Effects of Environmental Factors on Bird Communities in Different Urbanization Grades: An Empirical Study in Lishui, a Mountainous Area of Eastern China
Abstract
Simple Summary
Abstract
1. Introduction
2. Materials and Methods
2.1. Study Area
2.2. Bird Surveys
2.3. Selection of Environmental Factors and Data Acquisition
2.4. Classification of Townships
2.5. Data Analysis
2.5.1. Bird Diversity
2.5.2. Landscape Index
2.5.3. Statistical Analyses
3. Results
3.1. Bird Diversity
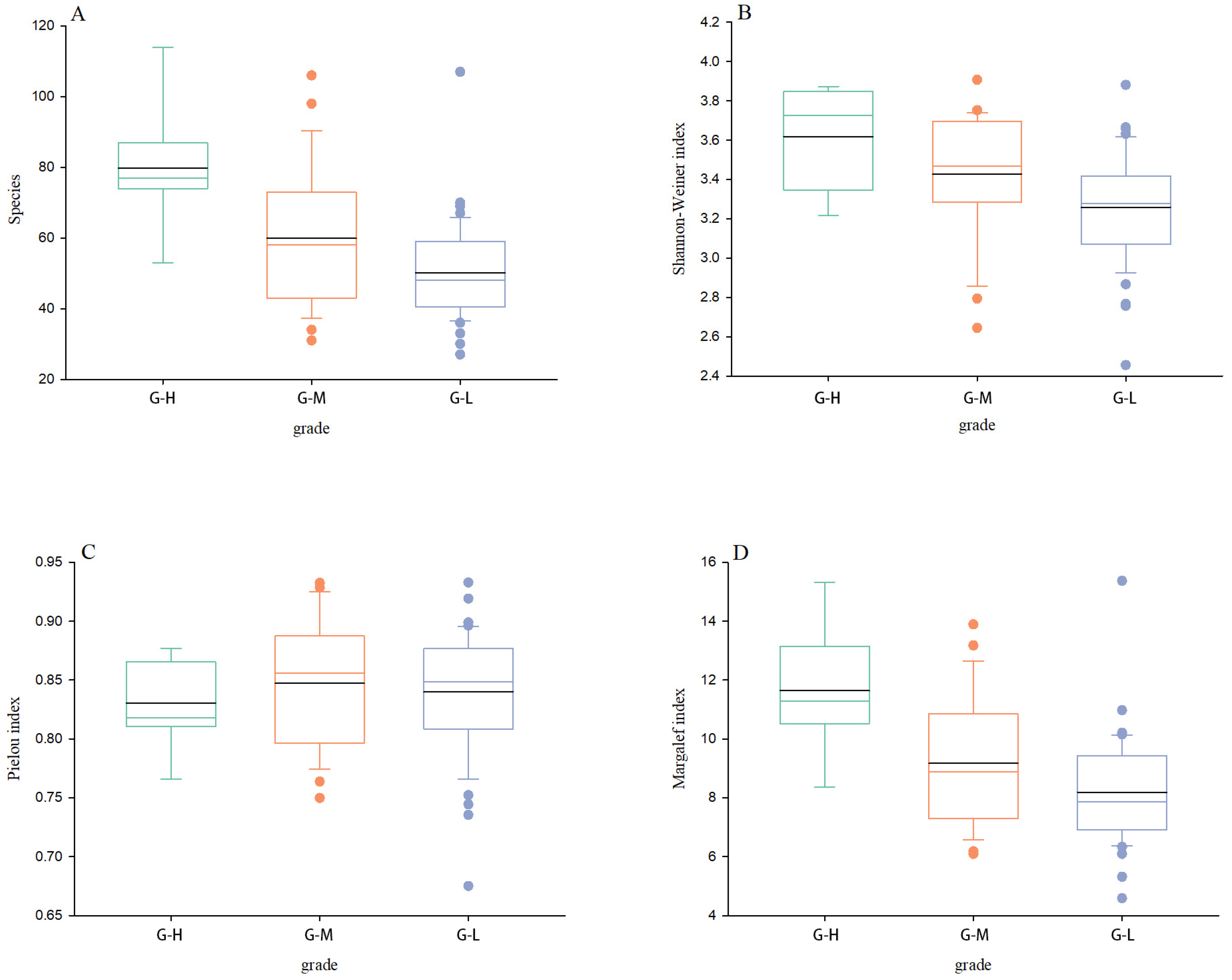
3.2. Analysis of Bird Diversity in Townships with Different Grades
3.3. Environmental Variables Affect Bird Diversity
4. Discussion
4.1. Bird Diversity in Different Township Grades
4.2. Key Environmental Factors That Affected Bird Diversity
4.3. Suggestions for Preserving Biodiversity during Urban Development
5. Conclusions
Author Contributions
Funding
Institutional Review Board Statement
Informed Consent Statement
Data Availability Statement
Acknowledgments
Conflicts of Interest
References
- Vitousek, P.; Mooney, H.; Lubchenco, J. Human Domination of Earth’s Ecosystem. Science 1997, 227, 494–499. [Google Scholar] [CrossRef]
- Carrasco, L.; Norton, L.; Henrys, P.; Siriwardena, G.; Rhodes, C.J.; Christopher, J.; Rowland, C.; Morton, D. Habitat diversity and structure regulate British bird richness: Implications of non-linear relationships for conservation. Biol. Conserv. 2018, 226, 256–263. [Google Scholar] [CrossRef]
- Canedoli, C.; Manenti, R.; Padoa-Schioppa, E. Birds Biodiversity in Urban and Periurban Forests: Environmental Determinants at Local and Landscape Scale. Urban Ecosyst. 2018, 16, 193–203. [Google Scholar] [CrossRef]
- Shwartz, A.; Turb, A.; Simon, L.; Julliard, R. Enhancing urban biodiversity and its influence on city–Dwellers: Anexperiment. Biol. Conserv. 2014, 171, 82–90. [Google Scholar] [CrossRef]
- Fuller, R.; Irvine, K.; Wright, P.; Warren, P.; Gaston, K. Sychological benefits of green space increase with biodiversity. Biol. Lett. 2007, 3, 390–394. [Google Scholar] [CrossRef] [PubMed]
- Chace, J.F.; Walsh, J.J. Urban effects on native avifauna: A review. Landsc. Urban Plan 2006, 74, 46–69. [Google Scholar] [CrossRef]
