Electrophysiological Comparison of Cumulative Area and Non-Symbolic Number Judgments
Abstract
1. Introduction
1.1. Approximate Magnitude Representations: Number and Cumulative Area
1.2. Ratio and Congruity Effects
1.3. Timing of Interaction Effects in Non-Symbolic Magnitude Tasks
1.4. The Present Study
2. Method
2.1. Participants
2.2. Apparatus
2.3. Stimuli
2.4. Procedure
2.5. Data Reduction
3. Results
3.1. Behavioral Results
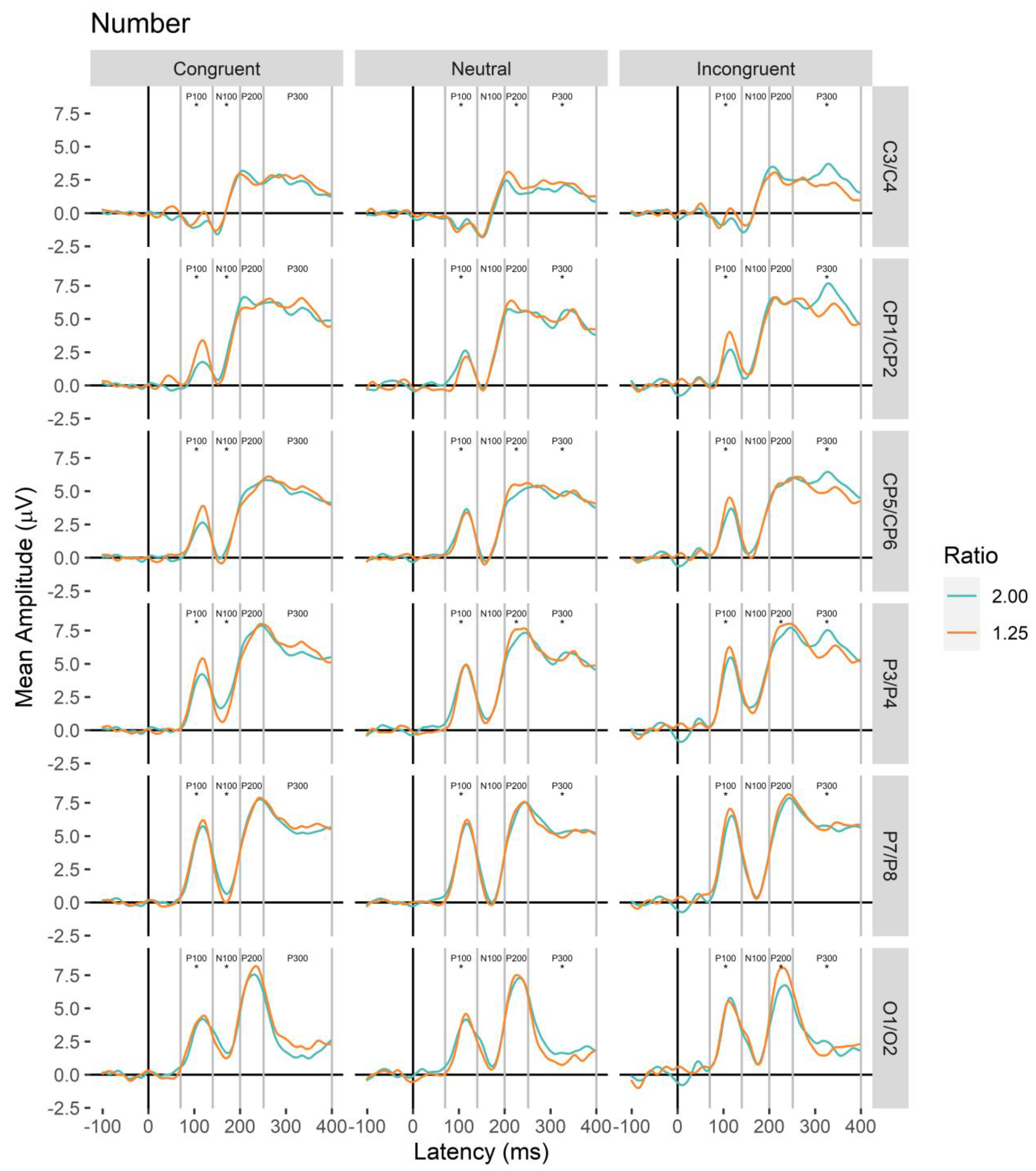
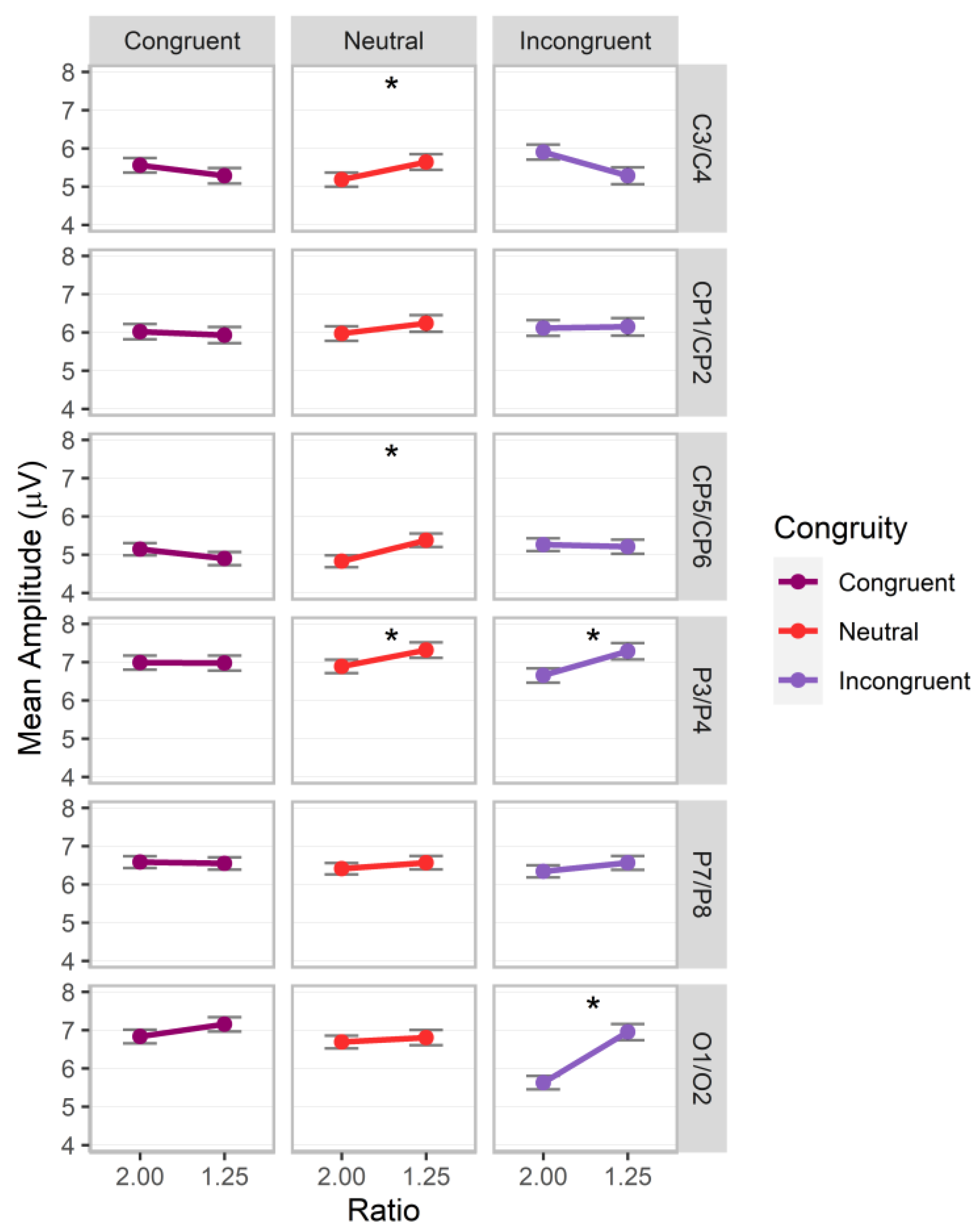
3.2. ERP Results
3.3. P100
3.4. N100
3.5. P200
3.6. P300
3.7. ERP Results Summary
4. Discussion
4.1. Early Ratio and Congruity Effects for Magnitude Judgments
4.2. Implications for Representing Number and Cumulative Area
4.3. Limitations and Future Directions
5. Conclusions
Supplementary Materials
Author Contributions
Funding
Institutional Review Board Statement
Informed Consent Statement
Data Availability Statement
Acknowledgments
Conflicts of Interest
References
- Gilmore, C.; Attridge, N.; Clayton, S.; Cragg, L.; Johnson, S.; Marlow, N.; Simms, V.; Inglis, M. Individual Differences in Inhibitory Control, Not Non-Verbal Number Acuity, Correlate with Mathematics Achievement. PLoS ONE 2013, 8, e67374. [Google Scholar] [CrossRef] [PubMed]
- Halberda, J.; Mazzocco, M.M.M.; Feigenson, L. Individual Differences in Non-Verbal Number Acuity Correlate with Maths Achievement. Nature 2008, 455, 665–668. [Google Scholar] [CrossRef] [PubMed]
- Lourenco, S.F.; Bonny, J.W.; Fernandez, E.P.; Rao, S. Nonsymbolic Number and Cumulative Area Representations Contribute Shared and Unique Variance to Symbolic Math Competence. Proc. Natl. Acad. Sci. USA 2012, 109, 18737–18742. [Google Scholar] [CrossRef] [PubMed]
- Lyons, I.M.; Beilock, S.L. Numerical Ordering Ability Mediates the Relation between Number-Sense and Arithmetic Competence. Cognition 2011, 121, 256–261. [Google Scholar] [CrossRef] [PubMed]
- Starr, A.; Libertus, M.E.; Brannon, E.M. Number Sense in Infancy Predicts Mathematical Abilities in Childhood. Proc. Natl. Acad. Sci. USA 2013, 110, 18116–18120. [Google Scholar] [CrossRef]
- Piazza, M.; Facoetti, A.; Trussardi, A.N.; Berteletti, I.; Conte, S.; Lucangeli, D.; Dehaene, S.; Zorzi, M. Developmental Trajectory of Number Acuity Reveals a Severe Impairment in Developmental Dyscalculia. Cognition 2010, 116, 33–41. [Google Scholar] [CrossRef]
