Stimulation of the Angular Gyrus Improves the Level of Consciousness
Abstract
1. Introduction
2. Materials and Methods
2.1. Eligibility Criteria and Clinical Assessment
2.2. Structural MRI
2.3. rTMS
2.4. Statistical Analysis
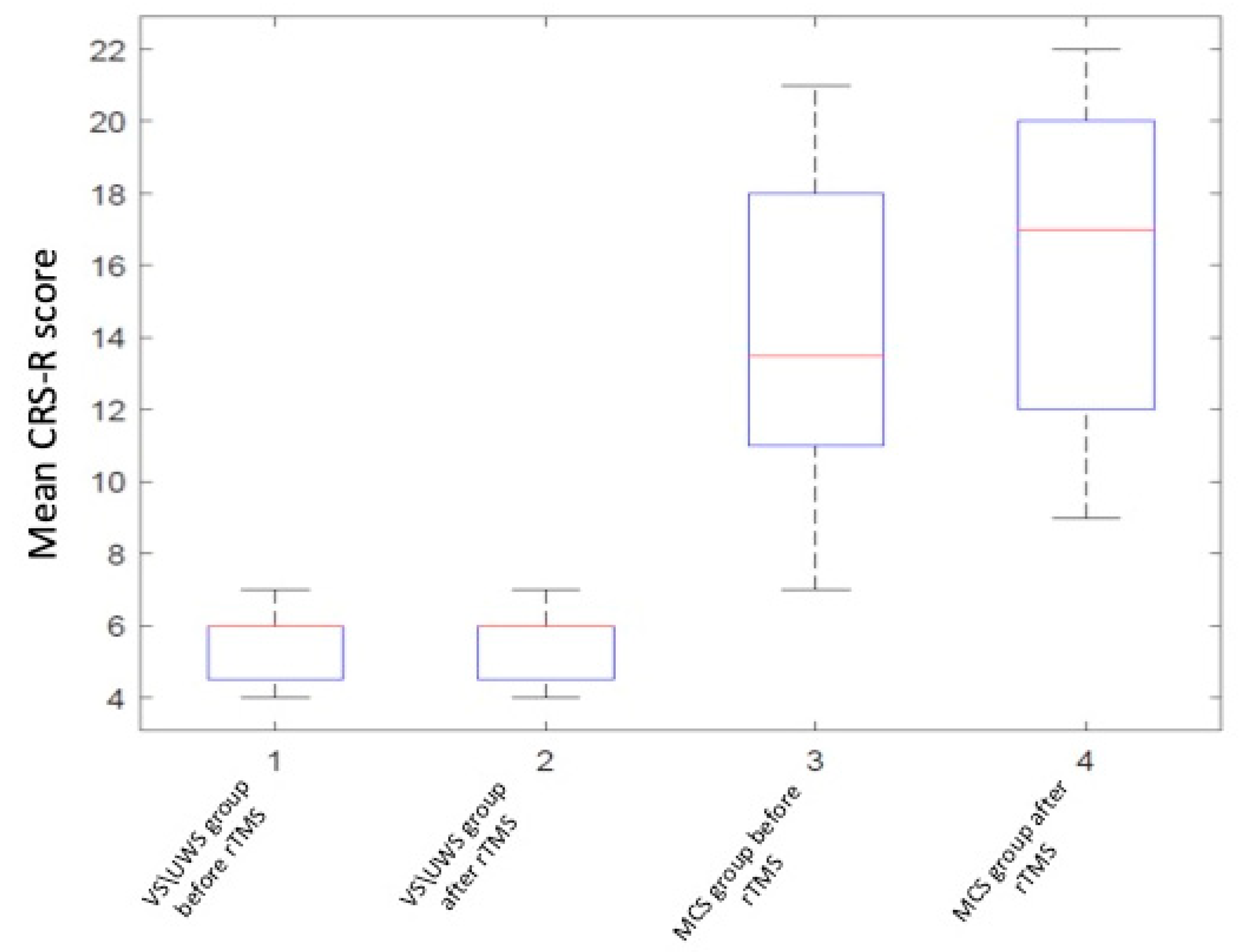
3. Results
4. Discussion
5. Conclusions
Author Contributions
Funding
Acknowledgments
Conflicts of Interest
References
- Gosseries, O.; Vanhaudenhuyse, A.; Bruno, M.-A.; Demertzi, A.; Schnakers, C.; Boly, M.M.; Maudoux, A.; Moonen, G.; Laureys, S. Disorders of Consciousness: Coma, Vegetative and Minimally Conscious States; Springer Nature: Berlin, Germany, 2011; pp. 29–55. [Google Scholar]
- Gosseries, O.; Zasler, N.D.; Laureys, S. Recent advances in disorders of consciousness: Focus on the diagnosis. Brain Inj. 2014, 28, 1141–1150. [Google Scholar] [CrossRef] [PubMed]
- Xia, X.; Yang, Y.; Guo, Y.; Bai, Y.; Dang, Y.; Xu, R.; He, J. Current Status of Neuromodulatory Therapies for Disorders of Consciousness. Neurosci. Bull. 2018, 34, 615–625. [Google Scholar] [CrossRef] [PubMed]
- Thibaut, A.; Bruno, M.-A.; LeDoux, D.; Demertzi, A.; Laureys, S. tDCS in patients with disorders of consciousness: Sham-controlled randomized double-blind study. Neurology 2014, 82, 1112–1118. [Google Scholar] [CrossRef] [PubMed]
- Thibaut, A.; Wannez, S.; Donneau, A.-F.; Chatelle, C.; Gosseries, O.; Bruno, M.-A.; Laureys, S. Controlled clinical trial of repeated prefrontal tDCS in patients with chronic minimally conscious state. Brain Inj. 2017, 31, 466–474. [Google Scholar] [CrossRef]
- Martens, G.; Lejeune, N.; O’Brien, A.T.; Fregni, F.; Martial, C.; Wannez, S.; Laureys, S.; Thibaut, A.; O’Brien, A.T. Randomized controlled trial of home-based 4-week tDCS in chronic minimally conscious state. Brain Stimul. 2018, 11, 982–990. [Google Scholar] [CrossRef]
- Pape, T.L.-B.; Rosenow, J.; Lewis, G.; Ahmed, G.; Walker, M.; Guernon, A.; Roth, H.; Patil, V. Repetitive transcranial magnetic stimulation-associated neurobehavioral gains during coma recovery. Brain Stimul. 2009, 2, 22–35. [Google Scholar] [CrossRef]
- Gosseries, O.; Di, H.; Laureys, S.; Boly, M. Measuring Consciousness in Severely Damaged Brains. Annu. Neurosci. 2014, 37, 457–478. [Google Scholar] [CrossRef]
- Xia, X.; Bai, Y.; Zhou, Y.; Yang, Y.; Xu, R.; Gao, X.; Li, X.; He, J. Effects of 10 Hz Repetitive Transcranial Magnetic Stimulation of the Left Dorsolateral Prefrontal Cortex in Disorders of Consciousness. Front. Neurol. 2017, 8, 182. [Google Scholar] [CrossRef]
