Corticomuscular Coherence and Motor Control Adaptations after Isometric Maximal Strength Training
Abstract
1. Introduction
2. Materials and Methods
2.1. Subjects
2.2. Materials
2.3. Experimental Setup
2.4. Training Sessions
2.5. Evaluation Sessions
2.6. Data Processing
2.6.1. Preprocessing
2.6.2. Net Ankle Torque Processing
2.6.3. Muscle Activation
2.6.4. Corticomuscular Coherence
2.7. Statistical Analysis
3. Results
3.1. Torque Production during Maximal Voluntary Isometric Contractions
3.2. Torque Production during Submaximal Contractions
3.3. Accuracy and Variability of the Torque Production during Submaximal Contraction
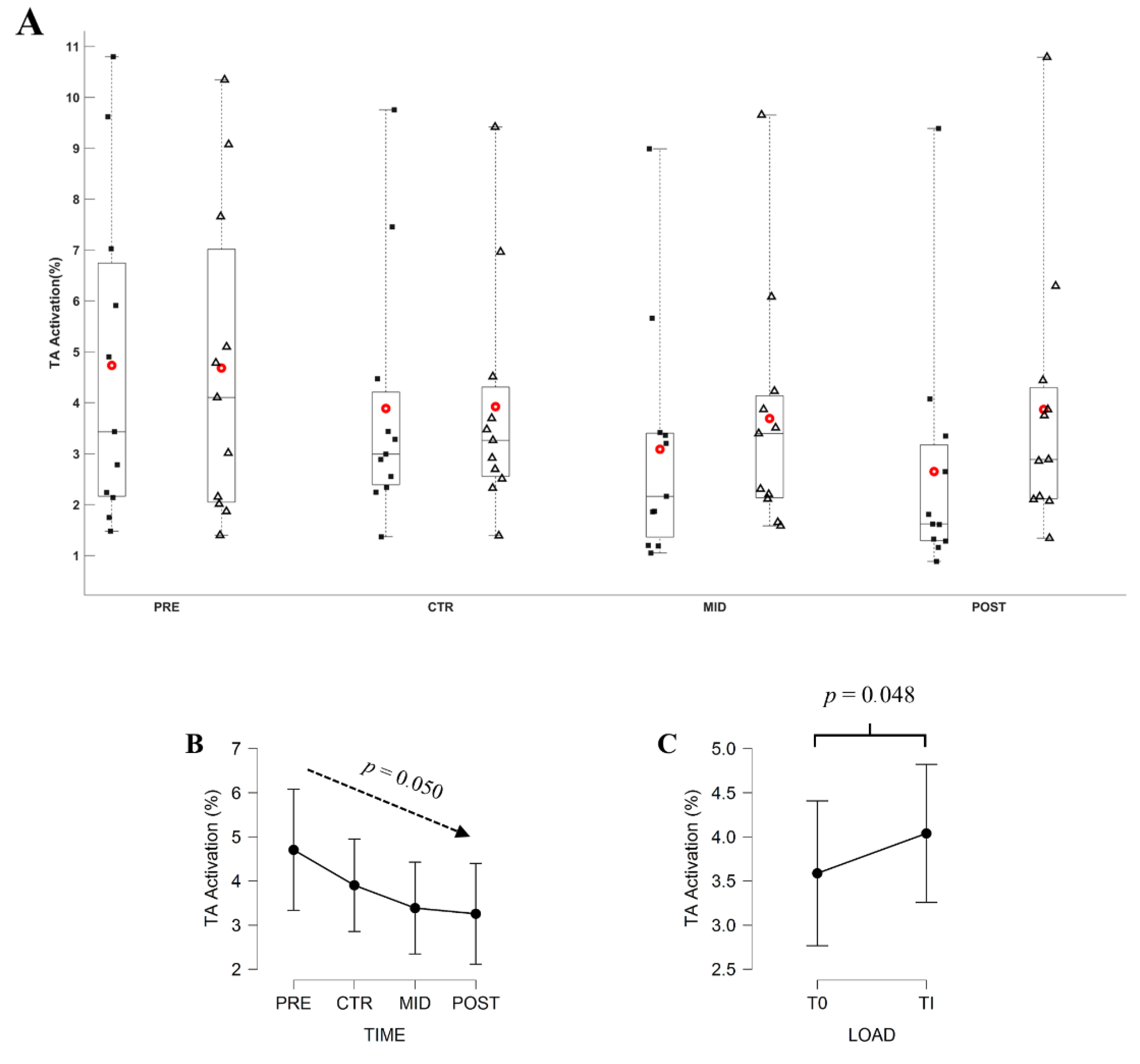
3.4. Muscle Activation
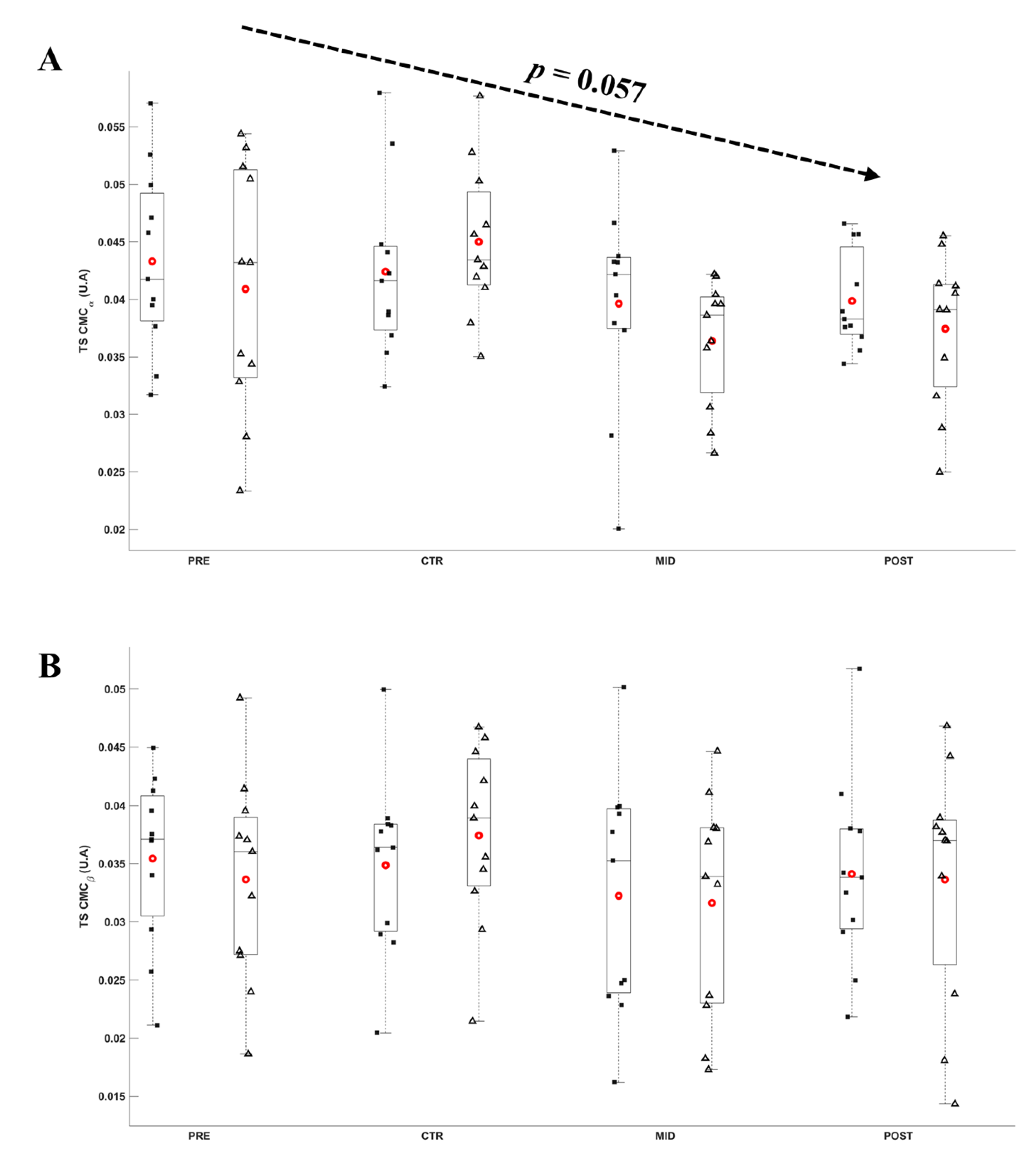
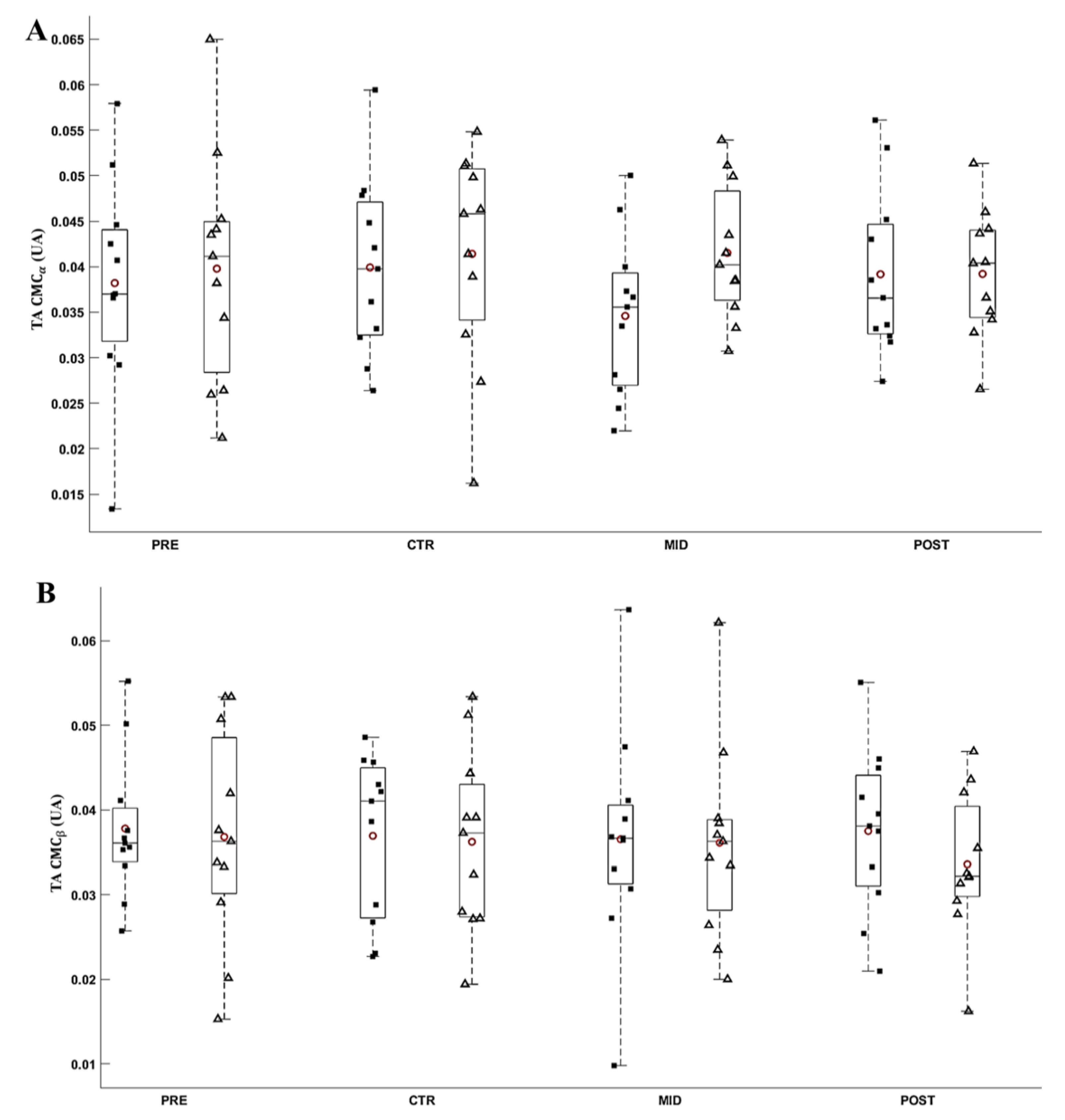
3.5. CMC Magnitude
4. Discussion
4.1. Muscle and Torque Adaptations Are Noticeable as Soon as One Week of MST
4.2. MST Improves Motor Control of Submaximal Contractions
4.3. CMC Is Not Altered after 4 Week MST
5. Conclusions
Supplementary Materials
Author Contributions
Funding
Institutional Review Board Statement
Informed Consent Statement
Data Availability Statement
Acknowledgments
Conflicts of Interest
References
- Gribble, P.L.; Mullin, L.I.; Cothros, N.; Mattar, A. Role of cocontraction in arm movement accuracy. J. Neurophysiol. 2003, 89, 2396–2405. [Google Scholar] [CrossRef]
- Latash, M.L. Muscle coactivation: Definitions, mechanisms, and functions. J. Neurophysiol. 2018, 120, 88–104. [Google Scholar] [CrossRef] [PubMed]
- Remaud, A.; Guevel, A.; Cornu, C. Antagonist muscle coactivation and muscle inhibition: Effects on external torque regulation and resistance training-induced adaptations. Neurophysiol. Clin. Clin. Neurophysiol. 2007, 37, 1–14. [Google Scholar] [CrossRef] [PubMed]
- Carolan, B.; Cafarelli, E. Adaptations in coactivation after isometric resistance training. J. Appl. Physiol. 1992, 73, 911–917. [Google Scholar] [CrossRef] [PubMed]
- Hortobagyi, T.; Tunnel, D.; Moody, J.; Beam, S.; DeVita, P. Low-or high-intensity strength training partially restores impaired quadriceps force accuracy and steadiness in aged adults. J. Gerontol. Ser. A Biol. Sci. Med. Sci. 2001, 56, B38–B47. [Google Scholar] [CrossRef] [PubMed]
