Assessment of Soil Physicochemical Characteristics and As, Cu, Pb and Zn Contamination in Non-Active Mines at the Portuguese Sector of the Iberian Pyrite Belt
Abstract
1. Introduction
2. Materials and Methods
2.1. Site Description
2.2. Soil Sampling
2.3. Soil Physicochemical Characterization
2.4. Pseudo-Total As, Cu, Pb and Z Concentrations
2.5. Statistical Treatment of the Data
3. Results and Discussion
3.1. Soil Physicochemical Characteristics
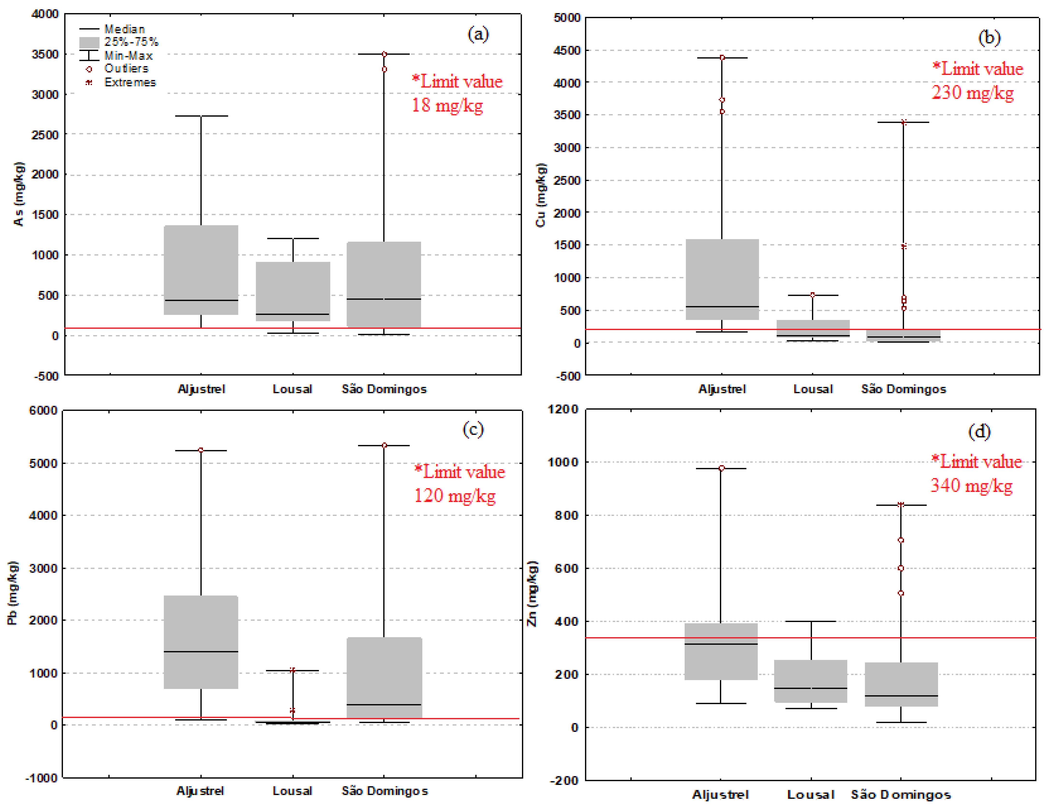
3.2. Potentially Toxic Elements Concentrations
3.3. Evaluation of the Association between the Variables—Pearson Correlations
3.4. Principal Component Analysis
4. Conclusions
Author Contributions
Funding
Acknowledgments
Conflicts of Interest
References
- European Commission. EU Soil Strategy for 2030. Communication from the Commission to the European Parliament, the Council, the European Economic and Social Committee and the Committee of the Regions. Brussels, 17 November 2021. COM(2021) 699 Final. 2021. Available online: https://ec.europa.eu/info/law/better-regulation/have-your-say/initiatives/12634-Healthy-soils-new-EU-soil-strategy_en (accessed on 13 January 2022).
