Optimized Machine Learning Models for Predicting Core Body Temperature in Dairy Cows: Enhancing Accuracy and Interpretability for Practical Livestock Management
Abstract
Simple Summary
Abstract
1. Introduction
2. Materials and Methods
2.1. Database Establishment
2.1.1. Data Collection
2.1.2. Feature Creation
- Thermal comfort indices
- Heat transfer from cows to the surroundings
- Average and maximum temperature of ROIs
2.1.3. Data Processing
2.2. CBT Prediction Model Development
2.2.1. Machine Learning Algorithms
2.2.2. Hyperparameter Optimization Algorithms
2.2.3. Model Training and Evaluation
2.3. Feature Analysis Based on SHAP
3. Results
3.1. Model Performance under Different Feature Sets
3.1.1. Impact of Adding Animal-Related Features on Model Performance
3.1.2. Changes in Model Performance under IRTmax Feature Sets
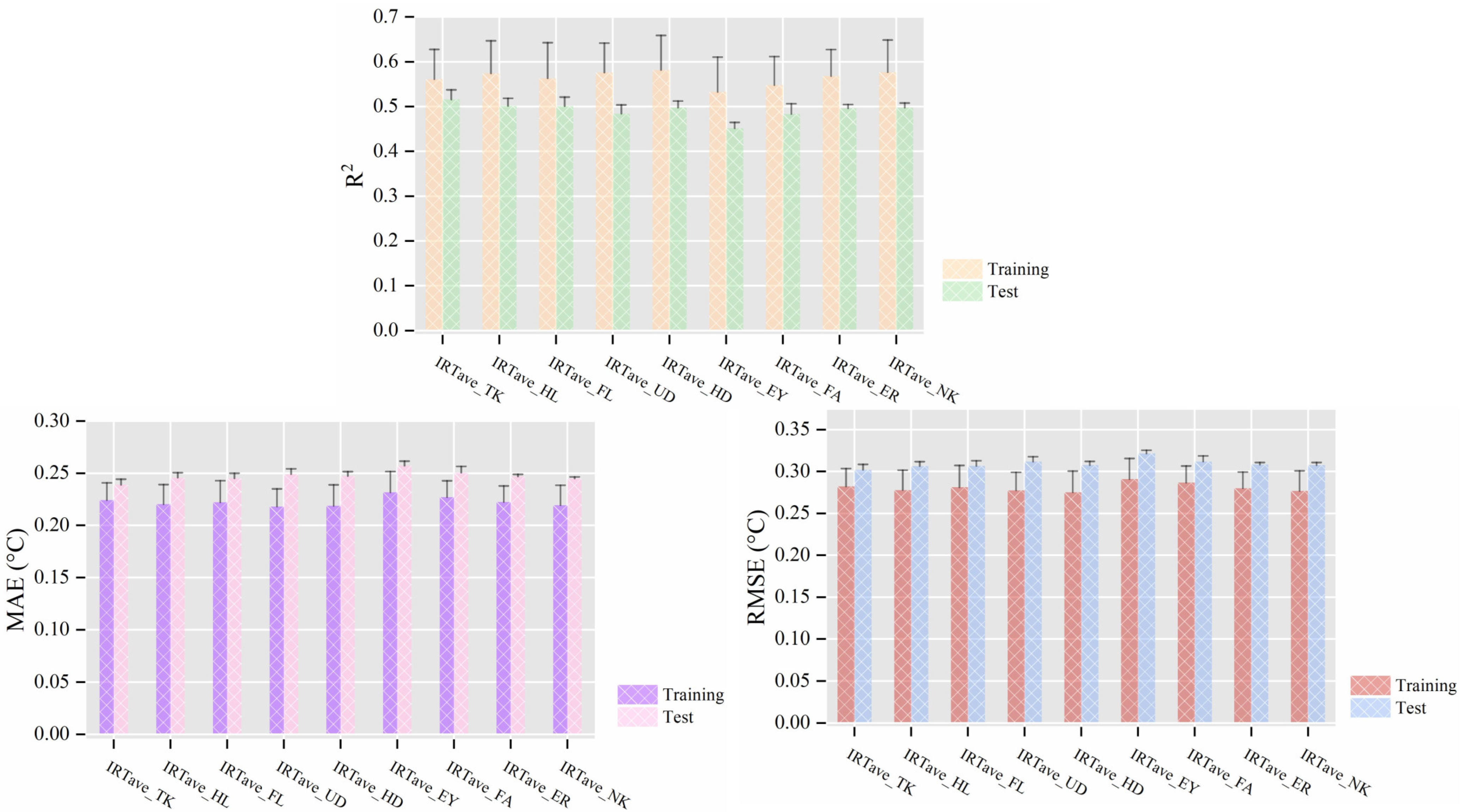
3.1.3. Changes in Model Performance under IRTave Feature Sets
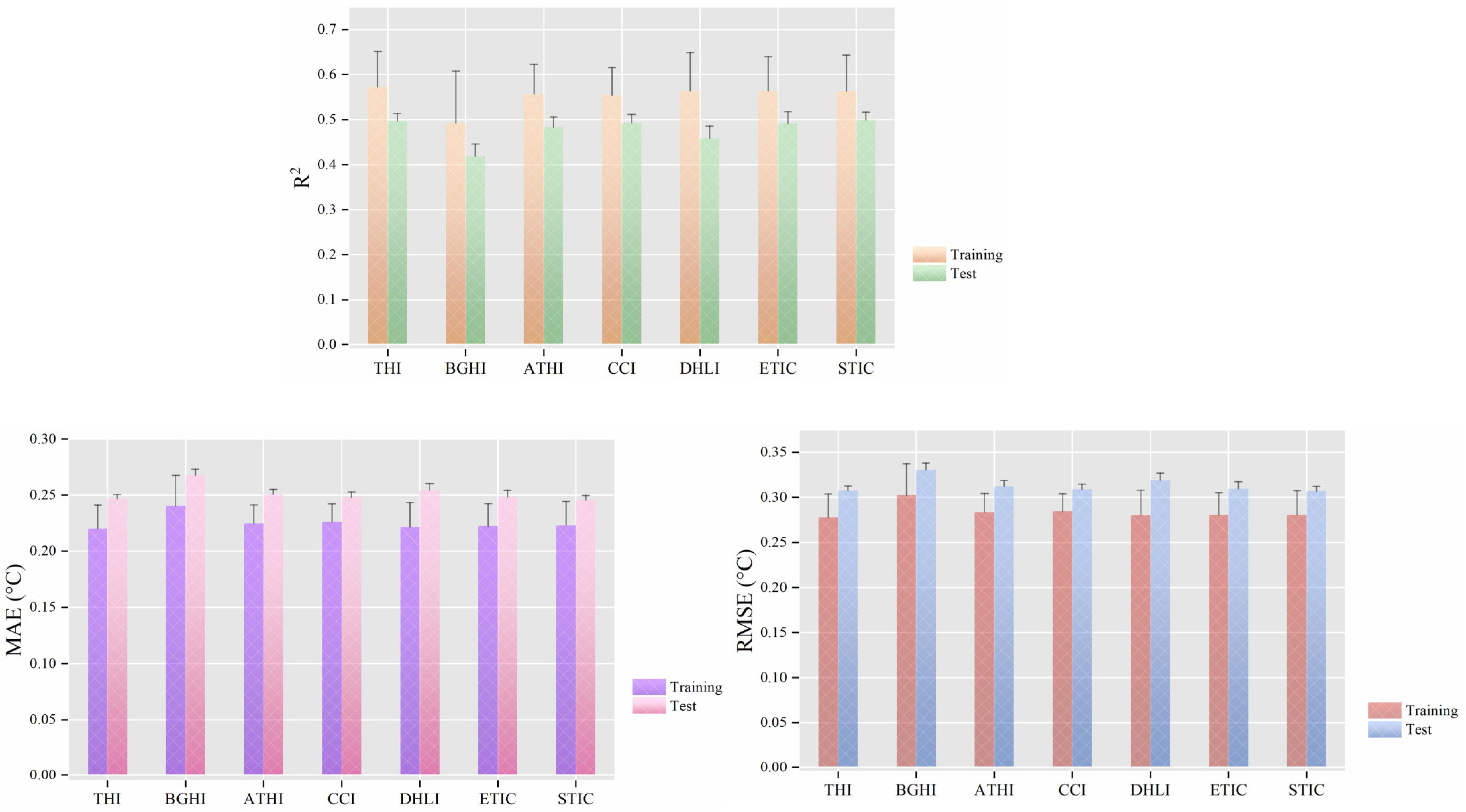
3.1.4. Changes in Model Performance under Thermal Comfort Index Feature Sets
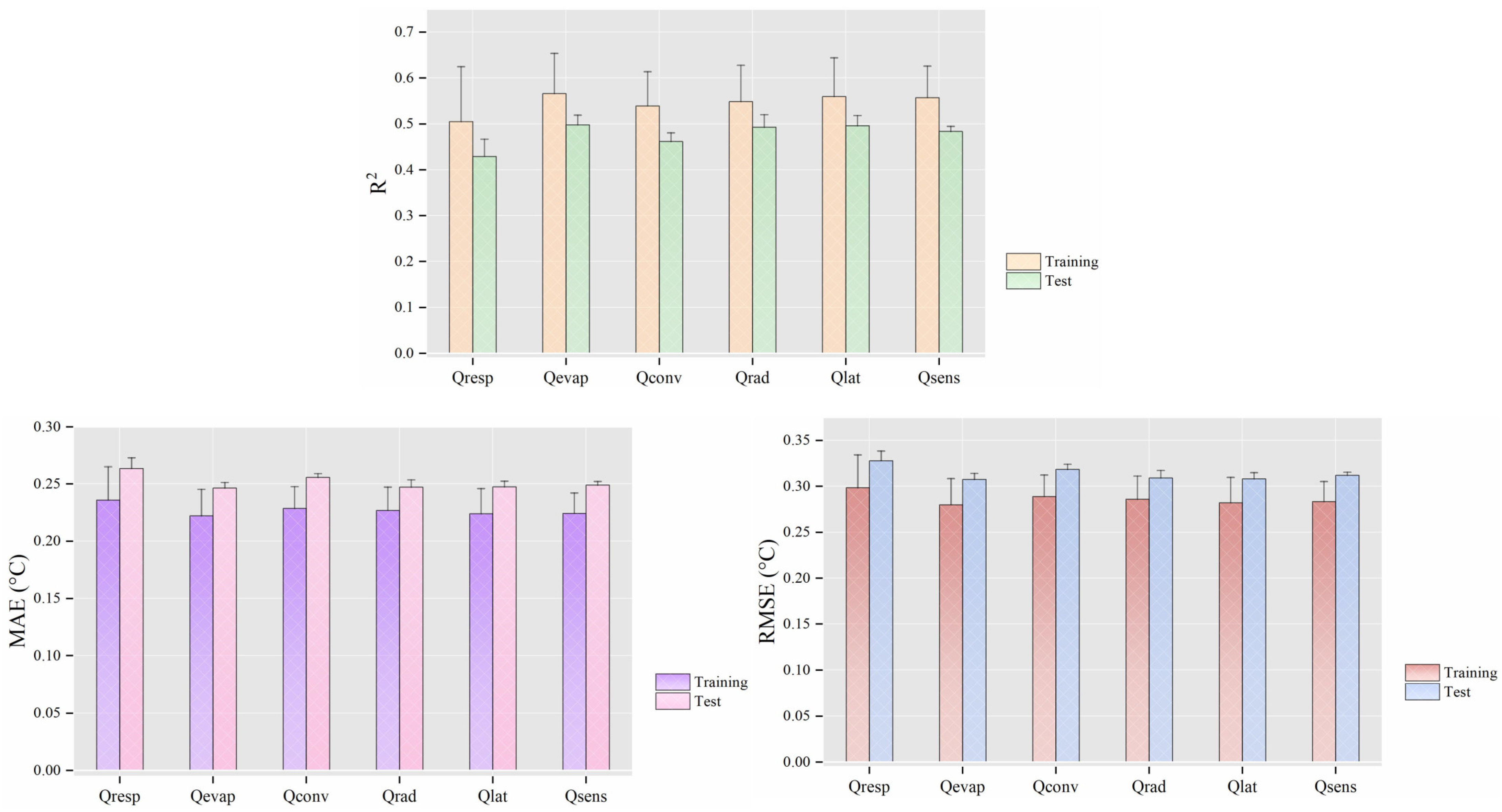
3.1.5. Changes in Model Performance under Heat Transfer Feature Sets
3.2. Model Evaluation under Different Optimization Algorithms
3.2.1. Time Cost of Hyperparameter Optimization under Different Algorithms
3.2.2. Comprehensive Comparison of Optimized CBT Prediction Models
3.3. SHAP Analysis
3.3.1. Feature Importance
3.3.2. Single-Feature Analysis and Feature Interaction Analysis
3.3.3. Local Interpretation
4. Discussion
4.1. Feature Sets
4.2. Optimization Algorithms
4.3. Feature Analysis
4.4. Limitations and Prospects
5. Conclusions
Author Contributions
Funding
Institutional Review Board Statement
Informed Consent Statement
Data Availability Statement
Acknowledgments
Conflicts of Interest
Appendix A



References
- Hoffmann, G.; Herbut, P.; Pinto, S.; Heinicke, J.; Kuhla, B.; Amon, T. Animal-Related, Non-Invasive Indicators for Determining Heat Stress in Dairy Cows. Biosyst. Eng. 2020, 199, 83–96. [Google Scholar] [CrossRef]
- Ji, B.; Banhazi, T.; Perano, K.; Ghahramani, A.; Bowtell, L.; Wang, C.; Li, B. A Review of Measuring, Assessing and Mitigating Heat Stress in Dairy Cattle. Biosyst. Eng. 2020, 199, 4–26. [Google Scholar] [CrossRef]
- Godyń, D.; Herbut, P.; Angrecka, S. Measurements of Peripheral and Deep Body Temperature in Cattle—A Review. J. Therm. Biol. 2019, 79, 42–49. [Google Scholar] [CrossRef]
- Reuter, R.R.; Carroll, J.A.; Hulbert, L.E.; Dailey, J.W.; Galyean, M.L. Technical Note: Development of a Self-Contained, Indwelling Rectal Temperature Probe for Cattle Research. J. Anim. Sci. 2010, 88, 3291–3295. [Google Scholar] [CrossRef] [PubMed]
- Kim, K.H.; Kim, D.; Oh, Y.; Lee, S.; Lee, H.; Kim, D.; Seol, Y.; Kimura, N. Productivity and Energy Partition of Late Lactation Dairy Cows during Heat Exposure. Anim. Sci. J. 2010, 81, 58–62. [Google Scholar] [CrossRef]