- Dal Maso, F.; Longcamp, M.; Amarantini, D. Training-related decrease in antagonist muscles activation is associated with increased motor cortex activation: Evidence of central mechanisms for control of antagonist muscles. Exp. Brain Res. 2012, 220, 287–295. [Google Scholar] [CrossRef] [PubMed]
- Dal Maso, F.; Longcamp, M.; Cremoux, S.; Amarantini, D. Effect of training status on beta-range corticomuscular coherence in agonist vs. antagonist muscles during isometric knee contractions. Exp. Brain Res. 2017, 235, 3023–3031. [Google Scholar] [CrossRef] [PubMed]
- Liu, J.; Sheng, Y.; Zeng, J.; Liu, H. Corticomuscular coherence for upper arm flexor and extensor muscles during isometric exercise and cyclically isokinetic movement. Front. Neurosci. 2019, 13, 522. [Google Scholar] [CrossRef]
- Lemon, R.N. Descending pathways in motor control. Annu. Rev. Neurosci. 2008, 31, 195–218. [Google Scholar] [CrossRef]
- Desmyttere, G.; Mathieu, E.; Begon, M.; Simoneau-Buessinger, E.; Cremoux, S. Effect of the phase of force production on corticomuscular coherence with agonist and antagonist muscles. Eur. J. Neurosci. 2018, 48, 3288–3298. [Google Scholar] [CrossRef] [PubMed]
- Ushiyama, J.; Takahashi, Y.; Ushiba, J. Muscle dependency of corticomuscular coherence in upper and lower limb muscles and training-related alterations in ballet dancers and weightlifters. J. Appl. Physiol. 2010, 109, 1086–1095. [Google Scholar] [CrossRef]
- Bayram, M.B.; Siemionow, V.; Yue, G.H. Weakening of corticomuscular signal coupling during voluntary motor action in aging. J. Gerontol. Ser. A Biomed. Sci. Med. Sci. 2015, 70, 1037–1043. [Google Scholar] [CrossRef] [PubMed]
- Cremoux, S.; Amarantini, D.; Tallet, J.; Dal Maso, F.; Berton, E. Increased antagonist muscle activity in cervical SCI patients suggests altered reciprocal inhibition during elbow contractions. Clin. Neurophysiol. 2016, 127, 629–634. [Google Scholar] [CrossRef]
- Caviness, J.N.; Shill, H.A.; Sabbagh, M.N.; Evidente, V.G.; Hernandez, J.L.; Adler, C.H. Corticomuscular coherence is increased in the small postural tremor of Parkinson’s disease. Mov. Disord. Off. J. Mov. Disord. Soc. 2006, 21, 492–499. [Google Scholar] [CrossRef]
