Influence of the Chelation Process on the Stability of Organic Trace Mineral Supplements Used in Animal Nutrition
Abstract
Simple Summary
Abstract
1. Introduction
2. Materials and Methods
2.1. Protein Source Hydrolysis
2.2. Formation of Mineral Proteinates from Soy Flour Hydrolysate
2.3. Amino Acid Profiling
2.4. Fourier Transform Infrared (FTIR) Spectroscopy
2.5. Potentiometric and Ion-Selective Electrode (ISE) Measurements
2.6. Statistical Analysis
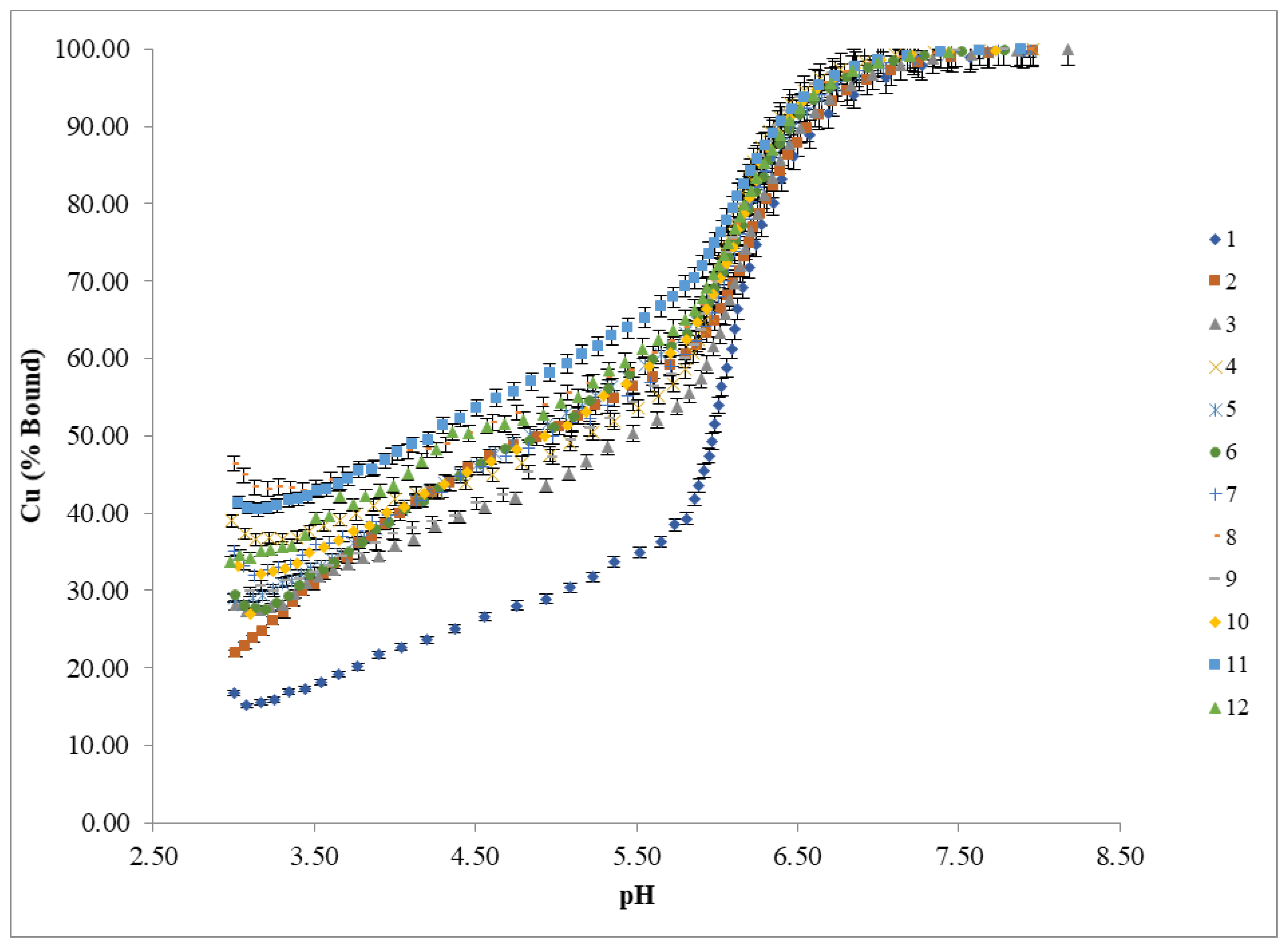
3. Results and Discussion
Potentiometric Titrations of Commercial OTMs
4. Conclusions
Author Contributions
Funding
Data Availability Statement
Acknowledgments
Conflicts of Interest
References
- Parks, F.P.; Harmston, K.J. An assay method from proteinates: Judging organic trace minerals. Feed Manag. 1994, 45, 35–38. [Google Scholar]
- Savaram Venkata, R.R.; Bhukya, P.; Raju, M.V.L.N.; Ullengala, R. Effect of Dietary Supplementation of Organic Trace Minerals at Reduced Concentrations on Performance, Bone Mineralization, and Antioxidant Variables in Broiler Chicken Reared in Two Different Seasons in a Tropical Region. Biol. Trace Elem. Res. 2020, 1–8. [Google Scholar] [CrossRef]
- Khatun, A.; Chowdhury, S.D.; Roy, B.C.; Dey, B.; Haque, A.; Chandran, B. Comparative effects of inorganic and three forms of organic trace minerals on growth performance, carcass traits, immunity, and profitability of broilers. J. Adv. Vet. Anim. Res. 2019, 6, 66–73. [Google Scholar] [CrossRef]
- Wang, G.; Liu, L.J.; Tao, W.J.; Xiao, Z.P.; Pei, X.; Liu, B.J.; Wang, M.Q.; Lin, G.; Ao, T.Y. Effects of replacing inorganic trace minerals with organic trace minerals on the production performance, blood profiles, and antioxidant status of broiler breeders. Poult. Sci. 2019, 98, 2888–2895. [Google Scholar] [CrossRef] [PubMed]
- Wang, G.; Liu, L.; Wang, Z.; Pei, X.; Tao, W.; Xiao, Z.; Liu, B.; Wang, M.; Lin, G.; Ao, T. Comparison of Inorganic and Organically Bound. Trace Minerals on Tissue Mineral. Deposition and Fecal Excretion in Broiler Breeders. Biol. Trace Elem. Res. 2019, 189, 224–232. [Google Scholar]
- Liu, B.; Xiong, P.; Chen, N.; He, J.; Lin, G.; Xue, Y.; Li, W.; Yu, D. Effects of Replacing of Inorganic Trace Minerals by Organically Bound. Trace Minerals on Growth Performance, Tissue Mineral. Status, and Fecal Mineral. Excretion in Commercial Grower-Finisher Pigs. Biol. Trace Elem. Res. 2016, 173, 316–324. [Google Scholar]
