Egg Quality of Italian Local Chicken Breeds: II. Composition and Predictive Ability of VIS-Near-InfraRed Spectroscopy
Abstract
Simple Summary
Abstract
1. Introduction
2. Materials and Methods
2.1. Hens and Farming Conditions
2.2. Sampling and Chemical Analysis of the Eggs
2.3. Near-InfraRed Spectra Collection
2.4. Chemometric Data Analysis
2.5. Statistical Analysis and Data Visualization
3. Results
3.1. Composition of Albumen and Yolk
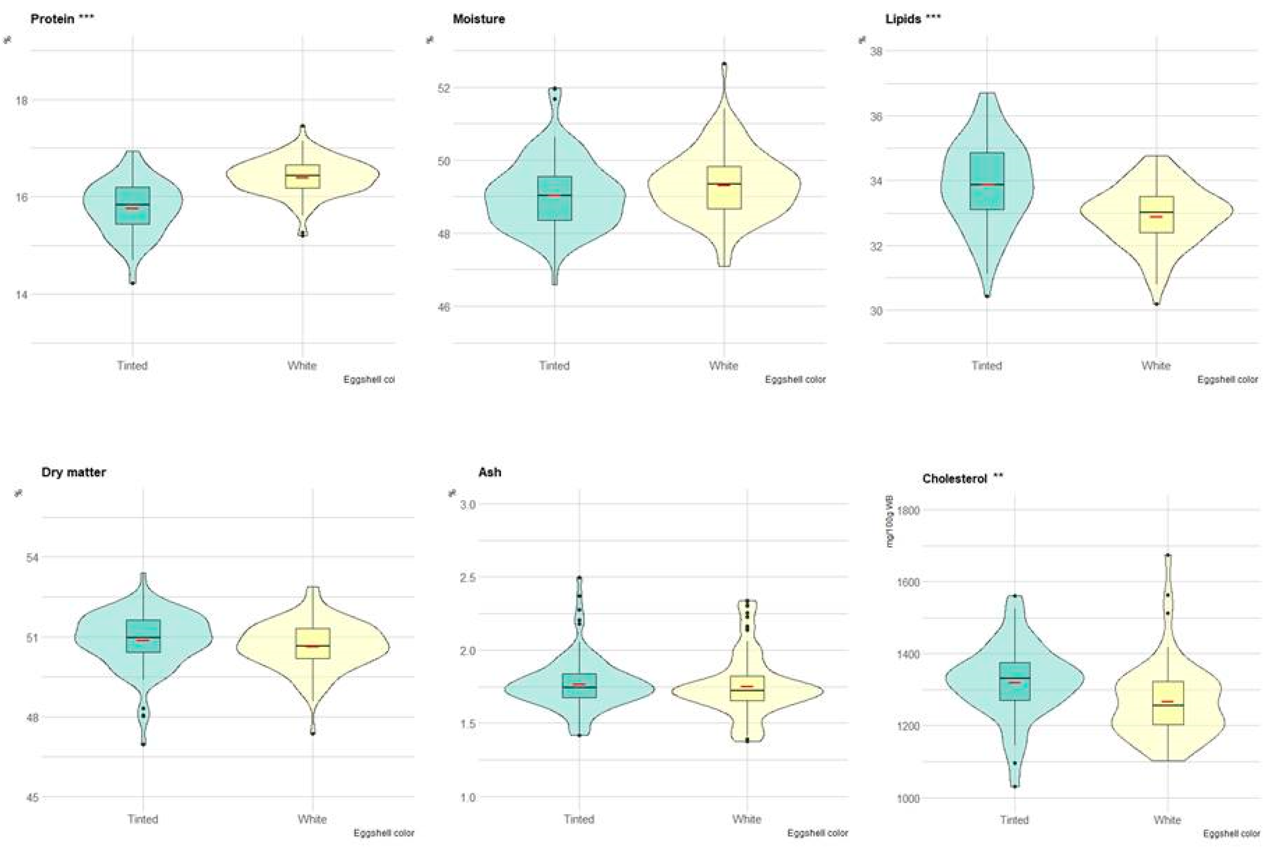
3.2. Differences in Chemical Composition between White and Tinted Eggshell Breeds
3.3. Prediction Models
4. Discussion
4.1. Chemical Composition
4.2. VIS-NIR Prediction Models
5. Conclusions
Author Contributions
Funding
Institutional Review Board Statement
Data Availability Statement
Acknowledgments
Conflicts of Interest
References
- Ianni, A.; Bartolini, D.; Bennato, F.; Martino, G. Egg quality from Nera Atriana, a local poultry breed of the Abruzzo Region (Italy), and ISA Brown hens reared under free range conditions. Animals 2021, 11, 257. [Google Scholar] [CrossRef] [PubMed]
- Cendron, F.; Perini, F.; Mastrangelo, S.; Tolone, M.; Criscione, A.; Bordonaro, S.; Cassandro, M. Genome-wide SNP analysis reveals the population structure and the conservation status of 23 Italian chicken breeds. Animals 2020, 10, 1441. [Google Scholar] [CrossRef] [PubMed]
- U.S. Department of Agriculture (USDA). Available online: https://fdc.nal.usda.gov/fdc-app.html#/food-details/173424/nutrients (accessed on 23 September 2022).