- Omlor, W.; Patino, L.; Mendez-Balbuena, I.; Schulte-Mönting, J.; Kristeva, R. Corticospinal beta-range coherence is highly dependent on the pre-stationary motor state. J. Neurosci. 2011, 31, 8037–8045. [Google Scholar] [CrossRef] [PubMed]
- Mehrkanoon, S.; Breakspear, M.; Boonstra, T.W. The reorganization of corticomuscular coherence during a transition between sensorimotor states. Neuroimage 2014, 100, 692–702. [Google Scholar] [CrossRef]
- Perez, M.A.; Lundbye-Jensen, J.; Nielsen, J.B. Changes in corticospinal drive to spinal motoneurones following visuo-motor skill learning in humans. J. Physiol. 2006, 573, 843–855. [Google Scholar] [CrossRef] [PubMed]
- Phillips, S.M. Short-term training: When do repeated bouts of resistance exercise become training? Can. J. Appl. Physiol. 2000, 25, 185–193. [Google Scholar] [CrossRef] [PubMed]
- Pan, L.L.H.; Yang, W.W.; Kao, C.L.; Tsai, M.W.; Wei, S.H.; Fregni, F.; Chou, L.W. Effects of 8-week sensory electrical stimulation combined with motor training on EEG-EMG coherence and motor function in individuals with stroke. Sci. Rep. 2018, 8, 1–10. [Google Scholar] [CrossRef]
- Cremoux, S.; Elie, D.; Rovsing, C.; Rovsing, H.; Jochumsen, M.; Haavik, H.; Niazi, I.K. Functional and corticomuscular changes associated with early phase of motor training. In International Conference on NeuroRehabilitation; Springer: Cham, Germany, 2018; pp. 759–763. [Google Scholar]
- Laidlaw, D.H.; Kornatz, K.W.; Keen, D.A.; Suzuki, S.; Enoka, R.M. Strength training improves the steadiness of slow lengthening contractions performed by old adults. J. Appl. Physiol. 1999, 87, 1786–1795. [Google Scholar] [CrossRef]
- Heggelund, J.; Fimland, M.S.; Helgerud, J.; Hoff, J. Maximal strength training improves work economy, rate of force development and maximal strength more than conventional strength training. Eur. J. Appl. Physiol. 2013, 113, 1565–1573. [Google Scholar] [CrossRef] [PubMed]
- Lum, D.; Barbosa, T.M. Brief review: Effects of isometric strength training on strength and dynamic performance. Int. J. Sports Med. 2019, 40, 363–375. [Google Scholar] [CrossRef] [PubMed]