- Zhou, M.; Aarnink, A.J.A.; Huynh, T.T.T.; van Dixhoorn, I.D.E.; Groot Koerkamp, P.W.G. Effects of Increasing Air Temperature on Physiological and Productive Responses of Dairy Cows at Different Relative Humidity and Air Velocity Levels. J. Dairy Sci. 2022, 105, 1701–1716. [Google Scholar] [CrossRef]
- Pinto, S.; Hoffmann, G.; Ammon, C.; Amon, T. Critical THI Thresholds Based on the Physiological Parameters of Lactating Dairy Cows. J. Therm. Biol. 2020, 88, 102523. [Google Scholar] [CrossRef]
- Yan, G.; Liu, K.; Hao, Z.; Shi, Z.; Li, H. The Effects of Cow-Related Factors on Rectal Temperature, Respiration Rate, and Temperature-Humidity Index Thresholds for Lactating Cows Exposed to Heat Stress. J. Therm. Biol. 2021, 100, 103041. [Google Scholar] [CrossRef]
- Heinicke, J.; Hoffmann, G.; Ammon, C.; Amon, B.; Amon, T. Effects of the Daily Heat Load Duration Exceeding Determined Heat Load Thresholds on Activity Traits of Lactating Dairy Cows. J. Therm. Biol. 2018, 77, 67–74. [Google Scholar] [CrossRef] [PubMed]
- Li, G.; Chen, S.; Chen, J.; Peng, D.; Gu, X. Predicting Rectal Temperature and Respiration Rate Responses in Lactating Dairy Cows Exposed to Heat Stress. J. Dairy Sci. 2020, 103, 5466–5484. [Google Scholar] [CrossRef]
- Li, J.; Narayanan, V.; Kebreab, E.; Dikmen, S.; Fadel, J.G. A Mechanistic Thermal Balance Model of Dairy Cattle. Biosyst. Eng. 2021, 209, 256–270. [Google Scholar] [CrossRef]
- Zhou, M.; Groot Koerkamp, P.W.G.; Huynh, T.T.T.; Aarnink, A.J.A. Development and Evaluation of a Thermoregulatory Model for Predicting Thermal Responses of Dairy Cows. Biosyst. Eng. 2022, 223, 295–308. [Google Scholar] [CrossRef]
- Bao, J.; Xie, Q. Artificial Intelligence in Animal Farming: A Systematic Literature Review. J. Clean Prod. 2022, 331, 129956. [Google Scholar] [CrossRef]
- Brezov, D.; Hristov, H.; Dimov, D.; Alexiev, K. Predicting the Rectal Temperature of Dairy Cows Using Infrared Thermography and Multimodal Machine Learning. Appl. Sci. 2023, 13, 11416. [Google Scholar] [CrossRef]
- Shu, H.; Li, Y.; Bindelle, J.; Jin, Z.; Fang, T.; Xing, M.; Guo, L.; Wang, W. Predicting Physiological Responses of Dairy Cows Using Comprehensive Variables. Comput. Electron. Agric. 2023, 207, 107752. [Google Scholar] [CrossRef]
- Gorczyca, M.T.; Gebremedhin, K.G. Ranking of Environmental Heat Stressors for Dairy Cows Using Machine Learning Algorithms. Comput. Electron. Agric. 2020, 168, 105124. [Google Scholar] [CrossRef]
- Hernández-Julio, Y.F.; Yanagi, T.; Pires, M.D.A.; Lopes, M.A.; Lima, R.R. Models for Prediction of Physiological Responses of Holstein Dairy Cows. Appl. Artif. Intell. 2014, 28, 766–792. [Google Scholar] [CrossRef]
- Hoffmann, G.; Schmidt, M.; Ammon, C.; Rose-Meierhöfer, S.; Burfeind, O.; Heuwieser, W.; Berg, W. Monitoring the Body Temperature of Cows and Calves Using Video Recordings from an Infrared Thermography Camera. Vet. Res. Commun. 2013, 37, 91–99. [Google Scholar] [CrossRef]
