Surface Water and Groundwater Suitability for Irrigation Based on Hydrochemical Analysis in the Lower Mayurakshi River Basin, India
Abstract
1. Introduction
2. Materials and Methods
2.1. Study Area
2.2. Sample Design and Data Collection
2.3. Methods of Data Analysis
2.3.1. Ion Balance Error and Reliability of the Data
2.3.2. Measuring the Irrigation Hazards
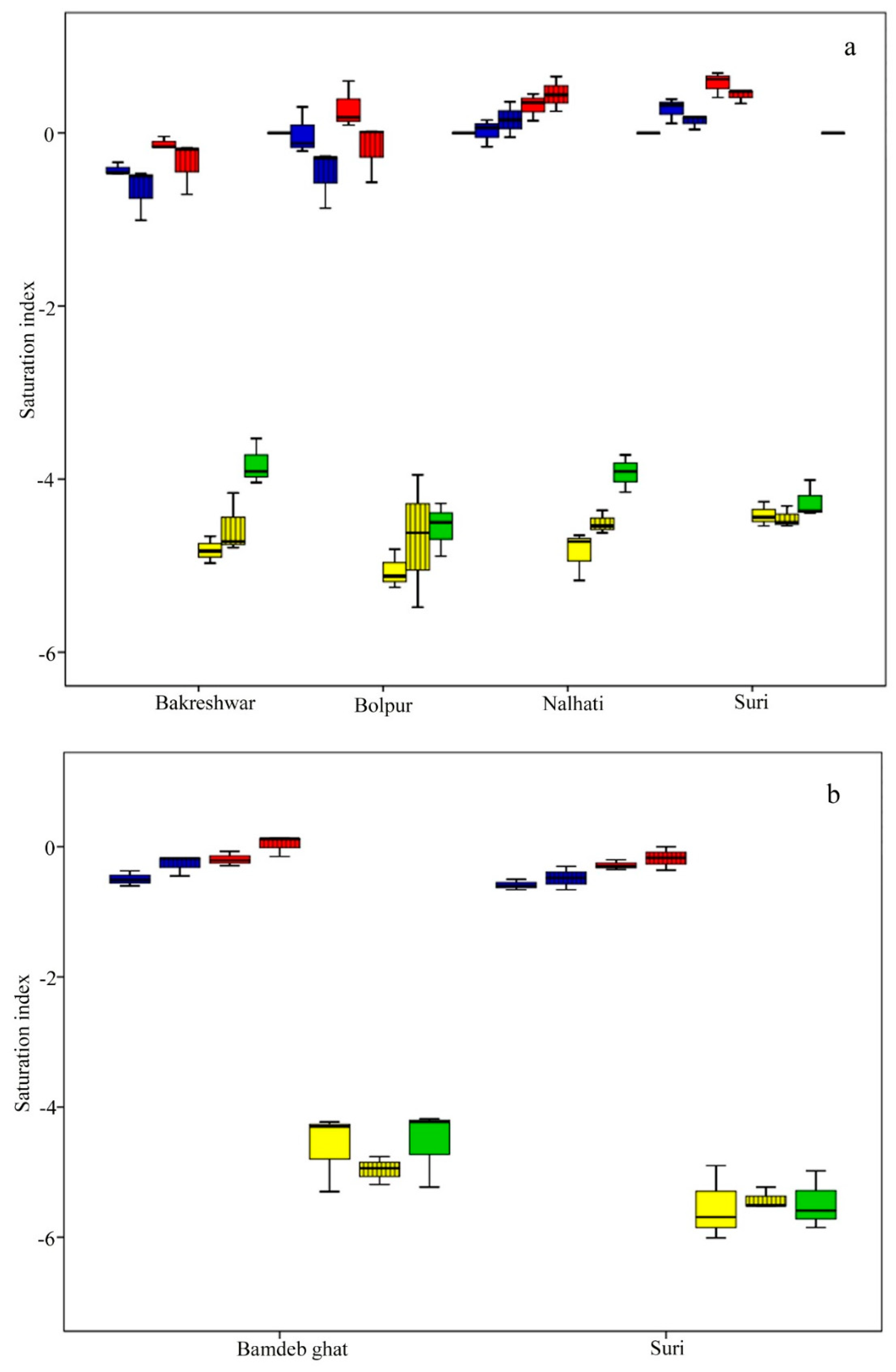
2.3.3. Saturation Index
2.3.4. Processing of Geospatial Data
2.3.5. Analysis of Variance (ANOVA)
3. Results
3.1. General Hydrochemistry
3.1.1. Temperature, pH and EC
3.1.2. Cation Chemistry
3.1.3. Anion Chemistry
3.2. Irrigation Hazards
3.2.1. Sodium Hazard
- Percent Sodium
- Sodium adsorption ratio
- Soluble sodium percentage
3.2.2. Salinity Hazard
3.2.3. Magnesium Hazard
3.3. Relative Suitability of Surface Water and Groundwater for Irrigation
3.4. Spatio–Temporal Variation of Water Quality: Factors and Mechanisms
4. Discussion
5. Conclusions
Supplementary Materials
Author Contributions
Funding
Data Availability Statement
Acknowledgments
Conflicts of Interest
References
- Sarkar, B.; Islam, A. Assessing the suitability of water for irrigation using major physical parameters and ion chemistry: A study of the Churni River, India. Arab. J. Geosci. 2019, 12, 637. [Google Scholar] [CrossRef]
- Ayers, R.S.; Westcot, D.W. Water Quality for Agriculture; Food and Agriculture Organization of the United Nations: Rome, Italy, 1985; Volume 29. [Google Scholar]
- Yidana, S.M.; Banoeng-Yakubo, B.; Akabzaa, T.M. Analysis of groundwater quality using multivariate and spatial analyses in the Keta basin, Ghana. J. Afr. Earth Sci. 2010, 58, 220–234. [Google Scholar] [CrossRef]
- Sarkar, B.; Islam, A.; Majumder, A. Seawater intrusion into groundwater and its impact on irrigation and agriculture: Evidence from the coastal region of West Bengal, India. Reg. Stud. Mar. Sci. 2021, 44, 101751. [Google Scholar] [CrossRef]
