Effect of Pegbovigrastim on Hematological Profile of Simmental Dairy Cows during the Transition Period
Simple Summary
Abstract
1. Introduction
2. Materials and Methods
2.1. Animal Management and Treatment
2.2. Blood Sample Collection and Complete Blood Count Analysis
2.3. Milk Collection, Milk Yield, and Analysis
2.4. Statistical Analysis
3. Results
3.1. Milk Production and Quality
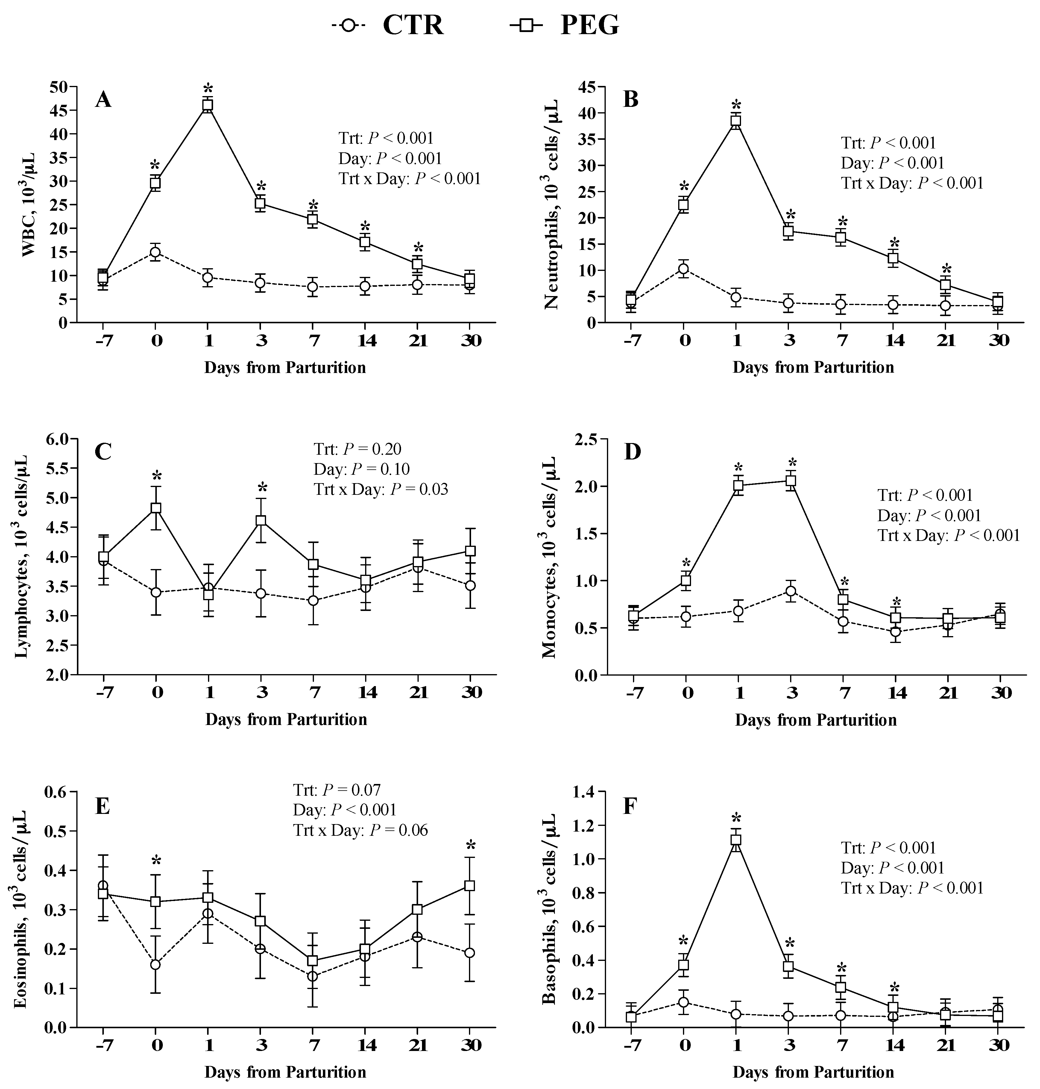
3.2. Effect of Pegbovigrastim on Total WBC Count and on Differential WBC Count
3.3. Effect of Pegbovigrastim on RBCs, Platelets Count, and Their Parameters
4. Discussion
4.1. Effect of Pegbovigrastim on Total WBC Count and on Differential WBC Count
4.2. Effect of Pegbovigrastim on Rbcs, Platelets Count, and Their Parameters
5. Conclusions
Author Contributions
Funding
Acknowledgments
Conflicts of Interest
References
- Drackley, J.K.; Overton, T.R.; Douglas, G.N. Adaptations of Glucose and Long-Chain Fatty Acid Metabolism in Liver of Dairy Cows during the Periparturient Period. J. Dairy Sci. 2001, 84, E100–E112. [Google Scholar] [CrossRef]
- Lopreiato, V.; Minuti, A.; Trimboli, F.; Britti, D.; Morittu, V.M.; Cappelli, F.P.; Loor, J.J.; Trevisi, E. Immunometabolic status and productive performance differences between periparturient Simmental and Holstein dairy cows in response to pegbovigrastim. J. Dairy Sci. 2019, 102, 9312–9327. [Google Scholar] [CrossRef] [PubMed]
- Oliver, S.P.; Sordillo, L.M. Udder Health in the Periparturient Period. J. Dairy Sci. 1988, 71, 2584–2606. [Google Scholar] [CrossRef]
- Esposito, G.; Irons, P.C.; Webb, E.C.; Chapwanya, A. Interactions between negative energy balance, metabolic diseases, uterine health and immune response in transition dairy cows. Anim. Reprod. Sci. 2014, 144, 60–71. [Google Scholar] [CrossRef] [PubMed]
- Kehrli, M.; Nonnecke, B.; Roth, J. Alterations in bovine neutrophil function during the periparturient period. Am. J. Vet. Res. 1989, 50, 207–214. [Google Scholar]
- Sordillo, L.M.; Shafer-Weaver, K.; DeRosa, D. Immunobiology of the Mammary Gland. J. Dairy Sci. 1997, 80, 1851–1865. [Google Scholar] [CrossRef]
- Rosales, C.; Uribe-Querol, E. Fc receptors: Cell activators of antibody functions. Adv. Biosci. Biotechnol. 2013, 4, 21–33. [Google Scholar] [CrossRef]
- Rosales, C.; Demaurex, N.; Lowell, C.A.; Uribe-Querol, E. Neutrophils: Their Role in Innate and Adaptive Immunity. J. Immunol. Res. 2016, 2016, 1469780. [Google Scholar] [CrossRef]
