Is Customer Satisfaction Achieved Only with Good Hotel Facilities? A Moderated Mediation Model
Abstract
1. Introduction
2. Literature Review and Hypotheses
2.1. Perceived Quality of Hotel Facilities and Customer Satisfaction
2.2. The Mediating Effect of the Business Organization and Personnel
2.3. The Moderating Effect of Family Income
3. Materials and Methods
3.1. Participants and Procedure
3.2. Survey Instruments and Data Analysis
4. Results
4.1. Descriptive Analysis
4.2. Measurement Validation
4.3. Hypothesis Testing
5. Discussion, Limitations and Future Research
5.1. Theoretical and Practical Implications
5.2. Limitations and Directions for Future Research
Funding
Informed Consent Statement
Data Availability Statement
Conflicts of Interest
References
- Abbasi, Aamna, Wajiha Khalid, Madeeha Azam, and Adnan Riaz. 2010. Determinants of customer satisfaction in hotel industry of Pakistan. European Journal of Scientific Research 48: 97–105. [Google Scholar]
- Ahn, Jiseon, and Ki-Joon Back. 2018. Antecedents and consequences of customer brand engagement in integrated resorts. International Journal of Hospitality Management 75: 144–52. [Google Scholar] [CrossRef]
- Akpan, Anietie, and Samuel Etuk. 2019. Tangibilisation of service and customer satisfaction in hospitals: Implication for management. European Journal of Economics and Management Sciences 1: 3–8. [Google Scholar]
- Alauddin, Md, Syed Hasib Ahsan, Mohammad Masrurul Mowla, and Mahmudul Islam. 2019. Investigating the relationship between service quality, customer satisfaction and customer loyalty in hotel industry: Bangladesh perspective. Global Journal of Management and Business Research 19: 1–8. [Google Scholar]
- Albattat, Ahmad, Ahmad Pitra, Nishalini Mahendran, and Azila Azmi. 2018. The impact of service quality on Muslim customers in Shariah compliant hotel. Journal of Tourism, Hospitality and Environment Management 3: 1–14. [Google Scholar]
- Ali, Bayad, Bayar Gardi, Baban Jabbar Othman, Shahla Ali Ahmed, Nechirwan Burhan Ismael, Pshdar Abdalla Hamza, Hassan Mahmood Aziz, Bawan Yassin Sabir, Sarhang Sorgulli, and G. Gofand Anwar. 2021. Hotel service quality: The impact of service quality on customer satisfaction in hospitality. International Journal of Engineering, Business and Management 5: 14–28. [Google Scholar] [CrossRef]
- Awasthi, Abhimanyu, Deepika Dhawan, and Md Soyav. 2020. Role of employee behaviour in hospitality industry. International Journal of Scientific and Technology Research 9: 2208–10. [Google Scholar]
- Baquero, Asier. 2022. Net Promoter Score (NPS) and Customer Satisfaction: Relationship and Efficient Management. Sustainability 14: 2011. [Google Scholar] [CrossRef]
- Baquero, Asier. 2023. Hotel Employees’ Burnout and Intention to Quit: The Role of Psychological Distress and Financial Well-Being in a Moderation Mediation Model. Behavioral Sciences 13: 84. [Google Scholar] [CrossRef]
- Barusman, Andala, Evelin Rulian, and Susanto Susanto. 2019. The Antecedent of Customer Satisfaction and Its Impact on Customer Retention in Tourism as Hospitality Industry. International Journal of Advance Science Technology 28: 322–30. [Google Scholar]
- Bello, Yekini Ojo, and Mercy Busayo Bello. 2017. Employees’ empowerment, service quality and customers’ satisfaction in hotel industry. Strategic Journal of Business & Change Management 4: 1001–19. [Google Scholar]
- Berezina, Katerina, Anil Bilgihan, Cihan Cobanoglu, and Fevzi Okumus. 2016. Understanding Satisfied and Dissatisfied Hotel Customers: Text Mining of Online Hotel Reviews. Journal of Hospitality Marketing and Management 25: 1–24. [Google Scholar] [CrossRef]
- Cheah, Sarah, Yuen-Ping Ho, and Shiyu Li. 2018. Business model innovation for sustainable performance in retail and hospitality industries. Sustainability 10: 3952. [Google Scholar] [CrossRef]
- Chen, Chiang-Ming, Yi-Chun Tsai, and Hsien-Hung Chiu. 2017. The decision-making process of and the decisive factors in accommodation choice. Current Issues in Tourism 20: 111–19. [Google Scholar] [CrossRef]