- Verdiglione, R.; Cassandro, M. Characterization of muscle fiber type in the pectoralis major muscle of slow-growing local and commercial chicken strains. Poult. Sci. 2013, 92, 2433–2437. [Google Scholar] [CrossRef] [PubMed]
- Zanetti, E.; De Marchi, M.; Dalvit, C.; Molette, C.; Remignon, H.; Cassandro, M. Carcase characteristics and qualitative meat traits of three Italian local chicken breeds. Br. Poult. Sci. 2010, 51, 629–634. [Google Scholar] [CrossRef][Green Version]
- Perini, F.; Cendron, F.; Lasagna, E.; Cassandro, M. Morphological and genetic characterization of 13 Italian local chicken breeds. Acta Fytotechn. Zootechn. 2020, 23, 137–143. [Google Scholar] [CrossRef]
- Wang, F.; Lin, H.; Xu, P.; Bi, X.; Sun, L. Egg Freshness Evaluation Using Transmission and Reflection of NIR Spectroscopy Coupled Multivariate Analysis. Foods 2021, 10, 2176. [Google Scholar] [CrossRef]
- Galiş, A.; Dale, L.; Boudry, C.; Théwis, A. The potential use of near-infrared spectroscopy for the quality assessment of eggs and egg products. Scientific Works. C Series. Vet. Med. 2012, 58, 285–298. [Google Scholar]
- Zhao, Q.; Ban, L.; Zheng, J.; Xu, G.; Ning, Z.; Qu, L. Potential use of spectroscopic techniques for assessing table eggs and hatching eggs. Poult. Sci. J. 2019, 75, 445–456. [Google Scholar] [CrossRef]
- AOAC. Official Methods of Analysis, 20th ed.; AOAC International: Rockville, MA, USA, 2016. [Google Scholar]
- Park, J.M.; Jeong, I.S.; Kwak, B.M.; Ahn, J.H.; Leem, D.; Jeong, J.; Kim, J.M. Application of rapid sample preparation method and monitoring for cholesterol content in chicken egg and egg powder. Food Sci. Anim. Resour. 2013, 33, 672–677. [Google Scholar] [CrossRef][Green Version]
- Williams, P.C.; Sobering, D.C. Comparison of commercial near infrared transmittance and reflectance instruments for analysis of whole grains and seeds. JNIRS 1993, 1, 25–32. [Google Scholar] [CrossRef]
- R Core Team. R: A Language and Environment for Statistical Computing; R Foundation for Statistical Computing: Vienna, Austria, 2022; Available online: https://www.R-project.org/ (accessed on 3 October 2022).