- Bueti, D.; Walsh, V. The Parietal Cortex and the Representation of Time, Space, Number and Other Magnitudes. Philos. Trans. R. Soc. B Biol. Sci. 2009, 364, 1831–1840. [Google Scholar] [CrossRef]
- Henik, A.; Leibovich, T.; Naparstek, S.; Diesendruck, L.; Rubinsten, O. Quantities, Amounts, and the Numerical Core System. Front. Hum. Neurosci. 2011, 5, 186. [Google Scholar] [CrossRef]
- Henik, A.; Tzelgov, J. Is Three Greater than Five: The Relation between Physical and Semantic Size in Comparison Tasks. Mem. Cogn. 1982, 10, 389–395. [Google Scholar] [CrossRef]
- Santens, S.; Verguts, T. The Size Congruity Effect: Is Bigger Always More? Cognition 2011, 118, 94–110. [Google Scholar] [CrossRef]
- Gebuis, T.; Kenemans, J.L.; de Haan, E.H.F.F.; van der Smagt, M.J. Conflict Processing of Symbolic and Non-Symbolic Numerosity. Neuropsychologia 2010, 48, 394–401. [Google Scholar] [CrossRef]
- Szucs, D.; Soltész, F. The Interaction of Task-Relevant and Task-Irrelevant Stimulus Features in the Number/Size Congruency Paradigm: An ERP Study. Brain Res. 2008, 1190, 143–158. [Google Scholar] [CrossRef] [PubMed]
- Cohen Kadosh, R.; Cohen Kadosh, K.; Linden, D.E.J.; Gevers, W.; Berger, A.; Henik, A. The Brain Locus of Interaction between Number and Size: A Combined Functional Magnetic Resonance Imaging and Event-Related Potential Study. J. Cogn. Neurosci. 2007, 19, 957–970. [Google Scholar] [CrossRef] [PubMed]
- Cantlon, J.F.; Safford, K.E.; Brannon, E.M. Spontaneous Analog Number Representations in 3-Year-Old Children. Dev. Sci. 2010, 13, 289–297. [Google Scholar] [CrossRef]
- Castelli, F.; Glaser, D.E.; Butterworth, B. Discrete and Analogue Quantity Processing in the Parietal Lobe: A Functional MRI Study. Proc. Natl. Acad. Sci. USA 2006, 103, 4693–4698. [Google Scholar] [CrossRef] [PubMed]
- Odic, D.; Halberda, J. Eye Movements Reveal Distinct Encoding Patterns for Number and Cumulative Surface Area in Random Dot Arrays. J. Vis. 2015, 15, 1–15. [Google Scholar] [CrossRef] [PubMed]
- Cordes, S.; Brannon, E.M. Quantitative Competencies in Infancy. Dev. Sci. 2008, 11, 803–808. [Google Scholar] [CrossRef]
- Buckley, P.B.; Gillman, C.B. Comparisons of Digits and Dot Patterns. J. Exp. Psychol. 1974, 103, 1131–1136. [Google Scholar] [CrossRef]