- Agência Portuguesa do Ambiente. Solos Contaminados–Guia Técnico. Valores de Referência Para o Solo. 2019. Available online: https://apambiente.pt/avaliacao-e-gestao-ambiental/guias-tecnicos-0 (accessed on 29 June 2021).
- Decree-Law No. 198-A/2001, 6 July 2001. Estabelece o Regime Jurídico de Concessão do Exercício da Actividade de Recuperação Ambiental das Áreas Mineiras Degradadas. Available online: https://data.dre.pt/eli/dec-lei/198-a/2001/07/06/p/dre/pt/html (accessed on 30 June 2021).
- EDM (Empresa de Desenvolvimento Mieiro, S.A.). Inventariação de Áreas Mineiras. 2017. Available online: https://edm.pt/area-ambiental/inventariacao-de-areas-mineiras/ (accessed on 28 June 2021).
- Mourinha, C.; Palma, P.; Alexandre, C.; Cruz, N.; Rodrigues, S.M.; Alvarenga, P. Potentially Toxic Elements’ Contamination of Soils Affected by Mining Activities in the Portuguese Sector of the Iberian Pyrite Belt and Optional Remediation Actions: A Review. Environments 2022, 9, 11. [Google Scholar] [CrossRef]
- Adhikari, K.; Hartemink, A.E. Linking soils to ecosystem services—A global review. Geoderma 2016, 262, 101–111. [Google Scholar] [CrossRef]
- Leistel, J.M.; Marcoux, E.; Thiéblemont, D.; Quesada, C.; Sánchez, A.; Almodóvar, G.R.; Pascual, E.; Sáez, R. The Volcanic-Hosted Massive Sulphide Deposits of the Iberian Pyrite Belt. Miner. Depos. 1997, 33, 2–30. [Google Scholar] [CrossRef]
- Tornos, F. Environment of Formation and Styles of Volcanogenic Massive Sulfides: The Iberian Pyrite Belt. Ore Geol. Rev. 2006, 28, 259–307. [Google Scholar] [CrossRef]
- Tornos, F.; Pamo, E.; España, J. The Iberian Pyrite Belt. In Contextos Geológicos Españoles: Una Aproximación al Patrimonio Geológico de Relevancia Internacional; Instituto Geológico y Minero: Madrid, Spain, 2008; pp. 56–64. ISBN 978-84-7840-754-5. [Google Scholar]
- Law, N. 54/2015, 22 June 2015. Bases do Regime Jurídico da Revelação e do Aproveitamento dos Recursos Geológicos Existentes no Território Nacional, Incluindo os Localizados no Espaço Marítimo Nacional. Available online: https://data.dre.pt/eli/lei/54/2015/06/22/p/dre/pt/html. (accessed on 30 June 2021).
