Variation in Phenolic Compounds and Antioxidant Activity of Various Organs of African Cabbage (Cleome gynandra L.) Accessions at Different Growth Stages
Abstract
:1. Introduction
2. Materials and Methods
2.1. Materials
2.2. Plant Material and Cultivation Conditions
2.3. Preparation of Ethanol Extracts
2.3.1. Determination of Total Phenolic Compounds Contents (TPC)
2.3.2. Determination of Total Flavonoid Content (TFC)
2.3.3. Determination of DPPH Antioxidant Activity
2.3.4. Determination of ABTS Antioxidant Activity
2.3.5. Quantification of Bioactive Compounds
2.4. Statistical Analysis and Correlation Analysis
3. Results
3.1. Total Phenolic Contents and Total Flavonoid Contents
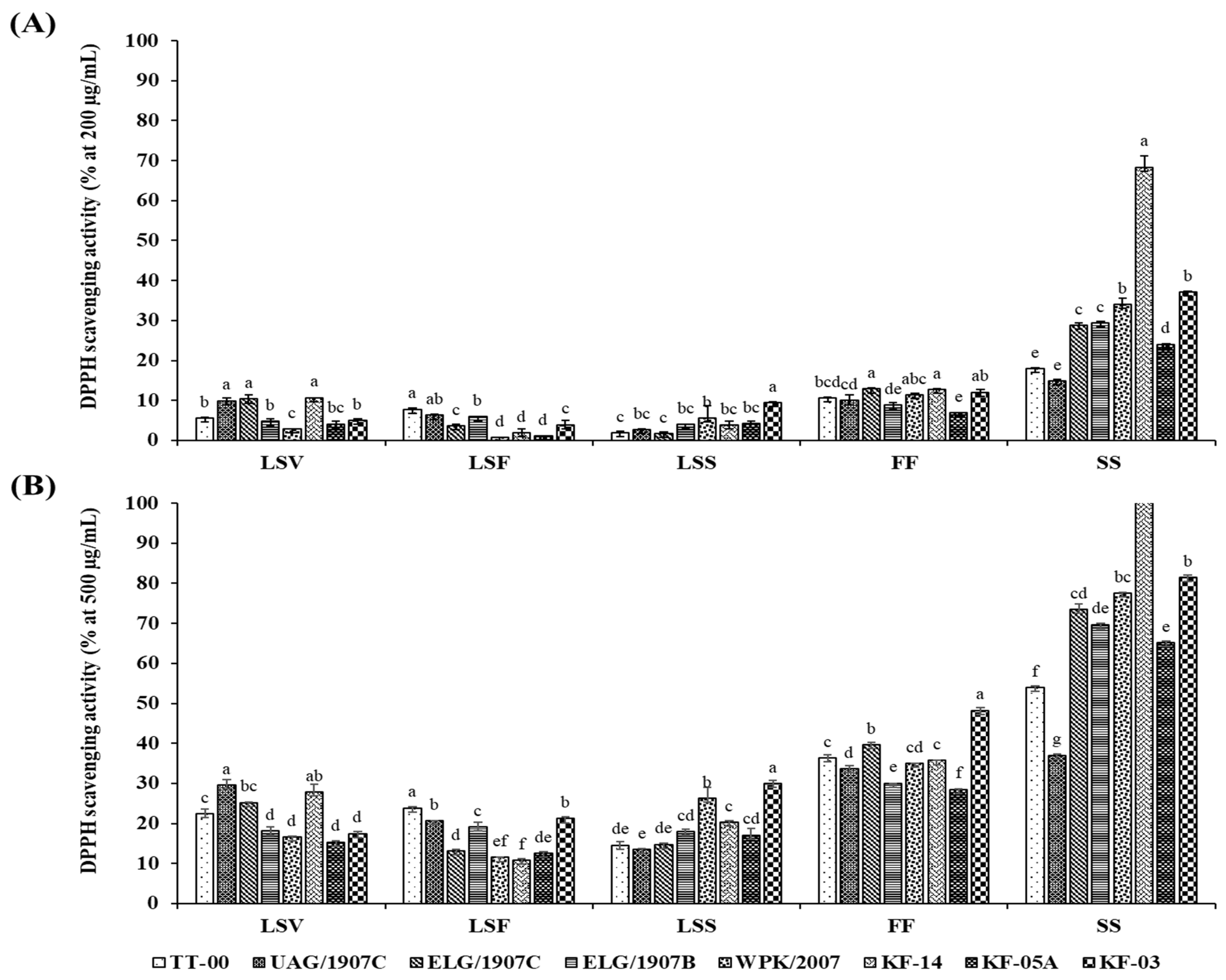
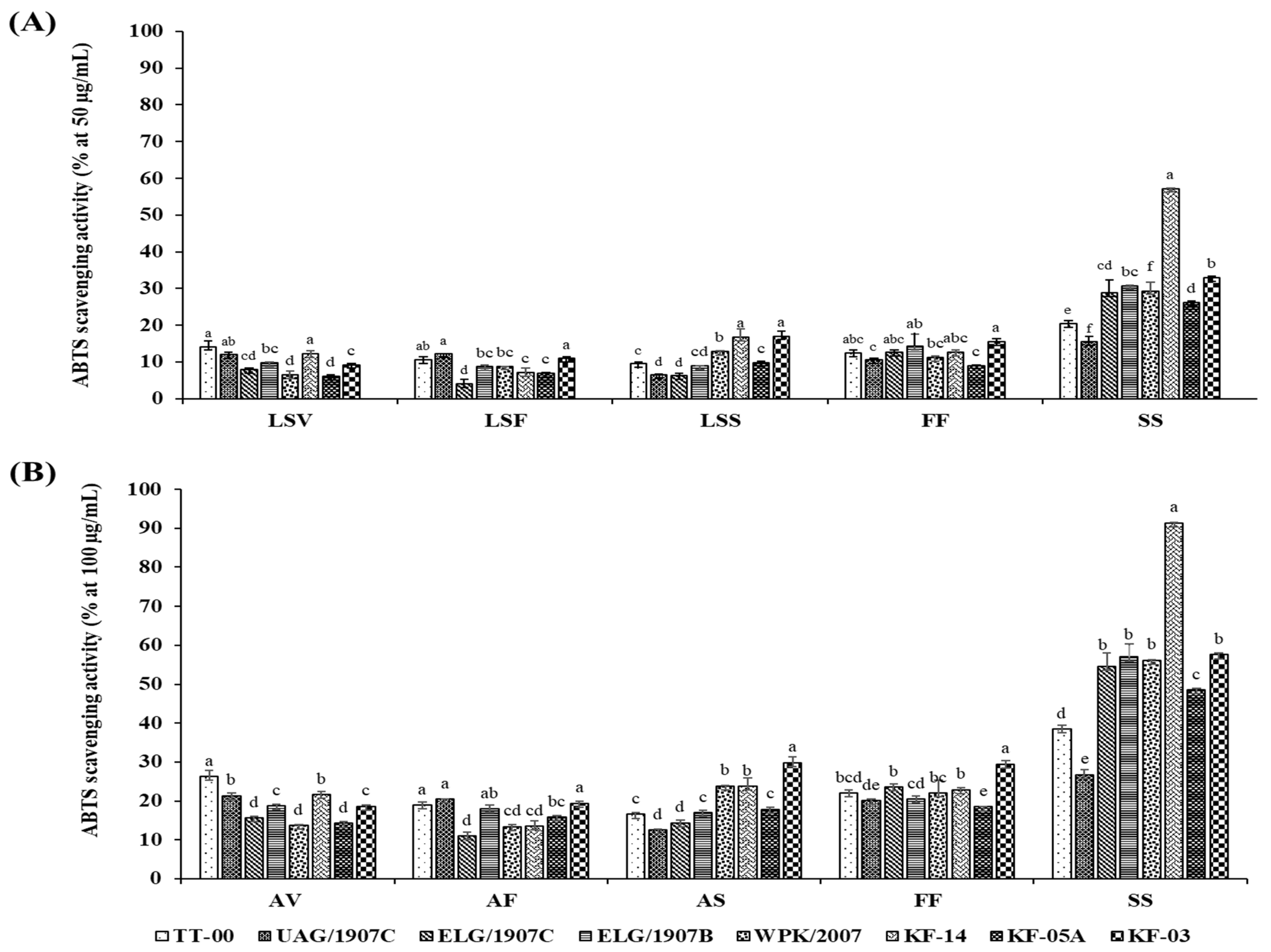
3.2. Changes in Organs AOA during Growth
3.3. Quantitative Analysis of Compounds from Extracts of Different Parts of CG
3.4. Correlation between Compounds and AOA
4. Discussion
5. Conclusions
Supplementary Materials
Author Contributions
Funding
Data Availability Statement
Acknowledgments
Conflicts of Interest
References
- Bala, A.; Kar, B.; Haldar, P.K.; Mazumder, U.K.; Bera, S. Evaluation of anticancer activity of Cleome gynandra on Ehrlich’s Ascites Carcinoma treated mice. J. Ethnopharmacol. 2010, 129, 131–134. [Google Scholar] [CrossRef]
- Cernansky, R. The rise of Africa’s super vegetables. Nat. News 2015, 522, 146. [Google Scholar] [CrossRef]
- Van Rensburg, W.J.; Venter, S.; Netshiluvhi, T.; Van Den Heever, E.; Vorster, H.; De Ronde, J.; Bornman, C. Role of indigenous leafy vegetables in combating hunger and malnutrition. S. Afr. J. Bot. 2004, 70, 52–59. [Google Scholar] [CrossRef] [Green Version]
- Moyo, M.; Amoo, S.O.; Aremu, A.O.; Gruz, J.; Šubrtová, M.; Jarošová, M.; Tarkowski, P.; Doležal, K. Determination of mineral constituents, phytochemicals and antioxidant qualities of Cleome gynandra, compared to Brassica oleracea and Beta vulgaris. Front. Chem. 2018, 5, 128. [Google Scholar] [CrossRef] [Green Version]
- Van den Heever, E.; Venter, S. Nutritional and medicinal properties of Cleome gynandra. In Proceedings of the 1st International Conference on Indigenous Vegetables and Legumes. Prospectus for Fighting Poverty, Hunger and Malnutrition, Hyderabad, India, 12–15 December 2006; pp. 127–130. [Google Scholar]
- Mishra, S.; Moharana, S.; Dash, M. Review on Cleome gynandra. Int. J. Res. Pharm. Chem. 2011, 1, 681–689. [Google Scholar]
- Jimoh, M.; Afolayan, A.; Lewu, F. Therapeutic uses of Amaranthus caudatus L. Trop. Biomed. 2019, 36, 1038–1053. [Google Scholar] [PubMed]