- Chuah, Stephanie Hui-Wen, Siriprapha Jitanugoon, Pittinun Puntha, and Eugene Cheng-Xi Aw. 2022. You don’t have to tip the human waiters anymore, but… Unveiling factors that influence consumers’ willingness to pay a price premium for robotic restaurants. International Journal of Contemporary Hospitality Management 34: 3553–87. [Google Scholar] [CrossRef]
- Díez-Martín, Francisco, Giorgia Miotto, and Gabriel Cachón-Rodríguez. 2022. Organizational legitimacy perception: Gender and uncertainty as bias for evaluation criteria. Journal of Business Research 139: 426–36. [Google Scholar] [CrossRef]
- Dimitropoulos, Panagiotis E. 2018. Profitability determinants of the Greek hospitality industry: The crisis effect. In Innovative Approaches to Tourism and Leisure. Cham: Springer, pp. 405–16. [Google Scholar]
- Eisape, Davis. 2020. Comparing platform business models: A balanced scorecard approach based on the platform business model canvas. Nordic Journal of Media Management 1: 401–32. [Google Scholar]
- Escortell, Raquel, Asier Baquero, and Beatriz Delgado. 2020. The impact of transformational leadership on the job satisfaction of internal employees and outsourced workers. Cogent Business & Management 7: 1837460. [Google Scholar] [CrossRef]
- Falces, Carlos, Benjamín Sierra, Alberto Becerra, and Pablo Briñol. 1999. HOTELQUAL: Una escala para medir calidad percibida en servicios de alojamiento. Estudios Turísticos 139: 95–110. [Google Scholar]
- Florido, Carmen, Marta Jacob, and Margarita Payeras. 2019. How to carry out the transition towards a more circular tourist activity in the hotel sector. The role of innovation. Administrative Sciences 9: 47. [Google Scholar] [CrossRef]
- Ganić, Emir, Versna Babić-Hodović, and Maja Arslanagić-Kalajdžić. 2018. Effects of Servperf dimensions on students’ loyalty-Do you know what is behind the scene. International Journal of Business and Social Science 9: 215–24. [Google Scholar]
- Goh, Edmund, and Fevzi Okumus. 2020. Avoiding the hospitality workforce bubble: Strategies to attract and retain generation Z talent in the hospitality workforce. Tourism Management Perspectives 33: 100603. [Google Scholar] [CrossRef]
- Guttentag, Daniel, and Stephen Smith. 2017. Assessing Airbnb as a disruptive innovation relative to hotels: Substitution and comparative performance expectations. International Journal of Hospitality Management 64: 1–10. [Google Scholar] [CrossRef]
- Haile, Getinet. 2021. Organisational accreditation, workforce training and perceptions of performance. Industrial Relations Journal 52: 291–314. [Google Scholar] [CrossRef]
- Hair, Joseph, William Black, Barry Babin, and Rolph Anderson. 2010. Multivariate Data Analysis. Upper Saddle River: Prentice-Hall, Inc. [Google Scholar]
- Hayes, Andrew. 2012. PROCESS: A Versatile Computational Tool for Observed Variable Mediation, Moderation, and Conditional Process Modeling [White Paper]. Available online: http://www.afhayes.com/public/process2012.pdf (accessed on 1 August 2022).
- He, Yuanqiong, Wenli Li, and Kin Keung Lai. 2011. Service climate, employee commitment and customer satisfaction: Evidence from the hospitality industry in China. International Journal of Contemporary Hospitality Management 23: 592–607. [Google Scholar] [CrossRef]
- Hermus, Marieke A. A., Inge C. Boesveld, Marit Hitzert, Arie Franx, J. P. de Graaf, E. A. P. Steegers, Therese A. Wiegers, and Karin M. van der Pal-de Bruin. 2017. Defining and describing birth centres in the Netherlands-a component study of the Dutch Birth Centre Study. BMC Pregnancy and Childbirth 17: 1–11. [Google Scholar] [CrossRef]
- Hill, Nigel, John Brierley, and Rob MacDougall. 2017. How to Measure Customer Satisfaction. London: Taylor and Francis. [Google Scholar]
- Hom, Willard. 2000. An Overview of Customer Satisfaction Models; Pacific Gove: Policy, Planning & External Affairs Division, California Community Colleges.