- Araújo, C.S.S.; Hermes, R.G.; Bittencourt, L.C.; Silva, C.C.; Araújo, L.F.; Granghelli, C.A.; Pelissari, P.H.; Roque, F.A.; Leite, B.G.S. Different dietary trace mineral sources for broiler breeders and their progenies. Poult. Sci. 2019, 98, 4716–4721. [Google Scholar] [CrossRef]
- Ward, J.D.; Spears, J.W.; Kegley, E.B. Bioavailability of Copper Proteinate and Copper Carbonate Relative to Copper Sulfate in Cattle. J. Dairy Sci. 1996, 79, 127–132. [Google Scholar] [CrossRef]
- Kincaid, R.L.; Blauwiekel, R.M.; Cronrath, J.D. Supplementation of Copper as Copper Sulfate or Copper Proteinate for Growing Calves Fed Forages Containing Molybdenum. J. Dairy Sci. 1986, 69, 160–163. [Google Scholar] [CrossRef]
- Wedekind, K.J.; Hortin, A.E.; Baker, D.H. Methodology for assessing zinc bioavailability: Efficacy estimates for zinc-methionine, zinc sulfate, and zinc oxide. J. Anim. Sci. 1992, 70, 178–187. [Google Scholar] [CrossRef]
- Predieri, G.; Elviri, L.; Tegoni, M.; Zagnoni, I.; Cinti, E.; Biagi, G.; Ferruzza, S.; Leonardi, G. Metal chelates of 2-hydroxy-4-methylthiobutanoic acid in animal feeding: Part 2: Further characterizations, in vitro and in vivo investigations. J. Inorg. Biochem. 2005, 99, 627–636. [Google Scholar] [CrossRef]
- Nollet, L.; van der Klis, J.D.; Lensing, M.; Spring, P. The Effect of Replacing Inorganic with Organic Trace Minerals in Broiler Diets on Productive Performance and Mineral Excretion. J. Appl. Poult. Res. 2007, 16, 592–597. [Google Scholar] [CrossRef]
- Yiannikouris, A.; Connolly, C.; Power, R.; Lobinski, R. Characterization of metal-peptide complexes in feed supplements of essential trace elements. Metallomics 2009, 1, 235–248. [Google Scholar] [CrossRef] [PubMed]
- Radcliffe, J.S.; Aldridge, B.E.; Saddoris, K.L. Understanding Organic Mineral Uptake Mechanisms: Experiments with Bioplex Cu. 2007. Available online: www.engormix.com (accessed on 14 November 2020).
- AAFCO. Official Publication; Association of American Feed Control Officials: Champaign, IL, USA, 2000. [Google Scholar]
- Byrne, L.A. Analytical Assessment of Peptide-Metal Interactions and Subsequent Stability. Ph.D. Thesis, National University of Ireland, Maynooth, Ireland, 2010. [Google Scholar]
- AOAC. Metals and Other Elements in Plants and Pet Foods: Inductively Coupled Plasma Spectroscopic Method, AOAC Official Method 985.01; AOAC International: Arlington, VA, USA, 2003. [Google Scholar]
- Spackman, D.H.; Stein, W.H.; Moore, S. Automatic Recording Apparatus for Use in Chromatography of Amino Acids. Anal. Chem. 1958, 30, 1190–1206. [Google Scholar] [CrossRef]
