Simple Summary
Sustainable aquaculture requires natural alternative substances with high potential in enhancing the performance and wellbeing of aquatic animals. In this regard, the present study tested the possibility of using mannan oligosaccharides (MOS) in the diets of grey mullet as functional additives. For 8 weeks, fish were fed with enriched diets containing 0, 0.5, 1, and 2% MOS. The results showed marked improvements in the growth performance, digestive enzyme activity, blood chemistry, and antioxidative capacity. In conclusion, dietary MOS at 0.5–1% is required to enhance the productivity of grey mullet.
Abstract
Mannan oligosaccharide (MOS) is prebiotic with high functionality in aquaculture. The current study investigated the potential roles of MOS on the growth performance, digestive enzyme activity, carcass composition, and blood chemistry of Thinlip grey mullet (Liza ramada). Four tested diets with 34.49% crude protein and 6.29% of total lipids were prepared and fortified with 0, 0.5, 1, and 2% MOS. Fish of initial weight = 5.14 ± 0.11 g/fish were distributed in 12 hapas (0.5 × 0.5 × 1 m) at 15 fish per hapa (triplicates) and fed the test diets to the satiation level two times a day (08:00 and 15:00) for eight weeks. At the end of the trial, all fish were weighed individually for growth performance calculation. Blood was collected to check blood chemistry traits, and intestines were dissected for digestive enzyme analysis. Fish treated with MOS had marked enhancement in the final body weight, feed conversion ratio, protein gain, and protein retention regardless of inclusion dose (p < 0.05). The weight gain, specific growth rate, and protein efficiency ratio were meaningfully enhanced by including MOS at 0.5 and 1%, followed by fish fed with 2% MOS, while the lowest values were in the control group (p < 0.05). Insignificant influences of MOS were seen on the chemical composition of carcass components (moisture, crude protein, total lipids, and ash) (p > 0.05). Fish treated with MOS at 0.5 and 1% had marked enhancement in the amylase, lipase, and protease activities regardless of inclusion dose (p < 0.05). The blood total protein and albumin levels were meaningfully enhanced by including MOS at 0.5 and 1%, followed by fish fed with 2% MOS, while the lowest values were in the control group (p < 0.05). The blood globulin was significantly enhanced in fish fed 1% MOS than fish treated with 0, 0.5, and 2% of MOS (p < 0.05). The blood lysozyme activity was meaningfully enhanced by including MOS at 1%, followed by fish treated with 0.5 and 2%, while the lowest values were in the control group (p < 0.05). Phagocytic activity and phagocytic index were markedly improved in fish treated with 1 and 2% MOS, followed by those fed 0.5% compared with fish fed MOS-free diet (p < 0.05). Superoxide dismutase and glutathione peroxidase were markedly improved in fish treated with 1, and 2% MOS, followed by those fed 0.5% compared with fish fed MOS-free diet (p < 0.05). Dietary MOS (0.5, 1, and 2%) meaningfully enhanced catalase activity while decreased the malondialdehyde concentration (p < 0.05). In summary, dietary MOS is required at 0.5–1% for enhancing the growth rate, feed efficiency, digestive enzyme activity, blood chemistry, and antioxidative capacity of grey mullet.
1. Introduction
Aquaculture is a vital sector for sustaining food security for humanity [1]. The expansion of aquaculture activity is strongly correlated with consumer needs considering the available resources [2]. Grey mullets are a valuable tasty fish species in several countries, including Egypt, to increase fish diversity for consumers [3]. Mullets can grow in a wide range of salinities in tropical and subtropical conditions as low trophic level fish (2.3; www.fishbase.org (accessed on 1 May 2021)) [4], making them a reasonable fish species for sustainable aquaculture activity [5]. Growing fish in such stressful conditions requires water, management, handling, and feed qualities [6]. Ensuring optimum rearing conditions is the main factor for maximizing the productivity of finfish species [7]. However, unstable environmental features may deteriorate feeding habits, health status, and tolerance to infectious diseases [8].
New farming strategies suggest functional additives as friendly alternatives for chemotherapies to enhance the production and welfare of finfish species [9]. Several substances are used in aquaculture and validated as effective growth promotors, immunostimulants, and antioxidative agents [10,11]. Probiotics, prebiotics, medicinal herbs, and immunostimulants are commonly included in aquafeed to enhance aquatic animals’ performances and well-being [12,13]. Prebiotics are indigestible substances produced via the fermentation of yeast cell walls and functional carbohydrates [14,15]. Mannan oligosaccharides (MOS) are active prebiotic additives known for their functionality as enhancers for intestinal digestion and immunity with an apparent antibacterial capacity [16,17]. MOS is yeast-derived glucomannoprotein complexes showing several biological effects such as leucocyte activation and upregulation of proinflammatory cytokines [18,19]. In this context, Ringø, et al. [20] reported that mannose-containing molecules provoke intracellular signaling associated with proinflammatory cytokines production that may enhance aquatic animals’ immunity and well-being. Dietary MOS was investigated in several fish species and resulted in enhanced growth performance [21], digestion capacity [22], intestinal health [23,24], immune response [25,26], antioxidative status [27], and resistance against farming stressors [28,29]. The efficiency of MOS depends mainly on the fish species, fish size, duration of feeding, doses of inclusion, and culture conditions [30]. Thus, additives inclusion based on the species-specific manner is necessary to approve MOS for finfish species.
Thinlip grey mullet (Liza ramada) is a commercially farmed fish with a high market value in the Egyptian market [31]. This would make grey mullet incredibly sustainable, even better than common carp (Cyprinus carpio), and similar to Nile tilapia (Oreochromis niltoticus) due to lower protein requirements and lower need for animal-based feed ingredients [4]. Thus, more efforts are required to enhance productivity considering the beneficial role of MOS. Although dietary MOS is effectively applied in several finfish species, no studies investigated the functionality of MOS in grey mullet. In this sense, the current study was planned to test the potential effects of MOS on the growth rate, feed efficiency, blood immunity of grey mullet.
2. Materials and Methods
2.1. Trial Conditions
Experimental diets were prepared by mixing the dry ingredients (fish and soybean meals, wheat bran, yellow corn, rice bran, and mineral and vitamin mixture) (Table 1). The dry powder of ingredients was divided into four portions then mixed with mannan oligosaccharides (Bio-Mos®, Alltech, Inc., Lexington, KY, USA) at 0, 0.5, 1, and 2%. Fish oil was added and well mixed with the prepared diets. Afterward, water was included and mixed with the diets before pelleting with the laboratory pelleting machine. A dough of 1–2 mm pellets prepared and dried in a lab oven at 50 °C. The prepared diets were then stocked in plastic bags and put in the refrigerator till used in the trial. The chemical composition of the basal diet was confirmed by following the standard method [32].