- Salles, M.S.; da Silva, S.C.; Salles, F.A.; Roma, L.C., Jr.; El Faro, L.; Mac Lean, P.A.; de Oliveira, C.E.; Martello, L.S. Mapping the Body Surface Temperature of Cattle by Infrared Thermography. J. Therm. Biol. 2016, 62, 63–69. [Google Scholar] [CrossRef] [PubMed]
- Giro, A.; de Bernardi, A.C.C.; Barioni, W., Jr.; Lemes, A.P.; Botta, D.; Romanello, N.; Barreto, A.d.N.; Garcia, A.R. Application of Microchip and Infrared Thermography for Monitoring Body Temperature of Beef Cattle Kept on Pasture. J. Therm. Biol. 2019, 84, 121–128. [Google Scholar] [CrossRef] [PubMed]
- West, J.W. Effects of Heat-Stress on Production in Dairy Cattle. J. Dairy Sci. 2003, 86, 2131–2144. [Google Scholar] [CrossRef]
- Turner, T.A.; Waldsmith, J.; Marcella, K.; Henneman, K.; Purohit, R.; Morino, D. Veterinary Guidelines for Infrared Thermography; The American Academy of Thermology: Macon, GA, USA, 2019. [Google Scholar]
- Herbut, P.; Angrecka, S.; Walczak, J. Environmental Parameters to Assessing of Heat Stress in Dairy Cattle–A Review. Int. J. Biometeorol. 2018, 62, 2089–2097. [Google Scholar] [CrossRef]
- Yan, G.; Li, H.; Zhao, W.; Shi, Z. Evaluation of Thermal Indices Based on Their Relationships with Some Physiological Responses of Housed Lactating Cows under Heat Stress. Int. J. Biometeorol. 2020, 64, 2077–2091. [Google Scholar] [CrossRef]
- Da Silva, R.G.; Morais, D.A.E.F.; Guilhermino, M.M. Evaluation of Thermal Stress Indexes for Dairy Cows in Tropical Regions. Rev. Bras. Zootecn. 2007, 36, 1192–1198. [Google Scholar] [CrossRef]
- NRC. A Guide to Environmental Research on Animals; National Academy Press: Washington, DC, USA, 1971. [Google Scholar]
- Buffington, D.E.; Collazo-Arocho, A.; Canton, G.H.; Pitt, D.; Thatcher, W.W.; Collier, R.J. Black Globe-Humidity Index (BGHI) as Comfort Equation for Dairy Cows. Trans. ASAE 1981, 24, 0711–0714. [Google Scholar] [CrossRef]
- Mader, T.L.; Davis, M.S.; Brown-Brandl, T. Environmental Factors Influencing Heat Stress in Feedlot Cattle. J. Anim. Sci. 2006, 84, 712–719. [Google Scholar] [CrossRef]
- Mader, T.L.; Johnson, L.J.; Gaughan, J.B. A Comprehensive Index for Assessing Environmental Stress in Animals. J. Anim. Sci. 2010, 88, 2153–2165. [Google Scholar] [CrossRef]
- Lees, J.C.; Lees, A.M.; Gaughan, J.B. Developing a Heat Load Index for Lactating Dairy Cows. Anim. Prod. Sci. 2018, 58, 1387–1391. [Google Scholar] [CrossRef]
- Wang, X.; Gao, H.; Gebremedhin, K.G.; Bjerg, B.S.; van Os, J.; Tucker, C.B.; Zhang, G. A Predictive Model of Equivalent Temperature Index for Dairy Cattle (ETIC). J. Therm. Biol. 2018, 76, 165–170. [Google Scholar] [CrossRef] [PubMed]
- Yan, G.; Shi, Z.; Cui, B.; Li, H. Developing a New Thermal Comfort Prediction Model and Web-Based Application for Heat Stress Assessment in Dairy Cows. Biosyst. Eng. 2022, 214, 72–89. [Google Scholar] [CrossRef]
- Maia, A.S.C.; da Silva, R.G.; Loureiro, C.M.B. Respiratory Heat Loss of Holstein Cows in a Tropical Environment. Int. J. Biometeorol. 2005, 49, 332–336. [Google Scholar] [CrossRef] [PubMed]