- Halberda, J.; Feigenson, L. Developmental Change in the Acuity of the “Number Sense”: The Approximate Number System in 3-, 4-, 5-, and 6-Year-Olds and Adults. Dev. Psychol. 2008, 44, 1457–1465. [Google Scholar] [CrossRef]
- Lambrechts, A.; Karolis, V.; Garcia, S.; Obende, J.; Cappelletti, M. Age Does Not Count: Resilience of Quantity Processing in Healthy Ageing. Front. Psychol. 2013, 4, 865. [Google Scholar] [CrossRef]
- Dehaene, S.; Changeux, J. Development of Elementary Numerical Abilities: A Neuronal Model. J. Cogn. Neurosci. 1993, 5, 390–407. [Google Scholar] [CrossRef]
- Gallistel, C.; Gelman, R. Preverbal and Verbal Counting and Computation. Cognition 1992, 44, 43–74. [Google Scholar] [CrossRef]
- Barth, H.C. Judgments of Discrete and Continuous Quantity: An Illusory Stroop Effect. Cognition 2008, 109, 251–266. [Google Scholar] [CrossRef]
- Lourenco, S.F.; Bonny, J.W. Representations of Numerical and Non-Numerical Magnitude Both Contribute to Mathematical Competence in Children. Dev. Sci. 2017, 20, e12418. [Google Scholar] [CrossRef] [PubMed]
- Cantlon, J.F.; Brannon, E.M.; Carter, E.J.; Pelphrey, K.A. Functional Imaging of Numerical Processing in Adults and 4-y-Old Children. PLoS Biol. 2006, 4, e125. [Google Scholar] [CrossRef]
- Cantlon, J.F.; Libertus, M.E.; Pinel, P.; Dehaene, S.; Brannon, E.M.; Pelphrey, K.A. The Neural Development of an Abstract Concept of Number. J. Cogn. Neurosci. 2009, 21, 2217–2229. [Google Scholar] [CrossRef]
- Jacob, S.N.; Nieder, A. Tuning to Non-Symbolic Proportions in the Human Frontoparietal Cortex. Eur. J. Neurosci. 2009, 30, 1432–1442. [Google Scholar] [CrossRef] [PubMed]
- Piazza, M.; Izard, V.; Pinel, P.; Le Bihan, D.; Dehaene, S. Tuning Curves for Approximate Numerosity in the Human Intraparietal Sulcus. Neuron 2004, 44, 547–555. [Google Scholar] [CrossRef] [PubMed]
- Pinel, P.; Piazza, M.; Le Bihan, D.; Dehaene, S. Distributed and Overlapping Cerebral Representations of Number, Size, and Luminance during Comparative Judgments. Neuron 2004, 41, 983–993. [Google Scholar] [CrossRef]
- Lourenco, S.F. On the Relation between Numerical and Non-Numerical Magnitudes: Evidence for a General Magnitude System. In Mathematical Cognition and Learning: Evolutionary Origins and Early Development of Number Processing; Geary, D.C., Berch, D.B., Koepke, K.M., Eds.; Academic Press: New York, NY, USA, 2015; pp. 145–174. ISBN 978-0-12-420133-0. [Google Scholar]