Table 1.
Basal diet and proximate chemical composition (%, on dry matter basis).
Three hundred juveniles of Thinlip grey mullet (Liza ramada) were obtained from Bughaz El-Burullus (Lake Burullus), located on the coast of the Mediterranean Sea (Baltim city, Kafr El-sheikh governorate, Egypt). Fish were gently moved to the Fish Nutrition Laboratory, Baltim Unit, National Institute of Oceanography and Fisheries and stocked in outdoor concrete tanks (3 × 2 × 1.7 m) under ambient light conditions. In the concrete tanks, water was running in a flow-through system with average values of 27.21 ± 0.23 °C, 7.2 ± 0.4, 6.3 ± 0.33 mg/L, and 0.21 ± 0.02 mg/L for temperature, pH, dissolved oxygen, and total ammonia, respectively. Fish fed the basal diet for 14 days before distributing among the experimental units. Then, fish of similar initial weight 5.14 ± 0.11 g were individually weighed and distributed in 12 hapas (0.5 × 0.5 × 1 m) at 15 fish per hapa. Twenty fish from the stock were collected, stunned, washed with fresh water, and kept at −20 °C for the initial body chemical composition. All hapas were fixed in one concrete tank with a set of water inlets and outlets. Fish were fed the diets up to apparent satiation level two times a day (08:00 and 15:00). The amount of consumed feed was recorded regularly during the trial to calculate the total feed intake. We have weighed the fish every 2 weeks to follow up on the growth performance and health status during the study. Once marked differences between fish fed MOS and the control were detected in terms of the final body weight, the trial was terminated. The water quality indices were checked throughout the trial and recorded. The water temperature, pH, dissolved oxygen, and total ammonia were 27.32 ± 0.41 °C, 7.11 ± 0.3, 5.83 ± 0.41 mg/L, and 0.21 ± 0.01 mg/L, respectively.
2.2. Final Sampling
After eight weeks, all fish fasted for 24 h before the final sampling. Then all fish were anesthetized with tricaine methanesulphonate (MS-222; 25 mg/L), weighed, and counted to calculate the growth-related indices using the following Equations:
WG (%) = 100 × ((FBW − IBW)/IBW)
SGR (%/day) = 100 × (ln FBW (g) − ln IBW (g))/number of days
FCR = FI/(FBW − IBW)
PER = (FBW − IBW)/dry protein intake (g)
PG (g/kg weight gain) = {(FBW × final whole body protein content (%)/100) − (IBW × initial whole body protein content (%)/100)}/(WG) × 1000
PR (% of intake) = (protein gain (g/kg weight gain) × 100)/protein intake (g/kg weight gain)
Survival (%) = 100 × FN/IN
IBW and FBW were the initial and final body weight (g) of fish, respectively; IN and FN were the initial and final fish. The weight gain (WG), specific growth rate (SGR), feed conversion ratio (FCR), total dry feed intake (FI), the protein efficiency ratio (PER), protein gain (PG), and protein retention (PR).
Then, after being anesthetized with MS-222, five fish were randomly selected from each hapa followed by chilling in ice/water slurry until fish die, weighed, and immediately kept at −20 °C for the whole-body chemical analysis [34]. Fish were then dried and crushed into powder form. The diets and fish whole body were analyzed for moisture, crude protein, total lipid, and ash in triplicate, using standard methods [32]. The moisture content was evaluated following oven drying (Memmert UN110, Buchenbach, Germany) at 105 °C until a constant dry weight was reached. The ash content was determined using a muffle furnace (Heraeus Instruments K1252, Hanau, Germany) at 550 °C for 6 h. Crude protein was analyzed using the Micro-Kjeldahl apparatus (Foss Kjeltec 2200, Hillerqd, Denmark). Total lipid content was determined by petroleum ether extraction in the Soxhlet apparatus for 6 h.
Another three fish per hapa (nine fish per treatment) were gently bled from the caudal vein using 2.5 mL heparinized syringes to collect blood for phagocytosis analysis. Besides using non-heparinized syringes, blood was collected for serum separation. Samples were left for 4 h at 4 °C, then centrifuged at 3000× g for 15 min under 4 °C for serum collection. The collected blood or serum samples from each hapa (three fish) were divided in two Eppendorf (1.5 mL) (whole blood and serum) and kept for further analysis. Serum samples were kept at −80 °C for further biochemical analysis. Besides, three fish per hapa (9 fish per treatment) were killed and dissected, and their intestines were extracted to detect the activity of digestive enzymes.
2.3. Digestive Enzyme Activity
The homogenate was prepared by rinsing the intestines in ice-cold phosphate-buffered saline (PBS) (pH 7.5; 1 g per 10 mL). It was then homogenized and centrifuged at 7168× g for 5 min, and the supernatant was collected from three fish per hapa and stored at 4 °C for further analysis. The total protein content was measured using diluted homogenates following Lowry, et al. [35] using bovine serum albumin as a standard. Protease activity was evaluated by following Anson [36] using Folin phenol reagent, and amylase activity was measured according to the methods of Jiang [37] and Worthington [38] using iodine solution to reveal non-hydrolyzed starch. Protease and amylase activity were expressed as specific activity (units per mg of protein). The specific activity of lipase was assessed based on previously described protocols by Borlongan [39] and Jin [40] with olive oil as a substrate. Fatty acids derived from enzymatic hydrolysis of triglyceride in a stable emulsion of olive oil were titrated with NaOH. One unit of specific activity of lipase was determined as the volume of 0.05 N NaOH needed to neutralize fatty acid release after 6 h of incubation with the substrate. Lipase activity was expressed as units per gram of intestinal content.
2.4. Blood Analysis
Serum total proteins and albumins were determined, according to Doumas, et al. [41] and Dumas and Biggs [42]. Serum aspartate aminotransferase (AST), alanine aminotransferase (ALT), creatinine, urea, triglycerides, and total cholesterol were detected by RA-50 chemistry analyzer (Diagnostics Manufacturing Limited, Bayer, Dublin, Ireland) using readymade chemicals (kits) supplied by Pasteur labs, France, following the manufacturer’s instructions.
Leukocyte phagocytic function followed the method of Cai, et al. [43]. The number of leukocytes that engulfed bacteria was counted as percentages in relation to the total leukocyte number in the smear from the phagocytosis assay. By following Kawahara, et al. [44], the phagocytic activity and phagocytic index were determined. Analysis of serum lysozyme activity was performed using a turbidimetric assay, according to Ellis, et al. [45].