- Wickham, H.; Chang, W.; Wickham, M.H. Package ‘ggplot2’. Create elegant data visualisations using the grammar of graphics. Versio 2016, 2, 1–189. [Google Scholar]
- Rizzi, C.; Chiericato, G.M. Chemical composition of meat and egg yolk of hybrid and Italian breed hens reared using an organic production system. Poult. Sci. 2010, 89, 1239–1251. [Google Scholar] [CrossRef] [PubMed]
- Werner, R.; Caswell, B.; Maleta, K.; Stewart, C. Comparison of the nutrient content of eggs from commercial and village chickens in rural Malawi (P03-009-19). AJCN 2019, 3, nzz047-P03. [Google Scholar] [CrossRef]
- Zanon, A.; Beretti, V.; Superchi, P.; Zambini, E.M.; Sabbioni, A. Physico-chemical characteristics of eggs from two Italian autochthonous chicken breeds: Modenese and Romagnolo. Worlds Poult Sci. J. 2006, 62, 203. [Google Scholar]
- Lordelo, M.; Cid, J.; Cordovil, C.M.; Alves, S.P.; Bessa, R.J.; Carolino, I. A comparison between the quality of eggs from indigenous chicken breeds and that from commercial layers. Poult. Sci. 2020, 99, 1768–1776. [Google Scholar] [CrossRef]
- Rizzi, C.; Marangon, A. Quality of organic eggs of hybrid and Italian breed hens. Poult. Sci. 2012, 91, 2330–2340. [Google Scholar] [CrossRef]
- Van Den Brand, H.; Parmentier, H.K.; Kemp, A.B. Effects of housing system (outdoor vs cages) and age of laying hens on egg characteristics. Br. Poult. Sci. 2004, 45, 745–752. [Google Scholar] [CrossRef]
- Zita, L.; Tůmová, E.; Štolc, L. Effects of genotype, age and their interaction on egg quality in brown-egg laying hens. Acta Vet. Brno. 2009, 78, 85–91. [Google Scholar] [CrossRef]
- Sirri, F.; Zampiga, M.; Soglia, F.; Meluzzi, A.; Cavani, C.; Petracci, M. Quality characterization of eggs from Romagnola hens, an Italian local breed. Poult Sci. 2018, 97, 4131–4136. [Google Scholar] [CrossRef]
- Drabik, K.; Karwowska, M.; Wengerska, K.; Próchniak, T.; Adamczuk, A.; Batkowska, J. The variability of quality traits of table eggs and eggshell mineral composition depending on hens’ breed and eggshell color. Animals 2021, 11, 1204. [Google Scholar] [CrossRef]
- Krystianiak, S.; Kożuszek, R.; Kontecka, H.; Nowaczewski, S. Quality and ultrastructure of eggshell and hatchability of eggs in relation to eggshell colour in pheasants. Anim. Sci. J. 2005, 23, 5–14. [Google Scholar]
- Samiullah, S.; Roberts, J.R.; Chousalkar, K. Eggshell color in brown-egg laying hens—A review. Poult. Sci. 2015, 94, 2566–2575. [Google Scholar] [CrossRef] [PubMed]
- Șekeroğlu, A.; Duman, M. Effect of egg shell colour of broiler parent stocks on hatching results, chickens performance, carcass characteristics, internal organ weights and some stress indicators. Kafkas Univ. Vet. Fak. Derg. 2011, 17, 837–842. [Google Scholar] [CrossRef]
- Yang, H.M.; Wang, Z.Y.; Lu, J. Study on the relationship between eggshell colors and egg quality as well as shell ultrastructure in Yangzhou chicken. Afr. J. Biotechnol. 2009, 8, 2898–2902. [Google Scholar]