- Lourenco, S.F.; Longo, M.R. General Magnitude Representation in Human Infants. Psychol. Sci. 2010, 21, 873–881. [Google Scholar] [CrossRef]
- Walsh, V. A Theory of Magnitude: Common Cortical Metrics of Time, Space and Quantity. Trends Cogn. Sci. 2003, 7, 483–488. [Google Scholar] [CrossRef] [PubMed]
- Cohen Kadosh, R.; Cohen Kadosh, K.; Henik, A.; Linden, D.E.J. Processing Conflicting Information: Facilitation, Interference, and Functional Connectivity. Neuropsychologia 2008, 46, 2872–2879. [Google Scholar] [CrossRef] [PubMed]
- Duncan, E.M.; McFarland, C.E. Isolating the Effects of Symbolic Distance, and Semantic Congruity in Comparative Judgments: An Additive-Factors Analysis. Mem. Cogn. 1980, 8, 612–622. [Google Scholar] [CrossRef] [PubMed]
- Girelli, L.; Lucangeli, D.; Butterworth, B. The Development of Automaticity in Accessing Number Magnitude. J. Exp. Child Psychol. 2000, 76, 104–122. [Google Scholar] [CrossRef]
- Ansari, D.; Fugelsang, J.; Dhital, B.; Venkatraman, V. Dissociating Response Conflict from Numerical Magnitude Processing in the Brain: An Event-Related FMRI Study. NeuroImage 2006, 32, 799–805. [Google Scholar] [CrossRef]
- Kaufmann, L.; Koppelstaetter, F.; Siedentopf, C.; Haala, I.; Haberlandt, E.; Zimmerhackl, L.-B.; Felber, S.; Ischebeck, A. Neural Correlates of the Number-Size Interference Task in Children. Neuroreport 2006, 17, 587–591. [Google Scholar] [CrossRef]
- Gebuis, T.; Reynvoet, B. The Role of Visual Information in Numerosity Estimation. PLoS ONE 2012, 7, e37426. [Google Scholar] [CrossRef]
- Gebuis, T.; Herfs, I.K.; Kenemans, J.L.; de Haan, E.H.F.; van der Smagt, M.J. The Development of Automated Access to Symbolic and Non-Symbolic Number Knowledge in Children: An ERP Study. Eur. J. Neurosci. 2009, 30, 1999–2008. [Google Scholar] [CrossRef]
- Dehaene, S. The Organization of Brain Activations in Number Comparison: Event-Related Potentials and the Additive-Factors Method. J. Cogn. Neurosci. 1996, 8, 47–68. [Google Scholar] [CrossRef]
- Temple, E.; Posner, M.I. Brain Mechanisms of Quantity Are Similar in 5-Year-Old Children and Adults. Proc. Natl. Acad. Sci. USA 1998, 95, 7836–7841. [Google Scholar] [CrossRef]
- Hyde, D.C.; Spelke, E.S. All Numbers Are Not Equal: An Electrophysiological Investigation of Small and Large Number Representations. J. Cogn. Neurosci. 2009, 21, 1039–1053. [Google Scholar] [CrossRef]
