The Association of Family Incivility with Adolescent Depression: A Moderated Mediation Model
Abstract
1. Introduction
1.1. Influence of Family Incivility on Adolescent Depression
1.2. Self-Compassion as a Mediator
1.3. Moderating Role of Adolescent Sex Differences
1.4. The Present Study
2. Method
2.1. Participants and Procedure
2.2. Measures
2.3. Data Analysis
3. Results
3.1. Attrition Analyses
3.2. Descriptive Statistics
3.3. Moderated Mediation Analyses
4. Discussion
4.1. Indirect Association of Family Incivility with Depression via Self-Compassion Among Females
4.2. Direct Association of Family Incivility with Depression Among Males
4.3. Implications
4.4. Limitations and Future Directions
5. Conclusions
Supplementary Materials
Author Contributions
Funding
Institutional Review Board Statement
Informed Consent Statement
Data Availability Statement
Conflicts of Interest
References
- Chen, P.; Harris, K.M. Association of Positive Family Relationships with Mental Health Trajectories From Adolescence to Midlife. JAMA Pediatr. 2019, 173, e193336. [Google Scholar] [CrossRef]
- Yap, M.B.; Pilkington, P.D.; Ryan, S.M.; Jorm, A.F. Parental factors associated with depression and anxiety in young people: A systematic review and meta-analysis. J. Affect. Disord. 2014, 156, 8–23. [Google Scholar] [CrossRef] [PubMed]
- Lim, S.; Tai, K. Family incivility and job performance: A moderated mediation model of psychological distress and core self-evaluation. J. Appl. Psychol. 2014, 99, 351–359. [Google Scholar] [CrossRef] [PubMed]
- Bai, Q.; Bai, S.; Huang, Y.; Hsueh, F.-H.; Wang, P. Family incivility and cyberbullying in adolescence: A moderated mediation model. Comput. Hum. Behav. 2020, 110, 106315. [Google Scholar] [CrossRef]
- Jin, S.; Miao, M. Family Incivility and Cyberbullying Perpetration Among College Students: Negative Affect as a Mediator and Dispositional Mindfulness as a Moderator. J. Interpers. Violence 2021, 37, 8862605211063000. [Google Scholar] [CrossRef]
- Jin, S.; Liu, J.; Miao, M. Family Incivility Impedes Interpersonal Adaptation and Increases Loneliness in Adolescents: Self-Compassion as a Mediator. Mindfulness 2023, 14, 2014–2025. [Google Scholar] [CrossRef]
- North, R.J.; Holahan, C.J.; Moos, R.H.; Cronkite, R.C. Family support, family income, and happiness: A 10-year perspective. J. Fam. Psychol. 2008, 22, 475–483. [Google Scholar] [CrossRef]
- Rueger, S.Y.; Malecki, C.K.; Pyun, Y.; Aycock, C.; Coyle, S. A meta-analytic review of the association between perceived social support and depression in childhood and adolescence. Psychol. Bull. 2016, 142, 1017–1067. [Google Scholar] [CrossRef]
- Li, M.; Gao, T.; Su, Y.; Zhang, Y.; Yang, G.; D’Arcy, C.; Meng, X. The Timing Effect of Childhood Maltreatment in Depression: A Systematic Review and meta-Analysis. Trauma Violence Abus. 2023, 24, 2560–2580. [Google Scholar] [CrossRef]
- Jones, M.S.; Kevorkian, S.S.; Lehmann, P.S.; Chouhy, C.; Meldrum, R.C. Adverse childhood experiences, gender, and suicidality among Florida high school students: Examining intervening mechanisms. Child Abus. Negl. 2024, 153, 106834. [Google Scholar] [CrossRef]