- Huang, Ming-Hui, and Roland Rust. 2021. Engaged to a robot? The role of AI in service. Journal of Service Research 24: 30–41. [Google Scholar] [CrossRef]
- Ivanov, Stanislav, Ulrike Gretzel, Katerina Berezina, Marianna Sigala, and Craig Webster. 2019. Progress on robotics in hospitality and tourism: A review of the literature. Journal of Hospitality and Tourism Technology 10: 489–521. [Google Scholar] [CrossRef]
- Kandampully, Jay, and David Solnet. 2019. Competitive advantage through service in hospitality and tourism: A perspective article. Tourism Review 75: 247–51. [Google Scholar] [CrossRef]
- Kandampully, Jay, and Dwi Suhartanto. 2000. Customer loyalty in the hotel industry: The role of customer satisfaction and image. International Journal of Contemporary Hospitality Management 12: 346–51. [Google Scholar] [CrossRef]
- Kandampully, Jay. 2006. The new customer-centred business model for the hospitality industry. International Journal of Contemporary Hospitality Management 18: 173–87. [Google Scholar] [CrossRef]
- Karatepe, Osman, and Sanaz Vatankhah. 2014. The effects of high-performance work practices on perceived organizational support and turnover intentions: Evidence from the airline industry. Journal of Human Resources in Hospitality & Tourism 13: 103–19. [Google Scholar] [CrossRef]
- Keshavarz, Yousef, and Dariyoush Jamshidi. 2018. Service quality evaluation and the mediating role of perceived value and customer satisfaction in customer loyalty. International Journal of Tourism Cities 4: 220–44. [Google Scholar] [CrossRef]
- Kim, Bona, Seongseop Kim, and Cindy Heo. 2019a. Consequences of Customer Dissatisfaction in Upscale and Budget Hotels: Focusing on Dissatisfied Customers’ Attitude Toward a Hotel. International Journal of Hospitality and Tourism Administration 20: 15–46. [Google Scholar] [CrossRef]
- Kim, Bona, Seongseop Kim, Brian King, and Cindy Yoonjoung Heo. 2019b. Luxurious or economical? An identification of tourists’ preferred hotel attributes using best–worst scaling (BWS). Journal of Vacation Marketing 25: 162–75. [Google Scholar] [CrossRef]
- Kloutsiniotis, Panagiotis V., and Dimitrios M. Mihail. 2018. The link between perceived high-performance work practices, employee attitudes and service quality: The mediating and moderating role of trust. Employee Relations 40: 801–21. [Google Scholar] [CrossRef]
- Kloutsiniotis, Panagiotis V., and Dimitrios Mihail. 2020. High performance work systems in the tourism and hospitality industry: A critical review. International Journal of Contemporary Hospitality Management 32: 2365–95. [Google Scholar] [CrossRef]
- Kutner, Michael H., Christopher J. Nachtsheim, John Neter, and William Li. 2004. Applied Linear Regression Models. Chicago: McGraw-Hill. [Google Scholar]
- Lai, Ching-Sung, and Minh C. Nguyen. 2017. Factors affecting service quality, customer satisfaction and loyalty of mobile phone service providers in Vietnam. International Journal of Organizational Innovation 10: 75–85. [Google Scholar]
- Langvinienė, Neringa, and Ingrida Daunoravičiūtė. 2015. Factors influencing the success of business model in the hospitality service industry. Procedia-Social and Behavioral Sciences 213: 902–10. [Google Scholar] [CrossRef]
- Lee, Sang-Hyeop, Shuet May Toh, and Hak-Seon Kim. 2016. The Customers’ Perception on Luxury Hotel: A Case of Sunway Resort Hotel and Spa. Culinary Science & Hospitality Research 22: 145–150. [Google Scholar]