- Collier, R.J.; Gebremedhin, K.G. Thermal Biology of Domestic Animals. Annu. Rev. Anim. Biosci. 2015, 3, 513–532. [Google Scholar] [CrossRef] [PubMed]
- Norton, T.; Grant, J.; Fallon, R.; Sun, D.-W. Improving the Representation of Thermal Boundary Conditions of Livestock during CFD Modelling of the Indoor Environment. Comput. Electron. Agric. 2010, 73, 17–36. [Google Scholar] [CrossRef]
- Maia, A.S.C.; da Silva, R.G.; Loureiro, C.M.B. Latent Heat Loss of Holstein Cows in a Tropical Environment: A Prediction Model. Rev. Bras. Zootecn. 2008, 37, 1837–1843. [Google Scholar] [CrossRef][Green Version]
- Stevens, D.G. A Model of Respiratory Vapor Loss in Holstein Dairy Cattle. Trans. ASAE 1981, 24, 151–153. [Google Scholar] [CrossRef]
- Yan, G.; Liu, K.; Hao, Z.; Li, H.; Shi, Z. Development and Evaluation of Thermal Models for Predicting Skin Temperature of Dairy Cattle. Comput. Electron. Agric. 2021, 188, 106363. [Google Scholar] [CrossRef]
- McArthur, A.J. Thermal Interaction between Animal and Microclimate: A Comprehensive Model. J. Theor. Biol. 1987, 126, 203–238. [Google Scholar] [CrossRef]
- Macmillan, K.; Colazo, M.G.; Cook, N.J. Evaluation of Infrared Thermography Compared to Rectal Temperature to Identify Illness in Early Postpartum Dairy Cows. Res. Vet. Sci. 2019, 125, 315–322. [Google Scholar] [CrossRef] [PubMed]
- Daltro, D.D.S.; Fischer, V.; Alfonzo, E.P.M.; Dalcin, V.C.; Stumpf, M.T.; Kolling, G.J.; Silva, V.G.B.; McManus, C. Infrared Thermography as a Method for Evaluating the Heat Tolerance in Dairy Cows. Rev. Bras. Zootecn. 2017, 46, 374–383. [Google Scholar] [CrossRef]
- Poikalainen, V.; Praks, J.; Veermäe, I.; Kokin, E. Infrared Temperature Patterns of Cow’s Body as an Indicator for Health Control at Precision Cattle Farming. Agron. Res. 2012, 10, 187–194. [Google Scholar]
- Peng, D.; Chen, S.; Li, G.; Chen, J.; Wang, J.; Gu, X. Infrared Thermography Measured Body Surface Temperature and Its Relationship with Rectal Temperature in Dairy Cows under Different Temperature-Humidity Indexes. Int. J. Biometeorol. 2019, 63, 327–336. [Google Scholar] [CrossRef] [PubMed]
- Breiman, L. Random Forests. Mach. Learn. 2001, 45, 5–32. [Google Scholar] [CrossRef]
- Chen, T.; Guestrin, C. XGBoost: A Scalable Tree Boosting System. In Proceedings of the 22nd ACM SIGKDD International Conference on Knowledge Discovery and Data Mining, San Francisco, CA, USA, 13–17 August 2016; Association for Computing Machinery: New York, NY, USA, 2016; pp. 785–794. [Google Scholar]
- Ke, G.; Meng, Q.; Finley, T.; Wang, T.; Chen, W.; Ma, W.; Ye, Q.; Liu, T.-Y. Lightgbm: A Highly Efficient Gradient Boosting Decision Tree. Adv. Neural Inf. Process. Syst. 2017, 30, 52. [Google Scholar]
- Dorogush, A.V.; Ershov, V.; Gulin, A. CatBoost: Gradient Boosting with Categorical Features Support. arXiv 2018, arXiv:1810.11363. [Google Scholar] [CrossRef]
- McCall, J. Genetic Algorithms for Modelling and Optimisation. J. Comput. Appl. Math. 2005, 184, 205–222. [Google Scholar] [CrossRef]