- Oliveira, J.M.S.; Farinha, J.; Matos, J.; Paula, Á.; Rosa, C.; Machado, M.J.C.; Daniel, F.S.; Martins, L.; Leite, M.R.M. Diagnóstico Ambiental das Principais Áreas Mineiras Degradadas do País. Bol. Minas 2002, 39, 67–85. [Google Scholar]
- Matos, J.X.; Martins, L.P. Reabilitaçao ambiental de áreas mineiras do sector português da Faixa Piritosa Ibérica: Estado da arte e perspectivas futuras. Bol. Geol. Y Min. 2006, 117, 289–304. [Google Scholar]
- Álvarez-Valero, A.M.; Pérez-López, R.; Matos, J.; Capitán, M.A.; Nieto, J.M.; Sáez, R.; Delgado, J.; Caraballo, M. Potential Environmental Impact at São Domingos Mining District (Iberian Pyrite Belt, SW Iberian Peninsula): Evidence from a Chemical and Mineralogical Characterization. Environ. Geol. 2008, 55, 1797–1809. [Google Scholar] [CrossRef]
- Pérez-López, R.; Delgado, J.; Nieto, J.M.; Márquez-García, B. Rare Earth Element Geochemistry of Sulphide Weathering in the São Domingos Mine Area (Iberian Pyrite Belt): A Proxy for Fluid–Rock Interaction and Ancient Mining Pollution. Chem. Geol. 2010, 276, 29–40. [Google Scholar] [CrossRef]
- Alvarenga, P.; Guerreiro, N.; Simões, I.; Imaginário, M.J.; Palma, P. Assessment of the Environmental Impact of Acid Mine Drainage on Surface Water, Stream Sediments, and Macrophytes Using a Battery of Chemical and Ecotoxicological Indicators. Water 2021, 13, 1436. [Google Scholar] [CrossRef]
- Quental, L.; Brito, M.G.; Sousa, A.J.; Abreu, M.M.; Batista, M.J.; Oliveira, V.; Vairinho, M.; Tavares, T. Utilização de imagens hiperespectrais na avaliação da contaminação mineira em S. Domingos, Faixa Piritosa, Alentejo. In Proceedings of the VI Congresso Nacional de Geologia, Monte de Caparica, Portugal, 4–6 June 2003. [Google Scholar]
- Abreu, M.M.; Batista, M.J.; Magalhães, M.C.F.; Matos, J.X. Acid mine drainage in the Portuguese Iberian Pyrite Belt. In Mine Drainage and Related Problems; Brock, C.R., Ed.; Nova Science Pub Inc.: New York, NY, USA, 2010; pp. 71–118. [Google Scholar]
- Freitas, H.; Prasad, M.N.V.; Pratas, J. Plant Community Tolerant to Trace Elements Growing on the Degraded Soils of São Domingos Mine in the South East of Portugal: Environmental Implications. Environ. Int. 2004, 30, 65–72. [Google Scholar] [CrossRef]
- Pérez-López, R.; Álvarez-Valero, A.M.; Nieto, J.M.; Sáez, R.; Matos, J.X. Use of Sequential Extraction Procedure for Assessing the Environmental Impact at Regional Scale of the São Domingos Mine (Iberian Pyrite Belt). Appl. Geochem. 2008, 23, 3452–3463. [Google Scholar] [CrossRef]
- Candeias, C.; Ferreira da Silva, E.; Salgueiro, A.R.; Pereira, H.G.; Reis, A.P.; Patinha, C.; Matos, J.X.; Ávila, P.H. Assessment of Soil Contamination by Potentially Toxic Elements in the Aljustrel Mining Area in Order to Implement Soil Reclamation Strategies. Land Degrad. Dev. 2011, 22, 565–585. [Google Scholar] [CrossRef]
- Candeias, C.; Ferreira da Silva, E.; Salgueiro, A.R.; Pereira, H.G.; Reis, A.P.; Patinha, C.; Matos, J.X.; Ávila, P.H. The Use of Multivariate Statistical Analysis of Geochemical Data for Assessing the Spatial Distribution of Soil Contamination by Potentially Toxic Elements in the Aljustrel Mining Area (Iberian Pyrite Belt, Portugal). Environ. Earth Sci. 2011, 62, 1461–1479. [Google Scholar] [CrossRef]