- Jeong, H.; Kim, H.; Jang, T. Irrigation water quality standards for indirect wastewater reuse in agriculture: A contribution toward sustainable wastewater reuse in South Korea. Water 2016, 8, 169. [Google Scholar] [CrossRef]
- Simsek, C.; Gunduz, O. IWQ index: A GIS-integrated technique to assess irrigation water quality. Eniron. Monit. Assess. 2007, 128, 277–300. [Google Scholar] [CrossRef]
- Ravikumar, P.; Somashekar, R.K.; Angami, M. Hydrochemistry and evaluation of groundwater suitability for irrigation and drinking purposes in the Markandeya River basin, Belgaum District, Karnataka State, India. Eniron. Monit. Assess. 2011, 173, 459–487. [Google Scholar] [CrossRef]
- Wilcox, L. Classification and Use of Irrigation Waters (Circular No. 969); United States Department of Agriculture: Washington, DC, USA, 1955. Available online: https://ia803201.us.archive.org/10/items/classificationus969wilc/classificationus969wilc.pdf (accessed on 9 May 2020).
- Li, P.; Zhang, Y.; Yang, N.; Jing, L.; Yu, P. Major ion chemistry and quality assessment of groundwater in and around a mountainous tourist town of China. Expo. Health 2016, 8, 239–252. [Google Scholar] [CrossRef]
- Li, P.; He, S.; He, X.; Tian, R. Seasonal hydrochemical characterization and groundwater quality delineation based on matter element extension analysis in a paper wastewater irrigation area, northwest China. Expo. Health 2018, 10, 241–258. [Google Scholar] [CrossRef]
- Jassas, H.; Merkel, B. Assessment of hydrochemical evolution of groundwater and its suitability for drinking and irrigation purposes in Al-Khazir Gomal Basin, Northern Iraq. Environ. Earth Sci. 2015, 74, 6647–6663. [Google Scholar] [CrossRef]
- Ghazaryan, K.; Chen, Y. Hydrochemical assessment of surface water for irrigation purposes and its influence on soil salinity in Tikanlik oasis, China. Environ. Earth Sci. 2016, 75, 383. [Google Scholar] [CrossRef]
- Annual Report 2020–2021. In Directorate of Economics and Statistics; Department of Agriculture, Cooperation and Farmers Welfare, Government of India: Kolkata, India, 2018.