- Wu, J.; Liu, S.; Luo, J.; Li, X.; You, J. The effects of childhood abuse, depression, and self-compassion on adolescent nonsuicidal self-injury: A moderated mediation model. Child Abus. Negl. 2023, 136, 105993. [Google Scholar] [CrossRef] [PubMed]
- Ren, S.; Babalola, M.T.; Ogbonnaya, C.; Hochwarter, W.A.; Akemu, O.; Agyemang-Mintah, P. Employee thriving at work: The long reach of family incivility and family support. J. Oganizational Behav. 2022, 43, 17–35. [Google Scholar] [CrossRef]
- Apsley, H.B.; Padilla-Walker, L.M. Longitudinal links between parents’ mental health, parenting, and adolescents’ mental health: Moderation by adolescent sex. J. Fam. Psychol. 2020, 34, 886–892. [Google Scholar] [CrossRef] [PubMed]
- Neff, K.D. Neff-Self-Compassion: An Alternative Conceptualization of a Healthy Attitude Toward Oneself. Self Identity 2003, 2, 85–101. [Google Scholar] [CrossRef]
- Neff, K.D. Self-Compassion: Theory, Method, Research, and Intervention. Annu. Rev. Psychol. 2023, 74, 193–218. [Google Scholar] [CrossRef]
- Neff, K.D. The Development and Validation of a Scale to Measure Self-Compassion. Self Identity 2003, 2, 223–250. [Google Scholar] [CrossRef]
- Marsh, I.C.; Chan SW, Y.; MacBeth, A. Self-compassion and Psychological Distress in Adolescents-a Meta-analysis. Mindfulness 2018, 9, 1011–1027. [Google Scholar] [CrossRef]
- Diedrich, A.; Grant, M.; Hofmann, S.G.; Hiller, W.; Berking, M. Self-compassion as an emotion regulation strategy in major depressive disorder. Behav. Res. Ther. 2014, 58, 43–51. [Google Scholar] [CrossRef]
- Pang, Y.; Li, W.; Song, C. Longitudinal associations between self-compassion, depression, and suicidal ideation in adolescent boys and girls. Stress Health 2024, 40, e3403. [Google Scholar] [CrossRef]
- Hood, C.O.; Ross, L.T.; Wills, N. Family factors and depressive symptoms among college students: Understanding the role of self-compassion. J. Am. Coll. Health 2020, 68, 683–687. [Google Scholar] [CrossRef]
- Neff, K.D.; McGehee, P. Self-compassion and Psychological Resilience Among Adolescents and Young Adults. Self Identity 2010, 9, 225–240. [Google Scholar] [CrossRef]
- Crick, N.R.; Dodge, K.A. A Review and Reformulation of Social Information-Processing Mechanisms in Children’s Social Adjustment. Psychol. Bull. 1994, 115, 74–101. [Google Scholar] [CrossRef]
- Lau, J.Y.; Waters, A.M. Annual Research Review: An expanded account of information-processing mechanisms in risk for child and adolescent anxiety and depression. J. Child Psychol. Psychiatry 2017, 58, 387–407. [Google Scholar] [CrossRef] [PubMed]
- Miller, K.F.; Margolin, G.; Shapiro, L.S.; Timmons, A.C. Adolescent Life Stress and the Cortisol Awakening Response: The Moderating Roles of Attachment and Sex. J. Res. Adolesc. 2017, 27, 34–48. [Google Scholar] [CrossRef] [PubMed]