Superoxide dismutase (SOD), catalase (CAT), and glutathione peroxidase (GPx) in serum were measured using diagnostic reagent kits following the manufacturer’s (Biodiagnostic, Dokki, Giza, Egypt) instructions. The concentration of malondialdehyde (MDA) was detected by following Uchiyama and Mihara [46] and expressed as nmol MDA/g.
2.5. Statistical Analysis
Shapiro–Wilk and Levene tests confirmed normal distribution and homogeneity of variance. The mean values of blood analysis and digestive enzyme activity of three fish per hapa were calculated then the statistical analysis was made using the hapa as a statistical unit. The obtained data were subjected to one-way ANOVA. Differences between means were tested at p < 0.05 level using the Duncan test as a post-doc test. All the statistical analyses were done via SPSS version 22 (SPSS Inc., Chicago IL, USA).
3. Results
3.1. Growth Performance and Carcass Composition
The growth-related indices of grey mullet treated with MOS are presented in Table 2. Fish treated with MOS had marked enhancement in the final body weight, feed conversion ratio, protein gain, and protein retention regardless of inclusion dose (p < 0.05). The weight gain, specific growth rate, and protein efficiency ratio were meaningfully enhanced by including MOS at 0.5 and 1%, followed by fish treated with 2%, while the lowest values were in the control group (p < 0.05). Insignificant influences of MOS were seen on the survival rate of grey mullet treated with MOS (p > 0.05). Similarly, the chemical characteristics of carcass components were not meaningfully impacted by dietary MOS (p > 0.05) (Table 3).
Table 2.
Growth performance of Thinlip grey mullet fed dietary mannanoligosaccharide.
Table 3.
Carcass composition (% of fresh matter) of Thinlip grey mullet fed dietary mannanoligosaccharide.
3.2. Digestive Enzyme Activity
Fish treated with MOS had marked enhancement in the amylase activity regardless of inclusion dose (p < 0.05) (Figure 1A). The lipase activity was meaningfully enhanced by including MOS at 0.5 and 1%, followed by fish treated with 2%, while the lowest values were in the control group (p < 0.05) (Figure 1B). The highest protease activity was seen in fish fed 1% MOS followed by those treated with 0.5 and 2%, while the lowest protease activity was seen in fish fed the basal diet (p < 0.05) (Figure 1C).
Figure 1.
Digestive enzyme activity: (A) amylase, (B) lipase, and (C) protease activities of Thinlip grey mullet fed dietary mannanoligosaccharide for 8 weeks. Bars present means ± S.E. and different letters are significantly different (p < 0.05) (n = 3).
3.3. Biochemical Blood Indices
No marked effect of dietary MOS was seen on the blood bio-indices except for the blood metabolites (p > 0.05) (Table 4). The blood total protein and albumin levels were meaningfully enhanced by including MOS at 0.5 and 1%, followed by fish treated with 2%, while the lowest values were in the control group (p < 0.05) (Table 4). The blood globulin was significantly enhanced in fish fed 1% MOS when compared to fish treated with 0, 0.5, and 2% of MOS (p < 0.05) (Table 4).
Table 4.
Blood biochemical indices of Thinlip grey mullet fed dietary mannanoligosaccharide.
3.4. Immune Blood Parameters
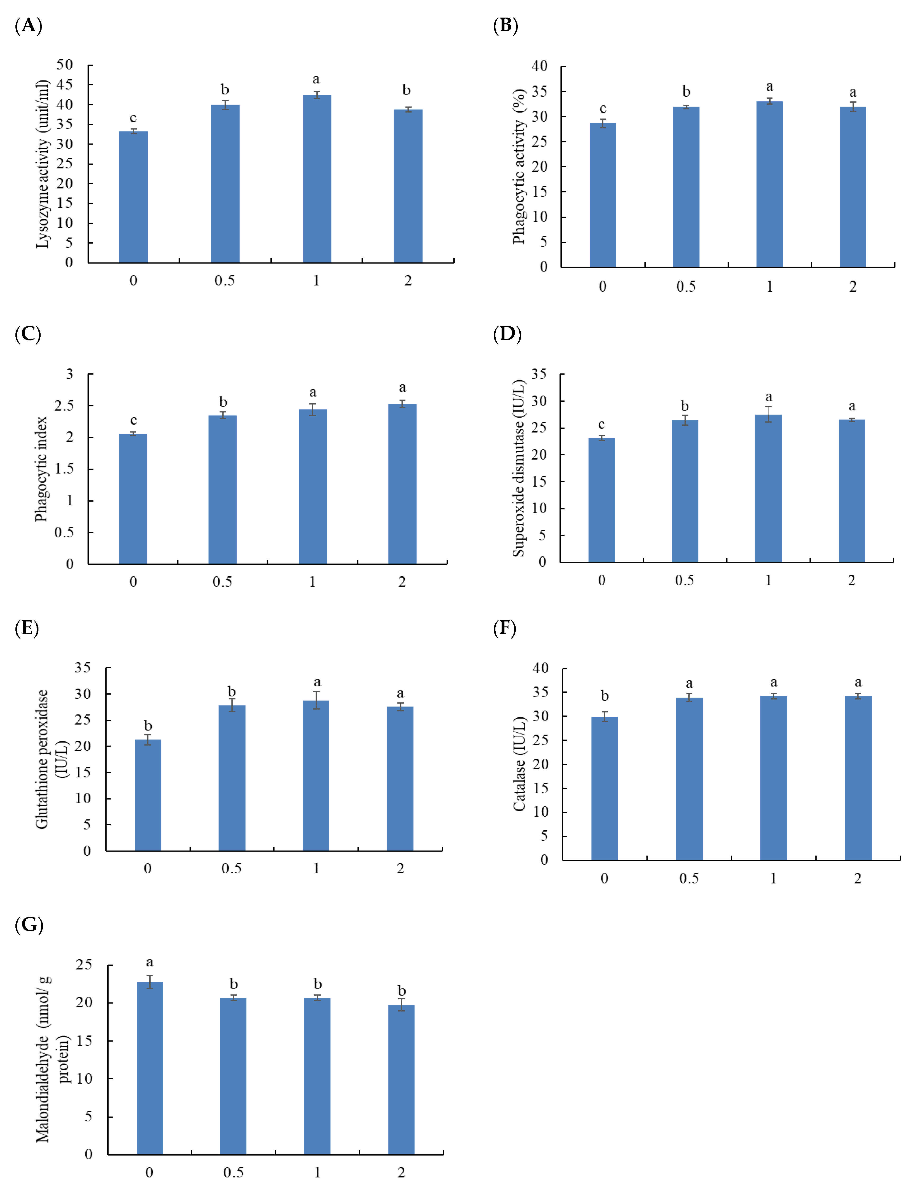
The blood lysozyme activity was meaningfully enhanced by including MOS at 1%, followed by fish treated with 0.5 and 2%, while the lowest values were in the control group (p < 0.05) (Figure 2A). Phagocytic activity and phagocytic index were markedly improved in fish treated with 1 and 2% MOS, followed by those fed 0.5% compared with fish fed MOS-free diet (p < 0.05) (Figure 2B,C).