- Schreiweis, M.A.; Hester, P.Y.; Settar, P.; Moody, D.E. Identification of quantitative trait loci associated with egg quality, egg production, and body weight in an F2 resource population of chickens 1. Anim. Genet. 2006, 37, 106–112. [Google Scholar] [CrossRef] [PubMed]
- Joseph, N.S.; Robinson, N.A.; Renema, R.A.; Robinson, F.E. Shell quality and color variation in broiler breeder eggs. J. Appl. Poult Res. 1999, 8, 70–74. [Google Scholar] [CrossRef]
- Richards, P.D.G.; Deeming, D.C. Correlation between shell colour and ultrastructure in pheasant eggs. Br. Poult. Sci. 2001, 42, 338–343. [Google Scholar] [CrossRef]
- Kuroki, S.; Kanoo, T.; Itoh, H.; Kamisoyama, H. Nondestructive VIS/NIR spectroscopy estimation of intravitelline vitamin E and cholesterol concentration in hen shell eggs. J. Food Meas. Charact. 2020, 14, 1116–1124. [Google Scholar] [CrossRef]
- Zhao, Q.; Lv, X.; Jia, Y.; Chen, Y.; Xu, G.; Qu, L. Rapid determination of the fat, moisture, and protein contents in homogenized chicken eggs based on near-infrared reflectance spectroscopy. Poult. Sci. 2018, 97, 2239–2245. [Google Scholar] [CrossRef]
- Büning-Pfaue, H. Analysis of water in food by near infrared spectroscopy. Food Chem. 2003, 82, 107–115. [Google Scholar] [CrossRef]
- Karoui, R.; Mouazen, A.M.; Dufour, É.; Pillonel, L.; Picque, D.; Bosset, J.O.; De Baerdemaeker, J. Mid-infrared spectrometry: A tool for the determination of chemical parameters in Emmental cheeses produced during winter. Le Lait 2006, 86, 83–97. [Google Scholar] [CrossRef]
- Sinnaeve, G.; Dardenne, P.; Agneessens, R.; Biston, R. The use of near infrared spectroscopy for the analysis of fresh grass silage. J. Near Infrared Spectrosc. 1994, 2, 79–84. [Google Scholar] [CrossRef]
- Dalle Zotte, A.; Berzaghi, P.; Jansson, L.M.; Andrighetto, I. The use of near-infrared reflectance spectroscopy (NIRS) in the prediction of chemical composition of freeze-dried egg yolk and discrimination between different n−3 PUFA feeding sources. Anim. Feed Sci. Technol. 2006, 128, 108–121. [Google Scholar] [CrossRef]
- Abeni, F.; Bergoglio, G. Characterization of different strains of broiler chicken by carcass measurements, chemical and physical parameters and NIRS on breast muscle. Meat Sci. 2001, 57, 133–137. [Google Scholar] [CrossRef] [PubMed]
- Manuelian, C.L.; Currò, S.; Visentin, G.; Penasa, M.; Cassandro, M.; Dellea, C.; De Marchi, M. At-line prediction of mineral composition of fresh cheeses using near-infrared technologies. J. Dairy Sci. 2017, 100, 6084–6089. [Google Scholar] [CrossRef] [PubMed]
- Alamu, O.; Gbenga-Ilori, A.; Adelabu, M.; Imoize, A.; Ladipo, O. Energy efficiency techniques in ultra-dense wireless heterogeneous networks: An overview and outlook. Int. J. Eng. Sci. 2020, 23, 1308–1326. [Google Scholar] [CrossRef]
- Rácz, A.; Vass, A.; Héberger, K.; Fodor, M. Quantitative determination of coenzyme Q10 from dietary supplements by FT-NIR spectroscopy and statistical analysis. Anal. Bioanal. Chem. 2015, 407, 2887–2898. [Google Scholar] [CrossRef]