- Mennen, F.E.; Negriff, S.; Schneiderman, J.U.; Trickett, P.K. Longitudinal associations of maternal depression and adolescents’ depression and behaviors: Moderation by maltreatment and sex. J. Fam. Psychol. 2018, 32, 240–250. [Google Scholar] [CrossRef]
- Hodes, G.E.; Epperson, C.N. Sex Differences in Vulnerability and Resilience to Stress Across the Life Span. Biol. Psychiatry 2019, 86, 421–432. [Google Scholar] [CrossRef]
- Kryski, K.R.; Smith, H.J.; Sheikh, H.I.; Singh, S.M.; Hayden, E.P. HPA axis reactivity in early childhood: Associations with symptoms and moderation by sex. Psychoneuroendocrinology 2013, 38, 2327–2336. [Google Scholar] [CrossRef]
- Herringa, R.J.; Birn, R.M.; Ruttle, P.L.; Burghy, C.A.; Stodola, D.E.; Davidson, R.J.; Essex, M.J. Childhood maltreatment is associated with altered fear circuitry and increased internalizing symptoms by late adolescence. Proc. Natl. Acad. Sci. USA 2013, 110, 19119–19124. [Google Scholar] [CrossRef]
- Martin-Pinon, O.; Erath, S.A.; El-Sheikh, M. Linking autonomic nervous system reactivity with sleep in adolescence: Sex as a moderator. Dev. Psychobiol. 2021, 63, 650–661. [Google Scholar] [CrossRef]
- Whittle, S.; Yucel, M.; Yap, M.B.; Allen, N.B. Sex differences in the neural correlates of emotion: Evidence from neuroimaging. Biol. Psychol. 2011, 87, 319–333. [Google Scholar] [CrossRef]
- Yarnell, L.M.; Stafford, R.E.; Neff, K.D.; Reilly, E.D.; Knox, M.C.; Mullarkey, M. Meta-Analysis of Gender Differences in Self-Compassion. Self Identity 2015, 14, 499–520. [Google Scholar] [CrossRef]
- Bluth, K.; Campo, R.A.; Futch, W.S.; Gaylord, S.A. Age and Gender Differences in the Associations of Self-Compassion and Emotional Well-being in A Large Adolescent Sample. J. Youth Adolesc. 2017, 46, 840–853. [Google Scholar] [CrossRef] [PubMed]
- Henje, E.; Wiberg, M.; Dennhag, I. Translation and validation of the Swedish version of the Self-Compassion Scale for Youth. Aust. Psychol. 2023, 59, 24–35. [Google Scholar] [CrossRef]
- Liu, Q.-Q.; Yang, X.-J.; Hu, Y.-T.; Zhang, C.-Y. Peer victimization, self-compassion, gender and adolescent mobile phone addiction: Unique and interactive effects. Child. Youth Serv. Rev. 2020, 118, 105397. [Google Scholar] [CrossRef]
- Xie, M.; Jiang, Y.; Zilioli, S.; Xiang, S.; Zhao, S.; Lin, D. Parent-Child Separation and Diurnal Cortisol Rhythms Among Left-Behind Adolescents: The Moderating Role of Sex. J. Youth Adolesc. 2023, 52, 2144–2157. [Google Scholar] [CrossRef]
- Brown, S.; Fite, P.J.; Stone, K.; Richey, A.; Bortolato, M. Associations between emotional abuse and neglect and dimensions of alexithymia: The moderating role of sex. Psychol. Trauma Theory Res. Pract. Policy 2018, 10, 300–308. [Google Scholar] [CrossRef]
- Gong, X.; Xie, X.-Y.; Xu, R.; Luo, Y.-J. Psychometric Properties of the Chinese Versions of DASS-21 in Chinese College Students. Chin. J. Clin. Psychol. 2010, 18, 443–446. [Google Scholar] [CrossRef]
- Lovibond, P.F.; Lovibond, S.H. The structure of negative emotional states: Comparison of the depression anxiety stress scales (DASS) with the beck depression and anxiety inventories. Behav. Res. Ther. 1995, 33, 335–343. [Google Scholar] [CrossRef]