- Maina, S.; Misinzo, G.; Bakari, G.; Kim, H.-Y. Human, animal and plant health benefits of glucosinolates and strategies for enhanced bioactivity: A systematic review. Molecules 2020, 25, 3682. [Google Scholar] [CrossRef]
- Do Nascimento, K.S.; Sattler, J.A.G.; Macedo, L.F.L.; González, C.V.S.; de Melo, I.L.P.; da Silva Araújo, E.; Granato, D.; Sattler, A.; de Almeida-Muradian, L.B. Phenolic compounds, antioxidant capacity and physicochemical properties of Brazilian Apis mellifera honeys. LWT 2018, 91, 85–94. [Google Scholar] [CrossRef]
- Rice-Evans, C.A.; Miller, N.J.; Paganga, G. Structure-antioxidant activity relationships of flavonoids and phenolic acids. Free Radic. Biol. Med. 1996, 20, 933–956. [Google Scholar] [CrossRef]
- Ramya, V.; Patel, P. Health benefits of vegetables. IJCS 2019, 7, 82–87. [Google Scholar]
- Moyo, S.; Serem, J.; Bester, M.; Mavumengwana, V.; Kayitesi, E. African green leafy vegetables health benefits beyond nutrition. Food Rev. Int. 2021, 37, 601–618. [Google Scholar] [CrossRef]
- Maina, S.; Ryu, D.H.; Cho, J.Y.; Jung, D.S.; Park, J.-E.; Nho, C.W.; Bakari, G.; Misinzo, G.; Jung, J.H.; Yang, S.-H.; et al. Exposure to salinity and light spectra regulates glucosinolates, phenolics, and antioxidant capacity of Brassica carinata L. microgreens. Antioxidants 2021, 10, 1183. [Google Scholar] [CrossRef]
- Delgado, A.M.; Issaoui, M.; Chammem, N. Analysis of main and healthy phenolic compounds in foods. J. AOAC Int. 2019, 102, 1356–1364. [Google Scholar] [CrossRef]
- Somers, B.; Dinnsa, F.F.; Wu, Q.; Simon, J.E. Elemental micronutrients, antioxidant activity, total polyphenol, and total flavonoid content of selected African spider plant accessions (Cleome gynandra) grown in Eastern Africa and the Eastern United States. J. Med. Act. Plants 2020, 9, 157–165. [Google Scholar]
- Chandradevan, M.; Simoh, S.; Mediani, A.; Ismail, N.H.; Ismail, I.S.; Abas, F. UHPLC-ESI-Orbitrap-MS analysis of biologically active extracts from Gynura procumbens (Lour.) Merr. and Cleome gynandra L. leaves. Evid.-Based Complement. Altern. Med. 2020, 2020, 3238561. [Google Scholar] [CrossRef] [Green Version]
- Thovhogi, F.; Mchau, G.R.A.; Gwata, E.T.; Ntushelo, N. Evaluation of leaf mineral, flavonoid, and total phenolic content in spider plant germplasm. Molecules 2021, 26, 3600. [Google Scholar] [CrossRef]
- Neugart, S.; Baldermann, S.; Ngwene, B.; Wesonga, J.; Schreiner, M. Indigenous leafy vegetables of Eastern Africa—A source of extraordinary secondary plant metabolites. Food Res. Int. 2017, 100, 411–422. [Google Scholar] [CrossRef]