- Tedeschi, C.; Clement, V.; Rouvet, M.; Valles-Pamies, B. Dissolution tests as a tool for predicting bioaccessibility of nutrients during digestion. Food Hydrocoll. 2009, 23, 1228–1235. [Google Scholar] [CrossRef]
- Amigo, L.; Hernández-Ledesma, B. Current evidence on the bioavailability of food bioactive peptides. Molecules 2020, 25, 4479. [Google Scholar] [CrossRef] [PubMed]
- Miles, R.D.; Henry, P.R. Relative trace mineral bioavailability. Ciênc. Anim. Bras. 2000, 1, 73–93. [Google Scholar]
- Ao, T.; Pierce, J. The replacement of inorganic mineral salts with mineral proteinates in poultry diets. World’s Poult. Sci. J. 2013, 69, 5–16. [Google Scholar] [CrossRef]
- Sun, N.; Cui, P.; Jin, Z.; Wu, H.; Wang, Y.; Lin, S. Contributions of molecular size, charge distribution, and specific amino acids to the iron-binding capacity of sea cucumber (Stichopus japonicus) ovum hydrolysates. Food Chem. 2017, 230, 627–636. [Google Scholar] [CrossRef]
- Caetano-Silva, M.E.; Netto, F.M.; Bertoldo-Pacheco, M.T.; Alegría, A.; Cilla, A. Peptide-metal complexes: Obtention and role in increasing bioavailability and decreasing the pro-oxidant effect of minerals. Crit. Rev. Food Sci. Nutr. 2020, 61, 1470–1489. [Google Scholar] [CrossRef]
- Sun, X.; Sarteshnizi, R.A.; Boachie, R.T.; Okagu, O.D.; Abioye, R.O.; Neves, R.P.; Ohanenye, I.C.; Udenigwe, C.C. Peptide–Mineral. Complexes: Understanding Their Chemical Interactions, Bioavailability, and Potential Application in Mitigating Micronutrient Deficiency. Foods 2020, 9, 1402. [Google Scholar] [CrossRef]
- Hrckova, M.; Rusnakova, M.; Zemanovic, J. Enzymatic hydrolysis of defatted soy flour by three different proteases and their effect on the functional properties of resulting protein hydrolysates. Czech J. Food Sci. 2002, 20, 7–14. [Google Scholar] [CrossRef]
- Meinlschmidt, P.; Sussmann, D.; Schweiggert-Weisz, U.; Eisner, P. Enzymatic treatment of soy protein isolates: Effects on the potential allergenicity, technofunctionality, and sensory properties. Food Sci. Nutr. 2015, 4, 11–23. [Google Scholar] [CrossRef] [PubMed]
- Grzonka, Z.; Kasprzykowski, F.; Wiczk, W. Cysteine Proteases. In Industrial Enzymes: Structure, Function and Applications; Springer: Cham, Switzerland, 2007; pp. 181–195. [Google Scholar]
- Auld, D.S. Metalloproteases. In Encyclopedia of Biological Chemistry, 2nd ed.; Lennarz, W.J., Lane, M.D., Eds.; Academic Press: Waltham, MA, USA, 2013; pp. 86–89. [Google Scholar]
