Attia, H.A.; Freddy, T.K.S.; Che, H.S.; Hew, W.P.; Elkhateb, A. Confined Band Variable Switching Frequency Pulse Width Modulation (CB-VSF PWM) for a Single-Phase Inverter with an LCL Filter. IEEE Trans. Power Electr. 2017, 32, 8284–8294. [Google Scholar] [CrossRef]
- Knight, B.G.; Maki, K.J. Framework for Data-Driven Propeller and Rudder Modeling for Ship Maneuvering. Ocean Eng. 2022, 263, 112301. [Google Scholar] [CrossRef]
- Liu, C.; Xiang, X.; Duan, Y.; Yang, L.; Yang, S. Improved Path Following for Autonomous Marine Vehicles with Low-Cost Heading/Course Sensors: Comparative Experiments. Control Eng. Pract. 2024, 142, 105740. [Google Scholar] [CrossRef]
- He, L.; Kinnas, S.A. Numerical Simulation of Unsteady Propeller/Rudder Interaction. Int. J. Nav. Archit. Ocean. Eng. 2017, 9, 677–692. [Google Scholar] [CrossRef]










| Notation | Value | Unit |
|---|---|---|
| m | 30.51 | kg |
| G | 299 | N |
| B | 299 | N |
| 0 | mm | |
| 0 | mm | |
| 19.6 | mm |
| Parameter | Description | Value | Unit |
|---|---|---|---|
| Added Mass | −0.93 | ||
| Added Mass | −35.5 | ||
| Added Mass | 1.93 | ||
| Added Mass | −35.5 | ||
| Added Mass | −1.93 | ||
| Added Mass | −0.0013 | ||
| Added Mass | −1.93 | ||
| Added Mass | −4.88 | ||
| Added Mass | 1.93 | ||
| Added Mass | −4.88 | ||
| Axial Drag | −1.62 | ||
| Lateral Drag | −131 | ||
| Vertical Drag | −131 | ||
| Roll Drag | −0.0141 | ||
| Pitch Drag | −9.4 | ||
| Yaw Drag | −9.4 | ||
| Fluid Density | 1030 | ||
| Rudder Planform Area | 6650 | ||
| Moment Arm | 0.638 | ||
| Rudder Lift Coefficient | 3.12 | ||
| Effective Speed Coefficient | 0.95 |
| Rudder Angle Values/° | Average Turning Radius of Real Rudder/m | Average Turning Radius of Virtual Rudder/m |
|---|---|---|
| 1 | 9.73 | 9.74 |
| 5 | 4.38 | 4.40 |
| 10 | 3.11 | 3.07 |
| 15 | 2.57 | 2.55 |
Disclaimer/Publisher’s Note: The statements, opinions and data contained in all publications are solely those of the individual author(s) and contributor(s) and not of MDPI and/or the editor(s). MDPI and/or the editor(s) disclaim responsibility for any injury to people or property resulting from any ideas, methods, instructions or products referred to in the content. |
© 2024 by the authors. Licensee MDPI, Basel, Switzerland. This article is an open access article distributed under the terms and conditions of the Creative Commons Attribution (CC BY) license (https://creativecommons.org/licenses/by/4.0/).
Share and Cite
Zhang, Y.; Zhang, X.; Xia, Q.; Wu, D.; Zhou, R.; Hou, J. Motion Control of a Low-Cost Underwater Vehicle with Three-Position Cross Rudder. Actuators 2024, 13, 502. https://doi.org/10.3390/act13120502
Zhang Y, Zhang X, Xia Q, Wu D, Zhou R, Hou J. Motion Control of a Low-Cost Underwater Vehicle with Three-Position Cross Rudder. Actuators. 2024; 13(12):502. https://doi.org/10.3390/act13120502
Chicago/Turabian StyleZhang, Yang, Xin Zhang, Qingchao Xia, Dingze Wu, Rui Zhou, and Jiayu Hou. 2024. "Motion Control of a Low-Cost Underwater Vehicle with Three-Position Cross Rudder" Actuators 13, no. 12: 502. https://doi.org/10.3390/act13120502
APA StyleZhang, Y., Zhang, X., Xia, Q., Wu, D., Zhou, R., & Hou, J. (2024). Motion Control of a Low-Cost Underwater Vehicle with Three-Position Cross Rudder. Actuators, 13(12), 502. https://doi.org/10.3390/act13120502