- Li, N.; Liu, Y.; Chu, H.; Qi, Y.; Ping, X.; Li, C.; Sun, Y.; Jiang, Z. Bird Beta Diversity in Sharp Contrasting Altai Landscapes: Locality Connectivity Is the Influential Factor on Community Composition. Animals 2022, 12, 2341. [Google Scholar] [CrossRef]
- Huang, P.; Zheng, D.; Yan, Y.; Xu, W.; Zhao, Y.; Huang, Z.; Ding, Y.; Lin, Y.; Zhu, Z.; Chen, Z.; et al. Effects of Landscape Features on Bird Community in Winter Urban Parks. Animals 2022, 12, 3442. [Google Scholar] [CrossRef]
- Willis, K.J.; Whittaker, R.J. Species diversity-scale matters. Science 2002, 295, 1245–1248. [Google Scholar] [CrossRef]
- Hawkins, B.A.; Porter, E.E.; Diniz-Filho, J.A.F. Productivity and History as Predictors of the Latitudinal Diversity Gradient of Terrestrial Birds. Ecology 2003, 84, 1608–1623. [Google Scholar] [CrossRef]
- Rahbek, C.; Gotelli, N.J.; Colwell, R.K.; Entsminger, G.L.; Rangel, T.F.L.; Graves, G.R. Predicting continental-scale patterns of bird species richness with spatially explicit models. Proc. Biol. Sci. 2007, 274, 165–174. [Google Scholar] [CrossRef]
- Novillo, A.; Ojeda, R.A. Elevation patterns in rodent diversity in the dry Andes: Disentangling the role of environmental factors. J. Mammal. 2014, 95, 7577–7598. [Google Scholar] [CrossRef]
- Pianka, E.R. Latitudinal Gradients in Species Diversity: A Review of Concepts. Am. Nat. 1966, 100, 33–46. [Google Scholar] [CrossRef]
- von der Lippe, M.; Buchholz, S.; Hiller, A.; Seitz, B.; Kowarik, I. City ScapeLab Berlin: A Research Platform for Untangling Urbanization Effects on Biodiversity. Sustainability 2020, 12, 2565. [Google Scholar] [CrossRef]
- Palomino, L.; Carrascal, L.M. Urban influence on birds at a regional scale: A case study with the avifauna of northern Madrid province. Landsc. Urban Plan. 2006, 77, 276–290. [Google Scholar] [CrossRef]
- Song, S.H. Lishui Bird; National Photography Art Press: Beijing, China, 2018; pp. 1–390. [Google Scholar]
- Lishui Municipal Bureau of Statistics. Lishui Statistical Yearbook 2021. Available online: http://tjj.lishui.gov.cn/2021/11/12/art_1229215928_58834210.html (accessed on 20 December 2021).