Figure 2.
Blood immune parameters: (A) lysozyme activity, (B) phagocytic activity, (C) phagocytic index, (D) superoxide dismutase, (E) glutathione peroxidase, (F) catalase, and (G) malondialdehyde level of Thinlip grey mullet fed dietary mannanoligosaccharide for 8 weeks. Bars present means ± S.E. and different letters are significantly different (p < 0.05) (n = 3).
Superoxide dismutase and glutathione peroxidase were markedly improved in fish treated with 1 and 2% MOS, followed by those fed 0.5% compared with fish fed MOS-free diet (p < 0.05) (Figure 2D,E). Dietary MOS meaningfully enhanced catalase activity while decreased the malondialdehyde concentration compared with fish fed the basal diet (p < 0.05) (Figure 2F,G).
4. Discussion
The inclusion of active substances in aquafeed is effectively applied in aquaculture to enhance aquatic animals’ performances and well-being [8,47]. Prebiotic-related additives resulted in positive effects on the productivity of finfish species, making them friendly alternatives for chemical drugs [48]. Many studies showed the direct effect of MOS on enhancing the growth behavior and health status, but others indicated no marked influences of using MOS on finfish species [23,24,49]. For this reason, the inclusion of MOS in aquafeed has to be evaluated based on the species-specific manner.
The results showed that grey mullet fed dietary MOS had enhanced growth performance which agrees with most of the studies investigating the effect of MOS on the growth performance of finfish species [21,49]. In this context, Piccolo, et al. [50] and Dimitroglou, et al. [51], who indicated that MOS did not influence the growth performance of sharpsnout sea bream (Diplodus puntazzo) and gilthead sea bream (Sparus aurata). The obtained results show that the effects are diverse and can be species-specific effects. The differences in growth performance are related to the feeding habits, life stage, feeding duration, and fish species [52]. The role of MOS in improving the growth performance of fish is associated with the MOS capacity of enhancing feed utilization and digestion of nutrients [30]. Markedly the results showed enhanced feed efficiency in the intestines of grey mullets illustrating that the high feed intake is the main reason for high growth performance. MOS is one of the yeast cell wall derivatives with high polypeptides, vitamins, and active proteins [53]. The modern concept of prebiotics implies the use of selective compounds to favor the growth of the protective indigenous gut microbiota [9,54]. Beneficial microorganisms are responsible for facilitating the digestion and absorption of nutrients in fish intestines by producing digestive enzymes [20]. Concurrently, the activation of the digestive enzymes by dietary MOS led to high feed utilization and growth performance [55].
The enhancement of the growth performance of Thinlip grey mullet fed dietary MOS is most likely also related to the improved digestive enzyme activity. The detection of digestive enzyme activities is essential for feeding with specific diet formulation on feed utilization [56,57]. High digestion and absorption capacity in fish intestines could be related to the role of intestinal microbiota to release nutrients into the bloodstream by crossing the intestinal barrier [9]. Our results showed enhanced amylase, lipase, and protease activities in grey mullet, which agreed with Akter, et al. [58] and Wu, et al. [59], who stated that striped catfish (Pangasianodon hypophthalmus) and yellow catfish (Pelteobagrus fulvidraco) fed dietary MOS had enhanced digestive enzyme activities. The improvements in the FCR, protein efficiency ratio, protein gain, and protein retention are strongly related to the effect of MOS on improving the feed efficiency of grey mullet. Further, enhanced feed utilization could explain the increased growth performance of grey mullet-fed dietary MOS.
Measuring biochemical blood indices helps diagnose the feed utilization quality, metabolic function, immune response, and stress resistance of aquatic organisms [60]. The protein metabolites (total protein, albumin, and globulin), lipid metabolites (total cholesterol and triglycerides), liver condition (ALT and AST), and kidney condition (creatinine and urea) related indices [61] are the main factors detected in the present study in response with MOS feeding in grey mullet. The results showed no marked effects on the measured indices except for blood protein metabolites which increased meaningfully in grey mullet treated with dietary MOS. The results indicate that dietary MOS had beneficial side effects on the blood proteins without impacting liver and kidney functions [62]. Improved blood proteins are consistently correlated with high digested nutrients, hormones, enzymes, and immune metabolites in fish’s blood [63]. In a similar sense, Dawood, et al. [28] and Yuji-Sado, et al. [64] fed dietary MOS showed improved blood proteins without negative impacts on the hepato-renal function of red sea bream (Pagrus major) and Nile tilapia (Oreochromis niloticus), respectively.
Lysozyme and phagocytosis activities are non-specific immune responses involved in the protection against pathogenic invaders in the fish body [65]. Lysozyme can deactivate the peptidoglycan layer in the pathogenic bacterial cell walls leading to high resistance against infection [66]. Besides, the phagocytosis function is the tool of combating microbial infection via phagocytic activity [67]. The results showed activated lysozyme and phagocytic activities in grey mullet fed dietary MOS referring to high immunity. The results are in line with Dawood, et al. [28] and Ren, et al. [23], who reported increased lysozyme and phagocytic activities in red sea bream and hybrid grouper (Epinephelus lanceolatus ♂ × E. fuscoguttatus ♀) fed dietary MOS. The potential role of MOS on activating fish immunity is probably related to its effect on activating the immune cells [16]. The effect of MOS begins with activating the local intestinal immunity, which is correlated with the whole fish body immunity [68].
The antioxidant capacity of fish is another vital tool to defend the fish body from reactive oxygen metabolites (ROS) responsible for lipid peroxidation during infection and stress [69]. High ROS levels induce oxidative stress and impairment of cell function and can be indicated by detecting malondialdehyde (MDA) concentration [68]. Thus, in this study, high activities of related antioxidant enzymes (SOD, CAT, and GPx) with low levels of MDA indicate the positive role of MOS in maintaining the high wellbeing of grey mullet. The results are similar with Dawood, et al. [28] and Ren, et al. [23], who indicated that red sea bream and hybrid grouper-fed dietary MOS showed activated antioxidant capacity. The activation of antioxidative capacity resulting from MOS feeding correlates with MOS role in degenerating excessive ROS in the entire body [27].