- Hayes, A.F. Introduction to Mediation, Moderation, and Conditional Process Analysis: A Regression-Based Approach, 2nd ed.; The Guilford Press: New York, NY, USA, 2018. [Google Scholar]
- Ogbaselase, F.A.; Mancini, K.J.; Luebbe, A.M. Indirect effect of family climate on adolescent depression through emotion regulatory processes. Emotion 2022, 22, 1017–1029. [Google Scholar] [CrossRef]
- Brummelman, E.; Thomaes, S. How Children Construct Views of Themselves: A Social-Developmental Perspective. Child Dev. 2017, 88, 1763–1773. [Google Scholar] [CrossRef]
- Li, S.H.; Graham, B.M. Why are women so vulnerable to anxiety, trauma-related and stress-related disorders? The potential role of sex hormones. Lancet Psychiatry 2017, 4, 73–82. [Google Scholar] [CrossRef] [PubMed]
- Bale, T.L.; Epperson, C.N. Sex differences and stress across the lifespan. Nat. Neurosci. 2015, 18, 1413–1420. [Google Scholar] [CrossRef] [PubMed]
- Lin, Y.; Liu, Q.X.; Yu, S.; Zhou, Z. The Relationship between Parents Neglect and Online Gaming Addiction among Adolescents: The Mediating Role of Hope and Gender Difference. Psychol. Dev. Educ. 2021, 37, 109–119. [Google Scholar] [CrossRef]
- Ritschel, L.A.; Cassiello-Robbins, C. Hope and depression and personality disorders. Curr. Opin. Psychol. 2023, 49, 101507. [Google Scholar] [CrossRef]
- Tiwari, A.; Gonzalez, A. Biological alterations affecting risk of adult psychopathology following childhood trauma: A review of sex differences. Clin. Psychol. Rev. 2018, 66, 69–79. [Google Scholar] [CrossRef]
- Chaplin, T.M.; Turpyn, C.C.; Fischer, S.; Martelli, A.M.; Ross, C.E.; Leichtweis, R.N.; Miller, A.B.; Sinha, R. Parenting-focused mindfulness intervention reduces stress and improves parenting in highly-stressed mothers of adolescents. Mindfulness 2021, 12, 450–462. [Google Scholar] [CrossRef]
- Xie, R.; Wang, D.; Wu, W.; Yuan, Z.; Lin, X.; Li, W.; Ding, W. Bidirectional Longitudinal Relationship Between Chinese Children’s Paternal and Maternal Attachment and Self-Compassion. Mindfulness 2022, 13, 2857–2867. [Google Scholar] [CrossRef]
- Song, H.; Thompson, R.A.; Ferrer, E. Attachment and self-evaluation in Chinese adolescents: Age and gender differences. J. Adolesc. 2009, 32, 1267–1286. [Google Scholar] [CrossRef]


| Cases | Percentage (%) | |
|---|---|---|
| Sex | ||
| Female | 563 | 56.4 |
| Male | 436 | 43.6 |
| Only-child | ||
| Yes | 177 | 17.7 |
| No | 821 | 82.2 |
| Missing value | 1 | 0.1 |
| Father’s education | ||
| Primary school or below | 105 | 10.5 |
| Junior high school | 613 | 61.4 |
| Senior high school | 149 | 14.9 |
| college | 63 | 6.3 |
| Bachelor or above | 62 | 6.2 |
| Missing value | 7 | 0.7 |
| Mother’s education | ||
| Primary school or below | 184 | 18.4 |
| Junior high school | 596 | 59.7 |
| Senior high school | 99 | 9.9 |
| college | 65 | 6.5 |
| Bachelor or above | 44 | 4.4 |
| Missing value | 11 | 1.1 |
| M | SD | 1 | 2 | 3 | 4 | 5 | 6 | |
|---|---|---|---|---|---|---|---|---|
| 1 Age | 16.58 | 0.54 | ||||||