- Khan, H.H.; Khan, A.; Ahmed, S.; Perrin, J. GIS-based impact assessment of land-use changes on groundwater quality: Study from a rapidly urbanizing region of South India. Environ. Earth Sci. 2011, 63, 1289–1302. [Google Scholar] [CrossRef]
- Majumdar, D.; Gupta, N. Nitrate pollution of groundwater and associated human health disorders. Indian J. Environ. Health 2000, 42, 28–39. [Google Scholar]
- Shi, X.; Wang, Y.; Jiao, J.J.; Zhong, J.; Wen, H.; Dong, R. Assessing major factors affecting shallow groundwater geochemical evolution in a highly urbanized coastal area of Shenzhen City, China. J. Geochem. Explor. 2018, 184, 17–27. [Google Scholar] [CrossRef]
- Sunitha, V.; Sudarshan, V.; Reddy, B.R. Hydrogeochemistry of groundwater, Gooty area, Anantapur district, Andhra Pradesh, India. Pollut. Res. 2005, 24, 217. [Google Scholar]
- Wang, P.; Yu, J.; Zhang, Y.; Liu, C. Groundwater recharge and hydrogeochemical evolution in the Ejina Basin, northwest China. J. Hydrol. 2013, 476, 72–86. [Google Scholar] [CrossRef]
- Disli, E. Hydrochemical characteristics of surface and groundwater and suitability for drinking and agricultural use in the Upper Tigris River Basin, Diyarbakır–Batman, Turkey. Environ. Earth Sci. 2017, 76, 500. [Google Scholar] [CrossRef]
- Fulazzaky, M.A. Water quality evaluation system to assess the status and the suitability of the Citarum river water to different uses. Environ. Monit. Assess. 2010, 168, 669–684. [Google Scholar] [CrossRef]
- Rasouli, F.; Pouya, A.K.; Cheraghi, S.A.M. Hydrogeochemistry and water quality assessment of the Kor–Sivand Basin, Fars province, Iran. Environ. Monit. Assess. 2012, 184, 4861–4877. [Google Scholar] [CrossRef]
- Sarkar, B.; Islam, A. Assessing the suitability of groundwater for irrigation in the light of natural forcing and anthropogenic influx: A study in the Gangetic West Bengal, India. Environ. Earth Sci. 2021, 80, 807. [Google Scholar] [CrossRef]
- Kumar, S.K.; Rammohan, V.; Sahayam, J.D.; Jeevanandam, M. Assessment of groundwater quality and hydrogeochemistry of Manimuktha River basin, Tamil Nadu, India. Environ. Monit. Assess. 2009, 159, 341–351. [Google Scholar] [CrossRef]
- Jeevanandam, M.; Kannan, R.; Srinivasalu, S.; Rammohan, V. Hydrogeochemistry and groundwater quality assessment of lower part of the Ponnaiyar River Basin, Cuddalore district, South India. Environ. Monit. Assess. 2007, 132, 263–274. [Google Scholar] [CrossRef]
- Hoque, M.; Islam, A.; Sarkar, B.; Saha, U. Assessing the surface and bottom river water quality for irrigation: A study of Damodar River, India. Int. J. Energy Water Resour. 2022, 1–18. [Google Scholar] [CrossRef]
- DPR for Improvement of Embankments and Ancillary Works in Kandiandother Adjoining Areas of District of Murshidabad; Kandi Final Report; Irrigation and Waterways Directorate, Govt. of West Bengal: Kolkata, India, 2012.
- Beltrán, J.M. Irrigation with saline water: Benefits and environmental impact. Agric. Water Manag. 1999, 40, 183–194. [Google Scholar] [CrossRef]
- Sikdar, P.K.; Dey, S.; Ghosal, U.; Chakraborty, S. Development and Management of Base Flow of a Sand-dominated Alluvial Aquifer of a Large Ephemeral River for Drinking Water Supply in Semi-arid and Fluoride Affected Areas: Example of the River Mayurakshi, Birbhum District, West Bengal, India. J. Geol. Soc. India 2019, 94, 249–259. [Google Scholar] [CrossRef]
- Das, D.; Samanta, G.; Mandal, B.K.; Chowdhury, T.R.; Chanda, C.R.; Chowdhury, P.P.; Basu, G.K.; Chakraborti, D. Arsenic in groundwater in six districts of West Bengal, India. Environ. Geochem. Health 1996, 18, 5–15. [Google Scholar] [CrossRef]
- Pal, S.; Mahato, S.; Giri, B.; Pandey, D.N.; Joshi, P.K. Quantifying monthly water balance to estimate water deficit in Mayurakshi River basin of Eastern India. Environ. Dev. Sustain. 2021, 23, 15986–16014. [Google Scholar] [CrossRef]
- Islam, A.; Deb Barman, S. Drainage basin morphometry and evaluating its role on flood-inducing capacity of tributary basins of Mayurakshi River, India. SN Appl. Sci. 2020, 2, 1087. [Google Scholar] [CrossRef]
- Islam, A.; Deb Barman, S.; Islam, M.; Ghosh, S. Role of Human Interventions in the Evolution of Forms and Processes in the Mayurakshi. In Anthropogeomorphology of Bhagirathi-Hooghly River System in India, 1st ed.; Das, B.C., Ghosh, S., Eds.; CRC Press: Boca Raton, FL, USA; London, UK; New York, NY, USA, 2020; Volume 1, pp. 135–188. [Google Scholar]
- Chakrabarti, B. A Geomorphological Analysis of the Mayurakshi River Basin. Ph.D. Thesis, The University of Burdwan, Bardhaman, India, 9 May 1985. [Google Scholar]
- Islam, A.; Ghosh, S. Economic transformation in the wake of flood: A case of the lower stretch of the Mayurakshi River Basin, India. Environ. Dev. Sustain. 2021, 23, 15550–15590. [Google Scholar] [CrossRef]
- WBPCB. Water Quality Information System. Department of Environment. Government of West Bengal. 2020. Available online: http://emis.wbpcb.gov.in/waterquality/showwqprevdatachoosedist.do (accessed on 28 May 2020).