The study was performed for only 60 days, while the effect of MOS should be investigated through the entire farming life of the fish. It has been reported that MOS effects on fish performance are vary depending on the duration of feeding. Most importantly, Terova, et al. [70] reported that the innate immune response of European sea bass (Dicentrarchus labrax) was activated by dietary MOS for 60 days. The authors claimed that MOS influence on the immune system depends on the feeding duration and dose of supplementation. They also concluded that a long feeding period (60 days) did not result in higher dicentracin transcript levels than after 30 days of feeding regardless of the dose supplementation. Therefore, further future studies are recommended to evaluate the effect of dietary MOS through the entire farming life of the fish.
5. Conclusions
The obtained results indicated that dietary MOS is required at 0.5–1% for enhancing the growth rate, feed efficiency, blood immunity, and antioxidative capacity of Thinlip grey mullet. Further studies are needed to understand the role of MOS on Thinlip grey mullet performances using molecular tools.
Author Contributions
Conceptualization, F.I.M., M.I.B., M.M.K., R.A., H.S., A.A.A., A.A.S., H.V.D., and M.A.O.D.; Data curation, M.A.O.D.; Formal analysis, R.A., A.A.A., and M.A.O.D.; Funding acquisition, R.A., S.M.A., M.M.S., H.V.D., and M.A.O.D.; Investigation, F.I.M., M.I.B., M.M.K., H.S., S.M.A., M.M.S., A.A.S., and M.A.O.D.; Methodology, R.A., A.A.A., A.A.S., and M.A.O.D.; Project administration, F.I.M.; Resources, R.A., H.S., A.A.A., H.V.D., and A.A.S.; Supervision, F.I.M., M.I.B., and M.M.K.; Validation, M.A.O.D.; Visualization, M.I.B.; Writing—original draft, M.M.K., M.M.S., H.V.D., and M.A.O.D.; Writing—review and editing, H.S., S.M.A., H.V.D., and M.A.O.D. All authors have read and agreed to the published version of the manuscript.
Funding
The current work was funded by Taif University, Saudi Arabia, for financial support through its Researchers Supporting Project (TURSP-2020-105). This research work was partially supported by Chiang Mai University.
Institutional Review Board Statement
The experiments were performed according to the guidelines of a local ethics committee (Number 10/2016 EC) at the faculty of Agriculture, Kafrelsheikh University, Kafr El-Sheikh, Egypt.
Informed Consent Statement
Informed consent was obtained from all subjects involved in the study.
Data Availability Statement
Data available from the corresponding author at convenient request.
Acknowledgments
Authors appreciate and thank Taif University, Saudi Arabia, for financial support through its Researchers Supporting Project (TURSP-2020-105). This research work was partially supported by Chiang Mai University.
Conflicts of Interest
The authors declare no conflict of interest.
References
- Food and Agriculture Organization (FAO). The state of world fisheries and aquaculture. In Sustainability in Action Food and Agriculture Organization of the United Nations; FAO: Rome, Italy, 2020. [Google Scholar]
- Adel, M.; Dawood, M.A.O. Probiotics application: Implications for sustainable aquaculture. In Probiotic Bacteria and Postbiotic Metabolites: Role in Animal and Human Health; Mojgani, N., Dadar, M., Eds.; Microorganisms for Sustainability Series 2; Springer Publishing: New York, NY, USA, 2021; pp. 191–219. [Google Scholar]
- Besbes, R.; Benseddik, A.B.; Kokokiris, L.; Changeux, T.; Hamza, A.; Kammoun, F.; Missaoui, H. Thicklip (Chelon labrosus) and flathead (Mugil cephalus) grey mullets fry production in tunisian aquaculture. Aquac. Rep. 2020, 17, 100380. [Google Scholar] [CrossRef]
- Froese, R.J. Fish Base Online. Available online: www.fishbase.org (accessed on 1 May 2021).
- El-Bokhty, E.-A.; Amin, A. Current status of Liza ramada (risso, 1810) (mugilidae) caught by trammel net (ballah) at El-gamil region, Manzala lake, Egypt. Egypt. J. Aquat. Biol. Fish. 2020, 24, 281–308. [Google Scholar] [CrossRef]
- Paray, B.A.; El-Basuini, M.F.; Alagawany, M.; Albeshr, M.F.; Farah, M.A.; Dawood, M.A.O. Yucca schidigera usage for healthy aquatic animals: Potential roles for sustainability. Animals 2021, 11, 93. [Google Scholar] [CrossRef] [PubMed]
- Boyd, C.E.; D’Abramo, L.R.; Glencross, B.D.; Huyben, D.C.; Juarez, L.M.; Lockwood, G.S.; McNevin, A.A.; Tacon, A.G.J.; Teletchea, F.; Tomasso, J.R., Jr.; et al. Achieving sustainable aquaculture: Historical and current perspectives and future needs and challenges. J. World Aquac. Soc. 2020, 51, 578–633. [Google Scholar] [CrossRef]
- Dawood, M.A.O.; El Basuini, M.F.; Zaineldin, A.I.; Yilmaz, S.; Hasan, M.T.; Ahmadifar, E.; El Asely, A.M.; Abdel-Latif, H.M.R.; Alagawany, M.; Abu-Elala, N.M.; et al. Antiparasitic and antibacterial functionality of essential oils: An alternative approach for sustainable aquaculture. Pathogens 2021, 10, 185. [Google Scholar] [CrossRef]
- Dawood, M.A.O. Nutritional immunity of fish intestines: Important insights for sustainable aquaculture. Rev. Aquac. 2021, 13, 642–663. [Google Scholar] [CrossRef]
- Bae, J.; Hamidoghli, A.; Won, S.; Choi, W.; Lim, S.-G.; Kim, K.-W.; Lee, B.-J.; Hur, S.-W.; Bai, S.C. Evaluation of seven different functional feed additives in a low fish meal diet for olive flounder, Paralichthys olivaceus. Aquaculture 2020, 525, 735333. [Google Scholar] [CrossRef]