- Storn, R.; Price, K. Differential Evolution—A Simple and Efficient Heuristic for Global Optimization over Continuous Spaces. J. Global. Optim. 1997, 11, 341–359. [Google Scholar] [CrossRef]
- Yang, X.-S. Flower Pollination Algorithm for Global Optimization; Durand-Lose, J., Jonoska, N., Eds.; Springer: Berlin/Heidelberg, Germany, 2012; pp. 240–249. [Google Scholar]
- Kennedy, J.; Eberhart, R. Particle Swarm Optimization. In Proceedings of the IEEE International Conference on Neural Networks, Perth, WA, Australia, 27 November–1 December 1995; pp. 1942–1948. [Google Scholar]
- Mirjalili, S.; Mirjalili, S.M.; Lewis, A. Grey Wolf Optimizer. Adv. Eng. Softw. 2014, 69, 46–61. [Google Scholar] [CrossRef]
- Xie, L.; Han, T.; Zhou, H.; Zhang, Z.-R.; Han, B.; Tang, A. Tuna Swarm Optimization: A Novel Swarm-Based Metaheuristic Algorithm for Global Optimization. Comput. Intel. Neurosc. 2021, 2021, 9210050. [Google Scholar] [CrossRef]
- Li, S.; Chen, H.; Wang, M.; Heidari, A.A.; Mirjalili, S. Slime Mould Algorithm: A New Method for Stochastic Optimization. Futur. Gener. Comp. Syst. 2020, 111, 300–323. [Google Scholar] [CrossRef]
- Cheng, M.-Y.; Prayogo, D. Symbiotic Organisms Search: A New Metaheuristic Optimization Algorithm. Comput. Struct. 2014, 139, 98–112. [Google Scholar] [CrossRef]
- Dhiman, G.; Kumar, V. Seagull Optimization Algorithm: Theory and Its Applications for Large-Scale Industrial Engineering Problems. Knowl. Based Syst. 2019, 165, 169–196. [Google Scholar] [CrossRef]
- Shahriari, B.; Swersky, K.; Wang, Z.; Adams, R.P.; Freitas, N. Taking the Human out of the Loop: A Review of Bayesian Optimization. Proc. IEEE 2016, 104, 148–175. [Google Scholar] [CrossRef]
- Lundberg, S.; Lee, S.-I. A Unified Approach to Interpreting Model Predictions. In Proceedings of the 31st International Conference on Neural Information Processing Systems, Long Beach, CA, USA, 4–9 December 2017; pp. 4768–4777. [Google Scholar]
- Shapley, L.S. A Value for N-Person Games. In Classics in Game Theory; Princeton University Press: Princeton, NJ, USA, 1953; pp. 307–317. [Google Scholar]
- Lundberg, S.M.; Erion, G.; Chen, H.; DeGrave, A.; Prutkin, J.M.; Nair, B.; Katz, R.; Himmelfarb, J.; Bansal, N.; Lee, S.-I. From Local Explanations to Global Understanding with Explainable AI for Trees. Nat. Mach. Intell. 2020, 2, 56–67. [Google Scholar] [CrossRef]
- Molnar, C. Interpretable Machine Learning; Independently Published: Traverse City, MI, USA, 2023; ISBN 979-8411463330. [Google Scholar]
- Gaughan, J.B. Respiration Rate--Is It a Good Measure of Heat Stress in Cattle? Asian Australas. J. Anim. Sci. 2000, 13, 329–332. [Google Scholar] [CrossRef]
- Becker, C.A.; Collier, R.J.; Stone, A.E. Invited Review: Physiological and Behavioral Effects of Heat Stress in Dairy Cows. J. Dairy Sci. 2020, 103, 6751–6770. [Google Scholar] [CrossRef] [PubMed]
- Polsky, L.; Keyserlingk, M.A.G. Invited Review: Effects of Heat Stress on Dairy Cattle Welfare. J. Dairy Sci. 2017, 100, 8645–8657. [Google Scholar] [CrossRef]