| Compound | Breed | |||||||
|---|---|---|---|---|---|---|---|---|
| PA-C | PA-G | PO-W | PO-B | PP | ER | RM | RL | |
| Moisture (% WB) | 89.48 ± 0.97 ab | 88.92 ± 0.68 bc | 89.57 ± 1.31 ab | 90.06 ± 1.23 a | 88.63 ± 0.88 c | 89.08 ± 1.06 bc | 88.90 ± 1.12 b | 88.60 ± 0.78 c | 
| Protein (% WB) | 8.81 ± 0.71 bc | 9.33 ± 0.48 ab | 8.81 ± 1.27 bc | 8.34 ± 1.27 c | 9.73 ± 0.71 a | 9.25 ± 0.98 ab | 9.44 ± 0.91 ab | 9.72 ± 0.61 a | 
| Ash (% WB) | 0.69 ± 0.07 ab | 0.71 ± 0.04 ab | 0.69 ± 0.06 ab | 0.67 ± 0.06 b | 0.68 ± 0.06 ab | 0.72 ± 0.06 a | 0.69 ± 0.07 ab | 0.69 ± 0.05 ab | 
| Protein (% DM) | 83.88 ± 1.99 bc | 84.24 ± 1.73 ab | 84.39 ± 1.45 bc | 83.94 ± 1.46 c | 85.61 ± 1.29 a | 84.72 ± 2.02 ab | 85.09 ± 1.45 ab | 88.91 ± 0.37 a | 
| Ash (% DM) | 6.57 ± 0.37 ab | 6.33 ± 0.32 ab | 6.68 ± 0.49 ab | 6.75 ± 0.38 b | 6.00 ± 0.39 ab | 6.70 ± 0.49 a | 6.24 ± 0.32 ab | 6.03 ± 0.36 ab | 
| Breed | ||||||||
|---|---|---|---|---|---|---|---|---|
| PA-C | PA-G | PO-W | PO-B | PP | ER | RM | RL | |
| Moisture (% WB) | 50.11 ± 0.83 a | 49.40 ± 0.83 ab | 48.98 ± 0.72 bc | 48.86 ± 0.74 bc | 50.08 ± 1.04 a | 48.64 ± 0.85 c | 49.14 ± 0.84 bc | 48.55 ± 0.58 c | 
| Protein (% WB) | 16.55 ± 0.34 a | 16.35 ± 0.35 ab | 16.57 ± 0.31 a | 16.18 ± 0.37 b | 16.08 ± 0.41 b | 16.16 ± 0.35 b | 15.62 ± 1.13 c | 15.21 ± 0.63 d | 
| Lipid (% WB) | 32.14 ± 0.93 f | 33.02 ± 0.66cde | 32.83 ± 0.66def | 33.64 ± 0.79 bc | 32.73 ± 1.11ef | 33.54 ± 0.85 bcd | 34.11 ± 1.12 b | 35.30 ± 0.98 a | 
| Ash (% WB) | 1.77 ± 0.12 abc | 1.89 ± 0.21 a | 1.71 ± 0.21 bc | 1.67 ± 0.24c | 1.84 ± 0.22 ab | 1.74 ± 0.21 abc | 1.78 ± 0.09 abc | 1.71 ± 0.15 bc | 
| Cholesterol (mg/100 g WB) | 1243.81 ± 134.13 b | 1284 ± 105.79 ab | 1227.08 ± 71.14 b | 1317.71 ± 89.89 ab | 1406.39 ± 82.34 a | 1319.77 ± 143.37 ab | 1262.27 ± 84.12 b | 1308.72 ± 57.24 ab | 
| Protein (% DM) | 33.17 ± 0.45 a | 32.30 ± 0.68 ab | 32.48 ± 0.50 a | 31.65 ± 0.63 b | 32.23 ± 077 b | 31.47 ± 0.60 b | 30.70 ± 0.68 c | 29.56 ± 0.77 d | 
| Lipid (% DM) | 64.41 ± 1.00 f | 65.23 ± 0.95 cde | 64.36 ± 1.03 def | 65.77 ± 1.17 bc | 65.66 ± 1.68 ef | 65.30 ± 0.89 bcd | 67.05 ± 1.34 b | 68.60 ± 1.34 a | 
| Ash (% DM) | 3.54 ± 0.24 abc | 3.73 ± 0.42 a | 3.35 ± 0.38 bc | 3.27 ± 0.47 c | 3.69 ± 0.41 ab | 3.39 ± 0.38 abc | 3.51 ± 0.16 abc | 3.33 ± 0.29 bc | 
| Cholesterol (mg/100 g DM) | 2486.82 ± 243.33 b | 2545.29 ± 200.97 ab | 2410.80 ± 156.93 b | 2577.53 ± 177.32 ab | 2807.85 ± 124.47 a | 2562.90 ± 277.19 ab | 2478.30 ± 170.47 b | 2546.45 ± 95.38 ab | 
| Math | T | n | Mean | SD | SEC | R2C | SEcv | R2cv | RPDcv | ||
|---|---|---|---|---|---|---|---|---|---|---|---|
| Fresh Albumen | |||||||||||
| Dry matter (%) | SNV_D | 1441 | 9 | 168 | 11.07 | 1.08 | 0.48 | 0.81 | 0.57 | 0.73 | 1.91 | 
| Protein (%) | NONE | 2551 | 5 | 167 | 9.32 | 0.87 | 0.43 | 0.75 | 0.51 | 0.66 | 1.70 | 
| Ash (%) | NONE | 1441 | 6 | 170 | 0.70 | 0.06 | 0.04 | 0.40 | 0.05 | 0.26 | 1.16 | 
| Freeze-Dried Albumen | |||||||||||
| Dry matter | MSC | 1441 | 5 | 176 | 89.11 | 1.58 | 0.33 | 0.96 | 0.35 | 0.95 | 4.47 | 