- Ferreira da Silva, E.; Patinha, C.; Reis, P.; Fonseca, E.C.; Matos, J.X.; Barrosinho, J.; Oliveira, J.M.S. Interaction of Acid Mine Drainage with Waters and Sediments at the Corona Stream, Lousal Mine (Iberian Pyrite Belt, Southern Portugal). Environ. Geol. 2006, 50, 1001–1013. [Google Scholar] [CrossRef]
- Ferreira da Silva, E.; Fonseca, E.C.; Matos, J.X.; Patinha, C.; Reis, P.; Oliveira, J.M.S. The Effect of Unconfined Mine Tailings on the Geochemistry of Soils, Sediments and Surface Waters of the Lousal Area (Iberian Pyrite Belt, Southern Portugal). Land Degrad. Dev. 2005, 16, 213–228. [Google Scholar] [CrossRef]
- Luís, A.T.; Teixeira, P.; Almeida, S.F.P.; Matos, J.X.; da Silva, E.F. Environmental Impact of Mining Activities in the Lousal Area (Portugal): Chemical and Diatom Characterization of Metal-Contaminated Stream Sediments and Surface Water of Corona Stream. Sci. Total Environ. 2011, 409, 4312–4325. [Google Scholar] [CrossRef]
- Alvarenga, P.; Palma, P.; de Varennes, A.; Cunha-Queda, A.C. A Contribution towards the Risk Assessment of Soils from the São Domingos Mine (Portugal): Chemical, Microbial and Ecotoxicological Indicators. Environ. Pollut. 2012, 161, 50–56. [Google Scholar] [CrossRef]
- Alvarenga, P.; Laneiro, C.; Palma, P.; de Varennes, A.; Cunha-Queda, C. A Study on As, Cu, Pb and Zn (Bio)Availability in an Abandoned Mine Area (São Domingos, Portugal) Using Chemical and Ecotoxicological Tools. Environ. Sci. Pollut. Res. 2013, 20, 6539–6550. [Google Scholar] [CrossRef]
- Kidd, P.; Mench, M.; Álvarez-López, V.; Bert, V.; Dimitriou, I.; Friesl-Hanl, W.; Herzig, R.; Olga Janssen, J.; Kolbas, A.; Müller, I.; et al. Agronomic Practices for Improving Gentle Remediation of Trace Element-Contaminated Soils. Int. J. Phytoremediat. 2015, 17, 1005–1037. [Google Scholar] [CrossRef]
- Alvarenga, P.M.; Araújo, M.F.; Silva, J.A.L. Elemental Uptake and Root-Leaves Transfer in Cistus Ladanifer L. Growing in a Contaminated Pyrite Mining Area (Aljustrel-Portugal). Water Air Soil Pollut. 2004, 152, 81–96. [Google Scholar] [CrossRef]
- Santos, E.S.; Abreu, M.M.; Nabais, C.; Saraiva, J.A. Trace Elements and Activity of Antioxidative Enzymes in Cistus ladanifer L. Growing on an Abandoned Mine Area. Ecotoxicology 2009, 18, 860–868. [Google Scholar] [CrossRef]
- Santos, E.S.; Magalhães, M.C.F.; Abreu, M.M.; Macías, F. Effects of Organic/Inorganic Amendments on Trace Elements Dispersion by Leachates from Sulfide-Containing Tailings of the São Domingos Mine, Portugal. Time Evaluation. Geoderma 2014, 226–227, 188–203. [Google Scholar] [CrossRef][Green Version]
- Alvarenga, P.; Gonçalves, A.P.; Fernandes, R.M.; de Varennes, A.; Vallini, G.; Duarte, E.; Cunha-Queda, A.C. Evaluation of Composts and Liming Materials in the Phytostabilization of a Mine Soil Using Perennial Ryegrass. Sci. Total Environ. 2008, 406, 43–56. [Google Scholar] [CrossRef] [PubMed]
- Alvarenga, P.; Gonçalves, A.P.; Fernandes, R.M.; de Varennes, A.; Duarte, E.; Cunha-Queda, C.A.A.; Vallini, G. Reclamation of a Mine Contaminated Soil Using Biologically Reactive Organic Matrices. Waste Manag. Res. 2009, 27, 101–111. [Google Scholar] [CrossRef] [PubMed]
- Alvarenga, P.; Gonçalves, A.P.; Fernandes, R.M.; de Varennes, A.; Vallini, G.; Duarte, E.; Cunha-Queda, A.C. Organic residues as immobilizing agents in aided phytostabilization: (I) Effects on soil chemical characteristics. Chemosphere 2009, 74, 1292–1300. Available online: http://www.sciencedirect.com/science/article/pii/S0045653508014793 (accessed on 21 March 2021). [CrossRef] [PubMed]