- Tøien, T.; Unhjem, R.; Øren, T.S.; Kvellestad, A.C.G.; Hoff, J.; Wang, E. Neural plasticity with age: Unilateral maximal strength training augments efferent neural drive to the contralateral limb in older adults. J. Gerontol. Ser. A 2018, 73, 596–602. [Google Scholar] [CrossRef] [PubMed]
- Wang, E.; Nyberg, S.K.; Hoff, J.; Zhao, J.; Leivseth, G.; Tørhaug, T.; Richardson, R.S. Impact of maximal strength training on work efficiency and muscle fiber type in the elderly: Implications for physical function and fall prevention. Exp. Gerontol. 2017, 91, 64–71. [Google Scholar] [CrossRef] [PubMed]
- Hoff, J.; Tjønna, A.E.; Steinshamn, S.; Høydal, M.; Richardson, R.S.; Helgerud, J. Maximal strength training of the legs in COPD: A therapy for mechanical inefficiency. Med. Sci. Sports Exerc. 2017, 39, 220–226. [Google Scholar] [CrossRef]
- Karpatkin, H.I.; Cohen, E.T.; Klein, S.; Park, D.; Wright, C.; Zervas, M. The effect of maximal strength training on strength, walking, and balance in people with multiple sclerosis: A pilot study. Mult. Scler. Int. 2016, 2016. [Google Scholar] [CrossRef]
- Keogh, J.W.; Morrison, S.; Barrett, R. Strength training improves the tri-digit finger-pinch force control of older adults. Arch. Phys. Med. Rehabil. 2007, 88, 1055–1063. [Google Scholar] [CrossRef]
- Tracy, B.L.; Byrnes, W.C.; Enoka, R.M. Strength training reduces force fluctuations during anisometric contractions of the quadriceps femoris muscles in old adults. J. Appl. Physiol. 2004, 96, 1530–1540. [Google Scholar] [CrossRef]
- Bru, B.; Amarantini, D. Influence of sporting expertise on the EMG-torque relationship during isometric contraction in man. Comput. Methods Biomech. Biomed. Eng. 2008, 11, 43–44. [Google Scholar] [CrossRef]
- Chapman, J.P.; Chapman, L.J.; Allen, J.J. The measurement of foot preference. Neuropsychologia 1987, 25, 579–584. [Google Scholar] [CrossRef]
- Toumi, A.; Leteneur, S.; Gillet, C.; Debril, J.F.; Decoufour, N.; Barbier, F.; Simoneau-Buessinger, E. Enhanced precision of ankle torque measure with an open-unit dynamometer mounted with a 3D force-torque sensor. Eur. J. Appl. Physiol. 2015, 115, 2303–2310. [Google Scholar] [CrossRef]