- Mamo, J.; Assefa, F. The Role of Microbial Aspartic Protease Enzyme in Food and Beverage Industries. J. Food Qual. 2018, 2018, 7957269. [Google Scholar] [CrossRef]
- Hedstrom, L. Serine Protease Mechanism and Specificity. Chem. Rev. 2002, 102, 4501–4524. [Google Scholar] [CrossRef] [PubMed]
- Barth, A. Infrared spectroscopy of proteins. Biochim. Biophys. Acta (BBA) Bioenerg. 2007, 1767, 1073–1101. [Google Scholar] [CrossRef] [PubMed]
- Cantwell, C.; Byrne, L.A.; Connolly, C.D.; Hynes, M.J.; McArdle, P.; Murphy, R.A. Quantitative assessment of copper proteinates used as animal feed additives using ATR-FTIR spectroscopy and powder X-ray diffraction (PXRD) analysis. Food Addit. Contam. Part A 2017, 34, 1344–1352. [Google Scholar] [CrossRef]
- Rubino, J.T.; Chenkin, M.P.; Keller, M.; Riggs-Gelasco, P.; Franz, K.J. A comparison of methionine, histidine and cysteine in copper(i)-binding peptides reveals differences relevant to copper uptake by organisms in diverse environments. Metallomics 2011, 3, 61–73. [Google Scholar] [CrossRef]
- Martell, A.E.; Smith, R.M. Amino Acids. In Critical Stability Constants; Plenum Press: New York, NY, USA, 1974; Volume 1. [Google Scholar]
- Paksi, Z.; Jancsó, A.; Pacello, F.; Nagy, N.; Battistoni, A.; Gajda, T. Copper and zinc binding properties of the N-terminal histidine-rich sequence of Haemophilus ducreyi Cu, Zn superoxide dismutase. J. Inorg. Biochem. 2008, 102, 1700–1710. [Google Scholar] [CrossRef]
- Gonzalez, P.; Bossak-Ahmad, K.; Vileno, B.; Wezynfeld, N.E.; El Khoury, Y.; Hellwig, P.; Hureau, C.; Bal, W.; Faller, P. Triggering Cu-coordination change in Cu(ii)-Ala-His-His by external ligands. Chem. Commun. 2019, 55, 8110–8113. [Google Scholar] [CrossRef]
- Mena, S.; Mirats, A.; Caballero, A.B.; Guirado, G.; Barrios, L.A.; Teat, S.J.; Rodriguez-Santiago, L.; Sodupe, M.; Gamez, P. Drastic Effect of the Peptide Sequence on the Copper-Binding Properties of Tripeptides and the Electrochemical Behaviour of Their Copper (II) Complexes. Chem. Eur. J. 2018, 24, 5153–5162. [Google Scholar] [CrossRef]
- Wu, Z.; Fernandez-Lima, F.A.; Russell, D.H. Amino acid influence on copper binding to peptides: Cysteine versus arginine. J. Am. Soc. Mass Spectrom. 2010, 21, 522–533. [Google Scholar] [CrossRef]
- Torres-Fuentes, C.; Alaiz, M.; Vioque, J. Affinity purification and characterisation of chelating peptides from chickpea protein hydrolysates. Food Chem. 2011, 129, 485–490. [Google Scholar] [CrossRef]