- Piccione, F.; Cavinato, M.; Manganotti, P.; Formaggio, E.; Storti, S.F.; Battistin, L.; Cagnin, A.; Tonin, P.; Dam, M. Behavioral and neurophysiological effects of repetitive transcranial magnetic stimulation on the minimally conscious state: A case study. Neurorehabil. Neural. Repair 2011, 25, 98–102. [Google Scholar] [CrossRef]
- Cincotta, M.; Giovannelli, F.; Chiaramonti, R.; Bianco, G.; Godone, M.; Battista, D.; Cardinali, C.; Borgheresi, A.; Sighinolfi, A.; D’Avanzo, A.M.; et al. No effects of 20 Hz-rTMS of the primary motor cortex in vegetative state: A randomised, sham-controlled study. Cortex 2015, 71, 368–376. [Google Scholar] [CrossRef]
- Vanhaudenhuyse, A.; Noirhomme, Q.; Tshibanda, L.J.F.; Bruno, M.A.; Boveroux, P.; Schnakers, C.; Soddu, A.; Perlbarg, V.; Ledoux, D.; Brichant, J.-F.; et al. Default network connectivity reflects the level of consciousness in non-communicative brain-damaged patients. Brain 2010, 133, 161–171. [Google Scholar] [CrossRef]
- Fernandez-Espejo, D.; Soddu, A.; Cruse, D.; Palacios, E.M.; Junqué, C.; Vanhaudenhuyse, A.; Rivas, E.; Newcombe, V.; Menon, D.K.; Pickard, J.D.; et al. A role for the default mode network in the bases of disorders of consciousness. Ann. Neurol. 2012, 72, 335–343. [Google Scholar] [CrossRef]
- Rosazza, C.; Andronache, A.; Sattin, D.; Bruzzone, M.G.; Marotta, G.; Nigri, A.; Ferraro, S.; Sebastiano, D.R.; Porcu, L.; Bersano, A.; et al. Multimodal study of default-mode network integrity in disorders of consciousness. Ann. Neurol. 2016, 79, 841–853. [Google Scholar] [CrossRef]
- Zvyagintsev, M.; Clemens, B.; Chechko, N.; Mathiak, K.A.; Sack, A.T.; Mathiak, K. Brain networks underlying mental imagery of auditory and visual information. Eur. J. Neurosci. 2013, 37, 1421–1434. [Google Scholar] [CrossRef]
- Ishai, A.; Ungerleider, L.G.; Haxby, J.V. Distributed neural systems for the generation of visual images. Neuron 2000, 28, 979–990. [Google Scholar] [CrossRef]
- Daselaar, S.M.; Porat, Y.; Huijbers, W.; Pennartz, C.M. Modality-specific and modality-independent components of the human imagery system. Neuroimage 2010, 52, 677–685. [Google Scholar] [CrossRef]
- Qin, P.; Wu, X.; Huang, Z.; Duncan, N.W.; Tang, W.; Wolff, A.; Hu, J.; Gao, L.; Jin, Y.; Wu, X.; et al. How are different neural networks related to consciousness? Ann. Neurol. 2015, 78, 594–605. [Google Scholar] [CrossRef]
- Di Perri, C.; Bahri, M.A.; Amico, E.; Thibaut, A.; Heine, L.; Antonopoulos, G.; Charland-Verville, V.; Wannez, S.; Gomez, F.; Hustinx, R.; et al. Neural correlates of consciousness in patients who have emerged from a minimally conscious state: A cross-sectional multimodal imaging study. Lancet Neurol. 2016, 15, 830–842. [Google Scholar] [CrossRef]