- Hermens, H.J.; Freriks, B.; Merletti, R.; Stegeman, D.; Blok, J.; Rau, G.; Hägg, G. European recommendations for surface electromyography. Roessingh Res. Dev. 1999, 8, 13–54. [Google Scholar]
- Jochumsen, M.; Niazi, I.K.; Nedergaard, R.W.; Navid, M.S.; Dremstrup, K. Effect of subject training on a movement-related cortical potential-based brain-computer interface. Biomed. Signal Process. Control 2018, 41, 63–68. [Google Scholar] [CrossRef]
- Delorme, A.; Makeig, S. EEGLAB: An open source toolbox for analysis of single-trial EEG dynamics including independent component analysis. J. Neurosci. Methods 2004, 134, 9–21. [Google Scholar] [CrossRef]
- Cremoux, S.; Tallet, J.; Berton, E.; Dal Maso, F.; Amarantini, D. Does the force level modulate the cortical activity during isometric contractions after a cervical spinal cord injury? Clin. Neurophysiol. 2013, 124, 1005–1012. [Google Scholar] [CrossRef]
- Shiavi, R.; Frigo, C.; Pedotti, A. Electromyographic signals during gait: Criteria for envelope filtering and number of strides. Med. Biol. Eng. Comput. 1998, 36, 171–178. [Google Scholar] [CrossRef] [PubMed]
- Bigot, J.; Longcamp, M.; Dal Maso, F.; Amarantini, D. A new statistical test based on the wavelet cross-spectrum to detect time–frequency dependence between non-stationary signals: Application to the analysis of cortico-muscular interactions. NeuroImage 2011, 55, 1504–1518. [Google Scholar] [CrossRef]
- Grinsted, A.; Moore, J.C.; Jevrejeva, S. Application of the cross wavelet transform and wavelet coherence to geophysical time series. Nonlinear Process. Geophys. 2004, 11, 561–566. [Google Scholar] [CrossRef]
- Hill, T.R.; Gjellesvik, T.I.; Moen, P.M.R.; Tørhaug, T.; Fimland, M.S.; Helgerud, J.; Hoff, J. Maximal strength training enhances strength and functional performance in chronic stroke survivors. Am. J. Phys. Med. Rehabil. 2012, 91, 393–400. [Google Scholar] [CrossRef]
- Engsberg, J.R.; Ross, S.A.; Collins, D.R. Increasing ankle strength to improve gait and function in children with cerebral palsy: A pilot study. Pediatric Phys. Ther. 2006, 18, 266–275. [Google Scholar] [CrossRef]