- Hercus, T.R.; Thomas, D.; Guthridge, M.A.; Ekert, P.G.; King-Scott, J.; Parker, M.W.; Lopez, A.F. The granulocyte-macrophage colony-stimulating factor receptor: Linking its structure to cell signaling and its role in disease. Blood 2009, 114, 1289–1298. [Google Scholar] [CrossRef]
- Kehrli, M.E.; Cullor, J.S.; Nickerson, S.C. Immunobiology of Hematopoietic Colony-Stimulating Factors: Potential Application to Disease Prevention in the Bovine. J. Dairy Sci. 2010, 74, 4399–4412. [Google Scholar] [CrossRef]
- Heidari, M.; Harp, J.A.; Kehrli, M.E. Expression, purification, and in vitro biological activities of recombinant bovine granulocyte-colony stimulating factor. Vet. Immunol. Immunopathol. 2001, 81, 45–57. [Google Scholar] [CrossRef]
- Molineux, G. Pegylation: Engineering Improved Biopharmaceuticals for Oncology. Pharmacotherapy 2003, 23, 3S–8S. [Google Scholar] [CrossRef] [PubMed]
- Canning, P.; Hassfurther, R.; TerHune, T.; Rogers, K.; Abbott, S.; Kolb, D. Efficacy and clinical safety of pegbovigrastim for preventing naturally occurring clinical mastitis in periparturient primiparous and multiparous cows on US commercial dairies. J. Dairy Sci. 2017, 100, 6504–6515. [Google Scholar] [CrossRef] [PubMed]
- Hassfurther, R.L.; Terhune, T.N.; Canning, P.C. Efficacy of polyethylene glycol–conjugated bovine granulocyte colony-stimulating factor for reducing the incidence of naturally occurring clinical mastitis in periparturient dairy cows and heifers. Am. J. Vet. Res. 2015, 76, 231–238. [Google Scholar] [CrossRef] [PubMed]
- Kimura, K.; Goff, J.P.; Canning, P.; Wang, C.; Roth, J.A. Effect of recombinant bovine granulocyte colony-stimulating factor covalently bound to polyethylene glycol injection on neutrophil number and function in periparturient dairy cows. J. Dairy Sci. 2014, 97, 4842–4851. [Google Scholar] [CrossRef] [PubMed]
- McDougall, S.; LeBlanc, S.J.; Heiser, A. Effect of prepartum energy balance on neutrophil function following pegbovigrastim treatment in periparturient cows. J. Dairy Sci. 2017, 100, 7478–7492. [Google Scholar] [CrossRef]
- Zinicola, M.; Korzec, H.; Teixeira, A.G.V.; Ganda, E.K.; Bringhenti, L.; Tomazi, A.C.C.H.; Gilbert, R.O.; Bicalho, R.C. Effects of pegbovigrastim administration on periparturient diseases, milk production, and reproductive performance of Holstein cows. J. Dairy Sci. 2018, 101, 11199–11217. [Google Scholar] [CrossRef]
- Ruiz, R.; Tedeschi, L.O.; Sepúlveda, A. Investigation of the effect of pegbovigrastim on some periparturient immune disorders and performance in Mexican dairy herds. J. Dairy Sci. 2017, 100, 3305–3317. [Google Scholar] [CrossRef]