- Sogbohossou, E.D.; Kortekaas, D.; Achigan-Dako, E.G.; Maundu, P.; Stoilova, T.; Van Deynze, A.; de Vos, R.C.; Schranz, M.E. Association between vitamin content, plant morphology and geographical origin in a worldwide collection of the orphan crop Gynandropsis gynandra (Cleomaceae). Planta 2019, 250, 933–947. [Google Scholar] [CrossRef] [Green Version]
- Omondi, E.O.; Engels, C.; Nambafu, G.; Schreiner, M.; Neugart, S.; Abukutsa-Onyango, M.; Winkelmann, T. Nutritional compound analysis and morphological characterization of spider plant (Cleome gynandra)—An African indigenous leafy vegetable. Food Res. Int. 2017, 100, 284–295. [Google Scholar] [CrossRef]
- Hamill, F.; Apio, S.; Mubiru, N.; Bukenya-Ziraba, R.; Mosango, M.; Maganyi, O.; Soejarto, D. Traditional herbal drugs of Southern Uganda, II: Literature analysis and antimicrobial assays. J. Ethnopharmacol. 2003, 84, 57–78. [Google Scholar] [CrossRef]
- Ajaiyeoba, E. Phytochemical and antimicrobial studies of Gynandropsis gynandra and Buchholzia coriaceae extracts. Afr. J. Biomed. Res. 2000, 3, 161–165. [Google Scholar]
- Narendhirakannan, R.; Subramanian, S.; Kandaswamy, M. Free radical scavenging activity of Cleome gynandra L. leaves on adjuvant induced arthritis in rats. Mol. Cell. Biochem. 2005, 276, 71–80. [Google Scholar] [CrossRef] [PubMed]
- Anbazhagi, T.; Kadavul, K.; Suguna, G.; Petrus, A. Studies on the pharmacognostical and in vitro antioxidant potential of Cleome gynandra Linn. leaves. Indian J. Nat. Prod. Resour. 2009, 8, 151–157. [Google Scholar]
- Sravanthi, K.; Reddy, R.B.; Nirosa, T. Evaluation of antidiabetic activity of Cleome gynandra leaves. Indo Am. J. Pharm. Sci. 2016, 3, 482–486. [Google Scholar]
- Narendhirakannan, R.T.; Subramanian, S.; Kandaswamy, M. Anti-inflammatory and lysosomal stability actions of Cleome gynandra L. studied in adjuvant induced arthritic rats. Food Chem. Toxicol. 2007, 45, 1001–1012. [Google Scholar] [CrossRef] [PubMed]
- Johnson, M.; McElhenney, W.H.; Egnin, M. Influence of green leafy vegetables in diets with an elevated ω-6:ω-3 fatty acid ratio on rat blood pressure, plasma lipids, antioxidant status and markers of inflammation. Nutrients 2019, 11, 301. [Google Scholar] [CrossRef] [PubMed] [Green Version]
- Shetty, A.; Magadum, S.; Managanvi, K. Vegetables as sources of antioxidants. J. Food Nutr. Disord. 2013, 2, 2. [Google Scholar] [CrossRef]
- Tarascou, I.; Souquet, J.M.; Mazauric, J.P.; Carrillo, S.; Coq, S.; Canon, F.; Fulcrand, H.; Cheynier, V. The hidden face of food phenolic composition. Arch. Biochem. Biophys. 2010, 501, 16–22. [Google Scholar] [CrossRef] [PubMed]