- Libertus, M.E.; Woldorff, M.G.; Brannon, E.M. Electrophysiological Evidence for Notation Independence in Numerical Processing. Behav. Brain Funct. 2007, 3, 1. [Google Scholar] [CrossRef] [PubMed]
- Gebuis, T.; Reynvoet, B. Continuous Visual Properties Explain Neural Responses to Nonsymbolic Number. Psychophysiology 2012, 49, 1649–1659. [Google Scholar] [CrossRef]
- Park, J.; Dewind, N.K.; Woldorff, M.G.; Brannon, E.M. Rapid and Direct Encoding of Numerosity in the Visual Stream. Cereb. Cortex 2016, 26, 748–763. [Google Scholar] [CrossRef] [PubMed]
- Fornaciai, M.; Brannon, E.M.; Woldorff, M.G.; Park, J. Numerosity Processing in Early Visual Cortex. NeuroImage 2017, 157, 429–438. [Google Scholar] [CrossRef]
- Gebuis, T.; Reynvoet, B. The Interplay between Nonsymbolic Number and Its Continuous Visual Properties. J. Exp. Psychol. Gen. 2012, 141, 642–648. [Google Scholar] [CrossRef]
- Schwarz, W.; Heinze, H.J. On the Interaction of Numerical and Size Information in Digit Comparison: A Behavioral and Event-Related Potential Study. Neuropsychologia 1998, 36, 1167–1179. [Google Scholar] [CrossRef]
- Szucs, D.; Soltész, F. Event-Related Potentials Dissociate Facilitation and Interference Effects in the Numerical Stroop Paradigm. Neuropsychologia 2007, 45, 3190–3202. [Google Scholar] [CrossRef]
- Cohen Kadosh, R.; Lammertyn, J.; Izard, V. Are Numbers Special? An Overview of Chronometric, Neuroimaging, Developmental and Comparative Studies of Magnitude Representation. Prog. Neurobiol. 2008, 84, 132–147. [Google Scholar] [CrossRef]
- Clarke, S.; Beck, J. The Number Sense Represents (Rational) Numbers. Behav. Brain Sci. 2021, 44, e178. [Google Scholar] [CrossRef] [PubMed]
- Odic, D.; Libertus, M.E.; Feigenson, L.; Halberda, J. Developmental Change in the Acuity of Approximate Number and Area Representations. Dev. Psychol. 2013, 49, 1103–1112. [Google Scholar] [CrossRef] [PubMed]
- Burr, D.; Ross, J. A Visual Sense of Number. Curr. Biol. 2008, 18, 425–428. [Google Scholar] [CrossRef]
- Nieder, A.; Dehaene, S. Representation of Number in the Brain. Annu. Rev. Neurosci. 2009, 32, 185–208. [Google Scholar] [CrossRef] [PubMed]
- Gallistel, C.; Gelman, R. Non-Verbal Numerical Cognition: From Reals to Integers. Trends Cogn. Sci. 2000, 4, 59–65. [Google Scholar] [CrossRef]