- Nordlund, K.V.; Strassburg, P.; Bennett, T.B.; Oetzel, G.R.; Cook, N.B. Thermodynamics of Standing and Lying Behavior in Lactating Dairy Cows in Freestall and Parlor Holding Pens during Conditions of Heat Stress. J. Dairy Sci. 2019, 102, 6495–6507. [Google Scholar] [CrossRef]
- Wang, X.; Zhang, G.; Choi, C.Y. Effect of Airflow Speed and Direction on Convective Heat Transfer of Standing and Reclining Cows. Biosyst. Eng. 2018, 167, 87–98. [Google Scholar] [CrossRef]














| Year | Data Source | Predictors | ML Algorithms | Evaluation Metrics | Hyperparameter Tune | Optimal Model | Ref. |
|---|---|---|---|---|---|---|---|
| 2023 | Karnobat, Bulgaria | Temperature–humidity index, respiratory frequency, pulse, time of measurement | WeightedEnsemble_L2, NeuralNetTorch, XGBoost, CatBoost | R2, MAE, MedAE, RMSE | N/A 1 | WeightedEnsemble_L2 | [14] |
| 2023 | Shandong, China | Air temperature, relative humidity, wind speed, time block, posture, age in months, parity, days in milk, calving season, birth season, DMY1D 2, DMY2D, DMY3D | Regularized linear regression, random forest, gradient boosted machine, artificial neural network | R2, RMSE | Grid search | artificial neural network | [15] |
| 2020 | California, U.S. | Air temperature, relative humidity, wind speed, solar radiation | Penalized linear regression, random forest, gradient boosted machine, artificial neural network | R2, MAE, RMSE | Random search | artificial neural network | [16] |
| 2014 | Minas Gerais, Brazil | Dry-bulb temperature, relative humidity | Linear regression, artificial neural network, neuro-fuzzy network | R2, RMSE | N/A | artificial neural network | [17] |
| Variable | Computation Method | Ref. |
|---|---|---|
| Skin temperature (Ts, °C) | [32] | |
| Coat temperature (Tc, °C) | [36] | |
| Exhaled air temperature (Tex, °C) | [37] | |
| Sweating rate (Rsw, g/(m2·h)) | [34] | |
| Saturation vapor pressure at Ta (Pe,a, kPa) | [38] | |
| Respiratory frequency (Fr, breaths per min) | [37] | |
| Tidal volume (Vt, m3) | [37] | |
| Respiratory evaporative resistance (rr, s/m) | [39] |
| Algorithms | Hyperparameters | |||
|---|---|---|---|---|
| Overview | Description | Range | ||
| EN | EN combines the penalties of ridge regression and lasso, allowing it to select features while also handling correlated predictors [15]. | ‘alpha’ | Constant that multiplies the penalty terms | [0.0001, 10] |
| ‘l1_ratio’ | Ratio of L1 penalty | [0.0001, 1.0] | ||
| ANN | ANN are highly adaptable, capable of processing complex data patterns, and inspired by the biological neural networks found in the human brain [15]. | ‘max_iter’ | Maximum number of iterations | [200, 1000] |
| ‘learning_rate_init’ | The initial learning rate | [0.001, 0.1] | ||
| ‘alpha’ | Strength of the L2 regularization term | [0.0001, 10] | ||
| ‘activation’ | Activation function | [‘relu’, ‘tanh’] | ||
| ‘hidden_layer_sizes’ | Number of neurons in the ith hidden layer | [(100), (100, 50)] | ||