- Esmaeili, H.; Karami, A.; Maggi, F. Essential oil composition, total phenolic and flavonoids contents, and antioxidant activity of Oliveria decumbens Vent. (Apiaceae) at different phenological stages. J. Clean. Prod. 2018, 198, 91–95. [Google Scholar] [CrossRef]
- Sampaio, B.L.; Edrada-Ebel, R.; Da Costa, F.B. Effect of the environment on the secondary metabolic profile of Tithonia diversifolia: A model for environmental metabolomics of plants. Sci. Rep. 2016, 6, 1–11. [Google Scholar] [CrossRef] [Green Version]
- Saffaryazdi, A.; Ganjeali, A.; Farhoosh, R.; Cheniany, M. Variation in phenolic compounds, α-linolenic acid and linoleic acid contents and antioxidant activity of purslane (Portulaca oleracea L.) during phenological growth stages. Physiol. Mol. Biol. Plants 2020, 26, 1519–1529. [Google Scholar] [CrossRef]
- Karamać, M.; Gai, F.; Longato, E.; Meineri, G.; Janiak, M.A.; Amarowicz, R.; Peiretti, P.G. Antioxidant activity and phenolic composition of amaranth (Amaranthus caudatus) during plant growth. Antioxidants 2019, 8, 173. [Google Scholar] [CrossRef] [Green Version]
- Ben Farhat, M.; Jordán, M.J.; Chaouch-Hamada, R.; Landoulsi, A.; Sotomayor, J.A. Changes in phenolic profiling and antioxidant capacity of Salvia aegyptiaca L. by-products during three phenological stages. LWT Food Sci. Technol. 2015, 63, 791–797. [Google Scholar] [CrossRef]
- Mollet, B.; Rowland, I. Functional foods: At the frontier between food and pharma. Curr. Opin. Biotechnol. 2002, 13, 483–485. [Google Scholar] [CrossRef]
- Choi, Y.; Lee, S.; Chun, J.; Lee, H.; Lee, J. Influence of heat treatment on the antioxidant activities and polyphenolic compounds of Shiitake (Lentinus edodes) mushroom. Food Chem. 2006, 99, 381–387. [Google Scholar] [CrossRef]
- Xu, B.J.; Chang, S. A comparative study on phenolic profiles and antioxidant activities of legumes as affected by extraction solvents. J. Food Sci. 2007, 72, S159–S166. [Google Scholar] [CrossRef]
- Li, Z.; Lee, H.W.; Liang, X.; Liang, D.; Wang, Q.; Huang, D.; Ong, C.N. Profiling of phenolic compounds and antioxidant activity of 12 cruciferous vegetables. Molecules 2018, 23, 1139. [Google Scholar] [CrossRef] [PubMed] [Green Version]
- Khanam, U.K.S.; Oba, S.; Yanase, E.; Murakami, Y. Phenolic acids, flavonoids and total antioxidant capacity of selected leafy vegetables. J. Funct. Foods 2012, 4, 979–987. [Google Scholar] [CrossRef]
- De Mendiburu, F. Agricolae: Statistical Procedures for Agricultural Research. 2020. Available online: https://cran.r-project.org/web/packages/agricolae/index.html (accessed on 26 October 2021).