- Cohen Kadosh, R.; Henik, A.; Rubinsten, O.; Mohr, H.; Dori, H.; Van De Ven, V.; Zorzi, M.; Hendler, T.; Goebel, R.; Linden, D.E.J. Are Numbers Special? The Comparison Systems of the Human Brain Investigated by FMRI. Neuropsychologia 2005, 43, 1238–1248. [Google Scholar] [CrossRef]
- Jasper, H. The 10/20 International Electrode System. EEG Clin. Neurophysiol. 1958, 10, 370–375. [Google Scholar]
- Delorme, A.; Makeig, S. EEGLAB: An Open Source Toolbox for Analysis of Single-Trial EEG Dynamics Including Independent Component Analysis. J. Neurosci. Methods 2004, 134, 9–21. [Google Scholar] [CrossRef]
- Lopez-Calderon, J.; Luck, S.J. ERPLAB: An Open-Source Toolbox for the Analysis of Event-Related Potentials. Front. Hum. Neurosci. 2014, 8, 213. [Google Scholar] [CrossRef]
- Hyvärinen, A.; Oja, E. Independent Component Analysis: Algorithms and Applications. Neural Netw. 2000, 13, 411–430. [Google Scholar] [CrossRef] [PubMed]
- Heine, A.; Tamm, S.; Wissmann, J.; Jacobs, A.M. Electrophysiological Correlates of Non-Symbolic Numerical Magnitude Processing in Children: Joining the Dots. Neuropsychologia 2011, 49, 3238–3246. [Google Scholar] [CrossRef]
- Bates, D.M.; Mächler, M.; Bolker, B.M.; Walker, S.C. Fitting Linear Mixed-Effects Models Using Lme4. J. Stat. Softw. 2015, 67, 1–48. [Google Scholar] [CrossRef]
- Kuznetsova, A.; Brockhoff, P.B.; Christensen, R.H.B. LmerTest Package: Tests in Linear Mixed Effects Models. J. Stat. Softw. 2017, 82, 1–26. [Google Scholar] [CrossRef]
- Fox, J.; Weisberg, S. An R Companion to Applied Regression, 2nd ed.; Sage: Thousand Oaks, CA, USA, 2011; ISBN 978-1-4129-7514-8. [Google Scholar]
- Lenth, R.V. Emmeans: Estimated Marginal Means, Aka Least-Squares Means. r Package Version 1.7.2. 2022. Available online: https://CRAN.R-project.org/package=emmeans.
- Wickham, H. Ggplot2: Elegant Graphics for Data Analysis; Springer: New York, NY, USA, 2016; ISBN 978-3-319-24277-4. [Google Scholar]
- Gebuis, T.; Reynvoet, B. The Neural Mechanisms Underlying Passive and Active Processing of Numerosity. NeuroImage 2012, 70C, 301–307. [Google Scholar] [CrossRef]
- Hyde, D.C.; Spelke, E.S. Spatiotemporal Dynamics of Processing Nonsymbolic Number: An Event-Related Potential Source Localization Study. Hum. Brain Mapp. 2012, 33, 2189–2203. [Google Scholar] [CrossRef]