- Laureys, S.; Goldman, S.; Phillips, C.; Van Bogaert, P.; Aerts, J.; Luxen, A.; Franck, G.; Maquet, P. Impaired Effective Cortical Connectivity in Vegetative State: Preliminary Investigation Using PET. NeuroImage 1999, 9, 377–382. [Google Scholar] [CrossRef] [PubMed]
- Laureys, S.; Lemaire, C.; Maquet, P.; Phillips, C.; Franck, G. Cerebral metabolism during vegetative state and after recovery to consciousness. J. Neurol. Neurosurg. Psychiatry 1999, 67, 121–122. [Google Scholar] [CrossRef] [PubMed]
- Crone, J.S.; Bio, B.J.; Vespa, P.M.; Lutkenhoff, E.S.; Monti, M.M. Restoration of thalamo-cortical connectivity after brain injury: Recovery of consciousness, complex behavior, or passage of time? J. Neurosci. 2017, 96, 671–687. [Google Scholar] [CrossRef] [PubMed]
- Guldenmund, J.P.; Vanhaudenhuyse, A.; Boly, M.; Laureys, S.; Soddu, A. A default mode of brain function in altered states of consciousness. Arch. Ital. Biol. 2012, 150, 107–121. [Google Scholar] [CrossRef] [PubMed]
- Stender, J.; Gosseries, O.; Bruno, M.-A.; Charland-Verville, V.; Vanhaudenhuyse, A.; Demertzi, A.; Chatelle, C.; Thonnard, M.; Thibaut, A.; Heine, L.; et al. Diagnostic precision of PET imaging and functional MRI in disorders of consciousness: A clinical validation study. Lancet 2014, 384, 514–522. [Google Scholar] [CrossRef]
- Hannawi, Y.; Lindquist, M.A.; Caffo, B.S.; Sair, H.I.; Stevens, R.D. Resting brain activity in disorders of consciousness: A systematic review and meta-analysis. Neurology 2015, 84, 1272–1280. [Google Scholar] [CrossRef]
- Demertzi, A.; Antonopoulos, G.; Heine, L.; Voss, H.U.; Crone, J.S.; Angeles, C.D.L.; Bahri, M.A.; Di Perri, C.; Vanhaudenhuyse, A.; Charland-Verville, V.; et al. Intrinsic functional connectivity differentiates minimally conscious from unresponsive patients. Brain 2015, 138, 2619–2631. [Google Scholar] [CrossRef]
- Boly, M.; Massimini, M.; Garrido, M.I.; Gosseries, O.; Noirhomme, Q.; Laureys, S.; Soddu, A. Brain Connectivity in Disorders of Consciousness. Brain Connect. 2012, 2, 1–10. [Google Scholar] [CrossRef]
- Seghier, M.L. The angular gyrus: Multiple functions and multiple subdivisions. Neuroscience 2013, 19, 43–61. [Google Scholar] [CrossRef]
- Binder, J.R.; Desai, R.H. The neurobiology of semantic memory. Trends Cogn. Sci. 2011, 15, 527–536. [Google Scholar] [CrossRef]
- Bonner, M.F.; Peelle, J.E.; Cook, P.A.; Grossman, M. Heteromodal conceptual processing in the angular gyrus. NeuroImage 2013, 71, 175–186. [Google Scholar] [CrossRef]