- Nag, S.K.; Das, S. Quality assessment of groundwater with special emphasis on irrigation and domestic suitability in Suri I & II blocks, Birbhum district, West Bengal, India. India Am. J. Water Resour. 2014, 2, 81–98. [Google Scholar]
- Richards, L.A. Diagnosis and Improvement of Saline and Alkaline Soils; United States Salinity Laboratory Staff, United States Department of Agriculture: Washington, DC, USA, 1954. Available online: https://www.ars.usda.gov/ARSUserFiles/20360500/hb60_pdf/hb60complete.pdf (accessed on 12 June 2020).
- Todd, D.K. Groundwater Hydrology, 3rd ed.; John Wiley & Sons: Hoboken, NJ, USA, 1959; p. 535. [Google Scholar]
- Szabolcs, I. The influence of irrigation water of high sodium carbonate content on soils. Agrokémia Talajt. 1964, 13, 237–246. Available online: http://real.mtak.hu/id/eprint/96046 (accessed on 20 August 2020).
- Zhang, B.; Zhao, D.; Zhou, P.; Qu, S.; Liao, F.; Wang, G. Hydrochemical characteristics of groundwater and dominant water–rock interactions in the Delingha Area, Qaidam Basin, Northwest China. Water 2020, 12, 836. [Google Scholar] [CrossRef]
- Parkhurst, D.L.; Appelo, C.A.J. User’s Guide to PHREEQC (Version 2) a Computer Program for Speciation, Batch-Reaction, One-Dimensional Transport, and Inverse Geochemical Calculations: U.S Geological Survey Water-Resources Investigations Report 99-4259. 1999. Available online: https://pubs.er.usgs.gov/publication/wri994259 (accessed on 21 October 2018).
- Fisher, R.A. 014: On the” Probable Error” of a Coefficient of Correlation Deduced from a Small Sample. 1921. Available online: https://hekyll.services.adelaide.edu.au/dspace/bitstream/2440/15169/1/14.pdf (accessed on 20 June 2020).
- Sarkar, B.; Islam, A.; Das, B.C. Role of declining discharge and water pollution on habitat suitability of fish community in the Mathabhanga-Churni River, India. J. Clean. Prod. 2021, 326, 129426. [Google Scholar] [CrossRef]
- Amalraj, A.; Pius, A. Assessment of groundwater quality for drinking and agricultural purposes of a few selected areas in Tamil Nadu South India: A GIS-based study. Sustain. Water Resour. Manag. 2018, 4, 1–21. [Google Scholar] [CrossRef]
- Piper, A.M. A Graphic Procedure in the Geochemical Interpretation of Water Analysis; United States Geological Survey: Washington, DC, USA, 1953.
- Mukherjee, B.; Rao, M.G.; Karunakaran, C. Genesis of kaolin deposits of Birbhum, West Bengal, India. Clay Miner. 1969, 8, 161–170. [Google Scholar] [CrossRef]
- Jannat, J.N.; Khan, M.S.I.; Islam, H.T.; Islam, M.S.; Khan, R.; Siddique, M.A.B.; Varol, M.; Tokatli, C.; Pal, S.C.; Islam, A.; et al. Hydro-chemical assessment of fluoride and nitrate in groundwater from east and west coasts of Bangladesh and India. J. Clean. Prod. 2022, 372, 133675. [Google Scholar] [CrossRef]
- Li, P.; Wu, J.; Qian, H. Assessment of groundwater quality for irrigation purposes and identification of hydrogeochemical evolution mechanisms in Pengyang County, China. Environ. Earth Sci. 2013, 69, 2211–2225. [Google Scholar] [CrossRef]
- Zhu, B.; Wang, X.; Rioual, P. Multivariate indications between environment and ground water recharge in a sedimentary drainage basin in northwestern China. J. Hydrol. 2017, 549, 92–113. [Google Scholar] [CrossRef]
- Kaufmann, G.; Gabrovšek, F.; Romanov, D. Dissolution and precipitation of fractures in soluble rock. Hydrol. Earth Syst. Sci. Discuss. 2016, 1–30. Available online: https://hess.copernicus.org/preprints/hess-2016-372/ (accessed on 15 August 2020).
- Chandrasekharam, D. Geothermal energy resources of India-Country update. In Proceedings of the World Geothermal Congress, Kyushu-Tohoku, Japan, 28 May–10 June 2000. [Google Scholar]
- CPCB. Action Plan for Rejuvenation of River Dwarka Birbhum. Nodal Agency Public Health Engineering Directorate Department of Public Health Engineering Government of West Bengal West Bengal. 2020. Available online: https://www.wbpcb.gov.in/writereaddata/files/Action%20Plan%20for%20River%20Dwarka.pdf (accessed on 20 December 2020).