- Carlton, D.D.; Schug, K.A. A review on the interrogation of peptide–metal interactions using electrospray ionization-mass spectrometry. Anal. Chim. Acta 2011, 686, 19–39. [Google Scholar] [CrossRef]
- Smith, R.M.; Martell, A.E.; Motekaitis, R.J. (Eds.) NIST Critically Selected Stability Constants of Metal Complexes Database; Standard Reference Data Program; National Institute of Standards and Technology, U.S. Deptartment of Commerce: Gaithersburg, MD, USA, 2004.
- Byrne, L.A.; Hynes, M.J.; Connolly, C.D.; Murphy, R.A. Analytical determination of apparent stability constants using a copper ion selective electrode. J. Inorg. Biochem. 2011, 105, 1656–1661. [Google Scholar] [CrossRef]
- Kozlowski, H.; Kowalik-Jankowska, T.; Jezowska-Bojczuk, M. Chemical and biological aspects of Cu2+ interactions with peptides and aminoglycosides. Coord. Chem. Rev. 2005, 249, 2323–2334. [Google Scholar] [CrossRef]
- Casolaro, M.; Chelli, M.; Ginanneschi, M.; Laschi, F.; Muniz-Miranda, M.; Papini, A.M.; Sbrana, G. Spectroscopic and potentiometric study of copper(II) complexes with -histidyl-glycyl-histidyl-glycine in aqueous solution. Spectrochim. Acta A Mol. Biomol. Spectrosc. 1999, 55, 1675–1689. [Google Scholar] [CrossRef]
- Kozlowski, H.; Bal, W.; Dyba, M.; Kowalik-Jankowska, T. Specific structure-stability relations in metallopeptides. Coord. Chem. Rev. 1999, 184, 319–346. [Google Scholar] [CrossRef]
- Matera, A.; Brasuń, J.; Cebrat, M.; Świątek-Kozłowska, J. The role of the histidine residue in the coordination abilities of peptides with a multi-histidine sequence towards copper(II) ions. Polyhedron 2008, 27, 1539–1555. [Google Scholar] [CrossRef]
- Guo, R.; Henry, P.R.; Holwerda, R.A.; Cao, J.; Littell, R.C.; Miles, R.D.; Ammerman, C.B. Chemical characteristics and relative bioavailability of supplemental organic copper sources for poultry. J. Anim. Sci. 2001, 79, 1132–1141. [Google Scholar] [CrossRef] [PubMed]








| Hydrolysate Number | Enzyme Used 1 |
|---|---|
| 1 | Cysteine Protease 1 |
| 2 | Serine Protease |
| 3 | Fungal Protease |
| 4 | Cysteine Protease 2 |
| 5 | Acidic Fungal Protease |
| 6 | Serine Protease + Fungal Protease |
| 7 | Serine Protease + Cysteine Protease 1 |
| 8 | Serine Protease + Cysteine Protease 2 |
| 9 | Serine Protease + Acidic Fungal Protease |
| 10 | 1–5–Multi enzyme combination |
| 11 | 2 + 5–Alkaline followed by acidic hydrolysis |
| 12 | 5 + 2–Acidic followed by alkaline hydrolysis |