- Bonnici, H.M.; Richter, F.R.; Yazar, Y.; Simons, J.S. Multimodal Feature Integration in the Angular Gyrus during Episodic and Semantic Retrieval. J. Neurosci. 2016, 36, 5462–5471. [Google Scholar] [CrossRef]
- Yazar, Y.; Bergström, Z.M.; Simons, J.S. Reduced multimodal integration of memory features following continuous theta burst stimulation of angular gyrus. Brain Stimul. 2017, 10, 624–629. [Google Scholar] [CrossRef]
- Mochalova, E.G.; Legostaeva, L.A.; Zimin, A.A.; Yusupova, D.G.; Sergeev, D.V.; Ryabinkina, Y.V.; Bodien, Y.; Suponeva, N.A.; Piradov, M.A. The Russian version of Coma Recovery Scale-revised—A standardized method for assessment of patients with disorders of consciousness. Zh. Nevrol. Psikhiatr. Im. SS Korsakova 2018, 118, 25–31. [Google Scholar] [CrossRef] [PubMed]
- Giacino, J.T. The vegetative and minimally conscious states: Consensus-based criteria for establishing diagnosis and prognosis. NeuroRehabilitation 2004, 19, 293–298. [Google Scholar]
- Howsepian, A.A. The 1994 Multi-Society Task Force consensus statement on the Persistent Vegetative State: A critical analysis. Issues Law Med. 1996, 12, 3–29. [Google Scholar]
- Gosseries, O.; Bruno, M.-A.; Chatelle, C.; Vanhaudenhuyse, A.; Schnakers, C.; Soddu, A.; Laureys, S. Disorders of consciousness: what’s in a name? NeuroRehabilitation 2011, 28, 3–14. [Google Scholar]
- Razali, N.M.; Wah, Y.B. Power Comparisons of Shapiro-Wilk, Kolmogorov-Smirnov, Lilliefors and Anderson-Darling Tests. J. Stat. Model. Anal. 2011, 2, 21–33. [Google Scholar]
- Guse, B.; Falkai, P.; Wobrock, T.J. Cognitive effects of high-frequency repetitive transcranial magnetic stimulation: A systematic review. J. Neural Transm. 2010, 117, 105–122. [Google Scholar] [CrossRef]
- Naro, A.; Calabrò, R.S.; Russo, M.; Leo, A.; Pollicino, P.; Quartarone, A.; Bramanti, P. Can transcranial direct current stimulation be useful in differentiating unresponsive wakefulness syndrome from minimally conscious state patients? Restor. Neurol. Neurosci. 2015, 33, 159–176. [Google Scholar]
- Naro, A.; Russo, M.; Leo, A.; Bramanti, P.; Quartarone, A.; Calabrò, R.S. A single session of repetitive transcranial magnetic stimulation over the dorsolateral prefrontal cortex in patients with unresponsive wakefulness syndrome: Preliminary results. Neurorehabil. Neural Repair 2015, 29, 603–613. [Google Scholar] [CrossRef]
- Manganotti, P.; Formaggio, E.; Storti, S.F.; Fiaschi, A.; Battistin, L.; Tonin, P.; Piccione, F.; Cavinato, M. Effect of High-Frequency Repetitive Transcranial Magnetic Stimulation on Brain Excitability in Severely Brain-Injured Patients in Minimally Conscious or Vegetative State. Brain Stimul. 2013, 6, 913–921. [Google Scholar] [CrossRef]