- Alvarenga, P.; Palma, P.; Gonçalves, A.P.; Fernandes, R.M.; de Varennes, A.; Vallini, G.; Duarte, E.; Cunha-Queda, A.C. Organic Residues as Immobilizing Agents in Aided Phytostabilization: (II) Effects on Soil Biochemical and Ecotoxicological Characteristics. Chemosphere 2009, 74, 1301–1308. [Google Scholar] [CrossRef]
- Solomon, M.; Tornos, F.; Large, R.R.; Badham, J.N.P.; Both, R.A.; Zaw, K. Zn–Pb–Cu Volcanic-Hosted Massive Sulphide Deposits: Criteria for Distinguishing Brine Pool-Type from Black Smoker-Type Sulphide Deposition. Ore Geol. Rev. 2004, 25, 259–283. [Google Scholar] [CrossRef]
- Durães, N.; Bobos, I.; da Silva, E.F. Speciation and Precipitation of Heavy Metals in High-Metal and High-Acid Mine Waters from the Iberian Pyrite Belt (Portugal). Environ. Sci. Pollut. Res. 2017, 24, 4562–4576. [Google Scholar] [CrossRef]
- Luís, A.; Grande, J.; Davila, J.M.; Aroba, J.; Durães, N.; Almeida, S.; de la Torre, M.; Sarmiento, A.M.; Fortes, J.C.; Ferreira da Silva, E.F.; et al. Application of Fuzzy Logic Tools for the Biogeochemical Characterisation of (Un)Contaminated Waters from Aljustrel Mining Area (South Portugal). Chemosphere 2018, 211, 736–744. [Google Scholar] [CrossRef]
- Luís, A.T.; Durães, N.; de Almeida, S.F.P.; da Silva, E.F. Integrating Geochemical (Surface Waters, Stream Sediments) and Biological (Diatoms) Approaches to Assess AMD Environmental Impact in a Pyritic Mining Area: Aljustrel (Alentejo, Portugal). J. Environ. Sci. 2016, 42, 215–226. [Google Scholar] [CrossRef]
- Luís, A.T.; Teixeira, P.; Almeida, S.F.P.; Ector, L.; Matos, J.X.; Ferreira da Silva, E.A. Impact of Acid Mine Drainage (AMD) on Water Quality, Stream Sediments and Periphytic Diatom Communities in the Surrounding Streams of Aljustrel Mining Area (Portugal). Water Air Soil Pollut. 2009, 200, 147–167. [Google Scholar] [CrossRef]
- Maia, F.; Pinto, C.; Waerenborgh, J.C.; Gonçalves, M.A.; Prazeres, C.; Carreira, O.; Sério, S. Metal Partitioning in Sediments and Mineralogical Controls on the Acid Mine Drainage in Ribeira Da Água Forte (Aljustrel, Iberian Pyrite Belt, Southern Portugal). Appl. Geochem. 2012, 27, 1063–1080. [Google Scholar] [CrossRef]
- Relvas, J.; Pinto, A.; Matos, J. Lousal, Portugal: A Successful Example of Rehabilitation of a Closed Mine in the Iberian Pyrite Belt. Soc. Geol. Appl. Miner. Depos. SGA News 2012, 31, 1–16. [Google Scholar]
- Andráš, P.; Matos, J.X.; Turisová, I.; Batista, M.J.; Kanianska, R.; Kharbish, S. The Interaction of Heavy Metals and Metalloids in the Soil–Plant System in the São Domingos Mining Area (Iberian Pyrite Belt, Portugal). Environ. Sci. Pollut. Res. 2018, 25, 20615–20630. [Google Scholar] [CrossRef]
- Pereira, R.; Sousa, J.P.; Ribeiro, R.; Gonçalves, F. Microbial Indicators in Mine Soils (S. Domingos Mine, Portugal). Soil Sediment Contam. Int. J. 2006, 15, 147–167. [Google Scholar] [CrossRef]
- Gee, G.W.; Bauder, J.W. Particle-size analysis. In Methods of Soil Analysis. Part 1. Physical and Mineralogical Methods; Klute, A., Ed.; Soil Science Society of America: Madison, WI, USA, 1986; pp. 383–412. [Google Scholar]
- USDA. Soil Science Division Staff. Soil Survey Manual. In USDA Handbook 18; Ditzler, C., Scheffe, K., Monger, H.C., Eds.; Government Printing Office: Washington, DC, USA, 2017. Available online: https://www.nrcs.usda.gov/wps/portal/nrcs/detail/soils/ref/?cid=nrcs142p2_054253#soil_texture (accessed on 3 September 2021).