- Van Schyndel, S.J.; Carrier, J.; Bogado Pascottini, O.; LeBlanc, S.J. The effect of pegbovigrastim on circulating neutrophil count in dairy cattle: A randomized controlled trial. PLoS ONE 2018, 13, e0198701. [Google Scholar] [CrossRef]
- Kegles, F.; Madruga, O.C.; Schmoeller, E.; Bragança, L.F.; Londero, U.S.; Marins, L.; Feijó, J.O.; Corrêa, M.N.; Schmitt, E.; Del Pino, F.A.B. Hematological and biochemical parameters of dairy calves submitted to pegbovigrastim administration. J. Dairy Sci. 2018, 102, 547–556. [Google Scholar] [CrossRef]
- De la Rubia, J.; de Arriba, F.; Arbona, C.; Pascual, M.J.; Zamora, C.; Insunza, A.; Martinez, D.; Paniagua, C.; Diaz, M.A.; Sanz, M.A. Follow-up of healthy donors receiving granulocyte colony-stimulating factor for peripheral blood progenitor cell mobilization and collection. Results of the Spanish Donor Registry. Haematologica 2008, 93, 735–740. [Google Scholar] [CrossRef] [PubMed]
- Minelli, O.; Falzetti, F.; Di Ianni, M.; Onorato, M.; Plebani, S.; Silvani, C.; Tabilio, A. G-CSF-induced thrombocytopenia in a healthy donor. Bone Marrow Transplant. 2008, 43, 263. [Google Scholar] [CrossRef] [PubMed]
- Ozkan, M.C.; Sahin, F.; Saydam, G. Peripheral blood stem cell mobilization from healthy donors. Transfus. Apher. Sci. 2015, 53, 13–16. [Google Scholar] [CrossRef] [PubMed]
- National Research Council. Nutrient Requirements of Dairy Cattle, 7th ed.; National Academies Press, Ed.; National Academies Press: Washington, DC, USA, 2001; ISBN 978-0-309-06997-7. [Google Scholar]
- Liubomirskas, G.; Žilaitis, V.; Stoškus, R.; Štarolyte, E. The effect of bovine granulocyte colony stimulating factor on high yielding cows white blood cells and incidence of mastitis and metritis. Vet. Zootech. 2018, 76, 30–33. [Google Scholar]
- Cullor, J.S.; Fairley, N.; Smith, W.L.; Wood, S.L.; Dellinger, J.D.; Inokuma, M.S.; Souza, L.M. Hemogram Changes in Lactating Dairy Cows Given Human Recombinant Granulocyte Colony Stimulating Factor (r-MethuG-CSF). Vet. Pathol. 1990, 27, 311–316. [Google Scholar] [CrossRef] [PubMed]
- Yonezawa, K.; Horie, O.; Yoshioka, A.; Matsuki, S.; Tenjin, T.; Tsukamura, Y.; Yoneda, M.; Shibata, K.; Koike, Y.; Nomura, T.; et al. Association between the neutrophil myeloperoxidase index and subsets of bacterial infections. Int. J. Lab. Hematol. 2010, 32, 598–605. [Google Scholar] [CrossRef] [PubMed]