- Houdayer, E.; Degardin, A.; Cassim, F.; Bocquillon, P.; Derambure, P.; Devanne, H. The effects of low- and high-frequency repetitive TMS on the input/output properties of the human corticospinal pathway. Exp. Brain 2008, 187, 207–217. [Google Scholar] [CrossRef] [PubMed]
- Rossi, S.; Hallett, M.; Rossini, P.M.; Pascual-Leone, A.; Safety of TMS Consensus Group. Safety, ethical considerations, and application guidelines for the use of transcranial magnetic stimulation in clinical practice and research. Clin. Neurophysiol. 2009, 120, 2008–2039. [Google Scholar] [CrossRef] [PubMed]
- Bagnato, S.; Boccagni, C.; Galardi, G. Structural epilepsy occurrence in vegetative and minimally conscious states. Epilepsy Res. 2013, 103, 106–109. [Google Scholar] [CrossRef] [PubMed]
- Binder, J.R.; Desai, R.H.; Graves, W.W.; Conant, L.L. Where is the semantic system? A critical review and meta-analysis of 120 functional neuroimaging studies. Cereb. Cortex 2009, 19, 2767–2796. [Google Scholar] [CrossRef] [PubMed]
- Shimamura, A.P. Episodic retrieval and the cortical binding of relational activity. Cogn. Affect. Behav. Neurosci. 2011, 11, 277–291. [Google Scholar] [CrossRef] [PubMed]
- Vincent, J.L.; Kahn, I.; Snyder, A.Z.; Raichle, M.E.; Buckner, R.L. Evidence for a Frontoparietal Control System Revealed by Intrinsic Functional Connectivity. J. Neurophysiol. 2008, 100, 3328–3342. [Google Scholar] [CrossRef]
- Guerin, S.A.; Miller, M.B. Lateralization of the parietal old/new effect: An event-related fMRI study comparing recognition memory for words and faces. NeuroImage 2009, 44, 232–242. [Google Scholar] [CrossRef]
- McDermott, K.B.; Szpunar, K.K.; Christ, S.E. Laboratory-based and autobiographical retrieval tasks differ substantially in their neural substrates. Neuropsychologia 2009, 47, 2290–2298. [Google Scholar] [CrossRef] [PubMed]
- Gilmore, A.W.; Nelson, S.M.; McDermott, K.B. A parietal memory network revealed by multiple MRI methods. Trends Cogn. Sci. 2015, 19, 534–543. [Google Scholar] [CrossRef]
- Sestieri, C.; Shulman, G.L.; Corbetta, M. The contribution of the human posterior parietal cortex to episodic memory. Nat. Rev. Neurosci. 2017, 18, 183–192. [Google Scholar] [CrossRef]
- Thakral, P.P.; Madore, K.P.; Schacter, D.L. A role for the left angular gyrus in episodic simulation and memory. J. Neurosci. 2017, 37, 1317–1319. [Google Scholar] [CrossRef]