| Protein (% DM) | NONE | 1441 | 6 | 170 | 84.65 | 1.71 | 1.10 | 0.58 | 1.18 | 0.52 | 1.45 | 
| Ash (% DM) | MSC | 0011 | 9 | 176 | 6.33 | 0.48 | 0.28 | 0.66 | 0.30 | 0.60 | 1.58 | 
| Math | T | n | Mean | SD | SEC | R2C | SEcv | R2cv | RPDcv | ||
|---|---|---|---|---|---|---|---|---|---|---|---|
| Fresh Yolk | |||||||||||
| Dry matter (%) | NONE | 2551 | 3 | 186 | 50.93 | 0.81 | 0.60 | 0.44 | 0.65 | 0.36 | 1.25 | 
| Protein (%) | NONE | 1441 | 9 | 190 | 16.22 | 0.55 | 0.29 | 0.72 | 0.31 | 0.68 | 1.75 | 
| Lipids (%) | SNV_D | 2551 | 5 | 190 | 33.22 | 1.14 | 0.62 | 0.70 | 0.73 | 0.59 | 1.56 | 
| Ash (%) | NONE | 0011 | 2 | 176 | 1.73 | 0.14 | 0.13 | 0.14 | 0.13 | 0.13 | 1.07 | 
| Cholesterol (mg/100 g) | MSC | 2551 | 1 | 100 | 1256.77 | 92.56 | 81.37 | 0.23 | 84.47 | 0.16 | 1.10 | 
| Freeze-Dried Yolk | |||||||||||
| Dry matter | NONE | 2551 | 8 | 186 | 99.06 | 0.80 | 0.24 | 0.91 | 0.30 | 0.86 | 2.68 | 
| Protein (% DM) | NONE | 1441 | 7 | 190 | 31.92 | 1.10 | 0.30 | 0.93 | 0.32 | 0.92 | 3.48 | 
| Lipids (% DM) | SNV_D | 1441 | 9 | 194 | 65.29 | 1.75 | 0.83 | 0.78 | 0.89 | 0.74 | 1.98 | 
| Ash (% DM) | SNV_D | 0011 | 1 | 182 | 3.38 | 0.28 | 0.26 | 0.14 | 0.27 | 0.12 | 1.06 | 
| Cholesterol (mg/100 g DM) | SNV_D | 1441 | 4 | 127 | 2477.37 | 177.45 | 101.29 | 0.67 | 129.14 | 0.48 | 1.37 | 
| Disclaimer/Publisher’s Note: The statements, opinions and data contained in all publications are solely those of the individual author(s) and contributor(s) and not of MDPI and/or the editor(s). MDPI and/or the editor(s) disclaim responsibility for any injury to people or property resulting from any ideas, methods, instructions or products referred to in the content. | 
© 2022 by the authors. Licensee MDPI, Basel, Switzerland. This article is an open access article distributed under the terms and conditions of the Creative Commons Attribution (CC BY) license (https://creativecommons.org/licenses/by/4.0/).
Share and Cite
Cendron, F.; Currò, S.; Rizzi, C.; Penasa, M.; Cassandro, M. Egg Quality of Italian Local Chicken Breeds: II. Composition and Predictive Ability of VIS-Near-InfraRed Spectroscopy. Animals 2023, 13, 77. https://doi.org/10.3390/ani13010077
Cendron F, Currò S, Rizzi C, Penasa M, Cassandro M. Egg Quality of Italian Local Chicken Breeds: II. Composition and Predictive Ability of VIS-Near-InfraRed Spectroscopy. Animals. 2023; 13(1):77. https://doi.org/10.3390/ani13010077
Chicago/Turabian StyleCendron, Filippo, Sarah Currò, Chiara Rizzi, Mauro Penasa, and Martino Cassandro. 2023. "Egg Quality of Italian Local Chicken Breeds: II. Composition and Predictive Ability of VIS-Near-InfraRed Spectroscopy" Animals 13, no. 1: 77. https://doi.org/10.3390/ani13010077
APA StyleCendron, F., Currò, S., Rizzi, C., Penasa, M., & Cassandro, M. (2023). Egg Quality of Italian Local Chicken Breeds: II. Composition and Predictive Ability of VIS-Near-InfraRed Spectroscopy. Animals, 13(1), 77. https://doi.org/10.3390/ani13010077
 
        



 
       