- Walkley, A.; Black, J.A. An examination of the Degtjareff method for determining soil organic matter and a proposed modification of the chromic acid titration method. Soil Sci. 1934, 37, 29–38. [Google Scholar] [CrossRef]
- Riehm, H. Die ammoniumlaktatessigsaure-methode zur bestimmung der leichtoeslichen phosphosaure in karbonathaltigen boden. Agrochimica 1958, 3, 49–65. [Google Scholar]
- ISO 11466; Soil Quality-Extraction of Trace Elements Soluble in Aqua Regia. International Organisation for Standardisation: Genève, Switzerland, 1995.
- LQARS. Manual de Fertilização de Culturas; Laboratório Químico Agrícola Rebelo da Silva, Instituto Nacional de Investigação Agrária e Veterinária–INIAV: Oeiras, Portugal, 2006. [Google Scholar]
- Alvarenga, P.; Gonçalves, A.P.; Fernandes, R.M.; de Varennes, A.; Duarte, E.; Vallini, G.; Cunha-Queda, A.C. Effect of organic residues and liming materials on metal extraction from a mining-contaminated soil. Bioremediat. J. 2008, 12, 58–69. Available online: http://www.tandfonline.com/doi/abs/10.1080/10889860802059909?journalCode=bbrm20 (accessed on 18 May 2018). [CrossRef]
- Alvarenga, P.; Rodrigues, D.; Mourinha, C.; Palma, P.; de Varennes, A.; Cruz, N.; Tarelho, L.A.C.; Rodrigues, S. Use of wastes from the pulp and paper industry for the remediation of soils degraded by mining activities: Chemical, biochemical and ecotoxicological effects. Sci. Total Environ. 2019, 686, 1152–1163. [Google Scholar] [CrossRef]
- Santos, J.Q. Fertilização, Fundamentos da Utilização dos Adubos e Corretivo; Euroagro, C., Ed.; Publicações Europa-América: Lisboa, Portugal, 1996. [Google Scholar]
- Alvarenga, P.; Varennes, A.; Cunha-Queda, A.C. The Effect of Compost Treatments and A Plant Cover with Agrostis tenuis on the Immobilization/Mobilization of Trace Elements in a Mine-Contaminated Soil. Int. J. Phytoremediat. 2014, 16, 138–154. [Google Scholar] [CrossRef]
- Touceda-González, M.; Álvarez-López, V.; Prieto-Fernández, Á.; Rodríguez-Garrido, B.; Trasar-Cepeda, C.; Mench, M.; Puschenreiter, M.; Quintela-Sabarís, C.; Macías-García, F.; Kidd, P.S. Aided Phytostabilisation Reduces Metal Toxicity, Improves Soil Fertility and Enhances Microbial Activity in Cu-Rich Mine Tailings. J. Environ. Manag. 2017, 186, 301–313. [Google Scholar] [CrossRef] [PubMed]
- Kabata-Pendias, A. Trace Elements in Soils and in Plants, 4th ed.; CRC Press: Boca Raton, FL, USA, 2011. [Google Scholar]








| pH | EC | OM | NKjeldalh | Pextractable | Kextractable | Astotal | Cutotal | Pbtotal | |
|---|---|---|---|---|---|---|---|---|---|
| EC | −0.54 *** | - | - | - | - | - | - | - | - |
| OM | 0.33 ** | −0.15 | - | - | - | - | - | - | - |
| NKjeldalh | −0.03 | −0.05 | −0.05 | - | - | - | - | - | - |