- Fernando, I.; Abeysinghe, D.; Dharmadasa, R. Determination of phenolic contents and antioxidant capacity of different parts of Withania somnifera (L.) Dunal. from three different growth stages. Ind. Crop. Prod. 2013, 50, 537–539. [Google Scholar] [CrossRef]
- Feduraev, P.; Chupakhina, G.; Maslennikov, P.; Tacenko, N.; Skrypnik, L. Variation in phenolic compounds content and antioxidant activity of different plant organs from Rumex crispus L. and Rumex obtusifolius L. at different growth stages. Antioxidants 2019, 8, 237. [Google Scholar] [CrossRef] [Green Version]
- Kumar, V.; Roy, B.K. Population authentication of the traditional medicinal plant Cassia tora L. based on ISSR markers and FTIR analysis. Sci. Rep. 2018, 8, 10714. [Google Scholar] [CrossRef] [PubMed]
- Yao, X.-H.; Zhang, Z.-B.; Song, P.; Hao, J.-Y.; Zhang, D.-Y.; Zhang, Y.-F. Different harvest seasons modify bioactive compounds and antioxidant activities of Pyrola incarnata. Ind. Crop. Prod. 2016, 94, 405–412. [Google Scholar] [CrossRef]
- Yang, L.; Wen, K.-S.; Ruan, X.; Zhao, Y.-X.; Wei, F.; Wang, Q. Response of plant secondary metabolites to environmental factors. Molecules 2018, 23, 762. [Google Scholar] [CrossRef] [Green Version]
- Ribeiro, D.A.; de Macêdo, D.G.; Boligon, A.A.; Menezes, I.R.A.; de Almeida Souza, M.M.; da Costa, J.G.M. Influence of seasonality on the phenolic composition of Secondatia floribunda A. DC (Apocynaceae) during its phenological cycle. Acta Physiol. Plant. 2019, 41, 185. [Google Scholar] [CrossRef]
- Rieger, G.; Müller, M.; Guttenberger, H.; Bucar, F. Influence of altitudinal variation on the content of phenolic compounds in wild populations of Calluna vulgaris, Sambucus nigra, and Vaccinium myrtillus. J. Agric. Food Chem. 2008, 56, 9080–9086. [Google Scholar] [CrossRef]
- Chepel, V.; Lisun, V.; Skrypnik, L. Changes in the content of some groups of phenolic compounds and biological activity of extracts of various parts of heather (Calluna vulgaris (L.) Hull) at different growth stages. Plants 2020, 9, 926. [Google Scholar] [CrossRef] [PubMed]
- Ghimire, B.K.; Sacks, E.J.; Kim, S.H.; Yu, C.Y.; Chung, I.M. Profiling of phenolic compounds composition, morphological traits, and antioxidant activity of Miscanthus sacchariflorus L. accessions. Agronomy 2021, 11, 243. [Google Scholar] [CrossRef]
- Ncube, B.; Van Staden, J. Tilting plant metabolism for improved metabolite biosynthesis and enhanced human benefit. Molecules 2015, 20, 12698–12731. [Google Scholar] [CrossRef] [Green Version]
- Bhandari, S.R.; Kwak, J.-H.; Jo, J.S.; Lee, J.G. Changes in phytochemical content and antioxidant activity during inflorescence development in broccoli. Chil. J. Agric. Res. 2019, 79, 36–47. [Google Scholar] [CrossRef] [Green Version]
- Riipi, M.; Ossipov, V.; Lempa, K.; Haukioja, E.; Koricheva, J.; Ossipova, S.; Pihlaja, K. Seasonal changes in birch leaf chemistry: Are there trade-offs between leaf growth and accumulation of phenolics? Oecologia 2002, 130, 380–390. [Google Scholar] [CrossRef]
- Shah, A.; Smith, D.L. Flavonoids in agriculture: Chemistry and roles in biotic and abiotic stress responses, and microbial associations. Agronomy 2020, 10, 1209. [Google Scholar] [CrossRef]
- Samanta, A.; Das, G.; Das, S.K. Roles of flavonoids in plants. Carbon 2011, 100, 12–35. [Google Scholar]