- Lu, Luqi, and Saloomeh Tabari. 2019. Impact of Airbnb on customers’ behavior in the UK hotel industry. Tourism Analysis 24: 13–26. [Google Scholar] [CrossRef]
- Marković, Susana, and Sanja Raspor Janković. 2013. Exploring the relationship between service quality and customer satisfaction in Croatian hotel industry. Tourism and Hospitality Management 19: 149–64. [Google Scholar] [CrossRef]
- Martin-Rios, Carlos, and Teofil Ciobanu. 2019. Hospitality innovation strategies: An analysis of success factors and challenges. Tourism Management 70: 218–29. [Google Scholar] [CrossRef]
- Mathong, Punnatorn, Panitas Sureeyatanapas, Sirawadee Arunyanart, and Thanawath Niyamosoth. 2020. The assessment of service quality for third-party logistics providers in the beverage industry. Cogent Engineering 7: 1785214. [Google Scholar] [CrossRef]
- McDaniel, Carl, and Roger Gates. 2019. Marketing Research. Hoboken: Wiley. [Google Scholar]
- Mendez-Diaz, Monica, and Clara Martin-Duque. 2021. Open innovation through customer satisfaction: A logit model to explain customer recommendations in the hotel sector. Journal of Open Innovation: Technology, Market, and Complexity 7: 180. [Google Scholar] [CrossRef]
- Murphy, Kevin, Edwin Torres, William Ingram, and Joe Hutchinson. 2018. A review of high performance work practices (HPWPs) literature and recommendations for future research in the hospitality industry. International Journal of Contemporary Hospitality Management 30: 365–88. [Google Scholar] [CrossRef]
- Nguyen, Thi Le Ha, and Keisuke Nagase. 2019. The influence of total quality management on customer satisfaction. International Journal of Healthcare Management 12: 277–85. [Google Scholar] [CrossRef]
- Nobar, Hossein Bodaghi Khajeh, and Reza Rostamzadeh. 2018. The impact of customer satisfaction, customer experience and customer loyalty on brand power: Empirical evidence from hotel industry. Journal of Business Economics and Management 19: 417–30. [Google Scholar] [CrossRef]
- Nunnally, Jum. 1978. Psychometric Theory. New York: McGraw Hill. [Google Scholar]
- Nurcahyo, Rianto, Annisa Fitriyani, and Irma Nur Hudda. 2017. The influence of facility and service quality towards customer satisfaction and its impact on customer loyalty in Borobudur Hotel in Jakarta. Binus Business Review 8: 23–29. [Google Scholar] [CrossRef]
- Ogiemwonyi, Osarodion, Amran Harun, Abdul Rahman, Mohammad Nurul Alam, and Nawazad Majeed Hamawandy. 2020. The relationship between service quality dimensions and customer satisfaction towards hypermarket in Malaysia. International Journal of Psychosocial Rehabilitation 24: 2062–71. [Google Scholar] [CrossRef]
- Oshins, Mike. 2017. Change in the Hospitality Industry: New Paradigms, Frames, and Perspectives. Available online: https://www.bu.edu/bhr/2017/06/12/hospitality-change-paradigm-and-perspective/ (accessed on 1 August 2022).
- Pamukcu, Huseyin, and Mehmet Sariisik. 2020. Suggestions for standardization of halal tourism in hospitality industry. Journal of Islamic Marketing 12: 389–407. [Google Scholar] [CrossRef]
- Panda, Tapan K., and Satyabrata Das. 2014. The role of tangibility in service quality and its impact on external customer satisfaction: A comparative study of hospital and hospitality sectors. IUP Journal of Marketing Management 13: 53–69. [Google Scholar]
- Parasuraman, A. Parsu, Valarie A. Zeithaml, and Leonard L. Berry. 1985. A conceptual model of service quality and its implications for future research. Journal of Marketing 49: 41–50. [Google Scholar] [CrossRef]