- Alam, M.; Rais, S.; Aslam, M. Hydrochemical investigation and quality assessment of ground water in rural areas of Delhi, India. Environ. Earth Sci. 2012, 66, 97–110. [Google Scholar] [CrossRef]
- Arumugam, K.; Elangovan, K. Hydrochemical characteristics and groundwater quality assessment in Tirupur region, Coimbatore district, Tamil Nadu, India. Environ. Geol. 2009, 58, 1509–1520. [Google Scholar] [CrossRef]
- Brindha, K.; Kavitha, R.J.E.E.S. Hydrochemical assessment of surface water and groundwater quality along Uyyakondan channel, south India. Environ. Earth Sci. 2015, 73, 5383–5393. [Google Scholar] [CrossRef]
- Alaya, M.B.; Saidi, S.; Zemni, T.; Zargouni, F. Suitability assessment of deep groundwater for drinking and irrigation use in the Djeffara aquifers (Northern Gabes, south-eastern Tunisia). Environ. Earth Sci. 2014, 71, 3387–3421. [Google Scholar] [CrossRef]
- Golchin, I.; Azhdary Moghaddam, M. Hydro-geochemical characteristics and groundwater quality assessment in Iranshahr plain aquifer, Iran. Environ. Earth Sci. 2016, 75, 53. [Google Scholar] [CrossRef]
- Xu, P.; Feng, W.; Qian, H.; Zhang, Q. Hydrogeochemical characterization and irrigation quality assessment of shallow groundwater in the Central-Western Guanzhong Basin, China. Int. J. Environ. Res. Public Health 2019, 16, 1492. [Google Scholar] [CrossRef]
- Mukherjee, A.; Fryar, A.E. Deeper groundwater chemistry and geochemical modeling of the arsenic affected western Bengal basin, West Bengal, India. Appl. Geochem. 2008, 23, 863–894. [Google Scholar] [CrossRef]
- Yuan, J.; Xu, F.; Deng, G.; Tang, Y.; Li, P. Hydrogeochemistry of shallow groundwater in a karst aquifer system of Bijie City, Guizhou Province. Water 2017, 9, 625. [Google Scholar] [CrossRef]
- He, S.; Li, P.; Wu, J.; Elumalai, V.; Adimalla, N. Groundwater quality under land use/land cover changes: A temporal study from 2005 to 2015 in Xi’an, northwest China. Hum. Ecol. Risk Assess. 2020, 26, 2771–2797. [Google Scholar] [CrossRef]
- Majumdar, N.; Majumdar, R.K.; Mukherjee, A.L.; Bhattacharya, S.K.; Jani, R.A. Seasonal variations in the isotopes of oxygen and hydrogen in geothermal waters from Bakreshwar and Tantloi, Eastern India: Implications for groundwater characterization. J. Asian Earth Sci. 2005, 25, 269–278. [Google Scholar] [CrossRef]
- Majumdar, N.; Mukherjee, A.L.; Majumdar, R.K. Mixing hydrology and chemical equilibria in Bakreshwar geothermal area, Eastern India. J. Volcanol. Geotherm. Res. 2009, 183, 201–212. [Google Scholar] [CrossRef]
- Chaudhuri, H.; Maji, C.; Seal, K.; Pal, S.; Mandal, M.K. Exploration of geothermal activity using time series analysis of subsurface gases data from Bakreswar hot springs area, eastern India. Arab. J. Geosci. 2018, 11, 324. [Google Scholar] [CrossRef]
- Singh, H.K.; Chandrasekharam, D.; Trupti, G.; Singh, B. Geochemical characteristics of Bakreswar and Tantloi geothermal province, India. In Proceedings of the World Geothermal Congress, Melbourne, Australia, 19–25 April 2015; pp. 1–5. [Google Scholar]
- Haritash, A.K. Hydrogeochemical characterization and suitability appraisal of groundwater around stone quarries in Mahendragarh, India. Environ. Earth Sci. 2018, 77, 252. [Google Scholar] [CrossRef]