- Gebuis, T.; Cohen Kadosh, R.; de Haan, E.; Henik, A. Automatic Quantity Processing in 5-Year Olds and Adults. Cogn. Process. 2009, 10, 133–142. [Google Scholar] [CrossRef] [PubMed]
- Hillyard, S.A.; Kutas, M. Electrophysiology of Cognitive Processing. Annu. Rev. Psychol. 1983, 34, 33–61. [Google Scholar] [CrossRef]
- Salillas, E.; El Yagoubi, R.; Semenza, C. Sensory and Cognitive Processes of Shifts of Spatial Attention Induced by Numbers: An ERP Study. Cortex 2008, 44, 406–413. [Google Scholar] [CrossRef]
- Dakin, S.C.; Tibber, M.S.; Greenwood, J.A.; Kingdom, F.A.; Morgan, M.J. A Common Visual Metric for Approximate Number and Density. Proc. Natl. Acad. Sci. USA 2011, 108, 19552–19557. [Google Scholar] [CrossRef] [PubMed]
- Tibber, M.S.; Greenwood, J.A.; Dakin, S.C. Number and Density Discrimination Rely on a Common Metric: Similar Psychophysical Effects of Size, Contrast, and Divided Attention. J. Vis. 2012, 12, 8. [Google Scholar] [CrossRef]
- Lourenco, S.F.; Aulet, L.S. A Theory of Perceptual Number Encoding. Psychol. Rev. 2023, 130, 155–182. [Google Scholar] [CrossRef]
- Paulsen, D.J.; Neville, H.J. The Processing of Non-Symbolic Numerical Magnitudes as Indexed by ERPs. Neuropsychologia 2008, 46, 2532–2544. [Google Scholar] [CrossRef] [PubMed]
- Jackson, S.R.; Jackson, G.M.; Roberts, M. The Selection and Suppression of Action: ERP Correlates of Executive Control in Humans. NeuroReport Rapid Commun. Neurosci. Res. 1999, 10, 861–865. [Google Scholar] [CrossRef] [PubMed]
- DeWind, N.K.; Adams, G.K.; Platt, M.L.; Brannon, E.M. Modeling the Approximate Number System to Quantify the Contribution of Visual Stimulus Features. Cognition 2015, 142, 247–265. [Google Scholar] [CrossRef]
- Park, J. Flawed Stimulus Design in Additive-Area Heuristic Studies. Cognition 2021, 229, 104919. [Google Scholar] [CrossRef]
- Yousif, S.R.; Aslin, R.N.; Keil, F.C. Judgments of Spatial Extent Are Fundamentally Illusory: ‘Additive-Area’ Provides the Best Explanation. Cognition 2020, 205, 104439. [Google Scholar] [CrossRef]
- Aulet, L.S.; Lourenco, S.F. The Relative Salience of Numerical and Non-Numerical Dimensions Shifts over Development: A Re-Analysis of Tomlinson, DeWind, and Brannon (2020). Cognition 2021, 210, 104610. [Google Scholar] [CrossRef]
- Tomlinson, R.C.; DeWind, N.K.; Brannon, E.M. Number Sense Biases Children’s Area Judgments. Cognition 2020, 204, 104352. [Google Scholar] [CrossRef]