- Pascual Nebreda, Laura, Francisco Díez Martín, and Alicia Blanco González. 2021. Changes and evolution in the intellectual structure of consumer dissatisfaction. Journal of Consumer Behaviour 20: 160–72. [Google Scholar] [CrossRef]
- Pizarro Romero, Kelvin, and Omar Martinez Mora. 2020. Análisis factorial exploratorio mediante el uso de las medidas de adecuación muestral KMO y esferidad de Bartlett para determinar factores principales. Journal of Science and Research: Revista Ciencia e Investigación 5: 903–24. [Google Scholar]
- Presenza, Angelo, Antonio Messeni Petruzzelli, and Angelo Natalicchio. 2019. Business model innovation for sustainability. Highlights from the tourism and hospitality industry. Sustainability 11: 212. [Google Scholar] [CrossRef]
- Priyo, Joko Sadoso, Bahtiar Mohamad, and Raji Ridwan Adetunji. 2019. An examination of the effects of service quality and customer satisfaction on customer loyalty in the hotel industry. International Journal of Supply Chain Management 8: 653–63. [Google Scholar]
- Radojevic, Tijana, Nemanja Stanisic, and Nenad Stanic. 2015. Ensuring positive feedback: Factors that influence customer satisfaction in the contemporary hospitality industry. Tourism Management 51: 13–21. [Google Scholar] [CrossRef]
- Rasyida, Dyah, M. Mujiya Ulkhaq, Priska R. Setiowati, and Nadia A. Setyorini. 2016. Assessing Service Quality: A Combination of SERVPERF and Importance-Performance Analysis. MATEC Web of Conferences 68: 06003. [Google Scholar] [CrossRef]
- Reilly, Peter. 2018. Building customer centricity in the hospitality sector: The role of talent management. Worldwide Hospitality and Tourism Themes 10: 42–56. [Google Scholar] [CrossRef]
- Srivastava, Saurabh. 2021. Analysing Covid Adjustments in Hospitality Business Models: Insights from Indian Hospitality Sector Through Social Media Analytics. In Globalization, Deglobalization, and New Paradigms in Business. Cham: Palgrave Macmillan, pp. 103–16. [Google Scholar]
- Sugiarto, Sigit, and Vivi Octaviana. 2021. Service Quality (SERVQUAL) Dimensions on Customer Satisfaction: Empirical Evidence from Bank Study. Golden Ratio of Marketing and Applied Psychology of Business 1: 93–106. [Google Scholar] [CrossRef]
- Tran, Lobel Trong Thuy, Pham This Minh Ly, and Loc Tuan Le. 2019. Hotel choice: A closer look at demographics and online ratings. International Journal of Hospitality Management 82: 13–21. [Google Scholar] [CrossRef]
- Turner, Michael J., and James W. Hesford. 2019. The impact of renovation capital expenditure on hotel property performance. Cornell Hospitality Quarterly 60: 25–39. [Google Scholar] [CrossRef]
- Wu, Wann Yih, Alfiyatul Qomariyah, Nguyen Thi Truong Sa, and Yingkai Liao. 2018. The integration between service value and service recovery in the hospitality industry: An application of QFD and ANP. International Journal of Hospitality Management 75: 48–57. [Google Scholar] [CrossRef]
- Xiao, Zengrui, Ying Wang, and Dongjie Guo. 2022. Will Greenwashing Result in Brand Avoidance? A Moderated Mediation Model. Sustainability 14: 7204. [Google Scholar] [CrossRef]
- Zaitseva, Natalia A., Anna A. Larionova, Konstantin V. Yumatov, Natalia M. Korsunova, and Nina V. Dmitrieva. 2016. Assessment of the Impact of Globalization on the Introduction of Innovative Technology Companies in the Hospitality Industry. International Journal of Environmental and Science Education 11: 7176–85. [Google Scholar]