| RF | RF is an ensemble method that uses multiple decision trees to improve prediction accuracy and reduce overfitting. It can capture complex relationships in the data by averaging the predictions of many trees [44]. | ‘n_estimators’ | Number of trees | [100, 1000] |
| ‘max_depth’ | Maximum depth of the tree | [3, 10] | ||
| ‘min_samples_split’ | Minimum number of samples for each split | [0.002, 0.2] | ||
| ‘min_samples_leaf’ | Minimum number of samples for each node | [0.001, 0.1] | ||
| ‘max_features’ | Features at each split | [‘sqrt’, ‘log2’] | ||
| XGBoost | XGBoost is a gradient-boosting algorithm that sequentially adds weak learners (typically decision trees) to the model, optimizing the addition of each tree to minimize prediction errors. It handles complex relationships within the data effectively [45]. | ‘n_estimators’ | Number of trees | [100, 1000] |
| ‘learning_rate’ | Boosting learning rate | [0.01, 0.2] | ||
| ‘subsample’ | Subsample ratio of the training instance | [0.1, 1.0] | ||
| ‘reg_alpha’ | L1 regularization term | [0.01, 10.0] | ||
| ‘reg_lambda’ | L2 regularization term | [0.01, 10.0] | ||
| LightGBM | LightGBM is a gradient-boosting framework that uses histogram-based techniques to construct decision trees more efficiently. This results in faster training times, better scalability, and improved accuracy on large datasets [46]. | ‘num_iteration’ | Number of iterations | [100, 1000] |
| ‘learning_rate’ | Learning rate | [0.01, 0.2] | ||
| ‘bagging_fraction’ | Sample rate for bagging | [0.1, 1.0] | ||
| ‘lambda_l1’ | L1 regularization term | [0.01, 10.0] | ||
| ‘lambda_l2’ | L2 regularization term | [0.01, 10.0] | ||
| CatBoost | CatBoost is an advanced boosting algorithm specifically designed to handle categorical features effectively. It uses innovative techniques such as ordered boosting and target statistics to improve predictive accuracy in datasets with categorical variables [47]. | ‘iterations’ | Number of iterations | [100, 1000] |
| ‘learning_rate’ | Learning rate | [0.01, 0.2] | ||
| ‘l2_leaf_reg’ | L2 regularization term | [0.01, 10.0] | ||
| ‘subsample’ | Sample rate for bagging | [0.1, 1.0] | ||
| ‘depth’ | Depth of the trees | [3, 10] |
| Optimization Method | Category | Overview | Suitability | Ref. |
|---|---|---|---|---|
| Genetic Algorithm | Evolutionary | Mimics natural selection and genetics; uses selection, crossover, mutation | Complex, non-linear optimization problems | [48] |
| Differential Evolution | Evolutionary | Population-based stochastic algorithm; uses differences in parameter vectors | Global optimization in continuous search spaces | [49] |
| Flower Pollination Algorithm | Nature-inspired | Inspired by flower pollination behavior; uses global and local pollination strategies | Continuous optimization problems | [50] |
| Particle Swarm Optimization | Swarm-based | Mimics social behavior of bird flocking; adjusts positions based on personal and global bests | Continuous optimization problems | [51] |