- Ringø, E.; Song, S.K. Application of dietary supplements (synbiotics and probiotics in combination with plant products and β-glucans) in aquaculture. Aquac. Nutr. 2016, 22, 4–24. [Google Scholar] [CrossRef]
- Soltani, M.; Ghosh, K.; Hoseinifar, S.H.; Kumar, V.; Lymbery, A.J.; Roy, S.; Ringø, E. Genus Bacillus, promising probiotics in aquaculture: Aquatic animal origin, bio-active components, bioremediation and efficacy in fish and shellfish. Rev. Fish. Sci. Aquac. 2019, 27, 331–379. [Google Scholar] [CrossRef]
- Dawood, M.A.O.; Koshio, S.; Esteban, M.Á. Beneficial roles of feed additives as immunostimulants in aquaculture: A review. Rev. Aquac. 2018, 10, 950–974. [Google Scholar] [CrossRef]
- Yukgehnaish, K.; Kumar, P.; Sivachandran, P.; Marimuthu, K.; Arshad, A.; Paray, B.A.; Arockiaraj, J. Gut microbiota metagenomics in aquaculture: Factors influencing gut microbiome and its physiological role in fish. Rev. Aquac. 2020, 12, 1903–1927. [Google Scholar] [CrossRef]
- Cavalcante, R.B.; Telli, G.S.; Tachibana, L.; de Carla Dias, D.; Oshiro, E.; Natori, M.M.; da Silva, W.F.; Ranzani-Paiva, M.J. Probiotics, prebiotics and synbiotics for Nile tilapia: Growth performance and protection against Aeromonas hydrophila infection. Aquac. Rep. 2020, 17, 100343. [Google Scholar] [CrossRef]
- Dawood, M.A.O.; Abo-Al-Ela, H.G.; Hasan, M.T. Modulation of transcriptomic profile in aquatic animals: Probiotics, prebiotics and synbiotics scenarios. Fish Shellfish Immunol. 2020, 97, 268–282. [Google Scholar] [CrossRef] [PubMed]
- Mohammadian, T.; Nasirpour, M.; Tabandeh, M.R.; Mesbah, M. Synbiotic effects of β-glucan, mannan oligosaccharide and Lactobacillus casei on growth performance, intestine enzymes activities, immune-hematological parameters and immune-related gene expression in common carp, Cyprinus carpio: An experimental infection with Aeromonas hydrophila. Aquaculture 2019, 511, 634197. [Google Scholar]
- Sohn, K.; Kim, M.; Kim, J.; Han, I.K. The role of immunostimulants in monogastric animal and fish-review. Asian-Australas. J. Anim. Sci. 2000, 13, 1178–1187. [Google Scholar] [CrossRef]
- Song, S.K.; Beck, B.R.; Kim, D.; Park, J.; Kim, J.; Kim, H.D.; Ringø, E. Prebiotics as immunostimulants in aquaculture: A review. Fish Shellfish Immunol. 2014, 40, 40–48. [Google Scholar] [CrossRef]
- Ringø, E.; Olsen, R.E.; Gifstad, T.Ø.; Dalmo, R.A.; Amlund, H.; Hemre, G.I.; Bakke, A.M. Prebiotics in aquaculture: A review. Aquac. Nutr. 2010, 16, 117–136. [Google Scholar] [CrossRef]
- Gültepe, N.; Salnur, S.; HoŞSu, B.; Hisar, O. Dietary supplementation with mannanoligosaccharides (MOS) from Bio-MOS enhances growth parameters and digestive capacity of gilthead sea bream (Sparus aurata). Aquac. Nutr. 2011, 17, 482–487. [Google Scholar] [CrossRef]
- Hisano, H.; Soares, M.P.; Luiggi, F.G.; Arena, A.C. Dietary β-glucans and mannanoligosaccharides improve growth performance and intestinal morphology of juvenile pacu Piaractus mesopotamicus (holmberg, 1887). Aquac. Int. 2018, 26, 213–223. [Google Scholar] [CrossRef]
- Ren, Z.; Wang, S.; Cai, Y.; Wu, Y.; Tian, L.; Wang, S.; Jiang, L.; Guo, W.; Sun, Y.; Zhou, Y. Effects of dietary mannan oligosaccharide supplementation on growth performance, antioxidant capacity, non-specific immunity and immune-related gene expression of juvenile hybrid grouper (Epinephelus lanceolatus♂ × Epinephelus fuscoguttatus♀). Aquaculture 2020, 523, 735195. [Google Scholar] [CrossRef]
- Torrecillas, S.; Makol, A.; Caballero, M.J.; Montero, D.; GinÉS, R.; Sweetman, J.; Izquierdo, M. Improved feed utilization, intestinal mucus production and immune parameters in sea bass (Dicentrarchus labrax) fed mannan oligosaccharides (MOS). Aquac. Nutr. 2011, 17, 223–233. [Google Scholar] [CrossRef]
- Carbone, D.; Faggio, C. Importance of prebiotics in aquaculture as immunostimulants. Effects on immune system of Sparus aurata and Dicentrarchus labrax. Fish Shellfish Immunol. 2016, 54, 172–178. [Google Scholar] [CrossRef]
- Kishawy, A.T.Y.; Sewid, A.H.; Nada, H.S.; Kamel, M.A.; El-Mandrawy, S.A.M.; Abdelhakim, T.M.N.; El-Murr, A.E.I.; Nahhas, N.E.; Hozzein, W.N.; Ibrahim, D. Mannanoligosaccharides as a carbon source in biofloc boost dietary plant protein and water quality, growth, immunity and Aeromonas hydrophila resistance in Nile tilapia (Oreochromis niloticus). Animals 2020, 10, 1724. [Google Scholar] [CrossRef] [PubMed]
- Lu, Z.-Y.; Feng, L.; Jiang, W.-D.; Wu, P.; Liu, Y.; Kuang, S.-Y.; Tang, L.; Zhou, X.-Q. Mannan oligosaccharides improved growth performance and antioxidant capacity in the intestine of on-growing grass carp (Ctenopharyngodon idella). Aquac. Rep. 2020, 17, 100313. [Google Scholar] [CrossRef]
- Dawood, M.A.O.; Koshio, S.; Fadl, S.E.; Ahmed, H.A.; El Asely, A.; Abdel-Daim, M.M.; Alkahtani, S. The modulatory effect of mannanoligosaccharide on oxidative status, selected immune parameters and tolerance against low salinity stress in red sea bream (Pagrus major). Aquac. Rep. 2020, 16, 100278. [Google Scholar] [CrossRef]
- Torrecillas, S.; Makol, A.; Caballero, M.J.; Montero, D.; Robaina, L.; Real, F.; Sweetman, J.; Tort, L.; Izquierdo, M.S. Immune stimulation and improved infection resistance in European sea bass (Dicentrarchus labrax) fed mannan oligosaccharides. Fish Shellfish Immunol. 2007, 23, 969–981. [Google Scholar] [CrossRef] [PubMed]