- Olsen, J.E.; Ross, S.A.; Foreman, M.H.; Engsberg, J.R. Changes in muscle activation following ankle strength training in children with spastic cerebral palsy: An electromyography feasibility case report. Phys. Occup. Ther. Pediatrics 2013, 33, 230–242. [Google Scholar] [CrossRef]
- Morrissey, M.C.; Harman, E.A.; Johnson, M.J. Resistance training modes: Specificity and effectiveness. Med. Sci. Sports Exerc. 1995, 27, 648–660. [Google Scholar] [CrossRef]
- Fimland, M.S.; Helgerud, J.; Gruber, M.; Leivseth, G.; Hoff, J. Enhanced neural drive after maximal strength training in multiple sclerosis patients. Eur. J. Appl. Physiol. 2010, 110, 435–443. [Google Scholar] [CrossRef]
- Fimland, M.S.; Helgerud, J.; Solstad, G.M.; Iversen, V.M.; Leivseth, G.; Hoff, J. Neural adaptations underlying cross-education after unilateral strength training. Eur. J. Appl. Physiol. 2009, 107, 723. [Google Scholar] [CrossRef]
- Kidgell, D.J.; Sale, M.V.; Semmler, J.G. Motor unit synchronization measured by cross-correlation is not influenced by short-term strength training of a hand muscle. Exp. Brain Res. 2006, 175, 745–753. [Google Scholar] [CrossRef]
- Kubo, K.; Ikebukuro, T.; Yata, H.; Tsunoda, N.; Kanehisa, H. Time course of changes in muscle and tendon properties during strength training and detraining. J. Strength Cond. Res. 2010, 24, 322–331. [Google Scholar] [CrossRef] [PubMed]
- Kubo, K.; Ikebukuro, T.; Maki, A.; Yata, H.; Tsunoda, N. Time course of changes in the human Achilles tendon properties and metabolism during training and detraining in vivo. Eur. J. Appl. Physiol. 2012, 112, 2679–2691. [Google Scholar] [CrossRef] [PubMed]
- Geremia, J.M.; Baroni, B.M.; Bobbert, M.F.; Bini, R.R.; Lanferdini, F.J.; Vaz, M.A. Effects of high loading by eccentric triceps surae training on Achilles tendon properties in humans. Eur. J. Appl. Physiol. 2018, 118, 1725–1736. [Google Scholar] [CrossRef] [PubMed]
- Kellis, E. Quantification of quadriceps and hamstring antagonist activity. Sports Med. 1998, 25, 37–62. [Google Scholar] [CrossRef]
- Gennaro, F.; de Bruin, E.D. A pilot study assessing reliability and age-related differences in corticomuscular and intramuscular coherence in ankle dorsiflexors during walking. Physiol. Rep. 2020, 8, e14378. [Google Scholar] [CrossRef]