- Zheng, G.M. A Checklist of Classification and Distribution of the Birds of China, 3rd ed.; Science Press: Beijing, China, 2017; pp. 1–492. [Google Scholar]
- IUCN. The IUCN Red List of Threatened Species. Version 2020-3. 2021. Available online: https://www.iucnredlist.org (accessed on 20 December 2021).
- Ortega-alvarez, R.; Macgregor-fors, I. Living in the Big City: Effects of Urban Land-ues on Bird community Structure, Diversity and Composition. Landsc. Urban Plan. 2009, 90, 189–195. [Google Scholar] [CrossRef]
- Ramezani, H. Note on the Normalized Definition of Shannon’s Diversity Index in Landscape Pattern Analysis. Environ. Nat. Resour. Res. 2012, 2, 54. [Google Scholar] [CrossRef]
- Pautasso, M. Scale dependence of the correlation between human population presenceand vertebrate and plant species richness. Ecol. Lett. 2007, 10, 16–24. [Google Scholar] [CrossRef] [PubMed]
- Sandstrsm, U.G.; Angelstam, P.; Mikusifiski, G. Ecological diversity of birds in relation to the structure of urban green spac. Landsc. Urban Plan. 2006, 77, 39–53. [Google Scholar] [CrossRef]
- Liu, Y.; Wu, S.; Zhou, H.; Wu, X. Research on optimization method based on K-means clustering algorithm. Inf. Technol. 2019, 43, 66–70. [Google Scholar]
- Xie, S.; Lu, F.; Cao, L.; Zhou, W.; Ouyang, Z.Y. Multi-scale factors influencing the characteristics of avian communities in urban parks across Beijing during the breeding season. Sci. Rep. 2016, 6, 29350. [Google Scholar] [CrossRef]
- McHugh, M.L. The chi-square test of independence. Biochem. Med. 2013, 23, 143–149. [Google Scholar] [CrossRef]
- Xu, W.Z.; Yu, J.; Huang, P.L.; Zheng, D.L. Relationship between Vegetation Habitats and Bird Communities in Urban Mountain Parks. Animals 2022, 12, 2470. [Google Scholar] [CrossRef]
- Zhu, G.; Wang, X.; Zhang, W.W.; Wu, Y.; Yong, F.; Li, C.L. Effects of Urban Landscape pattern on Bird Community: A Case Study of Lishui District, Najing. J. Ecol. Rural. Environ. 2022, 38, 327–333. [Google Scholar]
- Reis, E.; López-Iborra, G.M.; Pinheiro, R.T. Changes in bird species richness through different levels of urbanization: Implications for biodiversity conservation and garden design in Central Brazil. Landsc. Urban Plan. 2012, 107, 31–42. [Google Scholar] [CrossRef]
- Zerbe, S.; Maurer, U.; Schmitz, S.; Sukopp, H. Biodiversity in Berlin and its potential fornature conservation. Landsc. Urban Plan. 2003, 62, 139–148. [Google Scholar] [CrossRef]
- Blair, R.B.; Launer, A.E. Butterfly diversity and human land use: Species assemblages along an urban grandient. Biol. Conserv. 1997, 80, 113–125. [Google Scholar] [CrossRef]
- Germaine, S.S.; Wakeling, B.F. Lizard species distributions and habitat occupation along an urban gradient in Tucson, Arizona, USA. Biol. Conserv. 2001, 97, 229–237. [Google Scholar] [CrossRef]
- Wang, T.; Zhou, L.Z. The spatial-temporal patterns of bird diversity and its determinants in the small wetlands in Hefei City. Biodivers.-Sci. 2022, 30, 21445. [Google Scholar] [CrossRef]