- Zhavoronkova, Olga R., and I. R. Nikiforov. 2020. Topical Issues of Staffing in the Hospitality Industry of the Republic of Crimea. In IOP Conference Series: Earth and Environmental Science. Bristol: IOP Publishing, p. 032094. [Google Scholar] [CrossRef]




| Age | N | % |
|---|---|---|
| 18–34 | 98 | 26.1 |
| 35–54 | 198 | 52.7 |
| >55 | 80 | 21.3 |
| Gender | ||
| Female | 204 | 54.3 |
| Male | 172 | 45.7 |
| Family income | ||
| EUR < 40,000 | 106 | 28.2 |
| EUR 40,000–80,000 | 202 | 53.7 |
| EUR > 80,000 | 68 | 18.1 |
| Yearly travel | ||
| 1 | 62 | 62.5 |
| 2–5 | 249 | 66.2 |
| >5 | 65 | 17.3 |
| Country of residence | ||
| Spain | 185 | 49.2 |
| France | 107 | 28.5 |
| United Kingdom | 84 | 22.3 |
| Valid N | Mean | Standard Deviation | |
|---|---|---|---|
| The hotel rooms and equipment (lifts, bedrooms, corridors, etc.) are in good condition. | 376 | 4.08 | 0.76 |
| The different hotel rooms and facilities in the hotel are pleasant. | 376 | 4.19 | 0.69 |
| The staff look clean and neat. | 376 | 4.55 | 0.60 |
| The facilities are clean. | 376 | 4.29 | 0.77 |
| The facilities are comfortable and welcoming (they are pleasant to be in). | 376 | 4.21 | 0.76 |
| The service provided is in line with the contracted conditions. | 376 | 4.19 | 0.86 |
| This hotel effectively resolves any problem the guests may have. | 376 | 4.17 | 0.96 |
| The information I was given about my stay as a guest was correct form the start. | 376 | 4.09 | 0.95 |
| As a guest, it is easy to obtain information about the different services I request. | 376 | 4.24 | 0.80 |
| The different services are provided quickly. | 376 | 4.24 | 0.71 |
| The staff at this hotel are happy to help the guests. | 376 | 4.62 | 0.54 |
| Staff are always available to give guests information when needed. | 376 | 4.51 | 0.57 |
| Someone from the management is always available to help guests with any problem which might arise. | 376 | 4.19 | 0.73 |
| The staff are trustworthy; you can trust them. | 376 | 4.43 | 0.63 |
| The staff are discreet and respect the guests’ privacy. | 376 | 4.36 | 0.84 |
| The staff are competent and professional. | 376 | 4.52 | 0.70 |
| The facilities are safe (they meet safety regulations). | 376 | 4.16 | 0.81 |
| The staff are aware of and make an effort to find out the needs of each guest. | 376 | 4.21 | 0.84 |
| In this hotel, the guests are the most important thing. | 376 | 4.35 | 0.74 |
| The employees care about resolving guests’ problems. | 376 | 4.39 | 0.72 |
| How satisfied are you in general with this hotel? | 376 | 4.31 | 0.71 |
| Items | Factor Loadings | % Explained Variance | CR | AVE | Cronbach’s Alpha |
|---|---|---|---|---|---|
| Facilities | 5.39% | 0.795 | 0.508 | 0.765 | |
| The different hotel rooms and facilities in the hotel are pleasant. | 0.991 | ||||
| The facilities are comfortable and welcoming (they are pleasant to be in). | 0.635 | ||||
| The facilities are safe (they meet safety regulations). | 0.587 | ||||
| The hotel rooms and equipment (lifts, bedrooms, corridors, etc.) are in good condition. | 0.547 | ||||
| Personnel | 26.35% | 0.869 | 0.533 | 0.862 | |
| The staff at this hotel are happy to help the guests. | 0.939 | ||||
| The employees care about resolving guests’ problems. | 0.796 | ||||
| Staff are always available to give guests information when needed. | 0.738 | ||||
| The staff are trustworthy; you can trust them. | 0.681 | ||||
| The facilities are clean. | 0.635 | ||||
| The staff look clean and neat. | 0.522 | ||||
| Organization | 23.52% | 0.878 | 0.592 | 0.874 | |
| As a guest, it is easy to obtain information about the different services I request. | 0.841 | ||||