- Torrecillas, S.; Montero, D.; Izquierdo, M. Improved health and growth of fish fed mannan oligosaccharides: Potential mode of action. Fish Shellfish Immunol. 2014, 36, 525–544. [Google Scholar] [CrossRef] [PubMed]
- Dawood, M.A.O.; Gewaily, M.S.; Soliman, A.A.; Shukry, M.; Amer, A.A.; Younis, E.M.; Abdel-Warith, A.-W.A.; Van Doan, H.; Saad, A.H.; Aboubakr, M.; et al. Marine-derived chitosan nanoparticles improved the intestinal histo-morphometrical features in association with the health and immune response of grey mullet (Liza ramada). Mar. Drugs 2020, 18, 611. [Google Scholar] [CrossRef]
- Association of Official Analytical Chemists (AOAC). Official Methods of Analysis of Official Analytical Chemists International, 16th ed.; AOAC: Washington, DC, USA, 1998. [Google Scholar]
- NRC. Nutrient Requirements of Fish; National Academies Press: Washington, DC, USA, 1993; 114p. [Google Scholar]
- Zampacavallo, G.; Parisi, G.; Mecatti, M.; Lupi, P.; Giorgi, G.; Poli, B.M. Evaluation of different methods of stunning/killing sea bass (Dicentrarchus labrax) by tissue stress/quality indicators. J. Food Sci. Technol. 2015, 52, 2585–2597. [Google Scholar] [CrossRef]
- Lowry, O.H.; Rosebrough, N.J.; Farr, A.L.; Randall, R.J. Protein measurement with the folin phenol reagent. J. Biol. Chem. 1951, 193, 265–275. [Google Scholar] [CrossRef]
- Anson, M.L. The estimation of pepsin, trypsin, papain, and cathepsin with hemoglobin. J. Gen. Physiol. 1938, 22, 79–89. [Google Scholar] [CrossRef] [PubMed]
- Jiang, C. Activity Measuring for Implemental Enzyme; Science and Technology Press: Shanghai, China, 1982. [Google Scholar]
- Worthington, V. Worthington Enzyme Manual: Enzymes and Related Biochemicals Worthingthon Chemical; Worthington Biochemical Corporation: Freehold, NJ, USA, 1993; p. 399. [Google Scholar]
- Borlongan, I.G. Studies on the digestive lipases of milkfish, Chanos chanos. Aquaculture 1990, 89, 315–325. [Google Scholar] [CrossRef]
- Jin, Z. The Avaluation Principle and Method of Functional Food; Beijing Publishers: Beijing, China, 1995. [Google Scholar]
- Doumas, B.T.; Bayse, D.D.; Carter, R.J.; Peters, T.; Schaffer, R. A candidate reference method for determination of total protein in serum. I. Development and validation. Clin. Chem. 1981, 27, 1642–1650. [Google Scholar] [CrossRef]
- Dumas, B.T.; Biggs, H.G. Standard Methods of Clinical Chemistry; Academic Press: New York, NY, USA, 1972. [Google Scholar]
- Cai, W.-Q.; Li, S.-F.; Ma, J.-Y. Diseases resistance of Nile tilapia (Oreochromis niloticus), blue tilapia (Oreochromis aureus) and their hybrid (female Nile tilapia×male blue tilapia) to Aeromonas sobria. Aquaculture 2004, 229, 79–87. [Google Scholar] [CrossRef]
- Kawahara, E.; Ueda, T.; Nomura, S. In vitro phagocytic activity of white-spotted char blood cells after injection with Aeromonas salmonicida extracellular products. Fish Pathol. 1991, 26, 213–214. [Google Scholar] [CrossRef]
- Ellis, A.; Stolen, J.; Fletcher, T.; Anderson, D.; Robertson, B.; Van Muiswinkel, W. Lysozyme assay. Tech. Fish Immunol. 1990, 1, 101–103. [Google Scholar]
- Uchiyama, M.; Mihara, M. Determination of malonaldehyde precursor in tissues by thiobarbituric acid test. Anal. Biochem. 1978, 86, 271–278. [Google Scholar] [CrossRef]
- Jerez-Cepa, I.; Marín-Rincón, A.; Martínez-Rodríguez, G.; Ruiz-Jarabo, I.; Mancera, J.M. A natural additive in the diet to improve growth and reduce energy expenditure of gilthead seabream (Sparus aurata L.): Attenuation of high stocking density stress responses. Aquaculture 2020, 524, 735263. [Google Scholar] [CrossRef]
- Rossi, W.; Allen, K.M.; Habte-Tsion, H.-M.; Meesala, K.-M. Supplementation of glycine, prebiotic, and nucleotides in soybean meal-based diets for largemouth bass (Micropterus salmoides): Effects on production performance, whole-body nutrient composition and retention, and intestinal histopathology. Aquaculture 2021, 532, 736031. [Google Scholar] [CrossRef]
- Munir, M.B.; Hashim, R.; Chai, Y.H.; Marsh, T.L.; Nor, S.A.M. Dietary prebiotics and probiotics influence growth performance, nutrient digestibility and the expression of immune regulatory genes in snakehead (Channa striata) fingerlings. Aquaculture 2016, 460, 59–68. [Google Scholar] [CrossRef]
- Piccolo, G.; Centoducati, G.; Marono, S.; Bovera, F.; Tudisco, R.; Nizza, A. Effects of the partial substitution of fish meal by soy bean meal with or without mannanoligosaccharide and fructooligosaccharide on the growth and feed utilization of sharpsnout seabream, Diplodus puntazzo (cetti, 1777): Preliminary results. Ital. J. Anim. Sci. 2011, 10, e37. [Google Scholar] [CrossRef]
- Dimitroglou, A.; Merrifield, D.L.; Spring, P.; Sweetman, J.; Moate, R.; Davies, S.J. Effects of mannan oligosaccharide (MOS) supplementation on growth performance, feed utilisation, intestinal histology and gut microbiota of gilthead sea bream (Sparus aurata). Aquaculture 2010, 300, 182–188. [Google Scholar] [CrossRef]
- Dawood, M.A.O.; Koshio, S. Recent advances in the role of probiotics and prebiotics in carp aquaculture: A review. Aquaculture 2016, 454, 243–251. [Google Scholar] [CrossRef]
- Leclercq, E.; Pontefract, N.; Rawling, M.; Valdenegro, V.; Aasum, E.; Andujar, L.V.; Migaud, H.; Castex, M.; Merrifield, D. Dietary supplementation with a specific mannan-rich yeast parietal fraction enhances the gut and skin mucosal barriers of Atlantic salmon (Salmo salar) and reduces its susceptibility to sea lice (Lepeophtheirus salmonis). Aquaculture 2020, 529, 735701. [Google Scholar] [CrossRef]