- Boneberg, E.; Hareng, L.; Gantner, F.; Wendel, A.; Hartung, T. Human monocytes express functional receptors for granulocyte colony-stimulating factor that mediate suppression of monokines and interferon-gamma. Blood 2000, 95, 270–276. [Google Scholar] [CrossRef]
- Lotfollahzadeh, S.; Mohri, M.; Bahadori, S.R.; Dezfouly, M.M.; Tajik, P. The relationship between normocytic, hypochromic anaemia and iron concentration together with hepatic enzyme activities in cattle infected with Fasciola hepatica. J. Helminthol. 2008, 82, 85–88. [Google Scholar] [CrossRef]
- Ingvartsen, K.L.; Moyes, K. Nutrition, immune function and health of dairy cattle. Animal 2013, 7, 112–122. [Google Scholar] [CrossRef]
- Chang, C.H.; Huang, T.L.; Huang, S.P.; Tsai, R.K. Neuroprotective effects of recombinant human granulocyte colony-stimulating factor (G-CSF) in a rat model of anterior ischemic optic neuropathy (rAION). Exp. Eye Res. 2014, 118, 109–116. [Google Scholar] [CrossRef]
- Anderlini, P.; Korbling, M.; Dale, D.; Gratwohl, A.; Schmitz, N.; Stroncek, D.; Howe, C.; Leitman, S.; Horowitz, M.; Gluckman, E.; et al. Allogeneic blood stem cell transplantation: Considerations for donors. Blood 1997, 90, 903–908. [Google Scholar] [PubMed]
- Anderlini, P.; Przepiorka, D.; Seong, D.; Miller, P.; Sundberg, J.; Lichtiger, B.; Norfleet, F.; Chan, K.W.; Champlin, R.; Körbling, M. Clinical toxicity and laboratory effects of granulocyte-colony–stimulating factor (filgrastim) mobilization and blood stem cell apheresis from normal donors, and analysis of charges for the procedures. Transfusion 1996, 36, 590–595. [Google Scholar] [CrossRef] [PubMed]
- Stroncek, D.; Clay, M.; Petzoldt, M.; Smith, J.; Jaszcz, W.; Oldham, F.B.; McCullough, J. Treatment of normal individuals with granulocyte-colony stimulating factor: Donor experiences and the effects on the peripheral blood CD34+ cell counts and on the collection of peripheral blood stem cells. Transfusion 1996, 36, 601–610. [Google Scholar] [CrossRef] [PubMed]
- Ihara, A.; Matsui, K.; Minami, R.; Uchida, S.; Ueda, S.; Nishiura, T. Granulocyte colony-stimulating factor increases the platelet volume in peripheral stem cell apheresis donors. Pathophysiol. Haemost. Thromb. 2008, 36, 266–270. [Google Scholar] [CrossRef]
- Thompson, C.B.; Eaton, K.A.; Princiotta, S.M.; Rushin, C.A.; Valeri, C.R. Size dependent platelet subpopulations: Relationship of platelet volume to ultrastructure, enzymatic activity, and function. Br. J. Haematol. 1982, 50, 509–519. [Google Scholar] [CrossRef]






| Item | Close-Up | Lactation |