- Marzluff, J.M. Island biogeography for an urbanizing world: How extinction and colonization may determine biological diversity in human-dominated landscapes. Urban Ecosyst. 2005, 8, 157–177. [Google Scholar] [CrossRef]
- Mao, Q.Z.; Ma, K.M.; Wu, J.G.; Tang, R.L. An Overview of Advances in Distributional Pattern of Urban Biodiversity. Acta Ecol. Sin. 2013, 33, 1051–1064. [Google Scholar] [CrossRef]
- Castelletta, M.; Thioliay, J.M.; Sodhi, N.S. The Effects of Extreme Forest Fragmentationg on the Bird Community of Singapore Island. Biol. Conserv. 2005, 121, 135–155. [Google Scholar] [CrossRef]
- De Camargo, R.X.; Boucher-Lalonde, V.; Currie, D.J. At the landscape level, birds respond strongly to habitat amount but weakly to fragmentation. Divers. Distrib. 2018, 24, 629–639. [Google Scholar] [CrossRef]
- Hu, G.; Wu, J.; Feeley, K.J.; Xu, G.; Yu, M. The effects of landscape variables on the species-area relationship during late-stage habitat fragmentation. PLoS ONE 2012, 7, e43894. [Google Scholar] [CrossRef] [PubMed]
- Deng, W.H.; Gao, W. The effects of forest patch sizes on bird species diversity and individual density. Biodivers. Sci. 2005, 13, 204–212. [Google Scholar] [CrossRef]
- Bushra, A.; Padalia, H.; Khan, A. Predicting spatial patterns of bird richness in an urban landscape in Himalayan foothills, India. Urban Ecosyst. 2020, 24, 451–467. [Google Scholar] [CrossRef]
- Liu, H.L. Biological Conservation Planning in Urban Region Based on Biological Process: A Case Study in Taizhou of Zhejiang Province. Chin. J. Ecol. 2010, 29, 8–15. [Google Scholar]
- Shao, M.Q.; Zeng, B.B.; Shang, X.L. Group characteristics of Chinese Merganser (Mergus squamatus) during the wintering period in Poyang Lake watershed, Jiangxi Province. Acta Ecol. Sin. 2012, 32, 3170–3176. [Google Scholar] [CrossRef]




| G-H Number of Towns: 7 | G-M Number of Towns: 23 | G-L Number of Towns: 45 | |
|---|---|---|---|
| Population Density | 402 ± 186 | 122 ± 83 | 93 ± 61 |
| Total Population | 56923 ± 18080 | 18347 ± 5794 | 8314 ± 3694 |
| Township Size | 158.44 ± 61.57 | 181.98 | 104.98 |
| PURN | 16.12 ± 12.95 | 3.31 ± 0.94 | 2.65 ± 2.13 |
| PFAR | 27.25 ± 7.30 | 15.87 ± 7.25 | 16.35 ± 8.59 |
| PFOR | 49.29 ± 14.64 | 73.98 ± 9.31 | 75.31 ± 10.10 |
| PSHR | 1.89 ± 20.09 | 1.35 ± 0.90 | 1.08 ± 0.66 |
| PGRA | 2.91 ± 0.72 | 2.54 ± 2.27 | 2.85 ± 1.56 |
| PWET | 2.22 ± 0.41 | 2.57 ± 2.91 | 1.24 ± 1.40 |
| PBAR | 0.32 ± 0.15 | 0.38 ± 0.40 | 0.52 ± 0.35 |
| Landscape Diversity Index | 1.2037 ± 0.1057 | 0.9896 ± 0.5019 | 0.7741 ± 0.2066 |
| Landscape Evenness Index | 0.6186 ± 0.0543 | 0.5086 ± 0.2579 | 0.3978 ± 0.1062 |
| Landscape Fragmentation Index | 8.1571 ± 4.1850 | 4.3361 ± 0.3547 | 3.3444 ± 1.6081 |
| Orders | Families | Proportion of Total Families | Species | Proportion of Total Species |
|---|---|---|---|---|
| PASSERIFORMES | 38 | 56.72% | 166 | 56.08% |
| CHARADRIIFORMES | 6 | 8.96% | 22 | 7.43% |
| ACCIPITRIFORMES | 2 | 2.99% | 18 | 6.08% |
| ANSERIFORMES | 1 | 1.49% | 16 | 5.41% |
| PELECANIFORMES | 2 | 2.99% | 14 | 4.73% |
| GALLIFORMES | 1 | 1.49% | 8 | 2.70% |