- Peckenham, J.M.; Thornton, T.; Whalen, B. Sand and gravel mining: Effects on groundwater resources in Hancock county, Maine, USA. Environ. Geol. 2009, 56, 1103–1114. [Google Scholar] [CrossRef]
- Khalid, S. An assessment of groundwater quality for irrigation and drinking purposes around brick kilns in three districts of Balochistan province, Pakistan, through water quality index and multivariate statistical approaches. J. Geochem. Explor. 2019, 197, 14–26. [Google Scholar] [CrossRef]
- Kumarasamy, P.; Dahms, H.U.; Jeon, H.J.; Rajendran, A.; James, R.A. Irrigation water quality assessment—An example from the Tamiraparani river, Southern India. Arab. J. Geosci. 2014, 7, 5209–5220. [Google Scholar] [CrossRef]












| Surface Water | |||||||
| Suri | Suri (Contd.) | Sadhak Bam Deb Ghat | Sadhak Bam Deb Ghat (Contd.) | ||||
| Pre-Mon | Post-Mon | Pre-Mon | Post-Mon | Pre-Mon | Post-Mon | Pre-Mon | Post-Mon |
| 08 May 2019 | 10 Jan. 2019 | 20 Mar. 2018 | 01 Nov. 2018 | 08 May 2019 | 10 Jan. 2019 | 20 Mar. 2018 | 01 Nov. 2018 |
| 04 Apr. 2019 | 17 Oct. 2019 | 13 Feb. 2018 | 11 Dec. 2018 | 04 Apr. 2019 | 17 Oct. 2019 | 13 Feb. 2018 | 11 Dec. 2018 |
| 19 Mar. 2019 | 22 Nov. 2019 | 04 May 2017 | 17 Jan. 2017 | 19 Mar. 2019 | 22 Nov. 2019 | 04 May 2017 | 17 Jan. 2017 |
| 07 Feb. 2019 | 20 Dec. 2019 | 13 Apr. 2017 | 26 Oct. 2017 | 07 Feb. 2019 | 20 Dec. 2019 | 13 Apr. 2017 | 26 Oct. 2017 |
| 18 May 2018 | 17 Jan. 2018 | 22 Mar. 2017 | 23 Nov. 2017 | 18 May 2018 | 17 Jan. 2018 | 22 Mar. 2017 | 23 Nov. 2017 |
| 10 Apr. 2018 | 04 Oct. 2018 | 14 Feb. 2017 | 13 Dec. 2017 | 10 Apr. 2018 | 04 Oct. 2018 | 14 Feb. 2017 | 13 Dec. 2017 |
| Groundwater | |||||||
| Bolpur | Nalhati | Suri | Bakreshwar | ||||
| Pre-Mon | Post-Mon | Pre-Mon | Post-Mon | Pre-Mon | Post-Mon | Pre-Mon | Post-Mon |
| 04 Apr. 2019 | 18 Oct. 2018 | 04 Apr. 2019 | 17 Oct. 2019 | 04 Apr. 2019 | 17 Oct. 2019 | 04 Apr. 2019 | 17 Oct. 2019 |
| 11 Apr. 2018 | 05 Oct. 2018 | 10 Apr. 2018 | 04 Oct. 2018 | 11 Apr. 2018 | 05 Oct. 2018 | 10 Apr. 2018 | 04 Oct. 2018 |
| 12 Apr. 2017 | 26 Oct. 2017 | 13 Apr. 2017 | 25 Oct. 2017 | 12 Apr. 2017 | 26 Oct. 2017 | 12 Apr. 2017 | 26 Oct. 2017 |
| Irrigation Hazards | Acronym | Equations | Range | Water Class | References | |
|---|---|---|---|---|---|---|
| Sodium hazards | % Na | (2) | <20 | Excellent | [8] | |
| 20–40 | Good | |||||
| 40–60 | Permissible | |||||
| 60–80 | Doubtful | |||||
| >80 | Unsuitable | |||||
| SAR | (3) | <10 | Excellent | [37] | ||
| 10–18 | Good | |||||
| 18–26 | Doubtful | |||||
| >26 | Unsuitable | |||||
| SSP | (4) | <50 | Suitable | [38,39] | ||
| >50 | Unsuitable | |||||
| Magnesium hazards | MH | (5) | <50 | Suitable | ||
| >50 | Unsuitable | |||||
| Salinity hazards | PS | (6) | <3 | Excellent to Good | [4] | |
| 3–5 | Good to injurious | |||||
| >5 | Injurious to unsatisfactory | |||||
| Parameters | Pre-Mon | Post-Mon | ||||||
|---|---|---|---|---|---|---|---|---|
| Mean ± SD | Range (Min–Max) | Kurtosis | Skewness | Mean ± SD | Range (Min–Max) | Kurtosis | Skewness | |
| pH | 7.75 ± 0.2 | 7.45–7.96 | −0.75 | −0.53 | 7.64 ± 0.17 | 7.45–7.88 | −1.71 | 0.13 |
| EC (µS/cm) | 321.56 ± 215.17 | 160.08–639.7 | −1.45 | 1 | 213.57 ± 78.54 | 147.83–353 | 1.39 | 1.37 |