| Pextractable | 0.31 * | −0.03 | 0.68 *** | 0.02 | - | - | - | - | - |
| Kextractable | 0.28 * | −0.22 | 0.51 *** | 0.06 | 0.09 | - | - | - | - |
| Astotal | −0.36 ** | 0.19 | −0.05 | 0.39 ** | 0.04 | −0.20 | - | - | - |
| Cutotal | 0.06 | −0.07 | 0.11 | −0.06 | −0.08 | 0.27 * | −0.04 | - | - |
| Pbtotal | −0.23 | 0.20 | 0.12 | −0.04 | 0.13 | −0.16 | 0.42 *** | 0.30 * | - |
| Zntotal | 0.24 | −0.03 | −0.01 | −0.04 | 0.05 | −0.13 | −0.12 | 0.43 *** | 0.15 |
| Soil Parameter | PC1 | PC2 | PC3 | PC4 |
|---|---|---|---|---|
| pH | 0.790 | 0.155 | 0.065 | −0.150 |
| EC | −0.573 | −0.261 | −0.015 | 0.442 |
| OM | 0.697 | −0.501 | −0.303 | 0.218 |
| NKjeldalh | −0.127 | −0.193 | −0.364 | −0.781 |
| Pextractable | 0.501 | −0.515 | −0.373 | 0.311 |
| Kextractable | 0.620 | −0.059 | −0.129 | −0.188 |
| Astotal | −0.486 | −0.587 | −0.292 | −0.351 |
| Cutotal | 0.220 | −0.378 | 0.702 | −0.224 |
| Pbtotal | −0.240 | −0.764 | 0.240 | 0.088 |
| Zntotal | 0.182 | −0.215 | 0.734 | −0.105 |
| Explained variance (%) | 24.6 | 17.6 | 15.6 | 12.0 |
Publisher’s Note: MDPI stays neutral with regard to jurisdictional claims in published maps and institutional affiliations. |
© 2022 by the authors. Licensee MDPI, Basel, Switzerland. This article is an open access article distributed under the terms and conditions of the Creative Commons Attribution (CC BY) license (https://creativecommons.org/licenses/by/4.0/).
Share and Cite
Alvarenga, P.; Mourinha, C.; Palma, P.; Cruz, N.; Rodrigues, S.M. Assessment of Soil Physicochemical Characteristics and As, Cu, Pb and Zn Contamination in Non-Active Mines at the Portuguese Sector of the Iberian Pyrite Belt. Environments 2022, 9, 105. https://doi.org/10.3390/environments9080105
Alvarenga P, Mourinha C, Palma P, Cruz N, Rodrigues SM. Assessment of Soil Physicochemical Characteristics and As, Cu, Pb and Zn Contamination in Non-Active Mines at the Portuguese Sector of the Iberian Pyrite Belt. Environments. 2022; 9(8):105. https://doi.org/10.3390/environments9080105
Chicago/Turabian StyleAlvarenga, Paula, Clarisse Mourinha, Patrícia Palma, Nuno Cruz, and Sónia Morais Rodrigues. 2022. "Assessment of Soil Physicochemical Characteristics and As, Cu, Pb and Zn Contamination in Non-Active Mines at the Portuguese Sector of the Iberian Pyrite Belt" Environments 9, no. 8: 105. https://doi.org/10.3390/environments9080105
APA StyleAlvarenga, P., Mourinha, C., Palma, P., Cruz, N., & Rodrigues, S. M. (2022). Assessment of Soil Physicochemical Characteristics and As, Cu, Pb and Zn Contamination in Non-Active Mines at the Portuguese Sector of the Iberian Pyrite Belt. Environments, 9(8), 105. https://doi.org/10.3390/environments9080105