- Cabiddu, A.; Salis, L.; Tweed, J.K.; Molle, G.; Decandia, M.; Lee, M.R. The influence of plant polyphenols on lipolysis and biohydrogenation in dried forages at different phenological stages: In vitro study. J. Sci. Food Agric. 2010, 90, 829–835. [Google Scholar] [CrossRef] [PubMed]
- del Valle, J.C.; Buide, M.L.; Casimiro-Soriguer, I.; Whittall, J.B.; Narbona, E. On flavonoid accumulation in different plant parts: Variation patterns among individuals and populations in the shore campion (Silene littorea). Front. Plant Sci. 2015, 6, 939. [Google Scholar] [CrossRef] [Green Version]
- Jimoh, M.; Anthony, J.; Francis, B. Antioxidant and phytochemical activities of Amaranthus caudatus L. harvested from different soils at various growth stages. Sci. Rep. 2019, 9, 12965. [Google Scholar] [CrossRef] [PubMed]
- Duan, Y.; Eduardo Melo Santiago, F.; Rodrigues dos Reis, A.; de Figueiredo, M.A.; Zhou, S.; Thannhauser, T.W.; Li, L. Genotypic variation of flavonols and antioxidant capacity in broccoli. Food Chem. 2021, 338, 127997. [Google Scholar] [CrossRef]
- Behnaz, M.; Davood, E.A.; Atena, A.; Ali, T. Variation of rutin content in different parts of Capparis spinosa during their phenological cycles. Int. J. Biosci. 2014, 4, 147–153. [Google Scholar]
- Gupta, N.; Sharma, S.K.; Rana, J.C.; Chauhan, R.S. Expression of flavonoid biosynthesis genes vis-à-vis rutin content variation in different growth stages of Fagopyrum species. J. Plant Physiol. 2011, 168, 2117–2123. [Google Scholar] [CrossRef]
- Gupta, N.; Naik, P.K.; Chauhan, R.S. Differential transcript profiling through cDNA-AFLP showed complexity of rutin biosynthesis and accumulation in seeds of a nutraceutical food crop (Fagopyrum spp.). BMC Genom. 2012, 13, 231. [Google Scholar] [CrossRef] [Green Version]
- Kianersi, F.; Abdollahi, M.R.; Mirzaie-Asl, A.; Dastan, D.; Rasheed, F. Identification and tissue-specific expression of rutin biosynthetic pathway genes in Capparis spinosa elicited with salicylic acid and methyl jasmonate. Sci. Rep. 2020, 10, 8884. [Google Scholar] [CrossRef]
- Gao, J.; Wang, T.; Liu, M.; Liu, J.; Zhang, Z. Transcriptome analysis of filling stage seeds among three buckwheat species with emphasis on rutin accumulation. PLoS ONE 2017, 12, e0189672. [Google Scholar] [CrossRef] [Green Version]
- Tungmunnithum, D.; Thongboonyou, A.; Pholboon, A.; Yangsabai, A. Flavonoids and other phenolic compounds from medicinal plants for pharmaceutical and medical aspects: An overview. Medicines 2018, 5, 93. [Google Scholar] [CrossRef] [PubMed]
- Aryal, S.; Baniya, M.K.; Danekhu, K.; Kunwar, P.; Gurung, R.; Koirala, N. Total phenolic content, flavonoid content and antioxidant potential of wild vegetables from Western Nepal. Plants 2019, 8, 96. [Google Scholar] [CrossRef] [PubMed] [Green Version]
- Ghasemzadeh, A.; Jaafar, H.Z.E.; Ashkani, S.; Rahmat, A.; Juraimi, A.S.; Puteh, A.; Muda Mohamed, M.T. Variation in secondary metabolite production as well as antioxidant and antibacterial activities of Zingiber zerumbet (L.) at different stages of growth. BMC Complement. Altern. Med. 2016, 16, 104. [Google Scholar] [CrossRef] [PubMed] [Green Version]