- Ciaramelli, E.; Grady, C.L.; Moscovitch, M. Top-down and bottom-up attention to memory: A hypothesis (AtoM) on the role of the posterior parietal cortex in memory retrieval. Neuropsychologia 2008, 46, 1828–1851. [Google Scholar] [CrossRef]
- Cabeza, R.; Ciaramelli, E.; Olson, I.R.; Moscovitch, M. The parietal cortex and episodic memory: An attentional account. Nat. Rev. Neurosci. 2008, 9, 613–625. [Google Scholar] [CrossRef]
- Gilboa, A.; Winocur, G.; Grady, C.L.; Hevenor, S.J.; Moscovitch, M. Remembering our past: Functional neuroanatomy of recollection of recent and very remote personal events. Cerebral Cortex. 2004, 14, 1214–1225. [Google Scholar] [CrossRef] [PubMed]
- Addis, D.R.; Moscovitch, M.; Crawley, A.P.; McAndrews, M.P. Recollective qualities modulate hippocampal activation during autobiographical memory retrieval. Hippocampus 2004, 14, 752–762. [Google Scholar] [CrossRef]
- Rosanova, M.; Gosseries, O.; Casarotto, S.; Boly, M.; Casali, A.G.; Bruno, M.-A.; Mariotti, M.; Boveroux, P.; Tononi, G.; Laureys, S.; et al. Recovery of cortical effective connectivity and recovery of consciousness in vegetative patients. Brain 2012, 135, 1308–1320. [Google Scholar] [CrossRef]
- Annen, J.; Heine, L.; Ziegler, E.; Frasso, G.; Bahri, M.; Di Perri, C.; Stender, J.; Martial, C.; Wannez, S.; D’Ostilio, K.; et al. Function-structure connectivity in patients with severe brain injury as measured by MRI-DWI and FDG-PET. Hum. Brain Mapp. 2016, 37, 3707–3720. [Google Scholar] [CrossRef] [PubMed]
- Thibaut, A.; Bruno, M.; Chatelle, C.; Gosseries, O.; Vanhaudenhuyse, A.; Demertzi, A.; Schnakers, C.; Thonnard, M.; Charland-Verville, V.; Bernard, C.; et al. Metabolic activity in external and internal awareness networks in severely brain-damaged patients. J. Rehabil. Med. 2012, 44, 487–494. [Google Scholar] [CrossRef] [PubMed]
- Crone, J.S.; Schurz, M.; Höller, Y.; Bergmann, J.; Monti, M.M.; Schmid, E.; Trinka, E.; Kronbichler, M. Impaired consciousness is linked to changes in effective connectivity of the posterior cingulate cortex within the default mode network. NeuroImage 2015, 110, 101–109. [Google Scholar] [CrossRef]
- Sinitsyn, D.O.; Legostaeva, L.A.; Kremneva, E.I.; Morozova, S.N.; Poydasheva, A.G.; Mochalova, E.G.; Chervyakova, O.G.; Ryabinkina, J.V.; Suponeva, N.A.; Piradov, M.A. Degrees of functional connectome abnormality in disorders of consciousness. Hum. Brain Mapp. 2018, 39, 2929–2940. [Google Scholar] [CrossRef] [PubMed]





| VS | MCS | |
|---|---|---|
| n | 16 | 22 |
| age (median (upper quartile (UQ). lower quartile (LQ)) | 36 (19.59) | 36 (18.67) |
| sex (Female/Male) | 7/9 | 9/13 |
| Etiology (anoxia/trauma) | 15/1 | 11/11 |