| In this hotel, the guests are the most important thing. | 0.817 | ||||
| The staff are aware of and make an effort to find out the needs of each guest. | 0.769 | ||||
| This hotel effectively resolves any problem the guests may have. | 0.725 | ||||
| The information I was given about my stay as a guest was correct form the start. | 0.683 | ||||
| EFA quality | Bartlett test: Chi2: 5149.282, p < 0.001, KMO: 0.883 | 55.20% |
| Factor | Organization | Personnel | Facilities |
|---|---|---|---|
| Organization | 1.000 | 0.658 | 0.496 |
| Personnel | 0.658 | 1.000 | 0.523 |
| Facilities | 0.496 | 0.523 | 1.000 |
| Model | Collinearity Statistics | |
|---|---|---|
| Tolerance | VIF | |
| Organization | 0.469 | 2.132 |
| Personnel | 0.455 | 2.199 |
| Facilities | 0.671 | 1.490 |
| Variables | Satisfaction | Organization | Personnel | ||||
|---|---|---|---|---|---|---|---|
| Model 1 | Model 2 | Model 3 | Model 4 | Model 5 | Model 6 | Model 7 | |
| Control variables | |||||||
| Age | 0.113 * [0.025, 0.200] | 0.120 * [0.046, 0.194] | 0.144 *** [0.068, 0.220] | −0.113 * [−0.258, −0.008] | −0.089 [−0.217, 0.037] | 0.083 [−0.041, 0.207] | 0.108 [−0.020, 0.236] |
| Sex | −0.148 * [−0.265, −0.030] | −0.122 * [−0.221, −0.024] | −0.091 [−0.195, −0.082] | 0.050 [−0.117, −0.217] | 0.096 [−0.071, −0.263] | −0.153 [−0.320, 0.041] | −0.121 [−0.289, 0.048] |
| Number of trips | 0.029 [−0.072, 0.129] | 0.013 [−0.072, 0.097] | 0.035 [−0.052, 0.127] | 0.149 * [0.057, 0.293] | 0.131 [−0.015, 0.277] | −0.061 [−0.205, 0.082] | −0.111 [−0.258, 0.036] |
| Nationality | 0.017 [−0.059, 0.093] | 0.038 [−0.025, 0.101] | 0.064 [−0.005, 0.125] | −0.082 [−0.190, 0.025] | −0.018 [−0.129, 0.093] | −0.017 [−0.125, 0.098] | −0.013 [−0.125, 0.099] |
| Independent variable | |||||||
| Facilities | c = 0.408 *** [0.349, 0.468] | c’ = 0.189 *** [0.129, 0.248] | 0.170 *** [0.085, 0.249] | a1 = 0.499 *** [0.414, 0.585] | 0.357 *** [0.218, 0.495] | a2 = 0.506 *** [0.421, 0.592] | 0.377 *** [0.237, 0.517] |
| Mediating variables | |||||||
| Organization | b1 = 0.203 *** [0.127, 0.279] | 0.183 *** [0.105, 0.261] | |||||
| Personnel | b2 = 0.234 *** [0.158, 0.310] | 0.249 *** [0.171, 0.326] | |||||
| Moderating variable | |||||||
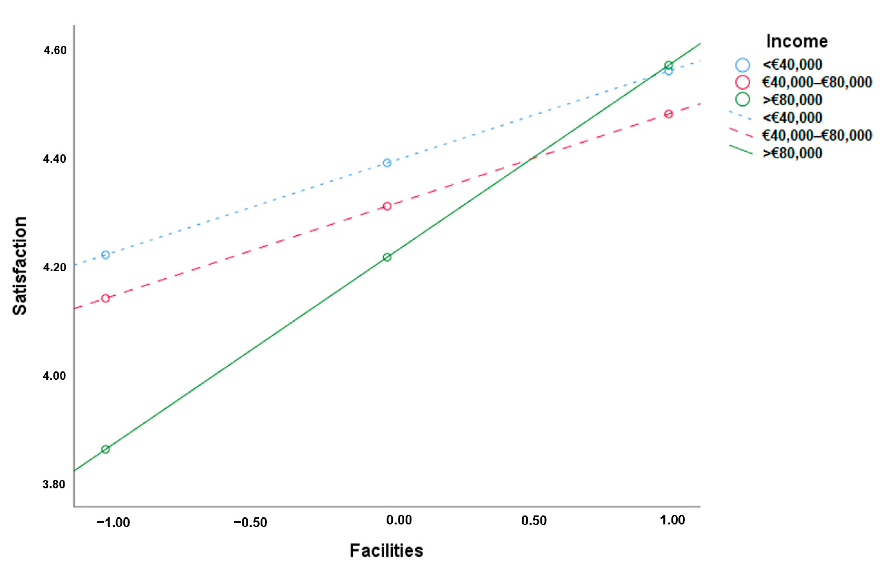
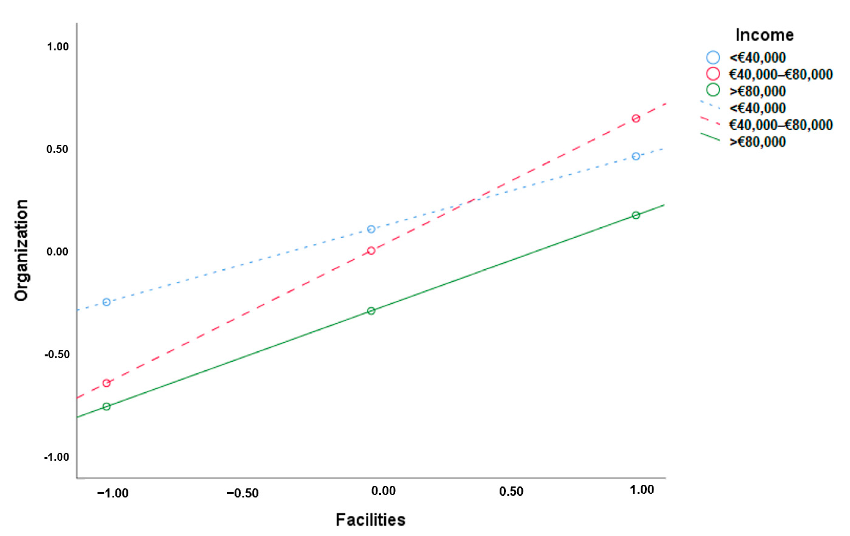
| Family income 1: EUR 40,000–80,000 | −0.079 [−0.199, 0.040] | −0.105 [−0.308, 0.095] | −0.145 [−0.350, 0.062] | ||||
| Family income 2: EUR > 80,000 | −0.174 * [−0.335, −0.013] | −0.399 ** [−0.665, −0.131] | 0.106 [−0.163, 0.375] | ||||
| Interaction | |||||||
| Family income 1 * facilities | 0.001 [−0.111, 0.118] | 0.290 ** [0.103, 0.477] | 0.269 ** [0.080, 0.458] | ||||
| Family income 2 * facilities | 0.185 * [0.037, 0.338] | 0.111 [−0.142, 0.363] | 0.131 [−0.124, 0.383] | ||||
| F-score (df1, df2) | 42.948 (5.370) *** | 68.779 (7, 368) *** | 46.127 (11, 364) *** | 29.764 (5, 370) *** | 19.575 (9.366) *** | 32.089 (5, 370) *** | 19.659 (9, 366) *** |
| R2 | 0.367 | 0.567 | 0.582 | 0.287 | 0.325 | 0.303 | 0.326 |
| Direct Effect | Mediating Variable | First Stage (ai) | Second Stage (bi) | Indirect Effect (Mediator) ai × bi | Global Indirect Effect (Mediator) a1 × b1 + a2 × b2 |
|---|---|---|---|---|---|
| 0.189 [0.19, 0.248] | Organization | 0.189 [0.19, 0.248] | 0.189 [0.19, 0.248] | 0.189 [0.19, 0.248] | 0.189 [0.19, 0.248] |
| Personnel | 0.189 [0.19, 0.248] | 0.189 [0.19, 0.248] | 0.189 [0.19, 0.248] | ||
| Effect difference: −0.017 [0.113, 0.068] |
| Mediator Variables | |||||