- Abootalebian, M.; Keramat, J.; Kadivar, M.; Ahmadi, F.; Abdinian, M. Comparison of total phenolic and antioxidant activity of different Mentha spicata and M. longifolia accessions. Ann. Agric. Sci. 2016, 61, 175–179. [Google Scholar] [CrossRef]
- Sarker, U.; Oba, S. Antioxidant constituents of three selected red and green color Amaranthus leafy vegetable. Sci. Rep. 2019, 9, 18233. [Google Scholar] [CrossRef] [Green Version]
- Chaves, N.; Santiago, A.; Alías, J.C. Quantification of the antioxidant activity of plant extracts: Analysis of sensitivity and hierarchization based on the method used. Antioxidants 2020, 9, 76. [Google Scholar] [CrossRef] [PubMed] [Green Version]
- Suleria, H.A.R.; Barrow, C.J.; Dunshea, F.R. Screening and characterization of phenolic compounds and their antioxidant capacity in different fruit peels. Foods 2020, 9, 1206. [Google Scholar] [CrossRef]
- Lee, K.J.; Oh, Y.C.; Cho, W.K.; Ma, J.Y. Antioxidant and anti-inflammatory activity determination of one hundred kinds of pure chemical compounds using offline and online screening HPLC assay. Evid.-Based Complement. Altern. Med. 2015, 2015, 165457. [Google Scholar] [CrossRef] [Green Version]




| Stage | Organ | TPC (mg GAE/g, DW) | TFC (mg RE/g, DW) | ||||||
|---|---|---|---|---|---|---|---|---|---|
| Min | Max | Range | Average | Min | Max | Range | Average | ||
| Vegetative | LS | 24.56 | 37.58 | 13.02 | 29.56 ± 4.40 c | 251.43 | 325.89 | 74.46 | 284.72 ± 27.06 a |
| Flowering | LS | 18.23 | 34.37 | 16.14 | 26.23 ± 5.41 d | 191.29 | 282.93 | 91.64 | 229.95 ± 29.62 c |
| F | 34.56 | 51.16 | 16.60 | 40.05 ± 5.28 b | 176.98 | 288.66 | 11.68 | 226.37 ± 36.12 c | |
| Seed set | LS | 24.92 | 41.07 | 16.15 | 29.95 ± 5.73 c | 179.84 | 254.30 | 74.46 | 211.70 ± 30.77 d |
| S | 34.83 | 108.86 | 74.03 | 60.27 ± 21.26 a | 191.29 | 417.53 | 226.24 | 272.19 ± 66.97 b | |
| DPPH RC50 (µg/mL ± SD) | ABTS RC50 (µg/mL ± SD) | |||||||||
|---|---|---|---|---|---|---|---|---|---|---|
| Accession | LSV | LSF | LSS | FF | SS | LSV | LSF | LSS | FF | SS |
| TT-00 | 1090.87 ± 12.69 B | 1083.33 ± 9.4 A | 1405.96 ± 28.87 B | 716.54 ± 7.14 C | 565.93 ± 2.77 G | 226.39 ± 4.59 A | 301.29 ± 3.51 B | 337.51 ± 11.42 DE | 253.06 ± 3.37 BC | 136.02 ± 2.73 E |
| UAG/1907C | 925.95 ± 9.24 A | 1198.63 ± 11.58 B | 1598.41 ± 2.11 C | 753.83 ± 9.44 D | 721.45 ± 4.45 H | 283.23 ± 2.69 C | 295.19 ± 6.56 B | 399.47 ± 5.2 G | 283.94 ± 3.52 D | 224.98 ± 0.54 F |
| ELG/1907C | 994.04 ± 12.05 A | 1819.5 ± 8.57 F | 1382.04 ± 26.83 B | 674.86 ± 2.6 B | 345.30 ± 6.35 D | 366.81 ± 2.17 F | 472.95 ± 2.4 G | 357.41 ± 1.57 F | 243.95 ± 5.1 B | 96.17 ± 3.47 C |
| ELG/1907B | 1426.4 ± 17.29 E | 1297.93 ± 37.88 C | 1301.85 ± 17.14 B | 827.89 ± 3.02 E | 368.36 ± 0.08 E | 336.9 ± 1.4 E | 320.79 ± 0.88 C | 348.39 ± 3.19 EF | 289.1 ± 0.31 D | 91.24 ± 0.08 C |
| WPK/2007 | 1247.02 ± 11.35 C | 1590.34 ± 12.37 E | 997.12 ± 30.59 A | 716.63 ± 2.76 C | 317 ± 2.49 B | 380.84 ± 3.23 G | 388.91 ± 10.6 E | 240.35 ± 2.07 B | 253.8 ± 1.75 BC | 92.52 ± 2.46 C |
| KF-14 | 976.97 ± 3.88 A | 1877.51 ± 1.39 G | 1677.79 ± 125.27 C | 722.44 ± 4.72 C | 137.27 ± 7.1 A | 261.17 ± 4.45 B | 422.26 ± 9.36 F | 273.27 ± 8.21 C | 256.66 ± 6.75 C | 49.72 ± 0.41 A |
| KF-05A | 1466.595 ± 57.88 E | 1465.63 ± 23.2 D | 1312.18 ± 68.22 B | 822.11 ± 5.12 E | 388.21 ± 1.55 F | 359.1 ± 1.02 F | 337.64 ± 3.28 D | 330.01 ± 5.83 D | 295.26 ± 3.21 D | 107.43 ± 0.44 D |