| Interval since anoxia/TBI months | ||
| mean (min; max) | 21 (3; 39) | 20 (3; 38) |
| CRS-R score before rTMS | ||
| mean (min; max) | 5 (4; 7) | 14 (7; 21) |
| ID | Sex | Age | Etiology | CRS-R before rTMS | CRS-R Subscales | CRS-R after rTMS | CRS-R Subscales | ||||||||||
|---|---|---|---|---|---|---|---|---|---|---|---|---|---|---|---|---|---|
| Auditory | Visual | Motor | Verbal | Com-n | Arousal | Auditory | Visual | Motor | Verbal | Com-n | Arousal | ||||||
| UWS/VS1 | f | 22 | anoxia | 4 | 0 | 0 | 1 | 1 | 0 | 2 | 4 | 0 | 0 | 1 | 1 | 0 | 2 |
| UWS/VS2 | f | 27 | anoxia | 4 | 0 | 0 | 1 | 1 | 0 | 2 | 4 | 0 | 0 | 1 | 1 | 0 | 2 |
| UWS/VS3 | f | 31 | anoxia | 7 | 1 | 1 | 2 | 1 | 0 | 2 | 7 | 1 | 1 | 2 | 1 | 0 | 2 |
| UWS/VS4 | f | 47 | anoxia | 5 | 0 | 0 | 2 | 1 | 0 | 2 | 5 | 0 | 0 | 2 | 1 | 0 | 2 |
| UWS/VS5 | f | 19 | TBI | 6 | 1 | 0 | 2 | 1 | 0 | 2 | 6 | 1 | 0 | 2 | 1 | 0 | 2 |
| UWS/VS6 | f | 24 | anoxia | 7 | 2 | 0 | 2 | 1 | 0 | 2 | 7 | 2 | 0 | 2 | 1 | 0 | 2 |
| UWS/VS7 | f | 47 | anoxia | 6 | 1 | 0 | 2 | 1 | 0 | 2 | 6 | 1 | 0 | 2 | 1 | 0 | 2 |
| UWS/VS8 | m | 55 | anoxia | 4 | 0 | 1 | 1 | 1 | 0 | 1 | 4 | 0 | 1 | 1 | 1 | 0 | 1 |
| UWS/VS9 | m | 21 | anoxia | 4 | 0 | 0 | 1 | 1 | 0 | 2 | 4 | 0 | 0 | 1 | 1 | 0 | 2 |
| UWS/VS10 | m | 51 | anoxia | 5 | 0 | 1 | 1 | 1 | 0 | 2 | 5 | 0 | 1 | 1 | 1 | 0 | 2 |
| UWS/VS11 | m | 22 | anoxia | 6 | 1 | 0 | 2 | 1 | 0 | 2 | 6 | 1 | 0 | 2 | 1 | 0 | 2 |
| UWS/VS12 | m | 52 | anoxia | 5 | 1 | 0 | 1 | 1 | 0 | 2 | 5 | 1 | 0 | 1 | 1 | 0 | 2 |
| UWS/VS13 | m | 47 | anoxia | 6 | 1 | 0 | 2 | 1 | 0 | 2 | 6 | 1 | 0 | 2 | 1 | 0 | 2 |
| UWS/VS14 | m | 59 | anoxia | 6 | 1 | 0 | 2 | 1 | 0 | 2 | 6 | 1 | 0 | 2 | 1 | 0 | 2 |
| UWS/VS15 | m | 31 | anoxia | 6 | 1 | 0 | 2 | 1 | 0 | 2 | 6 | 1 | 0 | 2 | 1 | 0 | 2 |
| UWS/VS16 | m | 25 | anoxia | 6 | 1 | 0 | 2 | 1 | 0 | 2 | 6 | 1 | 0 | 2 | 1 | 0 | 2 |
| MCS1 | f | 67 | anoxia | 15 | 3 | 5 | 3 | 1 | 1 | 2 | 18 | 4 | 5 | 4 | 2 | 1 | 2 |
| MCS2 | f | 28 | TBI | 15 | 2 | 3 | 4 | 2 | 2 | 2 | 20 | 3 | 5 | 5 | 2 | 2 | 3 |
| MCS3 | f | 56 | anoxia | 18 | 3 | 4 | 4 | 2 | 2 | 3 | 20 | 4 | 5 | 4 | 2 | 2 | 3 |
| MCS4 | f | 25 | TBI | 7 | 1 | 1 | 2 | 1 | 0 | 2 | 9 | 1 | 3 | 2 | 1 | 0 | 2 |
| MCS5 | f | 24 | TBI | 8 | 1 | 1 | 2 | 2 | 0 | 2 | 10 | 1 | 3 | 2 | 2 | 0 | 2 |
| MCS6 | m | 53 | anoxia | 9 | 2 | 2 | 2 | 1 | 0 | 2 | 12 | 2 | 3 | 3 | 1 | 1 | 2 |
| MCS7 | m | 44 | TBI | 14 | 2 | 2 | 3 | 2 | 2 | 3 | 16 | 3 | 3 | 3 | 2 | 2 | 3 |
| MCS8 | m | 33 | anoxia | 12 | 1 | 2 | 3 | 2 | 1 | 3 | 13 | 2 | 2 | 3 | 2 | 1 | 3 |
| MCS9 | m | 48 | anoxia | 10 | 2 | 1 | 3 | 1 | 1 | 2 | 12 | 2 | 3 | 3 | 1 | 1 | 2 |