| Grey Wolf Optimizer | Nature-inspired | Mimics the hunting mechanism of grey wolves; uses encircling, hunting, and attacking phases | Continuous and discrete optimization problems | [52] |
| Tuna Swarm Optimization | Swarm-based | Inspired by tuna migration behavior; combines exploration and exploitation strategies | Continuous optimization problems | [53] |
| Slime Mold Algorithm | Nature-inspired | Mimics the foraging behavior of slime mold; uses contraction and expansion mechanisms | Pathfinding and optimization problems | [54] |
| Symbiotic Organisms Search | Nature-inspired | Inspired by mutualistic symbiotic relationships; uses mutualism, commensalism, and parasitism strategies | Continuous optimization problems | [55] |
| Seagull Optimization Algorithm | Nature-inspired | Inspired by seagull migration and anti-predator behavior; uses exploration, exploitation, and avoidance strategies | Continuous optimization problems | [56] |
| Bayesian Optimization | Probabilistic | Uses Bayesian methods to model the objective function; employs Gaussian processes | Expensive black-box function optimization | [57] |
Disclaimer/Publisher’s Note: The statements, opinions and data contained in all publications are solely those of the individual author(s) and contributor(s) and not of MDPI and/or the editor(s). MDPI and/or the editor(s) disclaim responsibility for any injury to people or property resulting from any ideas, methods, instructions or products referred to in the content. |
© 2024 by the authors. Licensee MDPI, Basel, Switzerland. This article is an open access article distributed under the terms and conditions of the Creative Commons Attribution (CC BY) license (https://creativecommons.org/licenses/by/4.0/).
Share and Cite
Li, D.; Yan, G.; Li, F.; Lin, H.; Jiao, H.; Han, H.; Liu, W. Optimized Machine Learning Models for Predicting Core Body Temperature in Dairy Cows: Enhancing Accuracy and Interpretability for Practical Livestock Management. Animals 2024, 14, 2724. https://doi.org/10.3390/ani14182724
Li D, Yan G, Li F, Lin H, Jiao H, Han H, Liu W. Optimized Machine Learning Models for Predicting Core Body Temperature in Dairy Cows: Enhancing Accuracy and Interpretability for Practical Livestock Management. Animals. 2024; 14(18):2724. https://doi.org/10.3390/ani14182724
Chicago/Turabian StyleLi, Dapeng, Geqi Yan, Fuwei Li, Hai Lin, Hongchao Jiao, Haixia Han, and Wei Liu. 2024. "Optimized Machine Learning Models for Predicting Core Body Temperature in Dairy Cows: Enhancing Accuracy and Interpretability for Practical Livestock Management" Animals 14, no. 18: 2724. https://doi.org/10.3390/ani14182724
APA StyleLi, D., Yan, G., Li, F., Lin, H., Jiao, H., Han, H., & Liu, W. (2024). Optimized Machine Learning Models for Predicting Core Body Temperature in Dairy Cows: Enhancing Accuracy and Interpretability for Practical Livestock Management. Animals, 14(18), 2724. https://doi.org/10.3390/ani14182724