| KF-03 | 1333.84 ± 12.57 D | 1083.86 ± 0.94 A | 855.62 ± 7.59 A | 618.98 ± 6.58 A | 330.2 ± 3.98 C | 307.58 ± 1.27 D | 272.68 ± 0.96 A | 218.94 ± 0.49 A | 179.03 ± 4.63 A | 84.63 ± 2.25 B |
| Average | 1182.46 ± 17.12 c | 1427.09 ± 13.17 e | 1316.37 ± 38.33 d | 731.66 ± 5.17 b | 396.71 ± 3.60 a | 315.25 ± 2.60 c | 352.12 ± 4.31 d | 313.17 ± 4.75 c | 256.72 ± 3.58 b | 110.34 ± 1.55 a |
| Rutin Content (mg/g, DW) | Astragalin Content (mg/g, DW) | |||||
|---|---|---|---|---|---|---|
| Organ and Stage Accession | LSV | LSF | LSS | FF | SS | FF |
| TT-00 | 47.45 ± 1.98 a | 33.57 ± 0.43 b | 34.16 ± 1.41 c | 75.50 ± 1.62 bc | 32.78 ± 1.02 e | 0.69 ± 0.04 b |
| UAG/1907C | 33.10 ± 1.41 c | 32.47 ± 1.10 b | 26.78 ± 0.75 d | 56.23 ± 0.63 e | 30.61 ± 0.69 e | 0.98 ± 0.18 b |
| ELG/1907C | 37.59 ± 2.78 bc | 33.40 ± 1.44 b | 55.98 ± 0.98 a | 74.17 ± 1.87 bc | 49.84 ± 0.11 c | 1.05 ± 0.34 b |
| ELG/1907B | 41.49 ± 1.86 abc | 34.67 ± 0.60 ab | 45.78 ± 1.08 b | 77.37 ± 0.46 bc | 54.01 ± 0.27 b | 2.02 ± 0.42 a |
| WPK/2007 | 36.22 ± 0.57 bc | 25.81 ± 1.17 c | 57.92 ± 0.79 a | 71.24 ± 1.73 cd | 45.66 ± 0.83 d | 1.02 ± 0.27 b |
| KF-14 | 45.18 ± 1.86 ab | 40.49 ± 0.80 a | 59.13 ± 1.11 a | 92.00 ± 1.21 a | 79.72 ± 0.78 a | 0.54 ± 0.26 b |
| KF-05A | 40.74 ± 2.92 abc | 35.51 ± 2.08 ab | 53.55 ± 1.88 a | 80.96 ± 2.15 b | 42.02 ± 1.08 d | 1.28 ± 0.41 ab |
| KF-03 | 37.49 ± 1.72 bc | 31.89 ± 1.52 bc | 43.34 ± 1.56 b | 66.15 ± 0.27 d | 54.03 ± 1.17 b | 0.80 ± 0.13 b |
| Average | 39.91 ± 5.40 C | 33.48 ± 4.31 D | 47.08 ± 11.44 B | 74.20 ± 10.23 A | 48.58 ± 14.74 B | 1.05 ± 0.50 E |
Publisher’s Note: MDPI stays neutral with regard to jurisdictional claims in published maps and institutional affiliations. |
© 2021 by the authors. Licensee MDPI, Basel, Switzerland. This article is an open access article distributed under the terms and conditions of the Creative Commons Attribution (CC BY) license (https://creativecommons.org/licenses/by/4.0/).
Share and Cite
Maina, S.; Ryu, D.H.; Bakari, G.; Misinzo, G.; Nho, C.W.; Kim, H.-Y. Variation in Phenolic Compounds and Antioxidant Activity of Various Organs of African Cabbage (Cleome gynandra L.) Accessions at Different Growth Stages. Antioxidants 2021, 10, 1952. https://doi.org/10.3390/antiox10121952
Maina S, Ryu DH, Bakari G, Misinzo G, Nho CW, Kim H-Y. Variation in Phenolic Compounds and Antioxidant Activity of Various Organs of African Cabbage (Cleome gynandra L.) Accessions at Different Growth Stages. Antioxidants. 2021; 10(12):1952. https://doi.org/10.3390/antiox10121952
Chicago/Turabian StyleMaina, Sylvia, Da Hye Ryu, Gaymary Bakari, Gerald Misinzo, Chu Won Nho, and Ho-Youn Kim. 2021. "Variation in Phenolic Compounds and Antioxidant Activity of Various Organs of African Cabbage (Cleome gynandra L.) Accessions at Different Growth Stages" Antioxidants 10, no. 12: 1952. https://doi.org/10.3390/antiox10121952
APA StyleMaina, S., Ryu, D. H., Bakari, G., Misinzo, G., Nho, C. W., & Kim, H.-Y. (2021). Variation in Phenolic Compounds and Antioxidant Activity of Various Organs of African Cabbage (Cleome gynandra L.) Accessions at Different Growth Stages. Antioxidants, 10(12), 1952. https://doi.org/10.3390/antiox10121952