| Ca2+ (mg/L) | 26.89 ± 14.24 | 16.8–53.2 | 2.32 | 1.67 | 26.63 ± 18.39 | 15.68–63.63 | 5.4 | 2.3 |
| Mg2+ (mg/L) | 12.14 ± 4.83 | 5.93–19.44 | −0.36 | 0.44 | 9.38 ± 2.01 | 6.13–11.64 | 0.07 | −0.72 |
| Na+ (mg/L) | 27.77 ± 20.45 | 11.5–65 | 2.05 | 1.5 | 22.29 ± 9.47 | 10–35.33 | −1.03 | 0.05 |
| K+ (mg/L) | 5.61 ± 4.31 | 1.75–13.25 | 1.51 | 1.25 | 4.18 ± 1.67 | 2.25–6.37 | −2.06 | 0.21 |
| Cl− (mg/L) | 41.71 ± 41.51 | 6.95–112.31 | 0.36 | 1.25 | 24.31 ± 11.26 | 13.67–38.22 | −2.35 | 0.4 |
| SO42− (mg/L) | 9.68 ± 1.88 | 7.02–11.98 | −1.24 | −0.42 | 14.52 ± 6.20 | 7.7–23.55 | −1.24 | 0.7 |
| TDS (mg/L) | 188.11 ± 117.67 | 101.5–340 | −1.88 | 0.93 | 137.5 ± 40.59 | 94–203.5 | 0.19 | 0.71 |
| PO43− (mg/L) | 0.06 ± 0.02 | 0.05–0.09 | 2.31 | 1.54 | 0.05 ± 0.01 | 0.04–0.07 | 2.77 | 1.57 |
| NO3− (mg/L) | 0.17 ± 0.05 | 0.11–0.23 | −1.85 | −0.56 | 0.17 ± 0.08 | 0.07–0.27 | −1.84 | −0.21 |
| Parameters | Pre-Mon | Post-Mon | ||||||
|---|---|---|---|---|---|---|---|---|
| Mean ± SD | Range (Min–Max) | Kurtosis | Skewness | Mean ± SD | Range (Min–Max) | Kurtosis | Skewness | |
| pH | 7.63 ± 1.09 | 6.08–9.36 | −1.15 | 0.08 | 7.60 ± 0.88 | 6.52–9 | −1.43 | 0.3 |
| EC (µS/cm) | 758.73 ± 210.58 | 528.3–1233 | 0.77 | 0.95 | 767.33 ± 225.97 | 434–1168 | −0.79 | 0.25 |
| Ca2+ (mg/L) | 44.47 ± 22.62 | 10.4–80 | −1.01 | −0.15 | 55.25 ± 53.13 | 2.31–153.84 | −0.22 | 0.99 |
| Mg2+ (mg/L) | 22.53 ± 14.21 | 1.92–51.52 | 0.24 | 0.46 | 21.37 ± 19.84 | 0.89–55.68 | −1.33 | 0.54 |
| Na+ (mg/L) | 52.83 ± 33.18 | 19.3–140.2 | 3.95 | 1.8 | 65.46 ± 38.8 | 28–140 | −0.1 | 1.14 |
| K+ (mg/L) | 2.9 ± 2.06 | 1–7 | 0.25 | 1.27 | 4.48 ± 2.66 | 2–10 | 0.5 | 1.32 |
| Cl− (mg/L) | 126.34 ± 53.94 | 46.79–246.44 | 1.08 | 0.9 | 137.79 ± 68.61 | 24.95–274.52 | 0.05 | 0.43 |
| SO42− (mg/L) | 41.04 ± 21.33 | 17.4–84.86 | −0.3 | 0.76 | 33.22 ± 15.4 | 3.73–55.38 | 0.16 | −0.78 |
| TDS (mg/L) | 541.17 ± 213.79 | 264–1088 | 3.36 | 1.45 | 528.17 ± 176.06 | 290–814 | −0.82 | 0.53 |
| PO43− (mg/L) | 0.03 ± 0.01 | 0.02–0.04 | −1.52 | 0.07 | 0.07 ± 0.06 | 0.02–0.18 | −0.27 | 1.14 |
| NO3− (mg/L) | 0.74 ± 0.32 | 0.15–1.18 | −0.81 | −0.47 | 0.56 ± 0.28 | 0.19–1 | −1.32 | −0.04 |
| Parameters | Range | Water Class | Groundwater | Surface Water | ||
|---|---|---|---|---|---|---|
| Pre-Mon | Post-Mon | Pre-Mon | Post-Monsoon | |||
| (% of Samples) | (% of Samples) | (% of Samples) | (% of Samples) | |||
| % Na [8] | <20 | Excellent | 25 | 33.33 | 0 | 0 |
| 20–40 | Good | 41.67 | 25 | 83.33 | 66.67 | |
| 40–60 | Permissible | 8.33 | 8.33 | 16.67 | 33.33 | |
| 60–80 | Doubtful | 8.33 | 8.33 | 0 | 0 | |
| >80 | Unsuitable | 16.67 | 25 | 0 | 0 | |
| SAR [38] | <10 | Excellent | 100 | 100 | 100 | 100 |
| 10–18 | Good | 0 | 0 | 0 | 0 | |
| 18–26 | Doubtful | 0 | 0 | 0 | 0 | |
| >26 | Unsuitable | 0 | 0 | 0 | 0 | |
| SSP [39] | <50 | Suitable | 75 | 66.67 | 100 | 100 |
| >50 | Unsuitable | 25 | 33.33 | 0 | 0 | |
| MH [40] | <50 | Suitable | 58.33 | 58.33 | 83.33 | 83.33 |
| >50 | Unsuitable | 41.66 | 41.66 | 16.67 | 16.67 | |
| PS [4] | <3 | Excellent to Good | 25 | 25 | 83.33 | 100 |
| 5-Mar | Good to injurious | 58.33 | 33.33 | 16.67 | 0 | |
| >5 | Injurious to unsatisfactory | 16.67 | 41.67 | 0 | 0 | |