- Pohja, M.; Salenius, S.; Hari, R. Reproducibility of cortex–muscle coherence. Neuroimage 2005, 26, 764–770. [Google Scholar] [CrossRef] [PubMed]
- van Asseldonk, E.H.; Campfens, S.F.; Verwer, S.J.; van Putten, M.J.; Stegeman, D.F. Reliability and agreement of intramuscular coherence in tibialis anterior muscle. PLoS ONE 2014, 9, e88428. [Google Scholar] [CrossRef] [PubMed]
- Hug, F.; Del Vecchio, A.; Avrillon, S.; Farina, D.; Tucker, K.J. Muscles from the same muscle group do not necessarily share common drive: Evidence from the human triceps surae. J. Appl. Physiol. 2021, 130, 269–281. [Google Scholar] [CrossRef] [PubMed]
- Signal, N.E. Strength training after stroke: Rationale, evidence and potential implementation barriers for physiotherapists. N. Z. J. Physiother. 2014, 42, 101–107. [Google Scholar]










Publisher’s Note: MDPI stays neutral with regard to jurisdictional claims in published maps and institutional affiliations. |
© 2021 by the authors. Licensee MDPI, Basel, Switzerland. This article is an open access article distributed under the terms and conditions of the Creative Commons Attribution (CC BY) license (http://creativecommons.org/licenses/by/4.0/).
Share and Cite
Elie, D.; Barbier, F.; Ido, G.; Cremoux, S. Corticomuscular Coherence and Motor Control Adaptations after Isometric Maximal Strength Training. Brain Sci. 2021, 11, 254. https://doi.org/10.3390/brainsci11020254
Elie D, Barbier F, Ido G, Cremoux S. Corticomuscular Coherence and Motor Control Adaptations after Isometric Maximal Strength Training. Brain Sciences. 2021; 11(2):254. https://doi.org/10.3390/brainsci11020254
Chicago/Turabian StyleElie, Dimitri, Franck Barbier, Ghassan Ido, and Sylvain Cremoux. 2021. "Corticomuscular Coherence and Motor Control Adaptations after Isometric Maximal Strength Training" Brain Sciences 11, no. 2: 254. https://doi.org/10.3390/brainsci11020254
APA StyleElie, D., Barbier, F., Ido, G., & Cremoux, S. (2021). Corticomuscular Coherence and Motor Control Adaptations after Isometric Maximal Strength Training. Brain Sciences, 11(2), 254. https://doi.org/10.3390/brainsci11020254