- Petrusic, I.; Jovanovic, V.; Kovic, V.; Savic, A. Characteristics of N400 Component Elicited in Patients Who Have Migraine with Aura. J. Headache Pain 2021, 22, 157. [Google Scholar] [CrossRef]
- Savic, O.; Savic, A.M.; Kovic, V. Comparing the Temporal Dynamics of Thematic and Taxonomic Processing Using Event-Related Potentials. PLoS ONE 2017, 12, e0189362. [Google Scholar] [CrossRef]
- Gómez-Velázquez, F.R.; Berumen, G.; González-Garrido, A.A. Comparisons of Numerical Magnitudes in Children with Different Levels of Mathematical Achievement. An ERP Study. Brain Res. 2015, 1627, 189–200. [Google Scholar] [CrossRef] [PubMed]
- Paulsen, D.J.; Woldorff, M.G.; Brannon, E.M. Individual Differences in Nonverbal Number Discrimination Correlate with Event-Related Potentials and Measures of Probabilistic Reasoning. Neuropsychologia 2010, 48, 3687–3695. [Google Scholar] [CrossRef] [PubMed]











Disclaimer/Publisher’s Note: The statements, opinions and data contained in all publications are solely those of the individual author(s) and contributor(s) and not of MDPI and/or the editor(s). MDPI and/or the editor(s) disclaim responsibility for any injury to people or property resulting from any ideas, methods, instructions or products referred to in the content. |
© 2023 by the authors. Licensee MDPI, Basel, Switzerland. This article is an open access article distributed under the terms and conditions of the Creative Commons Attribution (CC BY) license (https://creativecommons.org/licenses/by/4.0/).
Share and Cite
Bonny, J.W.; Lourenco, S.F. Electrophysiological Comparison of Cumulative Area and Non-Symbolic Number Judgments. Brain Sci. 2023, 13, 975. https://doi.org/10.3390/brainsci13060975
Bonny JW, Lourenco SF. Electrophysiological Comparison of Cumulative Area and Non-Symbolic Number Judgments. Brain Sciences. 2023; 13(6):975. https://doi.org/10.3390/brainsci13060975
Chicago/Turabian StyleBonny, Justin W., and Stella F. Lourenco. 2023. "Electrophysiological Comparison of Cumulative Area and Non-Symbolic Number Judgments" Brain Sciences 13, no. 6: 975. https://doi.org/10.3390/brainsci13060975
APA StyleBonny, J. W., & Lourenco, S. F. (2023). Electrophysiological Comparison of Cumulative Area and Non-Symbolic Number Judgments. Brain Sciences, 13(6), 975. https://doi.org/10.3390/brainsci13060975