|---|---|---|
| Ingredient, % of DM | ||
| Alfalfa hay, second or later cuts | - | 25.00 |
| Grass hay | 73.50 | 24.42 |
| Corn grain, ground, dry | 11.78 | 27.12 |
| Soybean meal | - | - |
| Commercial concentrate 1 | 14.71 | 22.04 |
| Minerals and vitamins | - | 1.42 |
| Nutrient composition, % of DM | ||
| CP | 11.16 | 15.05 |
| Starch | 11.12 | 23.09 |
| Ether extract | 2.22 | 2.80 |
| NDF | 49.08 | 36.87 |
| Forage NDF | 44.11 | 28.33 |
| ADF | 25.40 | 21.94 |
| ADL | 3.74 | 4.29 |
| NEL,2 Mcal/kg of DM | 1.46 | 1.63 |
| Item | PEG | CTR | SEM 1 | p-Value | ||
|---|---|---|---|---|---|---|
| Trt | Day | Trt × Day | ||||
| Milk yield, kg/day | 23.62 | 24.08 | 1.16 | 0.77 | <0.01 | 0.39 |
| Fat, % | 3.70 | 3.74 | 0.14 | 0.84 | <0.01 | 0.86 |
| Protein, % | 3.32 | 3.35 | 0.05 | 0.61 | <0.01 | 0.61 |
| Casein, % | 2.55 | 2.56 | 0.04 | 0.89 | <0.01 | 0.75 |
| Lactose, % | 4.83 | 4.77 | 0.04 | 0.30 | <0.01 | 0.24 |
| Urea, mg/dL | 25.95 | 27.12 | 1.02 | 0.42 | <0.01 | 0.40 |
© 2019 by the authors. Licensee MDPI, Basel, Switzerland. This article is an open access article distributed under the terms and conditions of the Creative Commons Attribution (CC BY) license (http://creativecommons.org/licenses/by/4.0/).
Share and Cite
Trimboli, F.; Morittu, V.M.; Di Loria, A.; Minuti, A.; Spina, A.A.; Piccioli-Cappelli, F.; Trevisi, E.; Britti, D.; Lopreiato, V. Effect of Pegbovigrastim on Hematological Profile of Simmental Dairy Cows during the Transition Period. Animals 2019, 9, 841. https://doi.org/10.3390/ani9100841
Trimboli F, Morittu VM, Di Loria A, Minuti A, Spina AA, Piccioli-Cappelli F, Trevisi E, Britti D, Lopreiato V. Effect of Pegbovigrastim on Hematological Profile of Simmental Dairy Cows during the Transition Period. Animals. 2019; 9(10):841. https://doi.org/10.3390/ani9100841
Chicago/Turabian StyleTrimboli, Francesca, Valeria Maria Morittu, Antonio Di Loria, Andrea Minuti, Antonella Anna Spina, Fiorenzo Piccioli-Cappelli, Erminio Trevisi, Domenico Britti, and Vincenzo Lopreiato. 2019. "Effect of Pegbovigrastim on Hematological Profile of Simmental Dairy Cows during the Transition Period" Animals 9, no. 10: 841. https://doi.org/10.3390/ani9100841
APA StyleTrimboli, F., Morittu, V. M., Di Loria, A., Minuti, A., Spina, A. A., Piccioli-Cappelli, F., Trevisi, E., Britti, D., & Lopreiato, V. (2019). Effect of Pegbovigrastim on Hematological Profile of Simmental Dairy Cows during the Transition Period. Animals, 9(10), 841. https://doi.org/10.3390/ani9100841