| 2 Sex | - | - | −0.08 * | |||||
| 3 Only child | - | - | 0.02 | 0.16 ** | ||||
| 4 T1 family incivility | 1.85 | 0.71 | 0.01 | −0.02 | −0.03 | |||
| 5 T1 self-compassion | 3.16 | 0.52 | −0.02 | −0.08 * | −0.07 * | −0.27 ** | ||
| 6 T1 Depression | 1.56 | 0.50 | −0.01 | 0.03 | 0.00 | 0.42 ** | −0.57 ** | |
| 7 T2 Depression | 1.54 | 0.54 | 0.04 | 0.004 | 0.01 | 0.40 ** | −0.51 ** | 0.74 ** |
| T1 Self-Compassion | T2 Depression | |||||
|---|---|---|---|---|---|---|
| B | SE | p | B | SE | p | |
| Only child | −0.09 | 0.04 | 0.018 | 0.02 | 0.03 | 0.594 |
| T1 Depression | −0.58 | 0.03 | <0.001 | 0.66 | 0.03 | <0.001 |
| X (T1 FI) | 0.12 | 0.06 | 0.059 | 0.23 | 0.05 | <0.001 |
| M (T1 self-compassion) | −0.07 | 0.08 | 0.357 | |||
| W (Sex) | 0.12 | 0.08 | 0.121 | 0.29 | 0.17 | 0.089 |
| X × W | −0.09 | 0.04 | 0.015 | −0.10 | 0.03 | 0.004 |
| M × W | −0.04 | 0.05 | 0.327 | |||
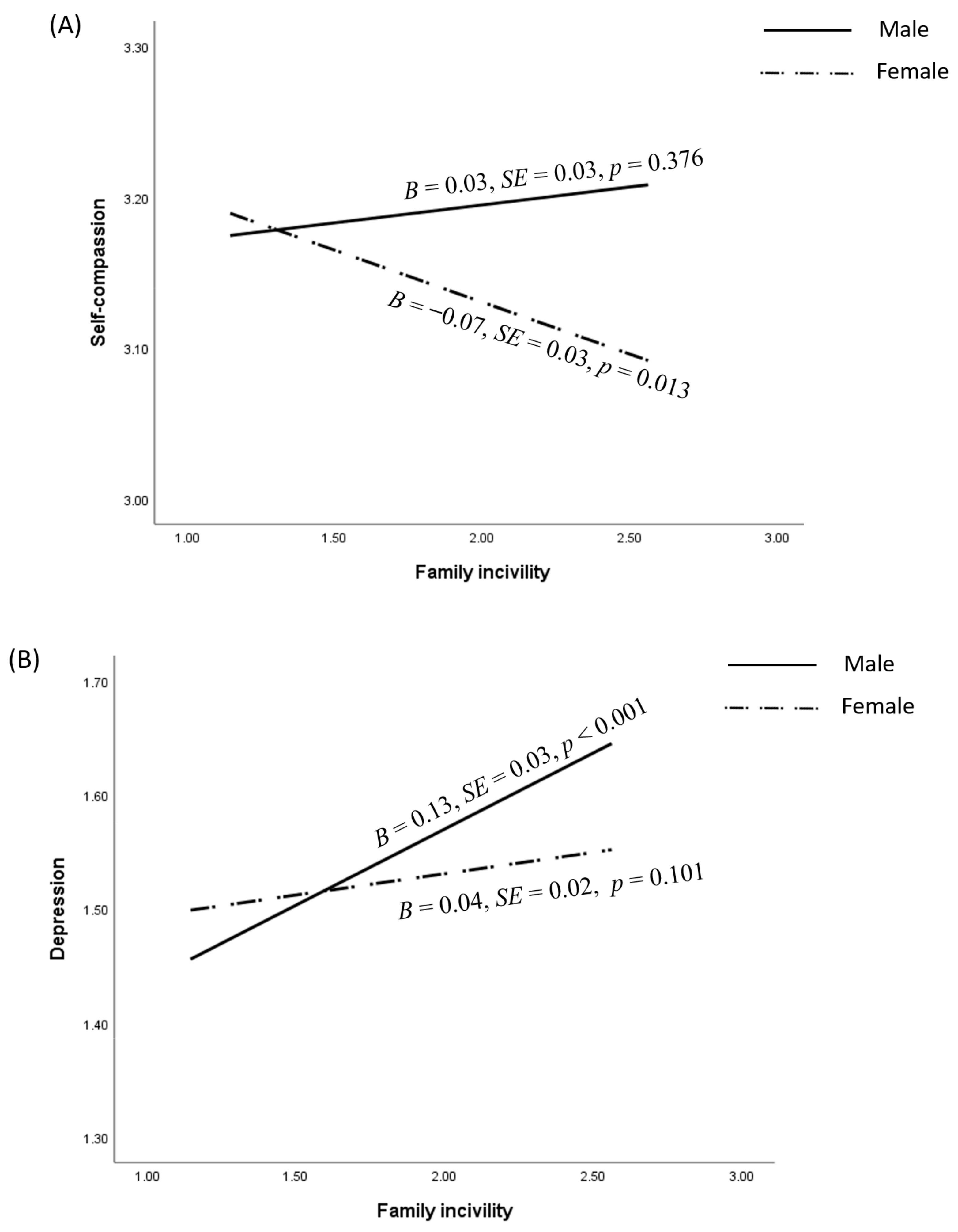
| Conditional Effects | B | SE | p | Boot LLCI | Boot ULCI |
|---|---|---|---|---|---|
| Direct effect of family incivility on self-compassion | |||||
| Male | 0.03 | 0.03 | 0.376 | −0.0326 | 0.0861 |
| Female | −0.07 | 0.03 | 0.013 | −0.1206 | −0.0140 |
| Direct effect of family incivility on depression | |||||
| Male | 0.13 | 0.03 | <0.001 | 0.0810 | 0.1837 |
| Female | 0.04 | 0.02 | 0.101 | −0.0074 | 0.0827 |
| Indirect effect of family incivility on depression via self-compassion | |||||
| Male | −0.003 | 0.01 | −0.0137 | 0.0055 | |
| Female | 0.01 | 0.01 | 0.0010 | 0.0232 | |
| Index of moderated mediation | 0.01 | 0.01 | 0.0010 | 0.0296 | |
Disclaimer/Publisher’s Note: The statements, opinions and data contained in all publications are solely those of the individual author(s) and contributor(s) and not of MDPI and/or the editor(s). MDPI and/or the editor(s) disclaim responsibility for any injury to people or property resulting from any ideas, methods, instructions or products referred to in the content. |
© 2024 by the authors. Licensee MDPI, Basel, Switzerland. This article is an open access article distributed under the terms and conditions of the Creative Commons Attribution (CC BY) license (https://creativecommons.org/licenses/by/4.0/).
Share and Cite
Miao, M.; Jin, S.; Gan, Y. The Association of Family Incivility with Adolescent Depression: A Moderated Mediation Model. Behav. Sci. 2024, 14, 1159. https://doi.org/10.3390/bs14121159
Miao M, Jin S, Gan Y. The Association of Family Incivility with Adolescent Depression: A Moderated Mediation Model. Behavioral Sciences. 2024; 14(12):1159. https://doi.org/10.3390/bs14121159
Chicago/Turabian StyleMiao, Miao, Shuai Jin, and Yiqun Gan. 2024. "The Association of Family Incivility with Adolescent Depression: A Moderated Mediation Model" Behavioral Sciences 14, no. 12: 1159. https://doi.org/10.3390/bs14121159
APA StyleMiao, M., Jin, S., & Gan, Y. (2024). The Association of Family Incivility with Adolescent Depression: A Moderated Mediation Model. Behavioral Sciences, 14(12), 1159. https://doi.org/10.3390/bs14121159