| MCS10 | m | 48 | anoxia | 9 | 2 | 2 | 2 | 1 | 0 | 2 | 10 | 2 | 3 | 2 | 1 | 0 | 2 |
| MCS11 | m | 23 | TBI | 12 | 3 | 3 | 3 | 1 | 0 | 2 | 13 | 4 | 3 | 3 | 1 | 0 | 2 |
| MCS12 | m | 47 | anoxia | 10 | 2 | 3 | 2 | 1 | 0 | 2 | 10 | 2 | 3 | 2 | 1 | 0 | 2 |
| MCS13 | m | 18 | TBI | 11 | 2 | 3 | 3 | 1 | 0 | 2 | 11 | 2 | 3 | 3 | 1 | 0 | 2 |
| MCS14 | m | 24 | TBI | 13 | 4 | 3 | 3 | 1 | 0 | 2 | 13 | 4 | 3 | 3 | 1 | 0 | 2 |
| MCS15 | f | 32 | anoxia | 18 | 4 | 4 | 5 | 1 | 2 | 2 | 21 | 4 | 5 | 5 | 2 | 2 | 3 |
| MCS16 | f | 24 | TBI | 20 | 4 | 5 | 5 | 1 | 2 | 3 | 22 | 4 | 5 | 6 | 2 | 2 | 3 |
| MCS17 | f | 31 | anoxia | 18 | 4 | 4 | 5 | 1 | 2 | 2 | 20 | 4 | 5 | 5 | 1 | 2 | 3 |
| MCS18 | f | 43 | anoxia | 13 | 3 | 3 | 3 | 1 | 1 | 2 | 19 | 4 | 4 | 3 | 3 | 2 | 3 |
| MCS19 | m | 32 | TBI | 18 | 4 | 4 | 5 | 1 | 2 | 2 | 20 | 4 | 4 | 5 | 2 | 2 | 3 |
| MCS20 | m | 55 | anoxia | 15 | 2 | 2 | 4 | 2 | 2 | 3 | 18 | 3 | 4 | 4 | 2 | 2 | 3 |
| MCS21 | m | 20 | TBI | 20 | 4 | 5 | 5 | 2 | 1 | 3 | 21 | 4 | 5 | 5 | 3 | 1 | 3 |
| MCS22 | m | 29 | TBI | 20 | 4 | 4 | 5 | 3 | 1 | 3 | 22 | 4 | 5 | 5 | 3 | 2 | 3 |
© 2019 by the authors. Licensee MDPI, Basel, Switzerland. This article is an open access article distributed under the terms and conditions of the Creative Commons Attribution (CC BY) license (http://creativecommons.org/licenses/by/4.0/).
Share and Cite
Legostaeva, L.; Poydasheva, A.; Iazeva, E.; Sinitsyn, D.; Sergeev, D.; Bakulin, I.; Lagoda, D.; Kremneva, E.; Morozova, S.; Ryabinkina, Y.; et al. Stimulation of the Angular Gyrus Improves the Level of Consciousness. Brain Sci. 2019, 9, 103. https://doi.org/10.3390/brainsci9050103
Legostaeva L, Poydasheva A, Iazeva E, Sinitsyn D, Sergeev D, Bakulin I, Lagoda D, Kremneva E, Morozova S, Ryabinkina Y, et al. Stimulation of the Angular Gyrus Improves the Level of Consciousness. Brain Sciences. 2019; 9(5):103. https://doi.org/10.3390/brainsci9050103
Chicago/Turabian StyleLegostaeva, Liudmila, Alexandra Poydasheva, Elizaveta Iazeva, Dmitry Sinitsyn, Dmitry Sergeev, Ilya Bakulin, Dmitry Lagoda, Elena Kremneva, Sofya Morozova, Yulia Ryabinkina, and et al. 2019. "Stimulation of the Angular Gyrus Improves the Level of Consciousness" Brain Sciences 9, no. 5: 103. https://doi.org/10.3390/brainsci9050103
APA StyleLegostaeva, L., Poydasheva, A., Iazeva, E., Sinitsyn, D., Sergeev, D., Bakulin, I., Lagoda, D., Kremneva, E., Morozova, S., Ryabinkina, Y., Suponeva, N., & Piradov, M. (2019). Stimulation of the Angular Gyrus Improves the Level of Consciousness. Brain Sciences, 9(5), 103. https://doi.org/10.3390/brainsci9050103