|---|---|---|---|---|---|
| Organization | Personnel | ||||
| Moderating Variable | Direct Effect (c’) | Indirect Effect (Mediator) Organization (a1 × b1) | Moderate Mediation Index Organization | Indirect Effect (Mediator) Personnel (a2 × b2) | Moderation Mediation Index Personnel |
| T1: EUR < 40,000 | 0.170 [0.085, 0.259] | 0.065 [0.025, 0.110] | 0.093 [0.052, 0.149] | ||
| T2: EUR 40,000–80,000 | 0.170 [0.085, 0.255] | 0.118 [0.048, 0.185] | 0.161 [0.097, 0.235] | ||
| T3: EUR > 80,000 | 0.355 [0.226, 0.484] | 0.085 [0.027, 0.161] | 0.126 [0.059, 0.208] | ||
| Difference T2-T1 | 0.053 [0.017, 0.093] | T1: 0.053 [0.017, 0.093] T2: 0.020 [−0.018, 0.071] | 0.067 [0.028, 0.121] | T1: 0.067 [0.028, 0.121] T2: 0.032 [−0.036, 0.099] | |
| Difference T3-T1 | 0.020 [−0.018, 0.071] | 0.032 [−0.036, 0.099] | |||
| Difference T3-T2 | −0.032 [−0.074, 0.008] | −0.034 [−0.102, 0.024] | |||
| Hypothesis | Results | |
|---|---|---|
| H1 | The perceived quality of hotel facilities will be positively associated with customer satisfaction, | Supported |
| H2a | The perceived quality of a business organization mediates the relationship between hotel facilities and customer satisfaction. | Supported |
| H2b | The perceived quality of the personnel mediates the relationship between hotel facilities and customer satisfaction. | Supported |
| H3a | The level of family income moderates the relationship between hotel facilities and customer satisfaction. | Supported |
| H3b | The level of family income moderates the relationship between hotel facilities and the perceived quality of a business organization. | Supported |
| H3c | The level of family income moderates the relationship between hotel facilities and the perceived quality of the personnel. | Supported |
| H4a | The level of family income moderates the mediating effect of the business organization on the relationship between hotel facilities and customer satisfaction. | Supported |
| H4b | The level of family income moderates the mediating effect of the personnel on the relationship between hotel facilities and customer satisfaction. | Supported |
Disclaimer/Publisher’s Note: The statements, opinions and data contained in all publications are solely those of the individual author(s) and contributor(s) and not of MDPI and/or the editor(s). MDPI and/or the editor(s) disclaim responsibility for any injury to people or property resulting from any ideas, methods, instructions or products referred to in the content. |
© 2023 by the author. Licensee MDPI, Basel, Switzerland. This article is an open access article distributed under the terms and conditions of the Creative Commons Attribution (CC BY) license (https://creativecommons.org/licenses/by/4.0/).
Share and Cite
Baquero, A. Is Customer Satisfaction Achieved Only with Good Hotel Facilities? A Moderated Mediation Model. Adm. Sci. 2023, 13, 108. https://doi.org/10.3390/admsci13040108
Baquero A. Is Customer Satisfaction Achieved Only with Good Hotel Facilities? A Moderated Mediation Model. Administrative Sciences. 2023; 13(4):108. https://doi.org/10.3390/admsci13040108
Chicago/Turabian StyleBaquero, Asier. 2023. "Is Customer Satisfaction Achieved Only with Good Hotel Facilities? A Moderated Mediation Model" Administrative Sciences 13, no. 4: 108. https://doi.org/10.3390/admsci13040108
APA StyleBaquero, A. (2023). Is Customer Satisfaction Achieved Only with Good Hotel Facilities? A Moderated Mediation Model. Administrative Sciences, 13(4), 108. https://doi.org/10.3390/admsci13040108