| Variable | AA Group 1 | N | Mean | SE Mean | StDev | Minimum | Q1 | Median | Q3 | Maximum |
|---|---|---|---|---|---|---|---|---|---|---|
| % | A + N | 12 | 64.45 | 1.82 | 6.29 | 56.28 | 59.27 | 65.07 | 66.33 | 78.28 |
| A + P | 12 | 39.488 | 0.748 | 2.590 | 36.452 | 37.163 | 38.470 | 42.278 | 43.411 | |
| Acidic | 12 | 20.70 | 1.41 | 4.87 | 11.68 | 17.32 | 21.57 | 24.82 | 26.62 | |
| B + A | 12 | 38.53 | 2.27 | 7.85 | 30.23 | 33.00 | 34.65 | 42.74 | 53.71 | |
| B + N | 12 | 61.593 | 0.973 | 3.370 | 57.419 | 58.216 | 61.945 | 63.406 | 69.486 | |
| B + P | 12 | 36.63 | 1.32 | 4.57 | 27.90 | 34.19 | 34.97 | 40.72 | 43.77 | |
| Basic | 12 | 17.84 | 1.52 | 5.26 | 10.15 | 14.50 | 17.36 | 18.48 | 29.72 | |
| Neutral | 12 | 43.76 | 1.73 | 5.99 | 32.29 | 40.59 | 45.28 | 47.21 | 53.39 | |
| P + N | 12 | 62.55 | 2.41 | 8.35 | 46.34 | 57.39 | 65.68 | 68.34 | 71.91 | |
| Polar | 12 | 18.792 | 0.950 | 3.293 | 14.051 | 16.133 | 18.876 | 20.890 | 24.775 |
| Tripeptides | logβML 1,2 |
|---|---|
| Gly-Gly-Gly | 5.13 |
| Gly-Gly-His | 7.55 |
| Gly-His-Gly | 9.25 |
| Gly-His-Lys | 16.44 |
| Gly-Gly-Tyr | 10.01 |
Publisher’s Note: MDPI stays neutral with regard to jurisdictional claims in published maps and institutional affiliations. |
© 2021 by the authors. Licensee MDPI, Basel, Switzerland. This article is an open access article distributed under the terms and conditions of the Creative Commons Attribution (CC BY) license (https://creativecommons.org/licenses/by/4.0/).
Share and Cite
Byrne, L.; Hynes, M.J.; Connolly, C.D.; Murphy, R.A. Influence of the Chelation Process on the Stability of Organic Trace Mineral Supplements Used in Animal Nutrition. Animals 2021, 11, 1730. https://doi.org/10.3390/ani11061730
Byrne L, Hynes MJ, Connolly CD, Murphy RA. Influence of the Chelation Process on the Stability of Organic Trace Mineral Supplements Used in Animal Nutrition. Animals. 2021; 11(6):1730. https://doi.org/10.3390/ani11061730
Chicago/Turabian StyleByrne, Laurann, Michael J. Hynes, Cathal D. Connolly, and Richard A. Murphy. 2021. "Influence of the Chelation Process on the Stability of Organic Trace Mineral Supplements Used in Animal Nutrition" Animals 11, no. 6: 1730. https://doi.org/10.3390/ani11061730
APA StyleByrne, L., Hynes, M. J., Connolly, C. D., & Murphy, R. A. (2021). Influence of the Chelation Process on the Stability of Organic Trace Mineral Supplements Used in Animal Nutrition. Animals, 11(6), 1730. https://doi.org/10.3390/ani11061730