- Ringø, E.; Zhou, Z.; Vecino, J.L.G.; Wadsworth, S.; Romero, J.; Krogdahl, Å.; Olsen, R.E.; Dimitroglou, A.; Foey, A.; Davies, S.; et al. Effect of dietary components on the gut microbiota of aquatic animals. A never-ending story? Aquac. Nutr. 2016, 22, 219–282. [Google Scholar] [CrossRef]
- Zhou, Q.-C.; Buentello, J.A.; Gatlin, D.M. Effects of dietary prebiotics on growth performance, immune response and intestinal morphology of red drum (Sciaenops ocellatus). Aquaculture 2010, 309, 253–257. [Google Scholar] [CrossRef]
- Dimitroglou, A.; Merrifield, D.L.; Moate, R.; Davies, S.J.; Spring, P.; Sweetman, J.; Bradley, G. Dietary mannan oligosaccharide supplementation modulates intestinal microbial ecology and improves gut morphology of rainbow trout, Oncorhynchus mykiss (walbaum). J. Anim. Sci. 2009, 87, 3226–3234. [Google Scholar] [CrossRef]
- Martin, S.A.M.; Król, E. Nutrigenomics and immune function in fish: New insights from omics technologies. Dev. Comp. Immunol. 2017, 75, 86–98. [Google Scholar] [CrossRef]
- Akter, M.N.; Sutriana, A.; Talpur, A.D.; Hashim, R. Dietary supplementation with mannan oligosaccharide influences growth, digestive enzymes, gut morphology, and microbiota in juvenile striped catfish, Pangasianodon hypophthalmus. Aquac. Int. 2016, 24, 127–144. [Google Scholar] [CrossRef]
- Wu, Z.-X.; Yu, Y.-M.; Chen, X.; Liu, H.; Yuan, J.-F.; Shi, Y.; Chen, X.-X. Effect of prebiotic konjac mannanoligosaccharide on growth performances, intestinal microflora, and digestive enzyme activities in yellow catfish, Pelteobagrus fulvidraco. Fish Physiol. Biochem. 2014, 40, 763–771. [Google Scholar] [CrossRef]
- Casanovas, P.; Walker, S.P.; Johnston, H.; Johnston, C.; Symonds, J.E. Comparative assessment of blood biochemistry and haematology normal ranges between chinook salmon (Oncorhynchus tshawytscha) from seawater and freshwater farms. Aquaculture 2021, 537, 736464. [Google Scholar] [CrossRef]
- Bao, J.-W.; Qiang, J.; Tao, Y.-F.; Li, H.-X.; He, J.; Xu, P.; Chen, D.-J. Responses of blood biochemistry, fatty acid composition and expression of micrornas to heat stress in genetically improved farmed tilapia (Oreochromis niloticus). J. Therm. Biol. 2018, 73, 91–97. [Google Scholar] [CrossRef] [PubMed]
- Wade, N.M.; Clark, T.D.; Maynard, B.T.; Atherton, S.; Wilkinson, R.J.; Smullen, R.P.; Taylor, R.S. Effects of an unprecedented summer heatwave on the growth performance, flesh colour and plasma biochemistry of marine cage-farmed Atlantic salmon (Salmo salar). J. Therm. Biol. 2019, 80, 64–74. [Google Scholar] [CrossRef]
- Manera, M.; Britti, D. Assessment of blood chemistry normal ranges in rainbow trout. J. Fish Biol. 2006, 69, 1427–1434. [Google Scholar] [CrossRef]
- Yuji-Sado, R.; Raulino-Domanski, F.; de Freitas, P.F.; Baioco-Sales, F. Growth, immune status and intestinal morphology of nile tilapia fed dietary prebiotics (mannan oligosaccharides-mos). Lat. Am. J. Aquat. Res. 2015, 43, 944–952. [Google Scholar] [CrossRef]
- Dotta, G.; de Andrade, J.I.A.; Tavares Gonçalves, E.L.; Brum, A.; Mattos, J.J.; Maraschin, M.; Martins, M.L. Leukocyte phagocytosis and lysozyme activity in Nile tilapia fed supplemented diet with natural extracts of propolis and aloe barbadensis. Fish Shellfish Immunol. 2014, 39, 280–284. [Google Scholar] [CrossRef]
- Luo, C.; Gwekwe, B.; Choto, P.; Miao, W.; Chen, M.; Xue, C.; Xu, Y.; Yin, X.; Magawa, G.; Wu, D.; et al. Bitter peptides from enzymatically hydrolyzed protein increase the number of leucocytes and lysozyme activity of large yellow croaker (Larimichthys crocea). Fish Shellfish Immunol. 2018, 81, 130–134. [Google Scholar] [CrossRef]
- Angulo, M.; Reyes-Becerril, M.; Angulo, C. Yarrowia lipolytica n6-glucan protects goat leukocytes against Escherichia coli by enhancing phagocytosis and immune signaling pathway genes. Microb. Pathog. 2021, 150, 104735. [Google Scholar] [CrossRef] [PubMed]
- Lu, J.; Qi, C.; Limbu, S.M.; Han, F.; Yang, L.; Wang, X.; Qin, J.G.; Chen, L. Dietary mannan oligosaccharide (MOS) improves growth performance, antioxidant capacity, non-specific immunity and intestinal histology of juvenile chinese mitten crabs (Eriocheir sinensis). Aquaculture 2019, 510, 337–346. [Google Scholar] [CrossRef]
- Cheng, C.-H.; Yang, F.-F.; Ling, R.-Z.; Liao, S.-A.; Miao, Y.-T.; Ye, C.-X.; Wang, A.-L. Effects of ammonia exposure on apoptosis, oxidative stress and immune response in pufferfish (Takifugu obscurus). Aquat. Toxicol. 2015, 164, 61–71. [Google Scholar] [CrossRef] [PubMed]
- Terova, G.; Forchino, A.; Rimoldi, S.; Brambilla, F.; Antonini, M.; Saroglia, M. Bio-mos®: An effective inducer of dicentracin gene expression in European sea bass (Dicentrarchus labrax). Comp. Biochem. Physiol. Part B Biochem. Mol. Biol. 2009, 153, 372–377. [Google Scholar] [CrossRef] [PubMed]
Publisher’s Note: MDPI stays neutral with regard to jurisdictional claims in published maps and institutional affiliations. |
© 2021 by the authors. Licensee MDPI, Basel, Switzerland. This article is an open access article distributed under the terms and conditions of the Creative Commons Attribution (CC BY) license (https://creativecommons.org/licenses/by/4.0/).