| Classes for Salinity Hazard | Degree of Irrigation Hazard | EC µS/cm | Groundwater | Surface Water | TDS mg/L | Groundwater | Surface Water | Potential Harm and Appropriate Control for Irrigation Water Use | ||||
|---|---|---|---|---|---|---|---|---|---|---|---|---|
| Pre-Mon | Post-Mon | Pre-Mon | Post-Mon | Pre-Mon | Post-Mon | Pre-Mon | Post-Mon | |||||
| (% of Samples) | (%of Samples) | (% of Samples) | (%of Samples) | (% of Samples) | (%of Samples) | (% of Samples) | (%of Samples) | |||||
| C1 | Low | <250 | 0 | 0 | 66.67 | 66.67 | <150 | 0 | 0 | 66.67 | 66.67 | Minimum salinity risk; optional management |
| C2 | Medium | 251–750 | 58.33 | 41.67 | 33.33 | 33.33 | 150–500 | 41.67 | 41.67 | 33.33 | 33.33 | Medium salinity risk; more management is required; salt-sensitive crops may suffer harm. |
| C3 | High | 751–2250 | 41.67 | 58.33 | 0 | 0 | 500–1500 | 58.33 | 58.33 | 0 | 0 | Crops with a limited tolerance to salinity to suffer damage; irrigation requires quality water. |
| C4 | Very high | 2250–5000 | 0 | 0 | 0 | 0 | >1500 | 0 | 0 | 0 | 0 | The management of salt-tolerant plants, adequate soil drainage, and excessive irrigation for leaching is necessary to prevent damage to crops with limited tolerance for salinity. |
| Formation | Age |
| Alluvium laterites and lateritic gravel with silicified fossil wood | Recent |
| Clay beds ferruginous and feldspathic sandstones | Tertiary |
| Rajmahal traps | Middle Jurassic |
| Flaggy shales, clays and compact sandstones (Dubrajpur beds) | Lower Jurassic |
| Sandstones, shales with coal seams (Barakar Series) | Permian (Gondwana) |
| Unconformity | |
| Granites, Granite-gneisses, biotite-schists, calc-granulites with quartz and pegmatite veins | Archaean |
Publisher’s Note: MDPI stays neutral with regard to jurisdictional claims in published maps and institutional affiliations. |
© 2022 by the authors. Licensee MDPI, Basel, Switzerland. This article is an open access article distributed under the terms and conditions of the Creative Commons Attribution (CC BY) license (https://creativecommons.org/licenses/by/4.0/).
Share and Cite
Ghosh, S.; Sarkar, B.; Islam, A.; Shit, P.K.; Quesada-Román, A.; Gazi, H.A.R. Surface Water and Groundwater Suitability for Irrigation Based on Hydrochemical Analysis in the Lower Mayurakshi River Basin, India. Geosciences 2022, 12, 415. https://doi.org/10.3390/geosciences12110415
Ghosh S, Sarkar B, Islam A, Shit PK, Quesada-Román A, Gazi HAR. Surface Water and Groundwater Suitability for Irrigation Based on Hydrochemical Analysis in the Lower Mayurakshi River Basin, India. Geosciences. 2022; 12(11):415. https://doi.org/10.3390/geosciences12110415
Chicago/Turabian StyleGhosh, Susmita, Biplab Sarkar, Aznarul Islam, Pravat Kumar Shit, Adolfo Quesada-Román, and Harun Al Rasid Gazi. 2022. "Surface Water and Groundwater Suitability for Irrigation Based on Hydrochemical Analysis in the Lower Mayurakshi River Basin, India" Geosciences 12, no. 11: 415. https://doi.org/10.3390/geosciences12110415
APA StyleGhosh, S., Sarkar, B., Islam, A., Shit, P. K., Quesada-Román, A., & Gazi, H. A. R. (2022). Surface Water and Groundwater Suitability for Irrigation Based on Hydrochemical Analysis in the Lower Mayurakshi River Basin, India. Geosciences, 12(11), 415. https://doi.org/10.3390/geosciences12110415