| STRIGIFORMES | 1 | 1.49% | 8 | 2.70% |
| GRUIFORMES | 2 | 2.99% | 7 | 2.36% |
| CUCULIFORMES | 2 | 2.99% | 7 | 2.36% |
| PICIFORMES | 1 | 1.49% | 7 | 2.36% |
| CORACIIFORMES | 3 | 4.48% | 6 | 2.03% |
| FALCONIFORMES | 1 | 1.49% | 5 | 1.69% |
| COLUMBIFORMES | 1 | 1.49% | 4 | 1.35% |
| CAPRIMULGIFORMES | 2 | 2.99% | 3 | 1.01% |
| PODICIPEDIPORMES | 1 | 1.49% | 2 | 0.68% |
| SULIFORMES | 1 | 1.49% | 1 | 0.34% |
| TROGONIFORMES | 1 | 1.49% | 1 | 0.34% |
| BUCEROTIFORMES | 1 | 1.49% | 1 | 0.34% |
| Total | 67 | 100% | 296 | 100% |
| Response Variables | Model | Input Variables | R2 | F | Significance |
|---|---|---|---|---|---|
| Bird Species | Model1 | landscape fragmentation index | 0.214 | 21.148 | p < 0.001 |
| Model 2 | landscape diversity index | 0.281 | 15.429 | p = 0.007 | |
| landscape fragmentation index | |||||
| Bird Diversity Index | Model 1 | landscape fragmentation index | 0.155 | 14.565 | p < 0.001 |
| Model 2 | landscape diversity index | 0.218 | 11.317 | p = 0.011 | |
| landscape fragmentation index | |||||
| Bird Richness Index | Model 1 | landscape fragmentation index | 0.184 | 17.722 | p < 0.001 |
| Model 2 | landscape diversity index | 0.221 | 11.474 | p = 0.039 |
Disclaimer/Publisher’s Note: The statements, opinions and data contained in all publications are solely those of the individual author(s) and contributor(s) and not of MDPI and/or the editor(s). MDPI and/or the editor(s) disclaim responsibility for any injury to people or property resulting from any ideas, methods, instructions or products referred to in the content. |
© 2023 by the authors. Licensee MDPI, Basel, Switzerland. This article is an open access article distributed under the terms and conditions of the Creative Commons Attribution (CC BY) license (https://creativecommons.org/licenses/by/4.0/).
Share and Cite
Zhang, W.; Zhou, Y.; Fang, X.; Zhao, S.; Wu, Y.; Zhang, H.; Cui, L.; Cui, P. Effects of Environmental Factors on Bird Communities in Different Urbanization Grades: An Empirical Study in Lishui, a Mountainous Area of Eastern China. Animals 2023, 13, 882. https://doi.org/10.3390/ani13050882
Zhang W, Zhou Y, Fang X, Zhao S, Wu Y, Zhang H, Cui L, Cui P. Effects of Environmental Factors on Bird Communities in Different Urbanization Grades: An Empirical Study in Lishui, a Mountainous Area of Eastern China. Animals. 2023; 13(5):882. https://doi.org/10.3390/ani13050882
Chicago/Turabian StyleZhang, Wenwen, Ying Zhou, Xuelan Fang, Shengjun Zhao, Yi Wu, Haonan Zhang, Liangwei Cui, and Peng Cui. 2023. "Effects of Environmental Factors on Bird Communities in Different Urbanization Grades: An Empirical Study in Lishui, a Mountainous Area of Eastern China" Animals 13, no. 5: 882. https://doi.org/10.3390/ani13050882
APA StyleZhang, W., Zhou, Y., Fang, X., Zhao, S., Wu, Y., Zhang, H., Cui, L., & Cui, P. (2023). Effects of Environmental Factors on Bird Communities in Different Urbanization Grades: An Empirical Study in Lishui, a Mountainous Area of Eastern China. Animals, 13(5), 882. https://doi.org/10.3390/ani13050882
